Experimental Investigation on Evaluation of Thermal Performance of Solar Heating System Using Al2O3 Nanofluid
Abstract
1. Introduction
2. Experimental
2.1. Sample Preparation
2.2. Characterization
2.3. Apparatus and Measurement of Solar System Performance According to Nanofluid Concentration
3. Results and Discussion
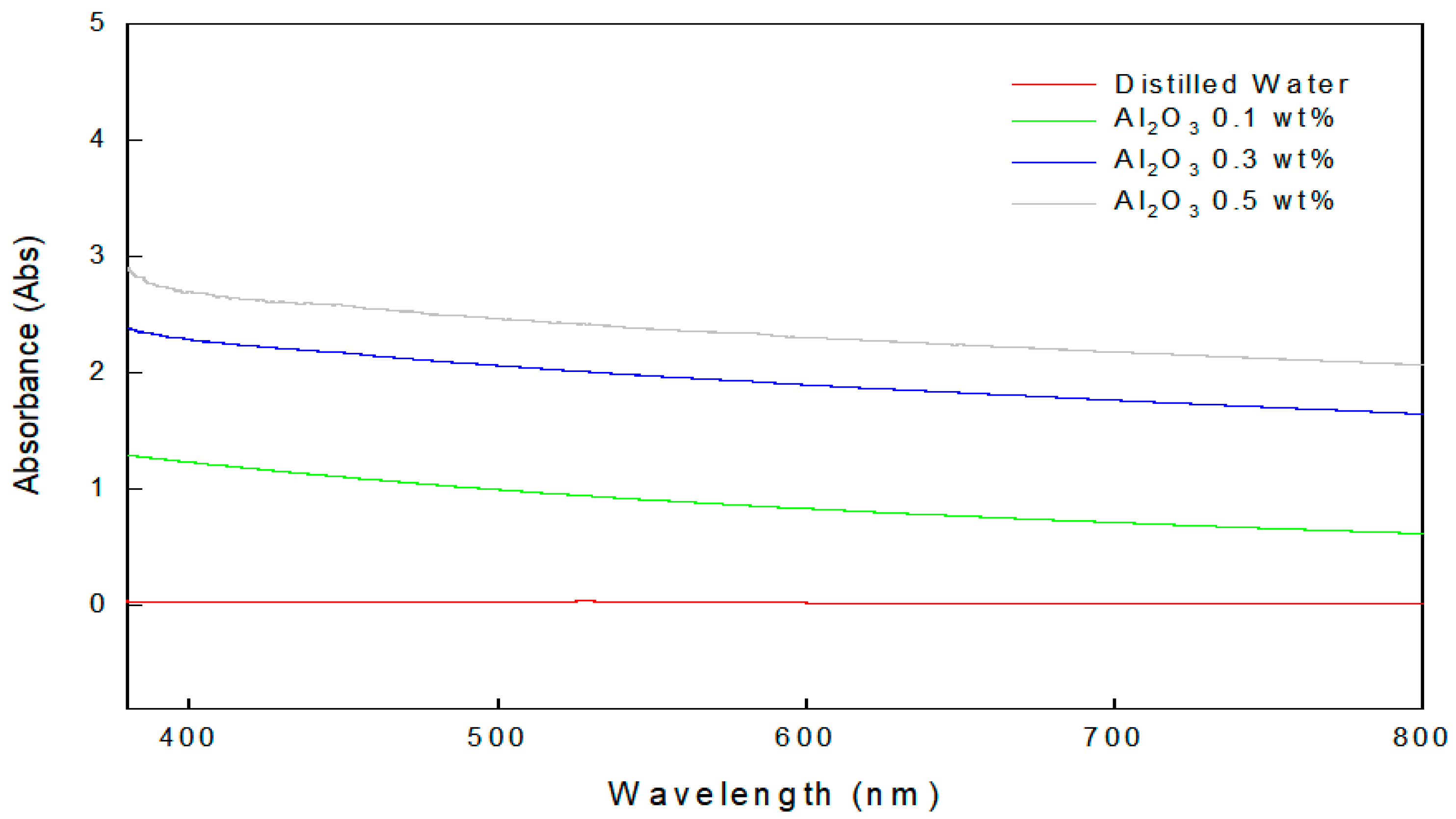
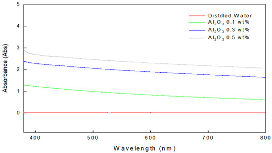
3.1. Dispersion Measurement of Alumina Nanofluids
3.2. Thermal Conductivity of Alumina Nanofluids
3.3. Electrical Conductivity of Alumina Nanofluids
3.4. Solar System Performance Depending on Alumina Concentration
3.4.1. Temperature Distribution of Nanofluid According to Solar Radiation on September 22
3.4.2. Temperature Distribution of Nanofluids According to Solar Radiation on September 24
4. Conclusions
- The UV-vis absorbance of the nanofluids increased with alumina concentration and reached a maximum for the 0.5 wt% nanofluid, demonstrating its potential for solar thermal systems.
- The electrical conductivity of the nanofluids increased with alumina concentration. The electrical conductivities of the 0.1, 0.3, and 0.5 wt% alumina nanofluids were 21.3%, 46.2%, and 73.2% higher, respectively, than that of DW.
- The thermal conductivity of the nanofluids increased with alumina concentration and with temperature. The thermal conductivities of the 0.1, 0.3, and 0.5 wt% alumina nanofluids were 0.32%, 0.62%, and 0.95% higher, respectively, than that of DW.
- In a real thermal solar collection system, the temperature increases for the 0.1, 0.3, and 0.5 wt% alumina nanofluids were 3.1%, 12.5%, and 13.9% higher, respectively, than that of DW. The optimum fluid condition was determined as 0.3 wt% alumina due to greatest thermal increase by concentration.
Author Contributions
Funding
Conflicts of Interest
References
- Gude, V.G.; Nirmalakhandan, N.; Deng, S.; Maganti, A. Low temperature desalination using solar collectors augmented by thermal energy storage. Appl. Energy 2012, 91, 466–474. [Google Scholar] [CrossRef]
- Barlev, D.; Vidu, R.; Stroeve, P. Innovation in concentrated solar power. Sol. Energy Mater. Sol. Cells 2011, 95, 2703–2725. [Google Scholar] [CrossRef]
- Wen, D.; Lin, G.; Vafaei, S.; Zhang, K. Review of nanofluids for heat transfer applications. Particuology 2009, 7, 141–150. [Google Scholar] [CrossRef]
- Maxwell, J.C. A Treatise on Electricity and Magnetism; Clarendon Press: Oxford, UK, 1873. [Google Scholar]
- Ahuja, S. Augmentation of heat transfer in laminar flow of polystyrene suspensions. J. Appl. Phys. 1975, 46, 3408–3425. [Google Scholar] [CrossRef]
- Choi, S.U.S. Enhancing Thermal Conductivity of Fluids with Nanoparticles; Developments and Applications of Non-Newtonian Flows; American Society of Mechanical Engineers Fluid Engineering Division: New York, NY, USA, 1995; Volume 231, pp. 99–105. [Google Scholar]
- Jang, S.P.; Choi, S.U.S. The role of Brownian motion in the enhanced thermal conductivity of nanofluids. Appl. Phys. Lett. 2004, 84, 4316–4318. [Google Scholar] [CrossRef]
- El Fadar, A.; Mimet, A.; Azzabakh, A.; Pérez-García, M.; Castaing, J. Study of a new solar adsorption refrigerator powered by a parabolic trough collector. Appl. Therm. Eng. 2009, 29, 1267–1270. [Google Scholar] [CrossRef]
- Fan, Y.; Luo, L.; Souyri, B. Review of solar sorption refrigeration technologies: Development and applications. Renew. Sustain. Energy Rev. 2007, 11, 1758–1775. [Google Scholar] [CrossRef]
- Laing, D.; Bahl, C.; Bauer, T.; Lehmann, D.; Steinmann, W.D. Thermal energy storage for direct steam generation. Sol. Energy 2011, 85, 627–633. [Google Scholar] [CrossRef]
- Zambolin, E.; Del Col, D. Experimental analysis of thermal performance of flat plate and evacuated tube solar collectors in stationary standard and daily conditions. Sol. Energy 2010, 84, 1382–1396. [Google Scholar] [CrossRef]
- Dincer, I.; Dost, S. A perspective on thermal energy storage systems for solar energy applications. Int. J. Energy Res. 1996, 20, 547–557. [Google Scholar] [CrossRef]
- Mahian, O.; Kianifar, A.; Kalogirou, S.A.; Pop, I.; Wongwises, S. A review of the applications of nanofluids in solar energy. Int. J. Heat Mass Trans. 2013, 57, 582–594. [Google Scholar] [CrossRef]
- Yousefi, T.; Veysi, F.; Shojaeizadeh, E.; Zinadini, S. An experimental investigation on the effect of Al2O3–H2O nanofluid on the efficiency of flat-plate solar collectors. Renew. Energy 2012, 39, 293–298. [Google Scholar] [CrossRef]
- Yousefi, T.; Veisy, F.; Shojaeizadeh, E.; Zinadini, S. An experimental investigation on the effect of MWCNT-H2O nanofluid on the efficiency of flat-plate solar collectors. Exp. Therm. Fluid Sci. 2012, 39, 207–212. [Google Scholar] [CrossRef]
- Mokhatab, S.; Fresky, M.A.; Islam, M.R. Applications of nanotechnology in oil and gas E&P. J. Pet. Technol. 2006, 58, 48–51. [Google Scholar]
- Balandin, A.A. Thermal properties of graphene and nanostructured carbon materials. Nat. Mater. 2011, 10, 569. [Google Scholar] [CrossRef] [PubMed]
- Wang, S.; Liang, R.; Wang, B.; Zhang, C. Dispersion and thermal conductivity of carbon nanotube composites. Carbon 2009, 47, 53–57. [Google Scholar] [CrossRef]
- Kim, H.; Ham, J.; Park, C.; Cho, H. Theoretical investigation of the efficiency of a U-tube solar collector using various nanofluids. Energy 2016, 94, 497–507. [Google Scholar] [CrossRef]
- Wen, D.; Ding, Y. Experimental investigation into the pool boiling heat transfer of aqueous based γ-alumina nanofluids. J. Nanopart. Res. 2005, 7, 265–274. [Google Scholar] [CrossRef]
- Huang, D.; Wu, Z.; Sunden, B. Pressure drop and convective heat transfer of Al2O3/water and MWCNT/water nanofluids in a chevron plate heat exchanger. Int. J. Heat Mass Trans. 2015, 89, 620–626. [Google Scholar] [CrossRef]
- Teng, T.P.; Hung, Y.H.; Teng, T.C.; Mo, H.E.; Hsu, H.G. The effect of alumina/water nanofluid particle size on thermal conductivity. Appl. Therm. Eng. 2010, 30, 2213–2218. [Google Scholar] [CrossRef]
- Wu, S.; Zhu, D.; Li, X.; Li, H.; Lei, J. Thermal energy storage behavior of Al2O3–H2O nanofluids. Thermochim. Acta 2009, 483, 73–77. [Google Scholar] [CrossRef]
- Kim, H.; Kim, J.; Cho, H. Experimental study on performance improvement of U-tube solar collector depending on nanoparticle size and concentration of Al2O3 nanofluid. Energy 2017, 118, 1304–1312. [Google Scholar] [CrossRef]
- Tong, Y.; Kim, J.; Cho, H. Effects of thermal performance of enclosed-type evacuated U-tube solar collector with multi-walled carbon nanotube/water nanofluid. Renew. Energy 2015, 83, 463–473. [Google Scholar] [CrossRef]
- Huminic, G.; Huminic, A. Heat transfer characteristics of a two-phase closed thermosyphons using nanofluids. Exp. Therm. Fluid Sci. 2011, 35, 550–557. [Google Scholar] [CrossRef]
- Rehman, H.; Batmunkh, M.; Jeong, H.; Chung, H. Sedimentation Study and Dispersion Behavior of Al2O3–H2O Nanofluids with Dependence of Time. Adv. Sci. Lett. 2012, 6, 96–100. [Google Scholar] [CrossRef]
- Bentley, J.P. Temperature sensor characteristics and measurement system design. J. Phys. E Sci. Instrum 1984, 17, 430. [Google Scholar] [CrossRef]
- Ghafurian, M.M.; Niazmand, H.; Dastjerd, F.T.; Mahian, O. A study on the potential of carbon-based nanomaterials for enhancement of evaporation and water production. Chem. Eng. Sci. 2019, 207, 79–90. [Google Scholar] [CrossRef]
- Ghafurian, M.M.; Akbari, Z.; Niazmand, H.; Mehrkhah, R.; Wongwises, S.; Mahian, O. Effect of sonication time on the evaporation rate of seawater containing a nanocomposite. Ultrason. Sonochem. 2020, 61, 104817. [Google Scholar] [CrossRef]






| September 22 | DW | Al2O3 0.1 (wt%) | Al2O3 0.3 (wt%) | Al2O3 0.5 (wt%) |
|---|---|---|---|---|
| Tin (°C) | 22.59 | 22.64 | 22.66 | 22.55 |
| Tmax (°C) | 36.13 | 36.60 | 37.89 | 37.97 |
| ∆T (°C) | 13.54 | 13.97 | 15.23 | 15.42 |
| ∆T Enhancement (%) | 3.1 | 12.5 | 13.9 |
| September 24 | DW | Al2O3 0.1 (wt%) | Al2O3 0.3 (wt%) | Al2O3 0.5 (wt%) |
|---|---|---|---|---|
| Tin (°C) | 39.79 | 39.98 | 41.35 | 41.75 |
| Tmax (°C) | 21.66 | 21.78 | 21.76 | 21.52 |
| ∆T (°C) | 18.13 | 18.21 | 19.59 | 20.23 |
| ∆T Enhancement (%) | 0.4 | 8.1 | 11.6 |
© 2020 by the authors. Licensee MDPI, Basel, Switzerland. This article is an open access article distributed under the terms and conditions of the Creative Commons Attribution (CC BY) license (http://creativecommons.org/licenses/by/4.0/).
Share and Cite
Lee, Y.; Jeong, H.; Park, J.-T.; Delgado, A.; Kim, S. Experimental Investigation on Evaluation of Thermal Performance of Solar Heating System Using Al2O3 Nanofluid. Appl. Sci. 2020, 10, 5521. https://doi.org/10.3390/app10165521
Lee Y, Jeong H, Park J-T, Delgado A, Kim S. Experimental Investigation on Evaluation of Thermal Performance of Solar Heating System Using Al2O3 Nanofluid. Applied Sciences. 2020; 10(16):5521. https://doi.org/10.3390/app10165521
Chicago/Turabian StyleLee, Youngho, Hyomin Jeong, Ji-Tae Park, Antonio Delgado, and Sedong Kim. 2020. "Experimental Investigation on Evaluation of Thermal Performance of Solar Heating System Using Al2O3 Nanofluid" Applied Sciences 10, no. 16: 5521. https://doi.org/10.3390/app10165521
APA StyleLee, Y., Jeong, H., Park, J.-T., Delgado, A., & Kim, S. (2020). Experimental Investigation on Evaluation of Thermal Performance of Solar Heating System Using Al2O3 Nanofluid. Applied Sciences, 10(16), 5521. https://doi.org/10.3390/app10165521

