Condition Rating Prediction Using an Interactive Deterioration Model Development Package
Abstract
1. Introduction
2. Background
3. DMDP
3.1. NBI Regulation
3.2. Weighted LASSO
3.3. Prediction of Condition Ratings
4. Development of Deterioration Models
4.1. Deterministic Deterioration Models
4.2. Stochastic Deterioration Models Using Markov Chain
4.3. Stochastic Deterioration Models Using Weibull Distribution
5. Effect of Using Weighted LASSO
5.1. Selection of Explanatory Variables
5.2. Effective Number of Explanatory Variables
6. Comparison of Deterioration Models for Wyoming Bridges
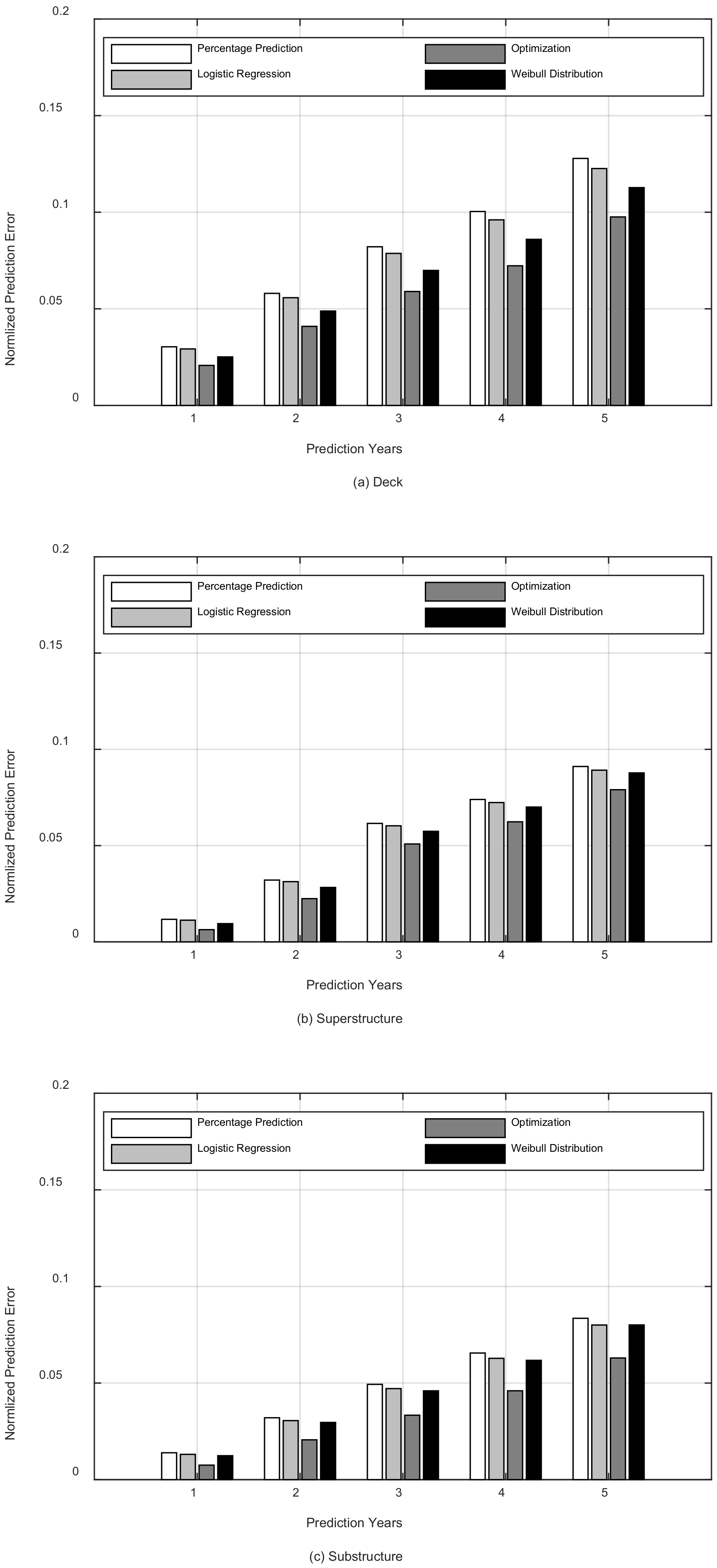
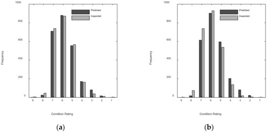
6.1. Deterministic Deterioration Models
6.2. Stochastic Deterioration Models
6.3. Assessment of Various Modeling Strategies Using DMDP
7. Conclusions
Author Contributions
Funding
Conflicts of Interest
References
- Thompson, P.D.; Small, E.P.; Johnson, M.; Marshall, A.R. The Pontis bridge management system. Struct. Eng. Int. 1998, 8, 303–308. [Google Scholar] [CrossRef]
- Miyamoto, A.; Kawamura, K.; Nakamura, H. Bridge management system and maintenance optimization for existing bridges. Comput. Aided Civ. Infrastruct. Eng. 2000, 15, 45–55. [Google Scholar] [CrossRef]
- Frangopol, D.M.; Saydam, D.; Kim, S. Maintenance, management, life-cycle design and performance of structures and infrastructures: A brief review. Struct. Infrastruct. Eng. 2012, 8, 1–25. [Google Scholar] [CrossRef]
- Agrawal, A.K.; Kawaguchi, A.; Chen, Z. Deterioration rates of typical bridge elements in New York. J. Bridge Eng. 2010, 15, 419–429. [Google Scholar] [CrossRef]
- Egger, C.; Scheidegger, A.; Reichert, P.; Maurer, M. Sewer deterioration modeling with condition data lacking historical records. Water Res. 2013, 47, 6762–6779. [Google Scholar] [CrossRef] [PubMed]
- Anyala, M.; Odoki, J.B.; Baker, C.J. Hierarchical asphalt pavement deterioration model for climate impact studies. Int. J. Pavement Eng. 2014, 15, 251–266. [Google Scholar] [CrossRef]
- Sobanjo, J.; Mtenga, P.; Rambo-Roddenberry, M. Reliability-based modeling of bridge deterioration hazards. J. Bridge Eng. 2010, 15, 671–683. [Google Scholar] [CrossRef]
- Abed-Al-Rahim, I.J.; Johnston, D.W. Bridge element deterioration rates. Transp. Res. Rec. 1995, 1490, 9–18. [Google Scholar]
- Federal Highway Administration (FHWA). Recording and Coding Guide for the Structure Inventory and Appraisal of the Nation’s Bridges; Report No. FHWA-PD-96-001; FHWA: Washington, DC, USA, 1995.
- Hearn, G.; Frangopol, D.; Chakravorty, M.; Myers, S.; Pinkerton, B.; Siccardi, A.J. Automated generation of NBI reporting fields from Pontis BMS database. In Infrastructure: Planning and Management; Gifford, J.L., Uzarski, D.R., McNeil, S., Eds.; ASCE: Reston, VA, USA, 1993; pp. 226–230. [Google Scholar]
- Morcous, G. Performance prediction of bridge deck systems using Markov chains. J. Perform. Constr. Facil. 2006, 20, 146–155. [Google Scholar] [CrossRef]
- Chang, M.; Maguire, M. Developing Deterioration Models for Wyoming Bridges; Report No. FHWA-WY-16/09F; Wyoming Department of Transportation: Cheyenne, WY, USA, 2016.
- Thomas, O.; Sobanjo, J. Comparison of Markov chain and semi-Markov models for crack deterioration on flexible pavements. J. Infrastruct. Syst. 2013, 19, 186–195. [Google Scholar] [CrossRef]
- Cavalline, T.L.; Whelan, M.J.; Tempest, B.Q.; Goyal, R.; Ramsey, J.D. Determination of Bridge Deterioration Models and Bridge User Costs for the NCDOT Bridge Management System; Report No. FHWA/NC/2014-07; North Carolina Department of Transportation: Carthage, NC, USA, 2015.
- Assaad, R.; El-adaway, I.H. Bridge infrastructure asset management system: Comparative computational machine learning approach for evaluating and predicting deck deterioration conditions. J. Infrastruct. Syst. 2020, 26, 04020032. [Google Scholar] [CrossRef]
- Frangopol, D.M.; Lin, K.Y.; Estes, A.C. Life-cycle cost design of deteriorating structures. J. Struct. Eng. 1997, 123, 1390–1401. [Google Scholar] [CrossRef]
- Kong, J.S.; Frangopol, D.M. Cost–reliability interaction in life-cycle cost optimization of deteriorating structures. J. Struct. Eng. 2004, 130, 1704–1712. [Google Scholar] [CrossRef]
- Liu, C.; Hammad, A.; Itoh, Y. Maintenance strategy optimization of bridge decks using genetic algorithm. J. Transp. Eng. 1997, 123, 91–100. [Google Scholar] [CrossRef]
- Grall, A.; Bérenguer, C.; Dieulle, L. A condition-based maintenance policy for stochastically deteriorating systems. Reliab. Eng. Syst. Saf. 2002, 76, 167–180. [Google Scholar] [CrossRef]
- Dromey, L.; Ruane, K.; Murphy, J.J.; O’Rourke, B.; Lacey, S. A bridge-rehabilitation strategy based on the analysis of a bridge-inspection data set. Infrastruct. Asset Manag. 2020, 7, 25–35. [Google Scholar] [CrossRef]
- Chang, M.; Maguire, M.; Sun, Y. Framework for mitigating human bias in selection of explanatory variables for bridge deterioration modeling. J. Infrastruct. Syst. 2017, 23, 04017002. [Google Scholar] [CrossRef]
- Brown, M.; Chaganty, N.R. On the first passage time distribution for a class of Markov chains. Ann. Probab. 1983, 11, 1000–1008. [Google Scholar] [CrossRef]
- Scheidegger, A.; Hug, T.; Rieckermann, J.; Maurer, M. Network condition simulator for benchmarking sewer deterioration models. Water Res. 2011, 45, 4983–4994. [Google Scholar] [CrossRef]
- Chang, M.; Maguire, M.; Sun, Y. Stochastic modeling of bridge deterioration using classification tree and logistic regression. J. Infrastruct. Syst. 2019, 25, 04018041. [Google Scholar] [CrossRef]
- Hatami, A.; Morcous, G. Deterioration models for life-cycle cost analysis of bridge decks in Nebraska. Transp. Res. Rec. 2012, 2313, 3–11. [Google Scholar] [CrossRef]
- Jiang, Y.; Saito, M.; Sinha, K.C. Bridge performance prediction model using the Markov chains. Transp. Res. Rec. 1988, 1180, 25–32. [Google Scholar]
- Madanat, S.; Kalaftis, M.G.; McCarthy, P.S. Probabilistic infrastructure deterioration models with panel data. J. Infrastruct. Syst. 1997, 3, 4–9. [Google Scholar] [CrossRef]
- Sianipar, P.M.M.; Adams, T.M. Fault-tree model of bridge element deterioration due to interaction. J. Infrastruct. Syst. 1997, 3, 103–110. [Google Scholar] [CrossRef]
- Black, M.; Brint, A.T.; Brailsford, J.R. A semi-Markov approach for modelling asset deterioration. J. Oper. Res. Soc. 2005, 56, 1241–1249. [Google Scholar] [CrossRef]
- Mishalani, R.G.; Madanat, S.M. Computation of infrastructure transition probabilities using stochastic duration models. J. Infrastruct. Syst. 2002, 8, 139–148. [Google Scholar] [CrossRef]
- Sobanjo, J.O. State transition probabilities in bridge deterioration based on Weibull sojourn times. Struct. Infrastruct. Eng. 2011, 7, 747–764. [Google Scholar] [CrossRef]
- Yan, W.J.; Papadimitriou, C.; Katafygiotis, L.S.; Chronopoulos, D. An analytical perspective on Bayesian uncertainty quantification and propagation in mode shape assembly. Mech. Syst. Signal Process. 2020, 135, 106376. [Google Scholar] [CrossRef]
- Enright, M.P.; Frangopol, D.M. Condition prediction of deteriorating concrete bridges using Bayesian updating. J. Struct. Eng. 1999, 125, 1118–1125. [Google Scholar] [CrossRef]
- Straub, D. Stochastic modeling of deterioration processes through dynamic Bayesian networks. J. Eng. Mech. 2009, 135, 1089–1099. [Google Scholar] [CrossRef]
- Zhang, H.; Marsh, D.W.R. Multi-state deterioration prediction for infrastructure asset: Learning from uncertain data, knowledge and similar groups. Inf. Sci. 2020, 529, 197–213. [Google Scholar] [CrossRef]
- Huang, Y.H. Artificial neural network model of bridge deterioration. J. Perform. Constr. Facil. 2010, 24, 597–602. [Google Scholar] [CrossRef]
- Lee, J.S.; Hwang, S.H.; Choi, I.Y.; Kim, I.K. Prediction of track deterioration using maintenance data and machine learning schemes. J. Transp. Eng. Part A Syst. 2018, 144, 04018045. [Google Scholar] [CrossRef]
- Liu, K.; El-Gohary, N. Ontology-based semi-supervised conditional random fields for automated information extraction from bridge inspection reports. Autom. Constr. 2017, 81, 313–327. [Google Scholar] [CrossRef]
- Butt, A.A.; Shahin, M.Y.; Feighan, K.J.; Carpenter, S.H. Pavement performance prediction model using the Markov process. Transp. Res. Rec. 1987, 1123, 12–19. [Google Scholar]
- Mauch, M.; Madanat, S. Semiparametric hazard rate models of reinforced concrete bridge deck deterioration. J. Infrastruct. Syst. 2001, 7, 49–57. [Google Scholar] [CrossRef]
- Manafpour, A.; Guler, I.; Radlińska, A.; Rajabipour, F.; Warn, G. Stochastic analysis and time-based modeling of concrete bridge deck deterioration. J. Bridge Eng. 2018, 23, 04018066. [Google Scholar] [CrossRef]
- Baik, H.S.; Jeong, H.S.; Abraham, D.M. Estimating transition probabilities in Markov chain-based deterioration models for management of wastewater systems. J. Water Resour. Plan. Manag. 2006, 132, 15–24. [Google Scholar] [CrossRef]
- Veshosky, D.; Beidleman, C.R.; Buetow, G.W.; Demir, M. Comparative analysis of bridge superstructure deterioration. J. Struct. Eng. 1994, 120, 2123–2136. [Google Scholar] [CrossRef]
- Wellalage, N.K.W.; Zhang, T.; Dwight, R. Calibrating Markov chain–based deterioration models for predicting future conditions of railway bridge elements. J. Bridge Eng. 2015, 20, 04014060. [Google Scholar] [CrossRef]
- Le Son, K.; Fouladirad, M.; Barros, A.; Levrat, E.; Iung, B. Remaining useful life estimation based on stochastic deterioration models: A comparative study. Reliab. Eng. Syst. Saf. 2013, 112, 165–175. [Google Scholar] [CrossRef]
- Bu, G.; Lee, J.; Guan, H.; Blumenstein, M.; Loo, Y.C. Development of an integrated method for probabilistic bridge-deterioration modeling. J. Perform. Constr. Facil. 2014, 28, 330–340. [Google Scholar] [CrossRef][Green Version]
- Federal Highway Administration (FHWA). Bridge Preservation Guide: Maintaining a State of Good Repair Using Cost Effective Investment Strategies; Report No. FHWA-HIF-11-042; FHWA: Washington, DC, USA, 2011.
- Morcous, G.; Hatami, A. Developing Deterioration Models for Nebraska Bridges; Report No. SPR-P1 M302; Nebraska Department of Transportation: Lincoln, NE, USA, 2011.
- Chang, M. Deterioration Model Development Package User’s Guide. Available online: http://home.mju.ac.kr/home/index.action?siteId=cmw321 (accessed on 1 December 2020).
- Federal Highway Administration (FHWA). Download NBI ASCII Files. Available online: https://www.fhwa.dot.gov/bridge/nbi/ascii.cfm (accessed on 1 October 2020).
- Themelis, K.; Rontogiannis, A.A.; Koutroumbas, K. Semi-Supervised Hyperspectral Unmixing via the Weighted Lasso. In Proceedings of the 2010 IEEE International Conference on Acoustics, Speech and Signal Processing, Dallas, TX, USA, 14–19 March 2010; Institute of Electrical and Electronics Engineers (IEEE): Piscataway, NJ, USA, 2010. [Google Scholar]
- Yeh, R.H. State-age-dependent maintenance policies for deteriorating systems with Erlang sojourn time distributions. Reliab. Eng. Syst. Saf. 1997, 58, 55–60. [Google Scholar] [CrossRef]
- American Road & Transportation Builders Association (ARTBA). 2018 Annual Report. Available online: https://www.artba.org/wp-content/uploads/2019/01/ARTBA-Annual-Report_1.17.19.FINAL_.pdf (accessed on 31 December 2019).















| Index No. | Candidate Variables |
|---|---|
| 1 | Route signing prefix |
| 2 | Highway agency district |
| 3 | Base highway network |
| 4 | Maintenance responsibility |
| 5 | Functional classification of inventory route |
| 6 | Year built (age) |
| 7 | Lanes on the structure |
| 8 | Lanes under the structure |
| 9 | Average daily traffic |
| 10 | Design load |
| 11 | Skew |
| 12 | Type of service on bridge |
| 13 | Type of service under bridge |
| 14 | Kind of material and/or design |
| 15 | Type of design and/or construction |
| 16 | Number of spans in main unit |
| 17 | Inventory route, total horizontal clearance |
| 18 | Length of maximum span |
| 19 | Structure length |
| 20 | Bridge roadway width |
| 21 | Deck width |
| 22 | Deck structure type |
| 23 | Type of wearing surface |
| 24 | Type of membrane |
| 25 | Deck protection |
| 26 | Average daily truck traffic |
| 27 | Designated national network |
| Year | Single-Year Inspection | Eight-Year Inspection | ||||||||
|---|---|---|---|---|---|---|---|---|---|---|
| 2009 | 23 | 9 | 4 | 10 | 22 | 23 | 10 | 4 | 5 | 19 |
| 2010 | 23 | 22 | 19 | 10 | 9 | 23 | 10 | 4 | 19 | 9 |
| 2011 | 23 | 22 | 2 | 19 | 4 | 23 | 4 | 19 | 10 | 22 |
| 2012 | 23 | 19 | 2 | 4 | 22 | 23 | 19 | 2 | 4 | 22 |
| 2013 | 19 | 23 | 4 | 9 | 2 | 23 | 19 | 2 | 4 | 22 |
| 2014 | 23 | 19 | 4 | 9 | 2 | 23 | 19 | 4 | 2 | 9 |
| 2015 | 23 | 4 | 19 | 5 | 9 | 23 | 19 | 4 | 2 | 9 |
| 2016 | 23 | 4 | 19 | 9 | 10 | 23 | 19 | 4 | 9 | 2 |
| 2017 | 23 | 19 | 4 | 10 | 9 | 23 | 19 | 4 | 10 | 9 |
| 2018 | 23 | 10 | 19 | 4 | 26 | 23 | 19 | 4 | 10 | 2 |
| Year | Single-Year Inspection | Eight-Year Inspection | ||||||||
|---|---|---|---|---|---|---|---|---|---|---|
| 2009 | 22 | 10 | 21 | 18 | 5 | 22 | 10 | 21 | 17 | 4 |
| 2010 | 22 | 20 | 10 | 21 | 5 | 22 | 10 | 21 | 17 | 4 |
| 2011 | 22 | 20 | 10 | 21 | 18 | 22 | 10 | 20 | 21 | 17 |
| 2012 | 22 | 20 | 10 | 4 | 18 | 22 | 10 | 20 | 21 | 18 |
| 2013 | 22 | 20 | 18 | 21 | 5 | 22 | 20 | 10 | 21 | 5 |
| 2014 | 22 | 20 | 15 | 5 | 18 | 22 | 20 | 10 | 5 | 18 |
| 2015 | 22 | 10 | 5 | 4 | 19 | 22 | 20 | 10 | 5 | 18 |
| 2016 | 22 | 23 | 4 | 20 | 14 | 22 | 20 | 4 | 5 | 19 |
| 2017 | 22 | 10 | 4 | 19 | 8 | 22 | 20 | 4 | 10 | 19 |
| 2018 | 10 | 22 | 4 | 19 | 8 | 22 | 10 | 4 | 19 | 20 |
| Year | Single-Year Inspection | Eight-Year Inspection | ||||||||
|---|---|---|---|---|---|---|---|---|---|---|
| 2009 | 10 | 20 | 23 | 22 | 21 | 10 | 20 | 21 | 22 | 23 |
| 2010 | 20 | 10 | 23 | 22 | 1 | 10 | 20 | 22 | 23 | 21 |
| 2011 | 20 | 23 | 10 | 22 | 1 | 10 | 20 | 23 | 22 | 1 |
| 2012 | 23 | 10 | 20 | 5 | 4 | 10 | 20 | 23 | 22 | 1 |
| 2013 | 23 | 20 | 10 | 5 | 22 | 10 | 23 | 22 | 20 | 1 |
| 2014 | 23 | 10 | 20 | 5 | 26 | 23 | 20 | 10 | 22 | 5 |
| 2015 | 23 | 10 | 20 | 5 | 22 | 23 | 10 | 20 | 5 | 22 |
| 2016 | 23 | 10 | 20 | 22 | 5 | 23 | 10 | 20 | 5 | 22 |
| 2017 | 10 | 23 | 22 | 20 | 5 | 23 | 10 | 20 | 22 | 5 |
| 2018 | 10 | 22 | 26 | 20 | 5 | 10 | 23 | 22 | 20 | 5 |
Publisher’s Note: MDPI stays neutral with regard to jurisdictional claims in published maps and institutional affiliations. |
© 2020 by the authors. Licensee MDPI, Basel, Switzerland. This article is an open access article distributed under the terms and conditions of the Creative Commons Attribution (CC BY) license (http://creativecommons.org/licenses/by/4.0/).
Share and Cite
Chang, M.; Maguire, M. Condition Rating Prediction Using an Interactive Deterioration Model Development Package. Appl. Sci. 2020, 10, 8946. https://doi.org/10.3390/app10248946
Chang M, Maguire M. Condition Rating Prediction Using an Interactive Deterioration Model Development Package. Applied Sciences. 2020; 10(24):8946. https://doi.org/10.3390/app10248946
Chicago/Turabian StyleChang, Minwoo, and Marc Maguire. 2020. "Condition Rating Prediction Using an Interactive Deterioration Model Development Package" Applied Sciences 10, no. 24: 8946. https://doi.org/10.3390/app10248946
APA StyleChang, M., & Maguire, M. (2020). Condition Rating Prediction Using an Interactive Deterioration Model Development Package. Applied Sciences, 10(24), 8946. https://doi.org/10.3390/app10248946

