The Vibration of a Transversely Cracked Rotor Supported by Anisotropic Journal Bearings with Speed-Dependent Characteristic
Abstract
1. Introduction
2. Dynamic Modeling of Cracked Anisotropic Rotor-Bearing System
2.1. Modeling of Cracked Shaft
2.2. Modeling of Anisotropic Speed-Dependent Journal Bearings
3. Eigenvalue and Forced Response Analysis
3.1. Model Order Reduction
3.2. Eigenvalue Analysis
3.3. Forced Response Analysis
4. Numerical Results
4.1. Effects of the Anisotropy in Bearings
4.2. Effects of the Speed-Dependent Characteristic of Journal Bearings
5. Discussions
6. Conclusions
Author Contributions
Funding
Conflicts of Interest
References
- Ganine, V.; Laxalde, D.; Michalska, H.; Pierre, C. Parameterized reduced order modeling of misaligned stacked disks rotor assemblies. J. Sound Vib. 2011, 330, 445–460. [Google Scholar] [CrossRef][Green Version]
- Wang, S.; Wang, Y.; Zi, Y.; Li, B.; He, Z. Reduced-order modeling for rotating rotor-bearing systems with cracked impellers using three-dimensional finite element models. J. Sound Vib. 2015, 355, 305–321. [Google Scholar] [CrossRef]
- Gayen, D.; Tiwari, R.; Chakraborty, D. Finite element based stability analysis of a rotor-bearing system having a functionally graded shaft with transverse breathing cracks. Int. J. Mech. Sci. 2019, 157–158, 403–414. [Google Scholar] [CrossRef]
- Genta, G.; Amati, N. Oil whip and unstable whirling in anisotropic rotors on lubricated bearings. In Proceedings of the ASME Biennial Conference on Engineering Systems Design and Analysis, Torino, Italy, 4–7 July 2006; pp. 231–240. [Google Scholar]
- Yang, T.; Lin, K.-S. Calculation of polynomial curves for speed-dependent bearing coefficients. In Proceedings of the ASME International Design Engineering Technical Conferences and Computers and Information in Engineering Conference, San Diego, CA, USA, 30 August 2009; pp. 1053–1061. [Google Scholar]
- Papadopoulos, C.A. The strain energy release approach for modeling cracks in rotors: A state of the art review. Mech. Syst. Signal Process. 2008, 22, 763–789. [Google Scholar] [CrossRef]
- Bachschmid, N.; Pennacchi, P.; Tanzi, E. Some remarks on breathing mechanism, on non-linear effects and on slant and helicoidal cracks. Mech. Syst. Signal Process. 2008, 22, 879–904. [Google Scholar] [CrossRef]
- Han, Q.; Chu, F. Dynamic instability and steady-state response of an elliptical cracked shaft. Arch. Appl. Mech. 2012, 82, 709–722. [Google Scholar] [CrossRef]
- Georgantzinos, S.K.; Anifantis, N.K. An insight into the breathing mechanism of a crack in a rotating shaft. J. Sound Vib. 2008, 318, 279–295. [Google Scholar] [CrossRef]
- Giannopoulos, G.I.; Georgantzinos, S.K.; Anifantis, N.K. Coupled vibration response of a shaft with a breathing crack. J. Sound Vib. 2015, 336, 191–206. [Google Scholar] [CrossRef]
- Kulesza, Z.; Sawicki, J.T. Rigid finite element model of a cracked rotor. J. Sound Vib. 2012, 331, 4145–4169. [Google Scholar] [CrossRef]
- Liong, R.T.; Proppe, C. Application of the cohesive zone model for the evaluation of stiffness losses in a rotor with a transverse breathing crack. J. Sound Vib. 2013, 332, 2098–2110. [Google Scholar] [CrossRef]
- Spagnol, J.; Wu, H.; Yang, C. Application of Non-Symmetric Bending Principles on Modelling Fatigue Crack Behaviour and Vibration of a Cracked Rotor. Appl. Sci. 2020, 10, 717. [Google Scholar] [CrossRef]
- Fu, C.; Ren, X.; Yang, Y.; Lu, K.; Wang, Y. Nonlinear response analysis of a rotor system with a transverse breathing crack under interval uncertainties. Int. J. Nonlinear Mech. 2018, 105, 77–87. [Google Scholar] [CrossRef]
- Fu, C.; Xu, Y.; Yang, Y.; Lu, K.; Ball, A.D. Dynamics analysis of a hollow-shaft rotor system with an open crack under model uncertainties. Commun. Nonlinear Sci. 2020, 83, 105102. [Google Scholar] [CrossRef]
- Sinou, J.J.; Jacquelin, E. Influence of polynomial chaos expansion order on an uncertain asymmetric rotor system response. Mech. Syst. Signal Process. 2015, 50, 718–731. [Google Scholar] [CrossRef]
- Wang, S.; Bi, C.; Li, J.; Zheng, C. Parametric instability of anisotropic rotor-bearing systems with a transverse crack. J. Sound Vib. 2019, 443, 253–269. [Google Scholar] [CrossRef]
- Lazarus, A.; Prabel, B.; Combescure, D. A 3D finite element model for the vibration analysis of asymmetric rotating machines. J. Sound Vib. 2010, 329, 3780–3797. [Google Scholar] [CrossRef]
- Ma, M.; Wang, J.J.; Wang, Z. Frequency and stability analysis method of asymmetric anisotropic rotor-bearing system based on three-dimensional solid finite element method. J. Eng. Gas Turb. Power 2015, 137, 102502–102509. [Google Scholar]
- Wang, S.; Wang, Y.; Zi, Y.; He, Z. A 3D finite element-based model order reduction method for parametric resonance and whirling analysis of anisotropic rotor-bearing systems. J. Sound Vib. 2015, 359, 116–135. [Google Scholar] [CrossRef]
- Zuo, Y.; Wang, J.; Ma, W. Quasimodes instability analysis of uncertain asymmetric rotor system based on 3D solid element model. J. Sound Vib. 2017, 390, 192–204. [Google Scholar] [CrossRef]
- Bharti, S.K.; Bisoi, A.; Sinha, A.; Samantaray, A.K.; Bhattacharyya, R. Sommerfeld effect at forward and backward critical speeds in a rigid rotor shaft system with anisotropic supports. J. Sound Vib. 2019, 442, 330–349. [Google Scholar] [CrossRef]
- Poudou, O.; Pierre, C.; Reisser, B. A new hybrid frequency-time domain method for the forced vibration of elastic structures with friction and intermittent contact. In Proceedings of the 10th International Symposium on Transport Phenomena and Dynamics of Rotating Machinery, Honolulu, HI, USA, 7–11 March 2004; pp. 1–11. [Google Scholar]







and
denote the results of and , respectively.
and
denote the results of and , respectively.


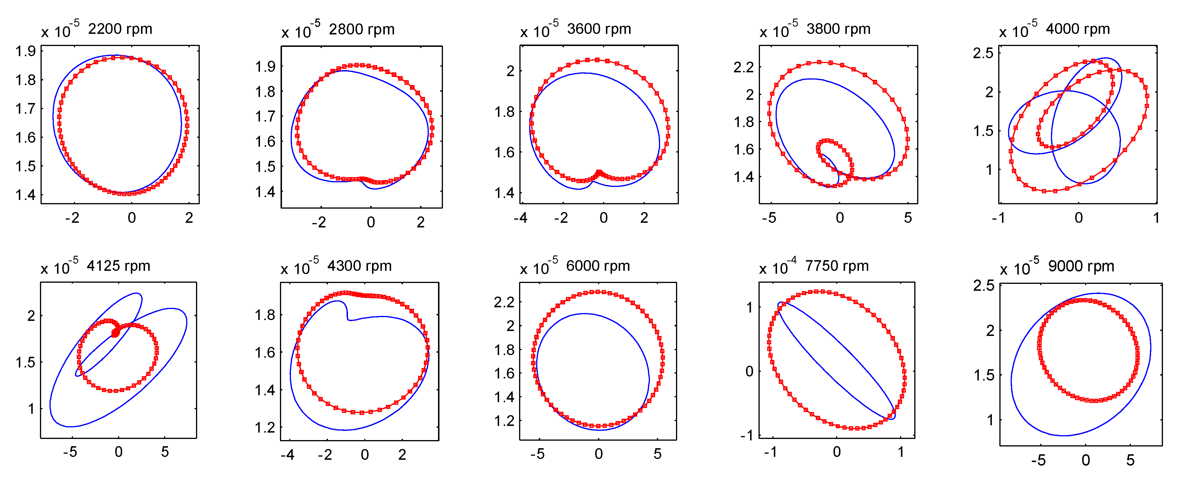
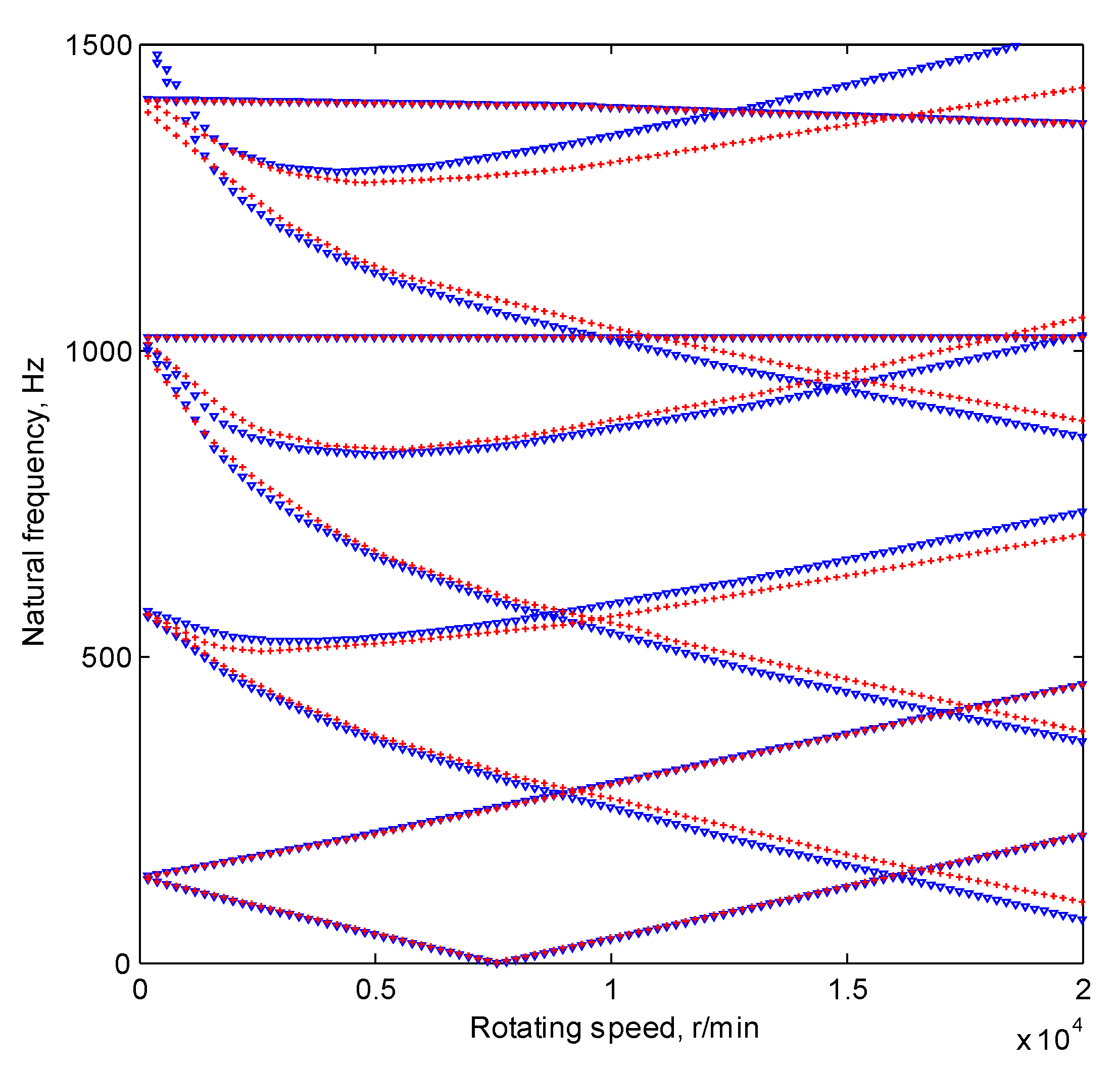
and
denote the results of the fixed and speed-dependent cases, respectively.
and
denote the results of the fixed and speed-dependent cases, respectively.
and
denote the results of the fixed and speed-dependent cases, respectively. The parameter of both cases equals 1.0, and the parameter of the fixed case is 0.2.
and
denote the results of the fixed and speed-dependent cases, respectively. The parameter of both cases equals 1.0, and the parameter of the fixed case is 0.2.
and
denote the results of the speed-dependent cases with and , respectively.
and
denote the results of the speed-dependent cases with and , respectively.
© 2020 by the authors. Licensee MDPI, Basel, Switzerland. This article is an open access article distributed under the terms and conditions of the Creative Commons Attribution (CC BY) license (http://creativecommons.org/licenses/by/4.0/).
Share and Cite
Wan, Z.; Wang, Y.; Chen, B.; Dou, Y.; Wei, X. The Vibration of a Transversely Cracked Rotor Supported by Anisotropic Journal Bearings with Speed-Dependent Characteristic. Appl. Sci. 2020, 10, 5617. https://doi.org/10.3390/app10165617
Wan Z, Wang Y, Chen B, Dou Y, Wei X. The Vibration of a Transversely Cracked Rotor Supported by Anisotropic Journal Bearings with Speed-Dependent Characteristic. Applied Sciences. 2020; 10(16):5617. https://doi.org/10.3390/app10165617
Chicago/Turabian StyleWan, Zhiguo, Yu Wang, Binqiang Chen, Yihua Dou, and Xinjuan Wei. 2020. "The Vibration of a Transversely Cracked Rotor Supported by Anisotropic Journal Bearings with Speed-Dependent Characteristic" Applied Sciences 10, no. 16: 5617. https://doi.org/10.3390/app10165617
APA StyleWan, Z., Wang, Y., Chen, B., Dou, Y., & Wei, X. (2020). The Vibration of a Transversely Cracked Rotor Supported by Anisotropic Journal Bearings with Speed-Dependent Characteristic. Applied Sciences, 10(16), 5617. https://doi.org/10.3390/app10165617

