Tunable Mid-Infrared Graphene Plasmonic Cross-Shaped Resonator for Demultiplexing Application
Abstract
1. Introduction
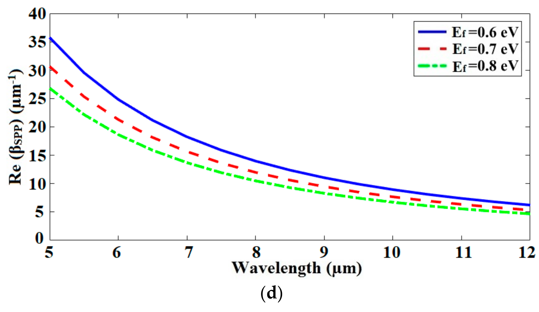
2. Resonator and Analysis
3. Two-Channel Demultiplexer and Analysis
4. Conclusions
Author Contributions
Funding
Conflicts of Interest
References
- Lai, W.; Wen, K.; Lin, J.; Guo, Z.; Hu, Q.; Fang, Y. Plasmonic filter and sensor based on a subwavelength end-coupled hexagonal resonator. Appl. Opt. 2018, 57, 6369–6374. [Google Scholar] [CrossRef] [PubMed]
- Wang, A.; Dan, Y. Mid-infrared plasmonic multispectral filters. Sci. Rep. 2018, 8, 11257. [Google Scholar] [CrossRef] [PubMed]
- Zhao, B.; Huang, Z.; Yang, J.; Zhang, L.; Joshya, R.S.; Guo, C. A high-efficiency multispectral filter based on plasmonic hybridization between two cascaded ultrathin nanogratings. Molecules 2019, 24, 2038. [Google Scholar] [CrossRef] [PubMed]
- Danaie, M.; Geravand, A. Design of low-cross-talk metal–insulator–metal plasmonic waveguide intersections based on proposed cross-shaped resonators. J. Nanophotonics 2018, 12, 046009. [Google Scholar] [CrossRef]
- Zafar, R.; Chauhan, P.; Salim, M.; Singh, G. Metallic slit–loaded ring resonator–based plasmonic demultiplexer with large crosstalk. Plasmonics 2018, 14, 1013–1017. [Google Scholar] [CrossRef]
- Shibayama, J.; Kawai, H.; Yamauchi, J.; Nakano, H. Analysis of a 3D MIM waveguide-based plasmonic demultiplexer using the TRC-FDTD method. Opt. Commun. 2019, 452, 360–365. [Google Scholar] [CrossRef]
- Sharma, A.K.; Pandey, A.K. Self-referenced plasmonic sensor with TiO2 grating on thin Au layer: Simulated performance analysis in optical communication band. J. Opt. Soc. Am. B 2019, 36, F25–F31. [Google Scholar] [CrossRef]
- Cheng, Y.C.; Chang, Y.J.; Chuang, Y.C.; Huang, B.Z.; Chen, C.C. A plasmonic refractive index sensor with an ultrabroad dynamic sensing range. Sci. Rep. 2019, 9, 5134. [Google Scholar] [CrossRef]
- Islam, M.S.; Sultana, J.; Rifat, A.A.; Ahmed, R.; Dinovitser, A.; Ng, B.W.-H.; Heidepriem, H.E.; Abbott, D. Dual-polarized highly sensitive plasmonic sensor in the visible to near-IR spectrum. Opt. Express 2018, 26, 30347–30361. [Google Scholar] [CrossRef]
- Jaber, M.S.; Tawfeeq, S.K.; Fyath, R.S. Design investigation of 4 × 4 nonblocking hybrid plasmonic electrooptic switch. Photonics 2019, 6, 47. [Google Scholar] [CrossRef]
- Nurmohammadi, T.; Abbasian, K.; Yadipour, R. Ultra-fast all-optical plasmon induced transparency in a metal–insulator–metal waveguide containing two Kerr nonlinear ring resonators. J. Opt. 2018, 20, 055504. [Google Scholar] [CrossRef]
- Chauhan, D.; Mola, G.T.; Dwivedi, R.P. An ultra-compact plasmonic modulator/switch using VO2 and elasto-optic effect. Optik 2019, 201, 163531. [Google Scholar] [CrossRef]
- Li, S.P.; Liu, H.J.; Sun, Q.B.; Huang, N. Multi-channel terahertz wavelength division demultiplexer with defects-coupled photonic crystal waveguide. J. Mod. Opt. 2016, 63, 955–960. [Google Scholar] [CrossRef]
- Dai, D.X.; Wang, J.; Chen, S.T.; Wang, S.P.; He, S.L. Monolithically integrated 64-channel silicon hybrid demultiplexer enabling simultaneous wavelength- and mode-division-multiplexing. Laser Photonics Rev. 2015, 18, 339–344. [Google Scholar] [CrossRef]
- Zhang, L.; Tang, L.L.; Wei, W.; Cheng, X.L.; Wang, W.; Zhang, H. Enhanced near-infrared absorption in graphene with multilayer metal-dielectric-metal nanostructure. Opt. Express 2016, 24, 20002–20009. [Google Scholar] [CrossRef] [PubMed]
- Azzazi, A.; Swillam, M.A. Nanoscale highly selective plasmonic quad wavelength demultiplexer based on a metal-insulator-metal. Opt. Commun. 2015, 344, 106–112. [Google Scholar] [CrossRef]
- Rodrigo, D.; Limaj, O.; Janner, D.; Etezadi, D.; de Abajo, F.J.G.; Pruneri, V.; Altug, H. Mid-infrared plasmonic biosensing with graphene. Science 2015, 349, 165–168. [Google Scholar] [CrossRef]
- Woessner, A.; Lundeberg, M.B.; Gao, Y.; Principi, A.; Alonso-Gonzaolez, P.; Carrega, M.; Watanabe, K.; Taniguchi, T.; Vignale, G.; Polini, M.; et al. Highly confined low-loss plasmons in graphene-boron nitride heterostructures. Nat. Mater. 2015, 14, 421–425. [Google Scholar] [CrossRef]
- Bonaccorso, F.; Sun, Z.; Hasan, T.; Ferrari, A.C. Graphene photonics and optoelectronics. Nat. Photonics 2010, 4, 611–622. [Google Scholar] [CrossRef]
- Wang, F.; Qin, C.Z.; Wang, B.; Long, H.; Wang, K.; Lu, P.X. Rabi oscillations of plasmonic super modes in graphene multilayer arrays. IEEE J. Sel. Top. Quantum Electron. 2017, 23, 4600105. [Google Scholar] [CrossRef]
- Grigorenko, A.N.; Polini, M.; Novoselov, K.S. Graphene plasmonics. Nat. Photonics 2012, 6, 749–758. [Google Scholar] [CrossRef]
- Low, T.; Avouris, P. Graphene plasmonics for terahertz to midinfrared applications. ACS Nano 2014, 8, 1086–1101. [Google Scholar] [CrossRef] [PubMed]
- Zhou, L.; Tan, Y.L.; Wang, J.Y.; Xu, W.C.; Yuan, Y.; Cai, W.S.; Zhu, S.N.; Zhu, J. 3D self-assembly of aluminium nanoparticles for plasmon enhanced solar desalination. Nat. Photonics 2016, 10, 393–398. [Google Scholar] [CrossRef]
- Asgari, S.; Rajabloo, H.; Granpayeh, N.; Oraizi, H. Tunable graphene-based mid-infrared band-pass planar filter and its application. Chin. Phys. B 2018, 27, 084212. [Google Scholar] [CrossRef]
- Moazami, A.; Hashemi, M.; Shirazi, N.C. High efficiency tunable graphene-based plasmonic filter in the THz frequency range. Plasmonics 2019, 14, 359–363. [Google Scholar] [CrossRef]
- Asgari, S.; Granpayeh, N. Applications of tunable nanoscale midinfrared graphene based slot cavity in nanophotonic integrated circuits. IEEE Trans. Nanotechnol. 2018, 17, 533–542. [Google Scholar] [CrossRef]
- Asgari, S.; Granpayeh, N.; Kashani, Z.G. Plasmonic mid-infrared wavelength selector and linear logic gates based on graphene cylindrical resonator. IEEE Trans. Nanotechnol. 2018, 18, 42–50. [Google Scholar] [CrossRef]
- Zhou, F.; Du, W. Ultrafast all-optical plasmonic graphene modulator. Appl. Opt. 2018, 57, 6645–6650. [Google Scholar] [CrossRef]
- Zhu, Y.; Deng, C.; Huang, L.; Hu, G.; Yun, B.; Zhang, R.; Cui, Y. Hybrid plasmonic graphene modulator with buried silicon waveguide. Opt. Commun. 2020, 456, 124559. [Google Scholar] [CrossRef]
- Wu, T.; Luo, Y.; Maier, S.A.; Wei, L. Phase-matching and peak nonlinearity enhanced third-harmonic generation in graphene plasmonic coupler. Phys. Rev. Appl. 2019, 11, 014049. [Google Scholar] [CrossRef]
- Bahadori-Haghighi, S.; Ghayour, R.; Sheikhi, M.H. Design and analysis of low loss plasmonic waveguide and directional coupler based on pattern-free suspended graphene sheets. Carbon 2018, 129, 653–660. [Google Scholar] [CrossRef]
- Wu, P.; Chen, Z.; Xu, D.; Zhang, C.; Jian, R. A Narrow Dual-Band Monolayer Unpatterned Graphene Based Perfect Absorber with Critical Coupling in the Near Infrared. Micromachines 2020, 11, 58. [Google Scholar] [CrossRef]
- Cen, C.; Chen, Z.; Xu, D.; Jiang, L.; Chen, X.; Yi, Z.; Wu, P.; Li, G.; Yi, Y. High Quality Factor, High Sensitivity Metamaterial Graphene—Perfect Absorber Based on Critical Coupling Theory and Impedance Matching. Nanomaterials 2020, 10, 95. [Google Scholar] [CrossRef] [PubMed]
- Houshmand, M.; Hossein Zandi, M.; Gorji, N.E. Modeling of optical losses in graphene contacted thin film solar cells. Mat. Lett. 2016, 164, 493–497. [Google Scholar] [CrossRef]
- Yu, X.; Li, Y.; Hu, X.; Zhang, D.; Tao, Y.; Liu, Z.; He, Y.; Haque, M.A.; Liu, Z.; Wu, T.; et al. Narrow bandgap oxide nanoparticles coupled with graphene for high performance mid-infrared photodetection. Nat. Commun. 2018, 9, 4299. [Google Scholar] [CrossRef] [PubMed]
- Deng, T.; Zhang, Z.; Liu, Y.; Wang, Y.; Su, F.; Li, S.; Zhang, Y.; Li, H.; Chen, H.; Zhao, Z.; et al. Three-Dimensional Graphene Field-Effect Transistors as High-Performance Photodetectors. Nano Lett. 2019, 19, 1494–1503. [Google Scholar] [CrossRef]
- Yarahmadi, M.; Moravvej-Farshi, M.K.; Yousefi, L. Subwavelength Graphene-Based Plasmonic THz Switches and Logic Gates. IEEE Trans. Terahertz Sci. Technol. 2015, 5, 725–731. [Google Scholar] [CrossRef]
- Wang, X.; Chen, C.; Pan, L.; Wang, J. A graphene-based Fabry-Pérot spectrometer in mid-infrared region. Sci. Rep. 2016, 6, 32616. [Google Scholar] [CrossRef]
- Asgari, S.; Granpayeh, N. Tunable plasmonic dual wavelength multi/demultiplexer based on graphene sheets and cylindrical resonator. Opt. Commun. 2017, 393, 5–10. [Google Scholar] [CrossRef]
- Feng, Y.; Liu, Y.; Shi, Y.; Teng, J. Tunable plasmonic filter based on graphene-layered waveguide. Mod. Phys. Lett. B 2018, 32, 1850110. [Google Scholar] [CrossRef]
- Li, H.J.; Wang, L.L.; Zhai, X. Tunable graphene-based mid-infrared plasmonic wide-angle narrowband perfect absorber. Sci. Rep. 2016, 6, 36651. [Google Scholar] [CrossRef] [PubMed]
- Goldflam, M.D.; Fei, Z.; Ruiz, I.; Howell, S.W.; Davids, P.S.; Peters, D.W.; Beechem, T.E. Designing graphene absorption in a multispectral plasmon-enhanced infrared detector. Opt. Express 2017, 25, 12400–12408. [Google Scholar] [CrossRef] [PubMed]
- Li, H.J.; Wang, L.L.; Sun, B.; Huang, Z.R.; Zhai, X. Controlling midinfrared surface plasmon polaritons in the parallel graphene pair. Appl. Phys. Express 2014, 7, 125101. [Google Scholar] [CrossRef]
- Nakayama, K.; Tonooka, Y.; Ota, M.; Ishii, Y.; Fukuda, M. Passive plasmonic demultiplexers using multimode interference. IEEE J. Lightwave Technol. 2018, 36, 1979–1984. [Google Scholar] [CrossRef]
- Azar, M.T.H.; Zavvari, M.; Arashmehr, A.; Zehforoosh, Y.; Mohammadi, P. Design of a high-performance metal–insulator–metal plasmonic demultiplexer. J. Nanophotonics 2017, 11, 026002. [Google Scholar] [CrossRef]
- Talebzadeh, R.; Soroosh, M.; Kavian, Y.S.; Mehdizadeh, F. Eight-channel all-optical demultiplexer based on photonic crystal resonant cavities. Optik 2017, 140, 331–337. [Google Scholar] [CrossRef]
- Feng, Y.; Liu, Y.; Wang, X.; Dong, D.; Shi, Y.; Tang, L. Tunable Multichannel Plasmonic Filter Based on a Single Graphene Sheet on a Fibonacci Quasiperiodic Structure. Plasmonics 2018, 13, 653–659. [Google Scholar] [CrossRef]
- IM, C.S.; Lee, S.S. Highly efficient and angle-tolerant mid-infrared filter based on a cascaded etalon resonator. Opt. Express 2017, 25, 16083–16091. [Google Scholar] [CrossRef]
- Janfaza, M.; Mansouri-Birjandi, M.A.; Tavousi, A. Tunable plasmon-induced reflection based on graphene nanoribbon Fabry- Perot resonator and nanodisks. Opt. Mater. 2018, 84, 675–680. [Google Scholar] [CrossRef]
- Janfaza, M.; Mansouri-Birjandi, M.A.; Tavousi, A. Dynamic switching between single and double plasmon induced reflection through graphene nanoribbons based structure. Mater. Res. Express 2018, 5, 115022. [Google Scholar] [CrossRef]
- Sreekanth, K.V.; Alapan, Y.; ElKabbash, M.; Ilker, E.; Hinczewski, M.; Gurkan, U.A.; De Luca, A.; Strangi, G. Extreme sensitivity biosensing platform based on hyperbolic metamaterials. Nat. Mater. 2016, 15, 621–627. [Google Scholar] [CrossRef]
- Janfaza, M.; Mansouri-Birjandi, M.A.; Tavousi, A. Tunable plasmonic band-pass filter based on Fabry–Perot graphene nanoribbons. Appl. Phys. B 2017, 123, 262. [Google Scholar] [CrossRef]
- Vakil, A.; Engheta, N. Transformation optics using graphene. Science 2011, 32, 1291–1294. [Google Scholar] [CrossRef] [PubMed]
- Li, Q.; Wang, T.; Su, Y.; Yan, M.; Qiu, M. Coupled mode theory analysis of mode-splitting in coupled cavity system. Opt. Express 2010, 18, 8367–8382. [Google Scholar] [CrossRef] [PubMed]
- Feng, Y.; Liu, Y.; Shi, Y.; Wang, X.; Dong, D. An ultra-compact tunable intersection structure based on graphene nanoribbon. J. Phys. D Appl. Phys. 2017, 50, 185101. [Google Scholar] [CrossRef]
- Ke, S.; Wang, B.; Huang, H.; Long, H.; Wang, K.; Lu, P. Plasmonic absorption enhancement in periodic cross-shaped graphene arrays. Opt. Express 2015, 23, 8888–8900. [Google Scholar] [CrossRef] [PubMed]
- Li, H.J.; Wang, L.L.; Sun, B.; Huang, Z.R.; Zhai, X. Tunable mid-infrared plasmonic band-pass filter based on a single graphene sheet with cavities. J. Appl. Phys. 2014, 116, 224505. [Google Scholar] [CrossRef]
- Su, W. A four-port ultra-compact terahertz splitting filter based on graphene nanoribbon. IEEE Photonics Technol. Lett. 2019, 31, 86–89. [Google Scholar] [CrossRef]
- Nikitin, A.; Guinea, F.; Garcła-Vidal, F.; Martłn-Moreno, L. Edge and waveguide terahertz surface plasmon modes in graphene microribbons. Phys. Rev. B 2011, 84, 161407. [Google Scholar] [CrossRef]
- Tian, J.; Li, J. Investigation on plasmon induced transparency and its application in an MIM type compound plasmonic waveguide. Prog. Electromagn. Res. C 2020, 98, 199–212. [Google Scholar] [CrossRef]







| Parameter | Label | Value |
|---|---|---|
| Resonator length | L | 90 nm |
| Resonator width | W | 30 nm |
| Angle between the ribbon and the horizontal line in the cross-shaped resonator | θ | 40° |
| Distance between the input/output waveguide and the resonator | d | 10 nm |
| Graphene Fermi energy | Ef | 0.8 eV |
| Thickness of SiO2 | tSiO2 | 50 nm |
| Thickness of Si | tSi | 500 nm |
| Refractive index of SiO2 | nSiO2 | |
| Refractive index of Si | nSi |
| Segment/Direction | x (nm) | y (nm) | z (nm) |
|---|---|---|---|
| Input waveguide | 6 | 2 | 0.1 |
| Resonator | 2 | 2 | 0.1 |
| Output waveguide | 2 | 6 | 0.1 |
| Cross Talk (dB) | Channel | 1 | 2 |
|---|---|---|---|
| Figure 4b | 1 | - | −48.30 |
| 2 | −33.64 | - | |
| Figure 4c | 1 | - | −25.67 |
| 2 | −42.24 | - | |
| Figure 4d | 1 | - | −22.38 |
| 2 | −34.26 | - | |
| Figure 4e | 1 | - | −11.63 |
| 2 | −7.12 | - |
| Ref. | [4] | [5] | [24] | [26] | [39] | [40] | [41] | [42] | [43] | [44] | [45] | [46] | [47] | [48] | This work |
|---|---|---|---|---|---|---|---|---|---|---|---|---|---|---|---|
| Maximum Transmission Ratio (%) | 80 | 45 | 70 | 50 | 50 | 50 | - | - | 25 | - | 95.8 | 99 | 65 | 92 | 55 |
| Minimum FWHM (nm) | 36 | 59 | 110 | 518 | 300 | - | 300 | 400 | 237 | - | 30 | 2 | 650 | 200 | 220 |
| Crosstalk (dB) | −29 | −30 | - | −47.14 | −38 | - | - | - | - | −14 | −18.9 | −18 | - | - | −48.30 |
| Tunability | no | no | yes | yes | yes | yes | yes | yes | yes | no | no | no | yes | no | yes |
© 2020 by the authors. Licensee MDPI, Basel, Switzerland. This article is an open access article distributed under the terms and conditions of the Creative Commons Attribution (CC BY) license (http://creativecommons.org/licenses/by/4.0/).
Share and Cite
Asgari, S.; Fabritius, T. Tunable Mid-Infrared Graphene Plasmonic Cross-Shaped Resonator for Demultiplexing Application. Appl. Sci. 2020, 10, 1193. https://doi.org/10.3390/app10031193
Asgari S, Fabritius T. Tunable Mid-Infrared Graphene Plasmonic Cross-Shaped Resonator for Demultiplexing Application. Applied Sciences. 2020; 10(3):1193. https://doi.org/10.3390/app10031193
Chicago/Turabian StyleAsgari, Somayyeh, and Tapio Fabritius. 2020. "Tunable Mid-Infrared Graphene Plasmonic Cross-Shaped Resonator for Demultiplexing Application" Applied Sciences 10, no. 3: 1193. https://doi.org/10.3390/app10031193
APA StyleAsgari, S., & Fabritius, T. (2020). Tunable Mid-Infrared Graphene Plasmonic Cross-Shaped Resonator for Demultiplexing Application. Applied Sciences, 10(3), 1193. https://doi.org/10.3390/app10031193

