Fatigue Life Assessment in Bainitic Steels Based on The Cumulative Strain Energy Density
Abstract
:1. Introduction
2. Materials and Methods
3. Results
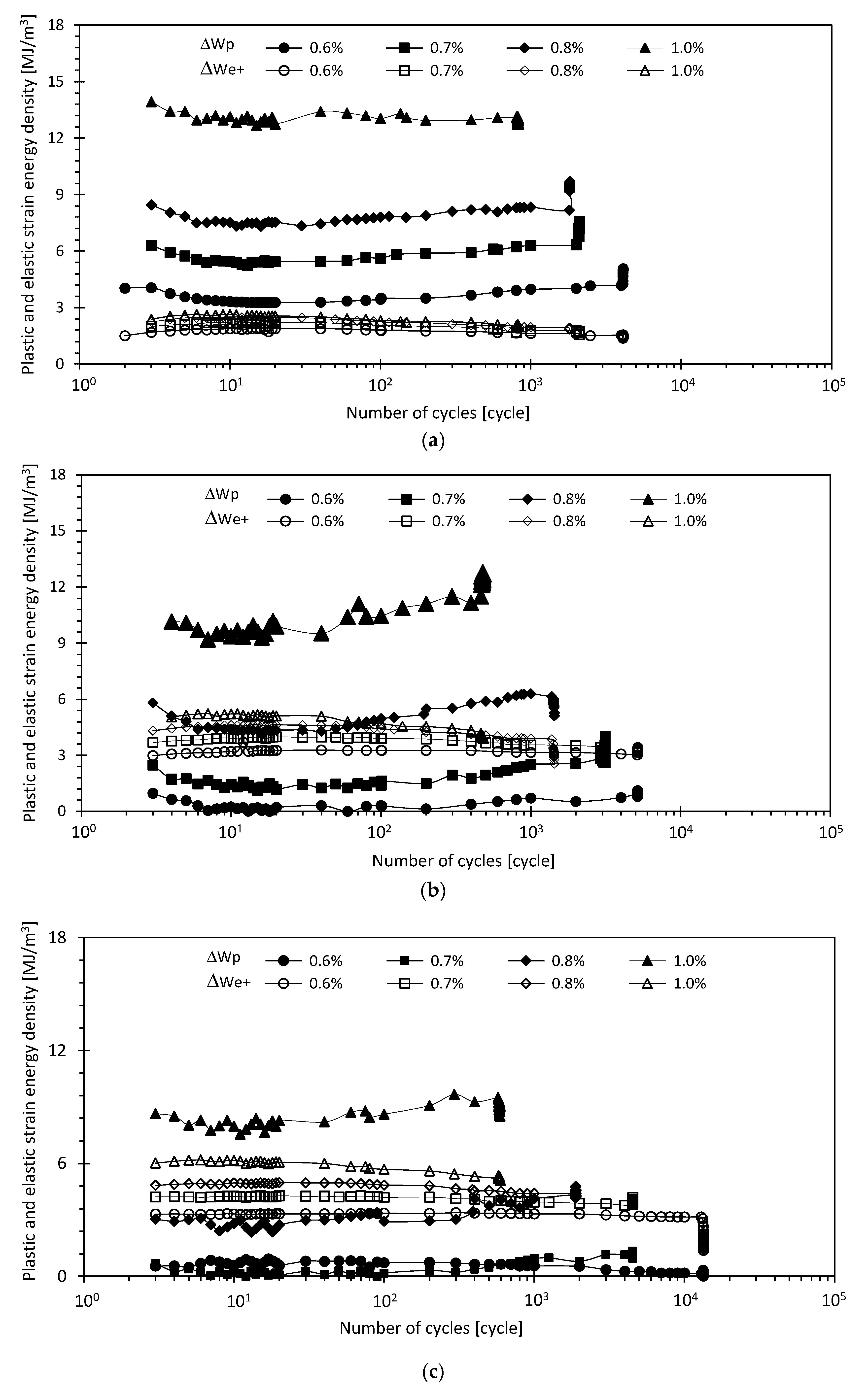
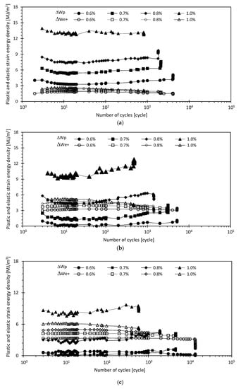
3.1. Cumulative Strain Energy Density
3.2. Fatigue Life Prediction
4. Conclusions
- The cyclic stress-strain response was affected remarkably by Mn content. For each steel, the stress ranges associated with a given strain amplitude were significantly different, as was the shape of the hysteresis loops.
- In the absence of Mn, cumulative plastic strain energy density was higher than cumulative elastic strain energy density. Nevertheless, when Mn content was maximum, opposite behavior was observed.
- Regarding cumulative total strain energy density at higher strain amplitudes, the maximum values were found for the steel with the highest Mn content. On the contrary, at lower strain amplitudes, the maximum Wt values were found for the Mn-free bainitic steel.
- A very good correlation between cumulative total strain energy density and fatigue life was found. These two variables were successfully fitted by a single power function independent of Mn content.
- In the form of a power function, a strong correlation between cumulative total strain energy density and elastic strain energy density at the mid-life was found. Nevertheless, in this case, these relationships depended on Mn content.
- The new model founded on cumulative total strain energy density led to more accurate fatigue life predictions than those of the well-know SWT and Liu criteria, more specifically, lower standard deviations and mean errors closer to zero.
Author Contributions
Funding
Conflicts of Interest
References
- Zhou, Q.; Qian, L.; Meng, J.; Zhao, L.; Zhang, F. Low-cycle fatigue behavior and microstructural evolution in a low-carbon carbide-free bainitic steel. Mater. Des. 2015, 85, 487–496. [Google Scholar] [CrossRef]
- Li, Y.; Zhang, F.; Chen, C.; Lv, B.; Yang, Z.; Zheng, C. Effects of deformation on the microstructures and mechanical properties of carbide-free bainitic steel for railway crossing and its hydrogen embrittlement characteristics. Mater. Sci. Eng. A 2016, 651, 945–950. [Google Scholar] [CrossRef]
- Sawley, K.; Kristan, J. Development of bainitic rail steels with potential resistance to rolling contact fatigue. Fatigue Fract. Eng. Mater. Struct. 2003, 26, 1019–1029. [Google Scholar] [CrossRef]
- Aglan, H.A.; Liu, Z.Y.; Hassan, M.F.; Fateh, M. Mechanical and fracture behavior of bainitic rail steel. J. Mater. Process. Technol. 2004, 151, 268–274. [Google Scholar] [CrossRef]
- Kumar, A.; Makineni, S.K.; Dutta, A.; Goulas, C.; Steenbergen, M.; Petrov, R.H.; Sietsma, J. Design of high-strength and damage-resistant carbide-free fine bainitic steels for railway crossing applications. Mater. Sci. Eng. A 2019, 759, 210–223. [Google Scholar] [CrossRef]
- Long, X.Y.; Zhang, F.C.; Zhang, C.Y. Effect of Mn content on low-cycle fatigue behaviors of low-carbon bainitic steel. Mater. Sci. Eng. A 2017, 697, 111–118. [Google Scholar] [CrossRef]
- Gui, X.; Wang, K.; Gao, G.; Misra, R.D.K.; Tan, Z.; Bai, B. Rolling contact fatigue of bainitic rail steels: The significance of microstructure. Mater. Sci. Eng. A 2016, 657, 82–85. [Google Scholar] [CrossRef]
- Zhang, F.C.; Long, X.Y.; Kang, J.; Cao, D.; Lv, B. Cyclic deformation behaviors of a high strength carbide-free bainitic steel. Mater. Design 2016, 94, 1–8. [Google Scholar] [CrossRef]
- Long, X.Y.; Branco, R.; Zhang, F.C.; Berto, F.; Martins, R.F. Influence of Mn addition on cyclic deformation behaviour of bainitic rail steels. Int. J. Fatigue 2020, 132, 105362. [Google Scholar] [CrossRef]
- Georgiev, M.N.; Simeonova, T.V. Railroad rails from bainitic steel. Metal Sci. Heat Treat. 2018, 60, 464–470. [Google Scholar] [CrossRef]
- Smith, K.N.; Watson, P.; Topper, T.H. A stress-strain function for the fatigue of metals. J. Mater. 1970, 5, 767–778. [Google Scholar]
- Liu, K. A Method Based on Virtual Strain-Energy Parameters for Multiaxial Fatigue Life Prediction. In Advances in Multiaxial Fatigue, 1st ed.; McDowell, D., Ellis, J., Eds.; ASTM International: West Conshohocken, PA, USA, 1993; pp. 67–84. [Google Scholar]









| Steel | C | Si | Mn | Cr | Ni | Mo | Al | Fe |
|---|---|---|---|---|---|---|---|---|
| A | 0.26 | 1.6 | 0 | 1.9 | 0.4 | 0.3 | 0.6 | Bal. |
| B | 0.27 | 1.7 | 2.3 | 1.9 | 0.4 | 0.4 | 0.7 | Bal. |
| C | 0.27 | 1.7 | 3.2 | 1.9 | 0.4 | 0.4 | 0.7 | Bal. |
| Property | Steel A | Steel B | Steel C |
|---|---|---|---|
| Yield Strength, σYS [MPa] | 784 | 1133 | 1230 |
| Tensile Strength, σUTS [MPa] | 1150 | 1540 | 1611 |
| Total elongation, ∆Lt [%] | 18.3 | 14.7 | 13.0 |
| Young’s Modulus, E [GPa] | 197.6 | 198.2 | 198.8 |
| Property | Steel A | Steel B | Steel C |
|---|---|---|---|
| Fatigue strength coefficient, f′ [MPa] | 1585 | 2029 | 2501 |
| Fatigue strength exponent, b | −0.0721 | −0.06885 | −0.074 |
| Fatigue ductility coefficient, f′ | 0.7432 | 1.9401 | 0.201 |
| Fatigue ductility exponent, c | −0.608 | −0.8167 | −0.5535 |
| Cyclic hardening coefficient, k′ (MPa) | 1684 | 1931 | 3085 |
| Cyclic hardening exponent, n′ | 0.1172 | 0.0722 | 0.1330 |
| Material | ∆ε/2 [%] | We [MJ/m3] | Wp [MJ/m3] | Wt [MJ/m3] | ∆We,ML [MJ/m3] | ∆Wp,ML [MJ/m3] | ∆Wt,ML [MJ/m3] |
|---|---|---|---|---|---|---|---|
| A | 0.6% | 13,099 | 16,465 | 29,564 | 3.09 | 2.66 | 5.75 |
| 0.7% | 7686 | 13,012 | 20,698 | 3.57 | 4.01 | 7.58 | |
| 0.8% | 7314 | 14,851 | 22,165 | 3.96 | 6.26 | 10.22 | |
| 1.0% | 3631 | 10,778 | 14,409 | 4.47 | 8.14 | 12.61 | |
| B | 0.6% | 32,271 | 3303 | 35,574 | 6.14 | 1.42 | 7.57 |
| 0.7% | 22,220 | 7584 | 29,803 | 6.57 | 3.22 | 9.78 | |
| 0.8% | 11,527 | 8371 | 19,898 | 7.43 | 5.82 | 13.26 | |
| 1.0% | 4342 | 5292 | 9634 | 8.79 | 12.68 | 21.48 | |
| C | 0.6% | 85,723 | 3791 | 89,514 | 6.08 | 0.84 | 6.92 |
| 0.7% | 35,458 | 4161 | 39,619 | 7.37 | 2.24 | 9.61 | |
| 0.8% | 17,046 | 7373 | 24,419 | 8.61 | 4.34 | 12.96 | |
| 1.0% | 6478 | 5390 | 11,868 | 10.17 | 10.75 | 20.93 |
| Material | ∆ε/2 [%] | Nf [cycle] | ∆σML [MPa] | σmax, ML [MPa] | NSWT [cycle] | NLiu [cycle] | NCTSED [cycle] |
|---|---|---|---|---|---|---|---|
| A | 0.6% | 4104 | 1729.9 | 816.9 | 7398 | 6247 | 2920 |
| 0.7% | 2106 | 1822.7 | 875.6 | 3930 | 3536 | 1820 | |
| 0.8% | 1817 | 1886.9 | 909.6 | 2533 | 2317 | 1535 | |
| 1.0% | 829 | 1905.7 | 922.5 | 1452 | 1351 | 1192 | |
| B | 0.6% | 5170 | 2427.2 | 1157.3 | 5082 | 4246 | 3156 |
| 0.7% | 3129 | 2483.0 | 1192.4 | 2663 | 2348 | 1658 | |
| 0.8% | 1432 | 2675.2 | 1299.5 | 1419 | 1318 | 1107 | |
| 1.0% | 484 | 2754.5 | 1332.6 | 789 | 736 | 666 | |
| C | 0.6% | 13,370 | 2368.6 | 1151.1 | 25,064 | 21,557 | 10,327 |
| 0.7% | 4533 | 2637.5 | 1274.5 | 6983 | 5971 | 3592 | |
| 0.8% | 1896 | 2758.2 | 1344.1 | 3082 | 2774 | 1696 | |
| 1.0% | 593 | 3096.2 | 1492.6 | 901 | 797 | 640 |
| Model | Minimum Ne/Np | Maximum Ne/Np | Mean | Standard Deviation | Variance |
|---|---|---|---|---|---|
| SWT | −0.2729 | 0.0700 | −0.1583 | 0.1378 | 0.0189 |
| Liu | −0.2251 | 0.1247 | −0.1068 | 0.1428 | 0.0204 |
| CTSED | −0.1578 | 0.2757 | 0.0682 | 0.1280 | 0.01638 |
Publisher’s Note: MDPI stays neutral with regard to jurisdictional claims in published maps and institutional affiliations. |
© 2020 by the authors. Licensee MDPI, Basel, Switzerland. This article is an open access article distributed under the terms and conditions of the Creative Commons Attribution (CC BY) license (http://creativecommons.org/licenses/by/4.0/).
Share and Cite
Martins, R.F.; Branco, R.; Long, X. Fatigue Life Assessment in Bainitic Steels Based on The Cumulative Strain Energy Density. Appl. Sci. 2020, 10, 7774. https://doi.org/10.3390/app10217774
Martins RF, Branco R, Long X. Fatigue Life Assessment in Bainitic Steels Based on The Cumulative Strain Energy Density. Applied Sciences. 2020; 10(21):7774. https://doi.org/10.3390/app10217774
Chicago/Turabian StyleMartins, Rui F., Ricardo Branco, and Xiaoyan Long. 2020. "Fatigue Life Assessment in Bainitic Steels Based on The Cumulative Strain Energy Density" Applied Sciences 10, no. 21: 7774. https://doi.org/10.3390/app10217774
APA StyleMartins, R. F., Branco, R., & Long, X. (2020). Fatigue Life Assessment in Bainitic Steels Based on The Cumulative Strain Energy Density. Applied Sciences, 10(21), 7774. https://doi.org/10.3390/app10217774
