Modeling and Simulation of a Hybrid Compression/Absorption Chiller Driven by Stirling Engine and Solar Dish Collector
Abstract
Featured Application
Abstract
1. Introduction
2. Modeling and Simulation
- Space conditioning system, SCS. In this system, it is required to remove the heat from the conditioned Space conditioning system, SCS. In this system, it is required to remove the heat from the conditioned space. Solar radiation and outside temperature influence the amount of heat to be removed by the coil e.
- Compression refrigeration system, CRS. This system removes the heat from the conditioned space through the evaporator ce. This parameter, together with the outside temperature, To, and the inside temperature, Ti, influences the power of the compressor, c.
- Thermal engine system, TES. This system consists of a Stirling engine mechanically coupled to the compressor of the compression system. Depending on the power of the compressor and the efficiency of the heat engine, the amount of heat required from the hot source HS is determined.
- Absorption refrigeration system, ARS. This system removes the heat from the conditioned space through ae. This parameter, together with the outside temperature, inside temperature and supply temperature, Tg, influences the amount of heat required in the generator g.
- Solar energy system, SES. This system consists of a dish collector, which takes advantage of the radiation in the heat absorber. This heat is provided to the Stirling engine that is coupled to the compression system and/or the absorption refrigeration system.
2.1. Modeling of Hybrid Compression/Absorption Chiller
2.1.1. Space Conditioning System, SCS
2.1.2. Compression Refrigeration System, CRS
2.1.3. Thermal Engine System, TES
2.1.4. Absorption Refrigeration System, ARS
2.2. Modeling of the Solar Collector for Hybrid Chiller
Solar Energy System, SES
2.3. Assumptions
2.4. Hybrid Chiller Simulation
2.5. Model Validation
3. Results
3.1. Hybrid Compression/Absorption Chiller
3.2. Solar Collector for Hybrid Chiller
4. Conclusions
- -
- The hybrid chiller can produce cooling with both cooling systems coupled, or only with one, from xa = 0 to xa = 1.
- -
- The compression system coupled with the Stirling engine can provide cooling power in the evaporator up to 53% higher than the heat supplied to the hot source of the heat engine.
- -
- The mechanical power ratio between the compression and absorption system varies between 560 and 5 in the range of xa from 0.05 to 0.95. When xa is in the range of 0.2 to 0.45, the power ratio is between 130 and 30. This range may be suitable for the operation of the hybrid system.
- -
- Regarding the heat ratio rq = u/e, it can be concluded that for obtaining greater cooling power than heat supply, the operation of the absorption system should be between xa = 0.2 and 0.6, with Stirling engine efficiencies between 0.2 and 0.3 and condensing temperatures from 28 to 37 °C.
- -
- The diameter of the absorber of the solar concentrator can be smaller than 30 cm, when the concentration ratio is greater than 20. This can contribute to distribute the radiation in the hot source over a larger area and to reach medium temperatures, rather than high temperatures, which contributes to improve the efficiency of the solar concentrator.
- -
- The cooling power produced by the compression system can be up to 3 times higher than the heat supplied to the hot source of the Stirling engine, with Th = 200 °C and ηs = 0.3.
- -
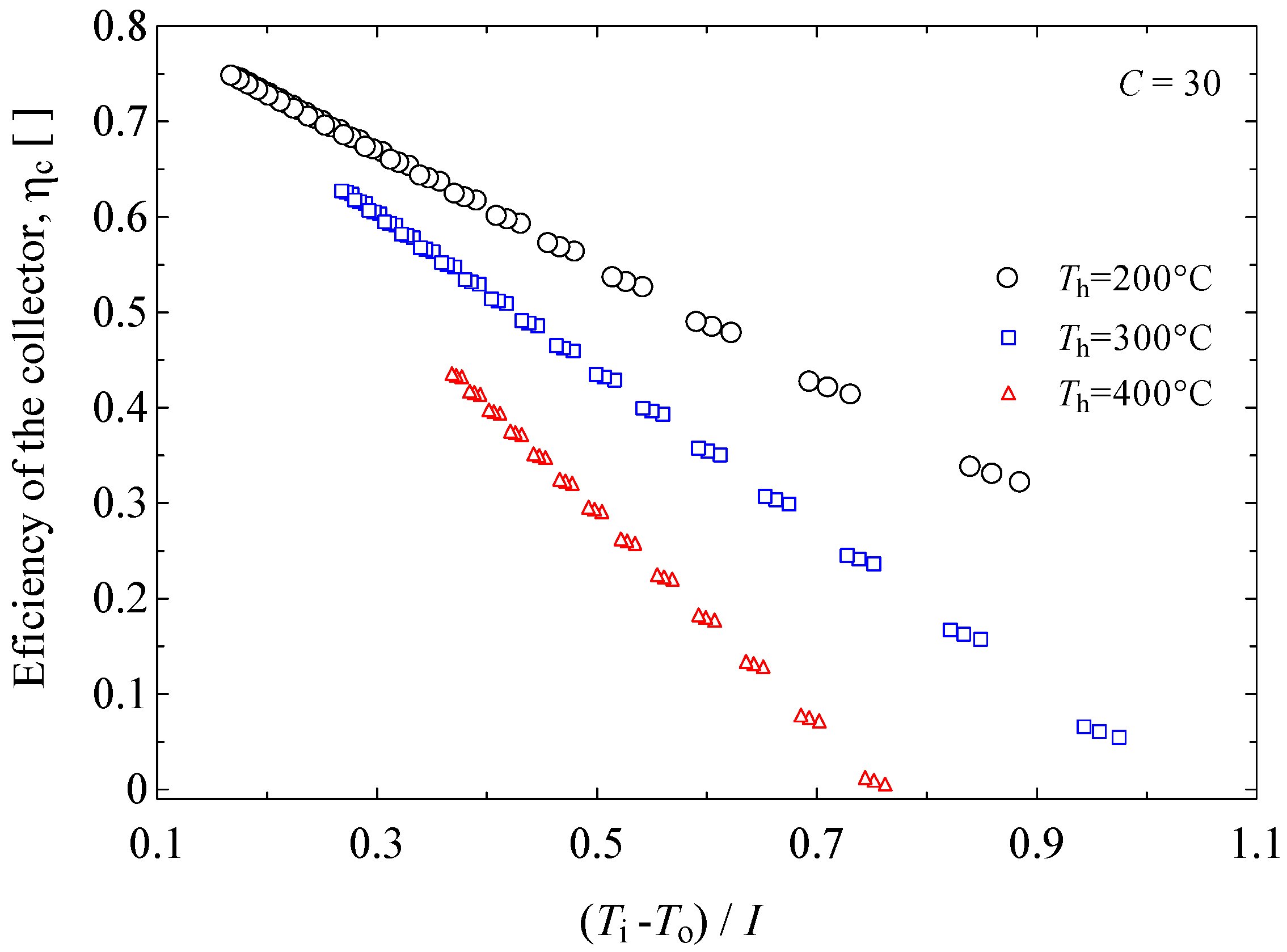
- The efficiency of the solar concentrator is higher when the temperature in the hot spot is lower.
- -
- With high Tc, the COP of the absorption system increases with Th, whereas, with small Tc, the change in COP with respect to Th is negligible.
- -
- The energy and economic savings of the proposed system, respect to a conventional electricity-driven air conditioning system, can be up to 60 MWh and $5300 at the end of the useful life of 25 years.
Author Contributions
Funding
Conflicts of Interest
Nomenclature
| A | area (m2), absorber |
| ARS | Absorption Refrigeration System |
| C | concentration ratio, Condenser |
| SCS | Space conditioning system |
| COP | Coefficient of Performance |
| CRS | Compression refrigeration system |
| E | evaporator |
| G | generator |
| h | convection heat transfer coefficient (W/m2K); enthalpy (kJ/kg) |
| I | solar irradiation (W/m2) |
| mass flow rate (kg/s) | |
| heat flux (W) | |
| R | recuperator |
| SES | Solar energy system |
| T | |
| TES | Thermal engine system |
| U | global heat transfer coefficient (W/m2 K) |
| v | specific volume (m3/kg) |
| x | concentration |
| w | specific work (kJ/kg) |
| power (W) | |
| Greek symbols | |
| η | performance |
| ε | efficiency, emissivity |
| σ | Boltzmann |
| Subscripts | |
| 1, 2, 3 … 10 | position in the system |
| a | absorber |
| Ab | solar absorber/heat spot |
| ae | absorption evaporator |
| App | parabolic dish |
| ar | absorption refrigeration |
| c | condenser/compression |
| cr | compression refrigeration |
| cs | concentrated solution |
| ds | diluted solution |
| D | driven |
| e | evaporator |
| ce | compression evaporator |
| inf | infiltration |
| g | generator |
| h | hot spot |
| HS | heat source of Stirling engine |
| i | indoor |
| LS | cold sink of Stirling engine |
| misc | miscellaneous |
| o | outside |
| oc | occupants |
| p | pump |
| r | radiation |
| re | recuperator |
| s | Stirling engine, surface |
| Sup | surface |
| t | transmission |
| T | total |
| u | useful |
References
- Krzaczek, M.; Florczuk, J.; Tejchman, J. Improved energy management technique in pipe-embedded wall heating/cooling system in residential buildings. Appl. Energy 2019, 254, 113711. [Google Scholar] [CrossRef]
- Giacomin, R.; Calmon, J.L.; Viera, D.; Chain, M.C. Characterization of representative residential buildings within a neighborhood and their energy efficiency levels according to RTQ-R. Appl. Sci. 2019, 9, 3832. [Google Scholar] [CrossRef]
- Brennenstuhl, M.; Zeh, R.; Otto, R.; Pesch, R.; Stockinger, V.; Pietruschka, D. Report on a plus-energy district with low-temperature dhc network, novel agrothermal heat source, and applied demand response. Appl. Sci. 2019, 9, 5059. [Google Scholar] [CrossRef]
- Pater, S. Field measurements and energy performance analysis of renewable energy source devices in a heating and cooling system in a residential building in southern Poland. Energy Build. 2019, 199, 115–125. [Google Scholar] [CrossRef]
- Sen, O.; Yilmaz, C. Thermodynamic performance analysis of geothermal and solar energy assisted power generation and residential cooling system. Int. Adv. Res. Eng. J. 2020, 4, 41–47. [Google Scholar] [CrossRef]
- Inayat, A.; Raza, M. District cooling system via renewable energy sources: A review. Renew. Sustain. Energy Rev. 2019, 107, 360–373. [Google Scholar] [CrossRef]
- Bergero, S.; Chiari, A. On the performances of a hybrid air-conditioning system in different climatic conditions. Energy 2011, 36, 5261–5273. [Google Scholar] [CrossRef]
- Ni, M.; Shi, B.; Xiao, G.; Peng, H.; Sultan, U.; Wang, S.; Luo, Z.; Cen, K. Improved Simple Analytical Model and experimental study of a 100 W β-type Stirling engine. Appl. Energy 2016, 169, 768–787. [Google Scholar] [CrossRef]
- Tongdee, N.; Jandakaew, M.; Dolwichai, T.; Thumthae, C. Thermodynamics Analysis for Optimal Geometrical Parameters and Influence of Heat Sink Temperature of Gamma-configuration Stirling Engine. Energy Procedia 2017, 105, 1782–1788. [Google Scholar] [CrossRef]
- Cascella, F.; Sorin, M.; Formosa, F.; Teyssedou, A. Modeling the dynamic and thermodynamic operation of Stirling engines by means of an equivalent electrical circuit. Energy Convers. Manag. 2017, 150, 295–303. [Google Scholar] [CrossRef]
- Wang, J.; Wang, B.; Wu, W.; Li, X.; Shi, W. Performance analysis of an absorption-compression hybrid refrigeration system recovering condensation heat for generation. Appl. Therm. Eng. 2016, 108, 54–65. [Google Scholar] [CrossRef]
- Yang, H.S.; Cheng, C.H. Stability analysis of thermal-lag Stirling engines. Appl. Therm. Eng. 2016, 106, 712–720. [Google Scholar] [CrossRef]
- Chahartaghi, M.; Sheykhi, M. Thermal modeling of a trigeneration system based on beta-type Stirling engine for reductions of fuel consumption and pollutant emission. J. Clean. Prod. 2018, 205, 145–162. [Google Scholar] [CrossRef]
- Açıkkalp, E.; Kandemir, S.Y.; Ahmadi, M.H. Solar driven Stirling engine—chemical heat pump—absorption refrigerator hybrid system as environmental friendly energy system. J. Environ. Manag. 2019, 232, 455–461. [Google Scholar] [CrossRef] [PubMed]
- Li, J.; Xu, S. The performance of absorptionecompression hybrid refrigeration driven by waste heat and power from coach engine. Appl. Therm. Eng. 2013, 61, 747–755. [Google Scholar] [CrossRef]
- Li, Z.; Yu, J.; Chen, E.; Jing, Y. Off-design modeling and simulation of solar absorption-subcooled compression hybrid cooling system. Appl. Sci. 2018, 8, 2612. [Google Scholar] [CrossRef]
- Fitó, J.; Coronas, A.; Mauran, S.; Mazet, N.; Stitou, D. Definition and performance simulations of a novel solar-driven hybrid absorption-thermochemical refrigeration system. Energy Convers. Manag. 2018, 175, 298–312. [Google Scholar] [CrossRef]
- Mohammadi, K.; Efati Khaledi, M.S.; Powell, K. A novel hybrid dual-temperature absorption refrigeration system: Thermodynamic, economic, and environmental analysis. J. Clean. Prod. 2019, 233, 1075–1087. [Google Scholar] [CrossRef]
- Song, M.; Wang, L.; Yuan, J.; Wang, Z.; Li, X.; Liang, K. Proposal and parametric study of solar absorption/dual compression hybrid refrigeration system for temperature and humidity independent control application. Energy Convers. Manag. 2020, 220, 113107. [Google Scholar] [CrossRef]
- He, H.; Wang, L.; Yuan, J.; Wang, Z.; Fu, W.; Liang, K. Performance evaluation of solar absorption-compression cascade refrigeration system with an integrated air-cooled compression cycle. Energy Convers. Manag. 2019, 201, 112153. [Google Scholar] [CrossRef]
- Zhang, J.; Li, Z.; Chen, H.; Xu, Y. Effect of hotwater setting temperature on performance of solar absorption-subcooled compression hybrid cooling systems. Appl. Sci. 2020, 10, 258. [Google Scholar] [CrossRef]
- Zhang, J.; Li, Z.; Jing, Y.; Xu, Y. Performance of solar absorption-subcooled compression hybrid cooling system for different flow rates of hot water. Appl. Sci. 2020, 10, 810. [Google Scholar] [CrossRef]
- Lin, L.; Tian, Y.; Luo, Y.; Chen, C.; Jiang, L. A novel solar system integrating concentrating photovoltaic thermal collectors and variable effect absorption chiller for flexible co-generation of electricity and cooling. Energy Convers. Manag. 2020, 206, 112506. [Google Scholar] [CrossRef]
- Lee, Y.; Park, S.; Kang, S. Performance analysis of a solid desiccant cooling system for a residential air conditioning system. Appl. Therm. Eng. 2021, 182, 116091. [Google Scholar] [CrossRef]
- Arzoz, D.; Rodriguez, P.; Izquierdo, M. Experimental study on the adiabatic absorption of water vapor into LiBr-H2O solutions. Appl. Therm. Eng. 2005, 25, 797–811. [Google Scholar] [CrossRef]
- Herold, K.E.; Radermacher, R.; Klein, S.A. Absorption Chillers and Heat Pumps, 2nd ed.; CRC Press: Columbus, OH, USA, 2016; ISBN 978-1498714341. [Google Scholar]
- Zacarías, A.; Quiroz, J.A.; Gutiérrez-Urueta, G.L.; Venegas, M.; Carvajal, I.; Rubio, J. Comparison between adiabatic and non-adiabatic absorption chillers using ammonia-lithium nitrate and water-lithium bromide solutions. Heat Transf. Res. 2020, 51, 609–621. [Google Scholar] [CrossRef]
- Dai, D.; Liu, Z.; Yuan, F.; Long, R.; Liu, W. Finite time thermodynamic analysis of a solar duplex Stirling refrigerator. Appl. Therm. Eng. 2019, 156, 597–605. [Google Scholar] [CrossRef]
- Barreto, G.; Canhoto, P. Modelling of a Stirling engine with parabolic dish for thermal to electric conversion of solar energy. Energy Convers. Manag. 2017, 132, 119–135. [Google Scholar] [CrossRef]
- Klein, S.A. Engineering Equation Solver; F-Chart Software: Madison, WI, USA, 2018. [Google Scholar]
- Reyes, J.; Zacarías, A.; Jiménez, J.A.; Donís, F.; Gutiérrez, C. Modelado de un Colector Solar Parabólico con Motor Stirling Para uso Doméstico y Pequeña Industria; XXIV Congreso Internacional Anual de la SOMIM; SOMIM: Campeche, Mexico, 2018; pp. 145–150. [Google Scholar]
- Click Renovables. Available online: https://clickrenovables.com/blog/aire-acondicionado-eficiente/ (accessed on 4 December 2020).
- Globalpetrolprice. Available online: https://es.globalpetrolprices.com/electricity_prices/ (accessed on 4 December 2020).
- Goswami, D.Y. Principles of Solar Engineering, 3rd ed.; CRC Press: New York, NY, USA, 2015; ISBN 9781466563797. [Google Scholar]













| Parameter | Value |
|---|---|
| Conditioned space | |
| Dimensions: length, wide, heigh [m] | 4, 3, 2.5 |
| Global heat transfer coefficient, U, [W/m2 K] | 0.5 |
| Solar collector | |
| Focus height, h [m] | 0.88 |
| Dish diameter, D [m]. Data taken from [31] | 1.4 |
| Optical efficiency, ηo, [ ]. Data taken from [28] | 0.85 |
| Emissivity of the dish, ε | 0.9 |
| Parameter | Value |
|---|---|
| Evaporation temperature, Te, °C | 5, 10, 15 |
| Condensation temperature, Tc, °C | 28, 32, 37 |
| Irradiance, I, W/m2 | 200–1000 |
| Concentration ratio, C | 5–100 |
| Operating fraction of the absorption system, xa | 0.01–0.99 |
Publisher’s Note: MDPI stays neutral with regard to jurisdictional claims in published maps and institutional affiliations. |
© 2020 by the authors. Licensee MDPI, Basel, Switzerland. This article is an open access article distributed under the terms and conditions of the Creative Commons Attribution (CC BY) license (http://creativecommons.org/licenses/by/4.0/).
Share and Cite
Romage, G.; Jiménez, C.; de Jesús Reyes, J.; Zacarías, A.; Carvajal, I.; Jiménez, J.A.; Pineda, J.; Venegas, M. Modeling and Simulation of a Hybrid Compression/Absorption Chiller Driven by Stirling Engine and Solar Dish Collector. Appl. Sci. 2020, 10, 9018. https://doi.org/10.3390/app10249018
Romage G, Jiménez C, de Jesús Reyes J, Zacarías A, Carvajal I, Jiménez JA, Pineda J, Venegas M. Modeling and Simulation of a Hybrid Compression/Absorption Chiller Driven by Stirling Engine and Solar Dish Collector. Applied Sciences. 2020; 10(24):9018. https://doi.org/10.3390/app10249018
Chicago/Turabian StyleRomage, Guerlin, Cuauhtémoc Jiménez, José de Jesús Reyes, Alejandro Zacarías, Ignacio Carvajal, José Alfredo Jiménez, Jorge Pineda, and María Venegas. 2020. "Modeling and Simulation of a Hybrid Compression/Absorption Chiller Driven by Stirling Engine and Solar Dish Collector" Applied Sciences 10, no. 24: 9018. https://doi.org/10.3390/app10249018
APA StyleRomage, G., Jiménez, C., de Jesús Reyes, J., Zacarías, A., Carvajal, I., Jiménez, J. A., Pineda, J., & Venegas, M. (2020). Modeling and Simulation of a Hybrid Compression/Absorption Chiller Driven by Stirling Engine and Solar Dish Collector. Applied Sciences, 10(24), 9018. https://doi.org/10.3390/app10249018

