Two-Lane Highways Crest Curve Design. The Case Study of Italian Guidelines
Abstract
1. Introduction
2. The Overtaking Maneuver and the Passing Sight Distance (PSD)
- ▪
- v: design speed of the highway segment under analysis expressed in m/s;
- ▪
- t1 = 4 s: time for lane change (from the right lane to the opposing lane);
- ▪
- t2 = 2 s: overtaking time (at the end of this time interval the rear bumper of vehicle A and the front bumper of vehicle B are at the same road section);
- ▪
- t3 = 4 s: time for lane change (from the opposing lane to the right lane).
- ▪
- lm = (lA + lB)/2;
- ▪
- lA length of the vehicle A;
- ▪
- lB length of the vehicle B.
3. Analytical Derivation of Crest Curve Minimum Radius
- Passing sight distance is shorter than vertical curve length (D < L);
- Passing sight distance is longer than vertical curve length (D > L).
3.1. Case in Which D < L
3.2. Case in Which D > L
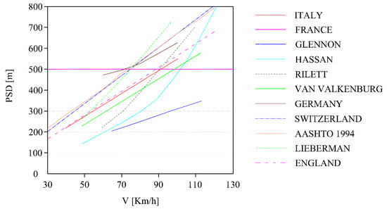
4. Passing Sight Distance, Opposing Vehicle Height h2, and Eye Height h1
Minimum Values of Rv
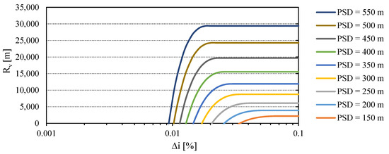
5. Visible Vehicle Body Height in Function of Time
- ▪
- Rv = 30,400 m for h2(15) = 1.39 m;
- ▪
- Rv = 29,500 m for h2(m) = 1.48 m.
6. Conclusions
Funding
Conflicts of Interest
Nomenclature
| a | acceleration rate |
| di i = 1,2, …, 6 | subinterval of PSD (depending on the model in Table 2) |
| d | deceleration rate of passing vehicle abortion |
| D | available sight distance |
| Δc | vehicle critical position |
| G1 | distance between the rear bumper of the passing vehicle and the front bumper of the impeding vehicle at the end of a completed pass |
| h | headway |
| h1 | driver’s eye height |
| h2 | opposing vehicle height |
| h2(m) | average vehicle heights of the passenger car population in Italy |
| h2(15) | 15th percentile of the height distribution of the passenger car population in Italy |
| Hv | visible vehicle body height |
| i1 | left-hand side road grade |
| i2 | right-hand side road grade |
| Δi | total grade change |
| k | traffic density |
| L | crest vertical curve length |
| Lp | length of passing vehicle |
| Li | length of impeding vehicle |
| m = ∆v | difference in speed between passing and impeding vehicles |
| PSD | passing sight distance |
| q | traffic flow rate |
| Rv | crest vertical curves radius |
| SSD | stopping sight distance |
| t | time |
| v | design speed in m/s |
| V | design speed in km/h |
| vs | mean space speed |
References
- Wang, Z.; Liu, C. Critique on the Highway Vertical Curve Design Specifications in China. In Proceedings of the ICCTP 2010: Integrated Transportation Systems: Green, Intelligent, Reliable, Beijing, China, 4–8 August 2010; pp. 3564–3571. [Google Scholar] [CrossRef]
- Mohammed, A.A.; Ambak, K.; Mosa, A.M.; Syamsunur, D. A review of the traffic accidents and related practices worldwide. Open Transp. J. 2019, 13, 65–83. [Google Scholar] [CrossRef]
- Bhandari, S.B.; Nalmpantis, D. Application of various multiple criteria analysis methods for the evaluation of rural road projects. Open Transp. J. 2018, 12, 57–76. [Google Scholar] [CrossRef]
- Mansouri, M.; Kargar, M.J. Analysis and monitoring of the traffic suburban road accidents using data mining techniques; a case study of Isfahan Province in Iran. Open Transp. J. 2014, 8, 39–49. [Google Scholar] [CrossRef][Green Version]
- Royal-Dawson, F.G. Vartical Curves for Roads; E. & F.N. Spon, Limited: London, UK, 1946. [Google Scholar]
- Lamm, R. Highway Design and Traffic Safety Engineering Handbook; McGraw-Hill Education: New York, NY, USA, 1999. [Google Scholar]
- Guerrieri, M.; Ticali, D. Sustainable mobility in park areas: The potential offered by guided transport systems. In ICSDC 2011: Integrating Sustainability Practices in the Construction Industry; American Society of Civil Engineers: Reston, VA, USA, 2012; pp. 661–668. [Google Scholar] [CrossRef]
- Bonnett, C.F. Practical Railway Engineering; Imperial College Press: London, UK, 2005. [Google Scholar]
- Rogers, M.; Enright, B. Highway Engineering; Wiley: New Delhi, India, 2017. [Google Scholar]
- Italian Guidelines for the Design of Road Infrastructures (D.M. 5/11/2001): Italy. 2001. Available online: https://www.mit.gov.it/mit/mop_all.php?p_id=1983 (accessed on 3 November 2020).
- Italian Guidelines for the Design of Road Intersections (D.M. 19/04/2006): Italy. 2006. Available online: https://www.mit.gov.it/mit/mop_all.php?p_id=13799 (accessed on 3 November 2020).
- Llorca, C.; Tsui Moreno, A.; Garcia, A. Modelling vehicles acceleration during overtaking manoeuvres. IET Intell. Transp. Syst. 2016, 10, 206–215. [Google Scholar] [CrossRef]
- Ivan, J.N.; Wang, C.; Bernardo, N.R. Explaining two-lane highway crash rates using land use and hourly exposure. Accid. Anal. Prev. 2000, 32, 787–795. [Google Scholar] [CrossRef]
- Road Accidents in Italy (Years 2000–2006). Available online: www.istat.it (accessed on 1 June 2020).
- Campbell, J.L. Human Factors Guidelines for Road Systems, 2nd ed.; TRB: Washington, DC, USA, 2012; Volume 600. [Google Scholar]
- Guerrieri, M.; Corriere, F.; Parla, G.; Ticali, D. Estimation of pollutant emissions from road traffic by image processing techniques: A case study in a suburban area. ARPN J. Eng. Appl. Sci. 2013, 8, 668–676. [Google Scholar]
- Mauro, R. Traffic and Random Processes: An Introduction; Springer: Cham, Switzerland, 2015. [Google Scholar]
- Guerrieri, M.; Mauro, R. Capacity and safety analysis of hard-shoulder running (HSR). A motorway case study. Transp. Res. Part A Policy Pract. 2016, 92, 162–183. [Google Scholar] [CrossRef]
- Mauro, R.; Branco, F.; Guerrieri, M. Contribution to the platoon distribution analysis in steady-state traffic conditions. Period. Polytech. Civ. Eng. 2014, 58, 217–227. [Google Scholar] [CrossRef]
- Transportation Research Board. Highway Capacity Manual (HCM2016), 6th ed.; TRB: Washington, DC, USA, 2016. [Google Scholar]
- Yang, L.; Li, X.; Guan, W.; Zhang, H.M.; Fan, L. Effect of traffic density on drivers’ lane change and overtaking maneuvers in freeway situation—A driving simulator–based study. Traffic Inj. Prev. 2018, 19, 594–600. [Google Scholar] [CrossRef] [PubMed]
- Esposito, T.; Mauro, R. Fondamenti di Infrastrutture Viarie; Hevelius: Benevento, Italy, 2003. [Google Scholar]
- Swiss Association of Road Specialists (VSS). Design, Fundamentals, Sight Distances; Swiss Norm SN 640 090/640 090a; Swiss Association of Road Specialists: Zurigo, Switzerland, 1996. [Google Scholar]
- SETRA. Ministere de l’Equipement, Direction Des Routes (1994), Amenagement des Routes Principales; SETRA: Paris, France, 1994. [Google Scholar]
- Lieberman, E.B. Model for calculating safe passing sight distances on two-lane rural roads. Transp. Res. Rec. 1982, 869, 70–76. [Google Scholar]
- Glennon, J.C. New and improved model of passing sight distance on two-lane highways. Transp. Res. Rec. 1988, 1195, 132–137. [Google Scholar]
- Hassan, Y.; Easa, S.M.; Abd El Halim, A.O. Passing sight distance on two-lane highways: Review and revision. Transp. Res. Part A Policy Pract. 1996, 30, 453–467. [Google Scholar] [CrossRef]
- Van Valkenberg, G.W.; Michael, H.L. Criteria for no-passing zones. Highw. Res. Rec. 1971, 366, 1–9. [Google Scholar]
- Rilett, L.R.; Hutchinson, B.G.; Whitney, M. Mechanics of the Passing Maneuver and the Impact of Large Trucks. Transp. Res. Part A 1990, 24, 121–128. [Google Scholar] [CrossRef]
- American Association of State Highway and Transportation Officials. A Policy on Geometric Design of Highways and Streets; AASHTO: Washington, DC, USA, 1994. [Google Scholar]
- Findley, D.J.; Schroeder, B.; Cunningham, C.; Brown, T. Highway Engineering: Planning, Design, and Operations; Butterworth-Heinemann: Oxford, UK, 2015. [Google Scholar]
- Italian Car Population. 2006. Available online: http://www.aci.it/ (accessed on 20 June 2020).
- AASHTO. A Policy on Geometric Design of Highways and Streets; AASHTO: Washington, DC, USA, 2001. [Google Scholar]
- Guerrieri, M.; Corriere, F.; Rizzo, G.; Lo Casto, B.; Scaccianoce, G. Improving the sustainability of transportation: Environmental and functional benefits of right turn by-pass lanes at roundabouts. Sustainability 2015, 7, 5838–5856. [Google Scholar] [CrossRef]
- Eriksson, E.; Blinge, M.; Lövgren, G. Life cycle assessment of the road transport sector. Sci. Total Environ. 1996, 189, 69–76. [Google Scholar] [CrossRef]
- Maheshwari, P.; Khaddar, R.; Kachroo, P.; Paz, A. Dynamic Modeling of Performance Indices for Planning of Sustainable Transportation Systems. Netw. Spat. Econ. 2016, 16, 371–393. [Google Scholar] [CrossRef]
- AASHTO. Policy on Geometric Design of Highways and Streets 2011; AASHTO—American Association of State Highway and Transportation Officials: Washington, DC, USA, 2011. [Google Scholar]
- Mauro, R.; Guerrieri, M. Comparative life-cycle assessment of conventional (double lane) and non-conventional (turbo and flower) roundabout intersections. Transp. Res. Part D Transp. Environ. 2016, 48, 96–111. [Google Scholar] [CrossRef]
- Corriere, F.; Guerrieri, M.; Ticali, D.; Messineo, A. Estimation of air pollutant emissions in flower roundabouts and in conventional roundabouts. Arch. Civ. Eng. 2013, 59, 229–246. [Google Scholar] [CrossRef]
- Azeez, O.S.; Pradhan, B.; Shafri, H.Z.M.; Shukla, N.; Lee, C.-W.; Rizeei, H.M. Modeling of CO emissions from traffic vehicles using artificial neural networks. Appl. Sci. 2019, 9, 313. [Google Scholar] [CrossRef]
- Thomas, N.E.; Hafeez, B.; Evans, A. Revised design parameters for vertical curves. J. Transp. Eng. 1998, 124, 326–334. [Google Scholar] [CrossRef]
- Pu, Z.; Li, Z.; Ke, R.; Hua, X.; Wang, Y. Evaluating the Nonlinear Correlation between Vertical Curve Features and Crash Frequency on Highways Using Random Forests. J. Transp. Eng. Part A Syst. 2020, 146, 04020115. [Google Scholar] [CrossRef]
- Harwood, G.W.; Mason, J.M.; Brydia, R.E.; Pietrucha, M.T.; Gittings, G.L. Intersection Sight Distance; Report 383; TRB: Washington, DC, USA, 1996. [Google Scholar]











| Design Speed [km/h] | |||||||||||
|---|---|---|---|---|---|---|---|---|---|---|---|
| 40 | 50 | 60 | 70 | 80 | 90 | 100 | 110 | 120 | 130 | 140 | |
| Minimum Radius of Crest Vertical Curve [m] | |||||||||||
| Austria | 1500 | 2000 | 3000 | 4000 | 7500 | - | 12,500 | - | 20,000 | - | 35,000 |
| Belgium | - | - | 1600 | - | - | 7500 | - | - | 7824 | - | - |
| Denmark | - | - | - | - | 3500 | - | 6000 | - | 15,000 | - | - |
| Germany | |||||||||||
| 1984 | - | - | 3750 | 3500 | 5000 | 7000 | 10,000 | - | 20,000 | - | - |
| 1995 | - | 1400 | 2400 | 3150 | 4400 | 5700 | 8300 | - | 16,000 | - | - |
| New Research | - | - | 800 | 1500 | 2700 | 4700 | 7600 | - | 17,500 | - | - |
| France | 700 | - | 1500 | - | 3000 | - | 6000 | - | 12,000 | - | 18,000 |
| Italy | 500 | - | 1000 | - | 3000 | - | 7000 | - | 14,000 | - | - |
| The Netherlands | - | - | - | - | 1800 | - | 4100 | - | 12,400 | - | - |
| Spain | - | - | - | - | 3500 | - | 6000 | - | 12,000 | ||
| Sweden | - | 1100 | - | 3500 | - | 7000 | - | 10,000 | - | - | - |
| Sweden * | - | 600 * | - | 1800 * | 1800 * | - | - | - | - | - | |
| Switzerland | 620 | 1500 | 2100 | 3000 | 4200 | - | 10,500 | - | 18,000 | - | 31,000 |
| United Kingdom | - | 1100 | 1900 | 3300 | 5900 | - | 10,500 | - | 18,000 | - | - |
| Canada | 400 | 700 | 1500 | 2200 | 3500 | 5500 | 7000 | 8500 | 10,500 | 12,000 | - |
| United States | 500 | 1000 | 1800 | 3100 | 4900 | 7100 | 10,500 | 15,100 | 20,200 | - | - |
| South Africa | 600 | - | 2000 | - | 5000 | - | 10,000 | - | 20,000 | - | - |
| Australia | - | 540 | 920 | 1570 | 2400 | 4200 | 6300 | 9500 | 13,500 | 19,500 | - |
| Japan | - | 800 | 1400 | - | 3000 | - | 6500 | - | 11,000 | - | - |
| Greece | - | 1500 | 2500 | 3200 | 4300 | 5700 | 7400 | 11,000 | 15,000 | 20,000 | - |
| Model Name or Country | Relationships |
|---|---|
| Italy [10] | |
| Switzerland [23] | |
| France [24] | |
| Lieberman model [25] | |
| Glennon model [26] | |
| Hassna et al. Model [27] | |
| Van Valkenburg and Michael model [28] | PSD = 230 m for V = 50 km/h PSD = 365 m for V = 70 km/h PSD = 575 m for V = 110 km/h |
| Rilett et al. model [29] | |
| American Association of State Highway and Transportation Officials-AASHTO Green Book [30] | PSD = d1 + d2 + d3 + d4 30 m ≤ d3 ≤ 90 m d4 = 2/3 d2 |
| N. | Brand | Model | Number of Vehicles Registered (Year 2006) | Overall Height h [mm] | |
|---|---|---|---|---|---|
| 1 | Fiat | Seicento | 1.1I | 480,518 | 1430 |
| 2 | Fiat | Panda | 900 IE | 466,607 | 1440 |
| 3 | Fiat | Uno | 45 3P | 448,715 | 1430 |
| 4 | Lancia | Y | 1.2I | 439,421 | 1440 |
| 5 | Fiat | Punto | 55 3P | 438,184 | 1480 |
| 6 | Fiat | 500 | L | 381,766 | 1330 |
| 7 | ford | Ka | 1.3 | 232,805 | 1370 |
| 8 | Renault | Clio | 1.1I 3P | 223,814 | 1420 |
| 9 | Renault | Twingo | 1.2 | 222,087 | 1420 |
| 10 | Fiat | Panda | 1.2 | 222,035 | 1540 |
| 11 | Opel | Corsa | 1.0I 12V 3P | 219,870 | 1440 |
| 12 | Autobianchi | Y10 | Fire | 175,018 | 1430 |
| 13 | Ford | Focus | 1.8 TDDI 5P | 167,753 | 1500 |
| 14 | Toyota | Yaris | 1.0I 16V 3P | 157,158 | 1530 |
| 15 | Volkswagen | Golf | 1.9 TDI Variant | 126,521 | 1490 |
| 16 | Peugeot | 206 | 1.4 | 120,518 | 1430 |
| 17 | Nissan | Micra | 1.0 CAT | 116,472 | 1540 |
| 18 | Alfa Romeo | 147 | 1.9 JTD | 113,463 | 1440 |
| 19 | Fiat | Tipo | 1.4 5P | 109,294 | 1450 |
| 20 | Renault | Megane | 1.9 DCI Scenic | 107,323 | 1620 |
| … | … | … | … | … | … |
| 115 | Honda | Jazz | 1.2I DSI | 20,314 | 1530 |
| - | - | TOTAL | 9,154,262 | … | |
| Country | Driver Eye Height [m] | |
|---|---|---|
| Passenger Car | Truck | |
| Australia | 1.15 | 1.80 |
| Austria | 1.00 | - |
| France | 1.00 | - |
| Germany | 1.00 | 2.50 |
| Greece | 1.10 | - |
| Japan | 1.20 | 1.50 |
| South Africa | 1.05 | 1.80 |
| Sweden | 1.10 | - |
| Switzerland | 1.00 | 2.50 |
| United Kingdom | 1.05 | - |
Publisher’s Note: MDPI stays neutral with regard to jurisdictional claims in published maps and institutional affiliations. |
© 2020 by the author. Licensee MDPI, Basel, Switzerland. This article is an open access article distributed under the terms and conditions of the Creative Commons Attribution (CC BY) license (http://creativecommons.org/licenses/by/4.0/).
Share and Cite
Guerrieri, M. Two-Lane Highways Crest Curve Design. The Case Study of Italian Guidelines. Appl. Sci. 2020, 10, 8182. https://doi.org/10.3390/app10228182
Guerrieri M. Two-Lane Highways Crest Curve Design. The Case Study of Italian Guidelines. Applied Sciences. 2020; 10(22):8182. https://doi.org/10.3390/app10228182
Chicago/Turabian StyleGuerrieri, Marco. 2020. "Two-Lane Highways Crest Curve Design. The Case Study of Italian Guidelines" Applied Sciences 10, no. 22: 8182. https://doi.org/10.3390/app10228182
APA StyleGuerrieri, M. (2020). Two-Lane Highways Crest Curve Design. The Case Study of Italian Guidelines. Applied Sciences, 10(22), 8182. https://doi.org/10.3390/app10228182
