NESO-Based Path Following Control for Underactuated Hovercrafts with Unknown Nonlinear Uncertainties and a Safety Limit Constraint
Abstract
:Featured Application
Abstract
1. Introduction
- A homogenous nonlinear extended state observer is first proposed to approximate the nonlinear time-varying uncertainties of underactuated hovercrafts, which will greatly improve the accuracy and performance of the designed control system.
- The nonlinear time-varying turning safety limit constraint of underactuated hovercrafts is first considered in yaw controller design by introducing an auxiliary variable to limit the virtual control input.
- The NESO-based backstepping sliding mode control law are initially designed to achieve the dynamic control of path following for underactuated hovercrafts subject to nonlinear time-varying SLC and uncertainties.
2. Preliminaries and Problem Formulation
2.1. Preliminaries
2.2. Problem Formulation
2.2.1. Nonlinear Hovercraft Dynamics with Uncertainties and SLC
2.2.2. LOS Guidance Law for Underactuated Hovercrafts
3. Control Strategy Design
3.1. The NESO for Hovercrafts Subject to Unknown Nonlinear Time-Varying Uncertainties
- First, the uncertainties can be approximated simultaneously via the position-heading of the underactuated hovercraft from the GPS.
- Second, the proposed homogenous NESO does not rely on the model parameter information, and the design of the NESO is independent of the control system.
- Third, the proposed NESO has better approximate performance—more accuracy and better transience than the LESO.
- Moreover, the proposed NESO can compensate the unknown nonlinear time-varying total uncertainties of underactuated hovercrafts in the control system design, which will greatly improve the accuracy and performance of the designed control system.
3.2. Safety Control Strategy for the Underactuated Hovercraft
3.2.1. Yaw Safe Control Law for the Underactuated Hovercraft
3.2.2. Surge Velocity Control for Underactuated Hovercraft
3.3. Stability Analysis of the Control Strategy
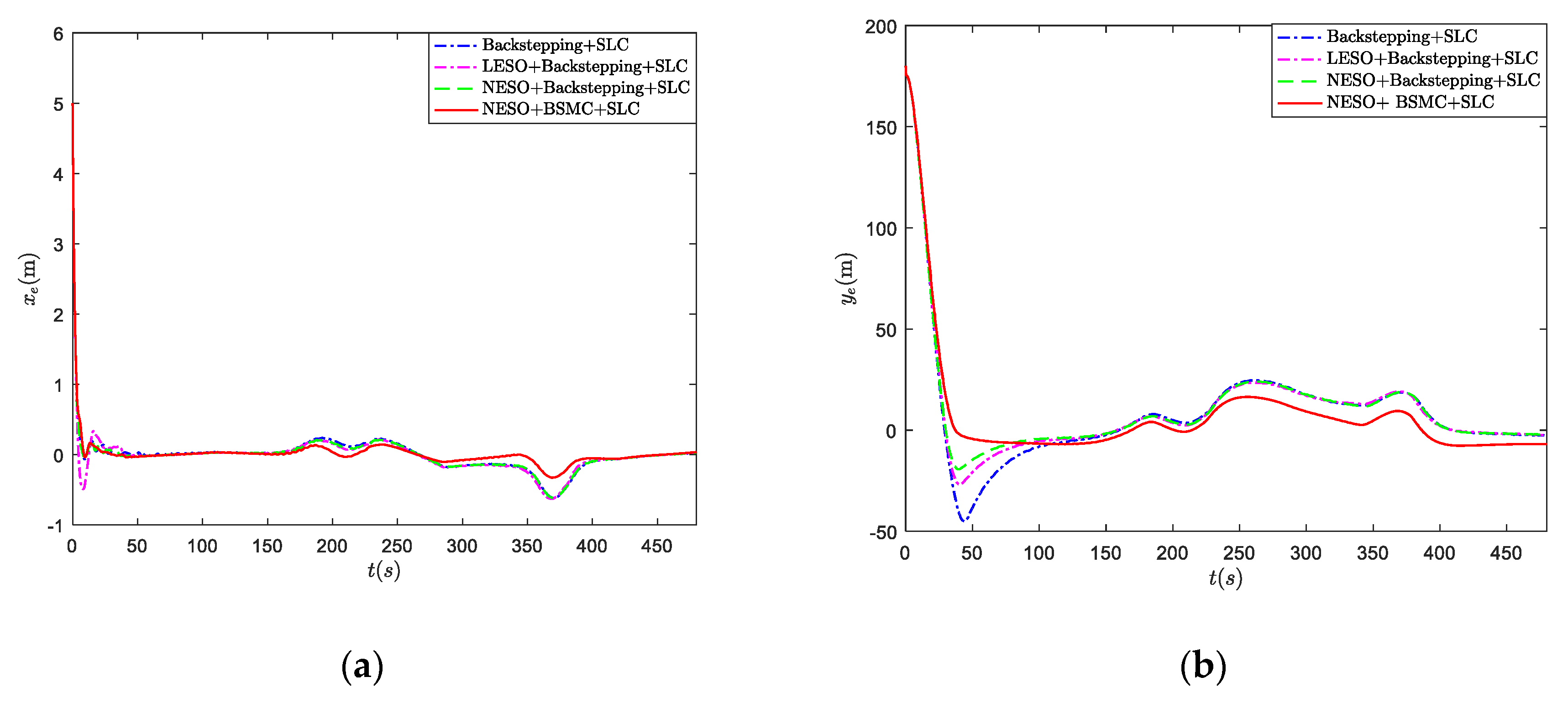
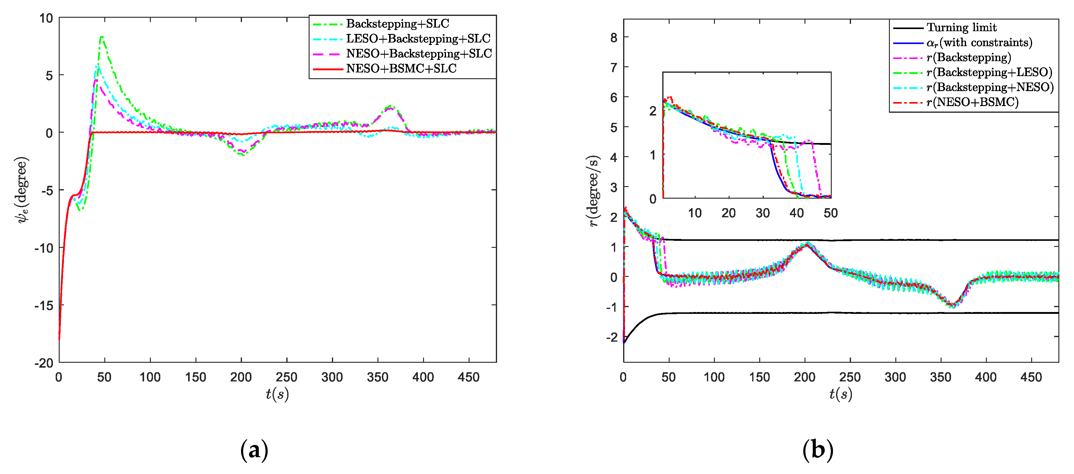
4. Case Study
5. Conclusions
Author Contributions
Funding
Acknowledgments
Conflicts of Interest
References
- Park, B.S.; Kwon, J.W.; Kim, H. Neural network-based output feedback control for reference tracking of underactuated surface vessels. Automatica 2017, 77, 353–359. [Google Scholar] [CrossRef]
- Fu, M.; Gao, S.; Wang, C.; Li, M. Design of driver assistance system for air cushion vehicle with uncertainty based on model knowledge neural network. Ocean Eng. 2019, 172, 296–307. [Google Scholar] [CrossRef]
- Kaya, K.; Özcan, O. A numerical investigation on aerodynamic characteristics of an air-cushion vehicle. J. Wind Eng. Ind. Aerodyn 2013, 120, 70–80. [Google Scholar] [CrossRef]
- Yun, L.; Bliault, A. Theory & Design of Air Cushion Craft; Elsevier Butterworth-Heinemann: London, UK, 2000. [Google Scholar]
- Cabecinhas, D.; Batista, P. Hovercraft Control With Dynamic Parameters Identification. IEEE Trans. Control Syst. Technol. 2018, 26, 785–796. [Google Scholar] [CrossRef]
- Fantoni, I.; Lozano, R.; Mazenc, F.; Pettersen, K.Y. Stabilization of a nonlinear underactuated hovercraft. In Proceedings of the 38th Conference on Decision & Control, Phoenix, AZ, USA, 7–10 December 1999; pp. 2533–2538. [Google Scholar]
- Peng, Z.; Wang, J.; Wang, J. Constrained Control of Autonomous Underwater Vehicles Based on Command Optimization and Disturbance Estimation. IEEE Trans. Ind. Electron. 2019, 66, 3627–3635. [Google Scholar] [CrossRef]
- Huang, Y.S.; Wu, M. Robust decentralized direct adaptive output feedback fuzzy control for a class of large-sale nonaffine nonlinear systems. Inf. Sci. 2011, 181, 2392–2404. [Google Scholar] [CrossRef]
- Chen, M.; Ge, S.S. Adaptive Neural Output Feedback Control of Uncertain Nonlinear Systems With Unknown Hysteresis Using Disturbance Observer. IEEE Trans. Ind. Electron. 2015, 62, 7706–7716. [Google Scholar] [CrossRef]
- Han, J. From PID to Active Disturbance Rejection Control. IEEE Trans. Ind. Electron. 2009, 56, 900–906. [Google Scholar] [CrossRef]
- Huang, Y.; Xue, W. Active disturbance rejection control: Methodology and theoretical analysis. ISA Trans. 2014, 53, 963–976. [Google Scholar] [CrossRef]
- Guo, B.; Zhao, Z. On the convergence of an extended state observer for nonlinear systems with uncertainty. Syst. Control Lett. 2011, 60, 420–430. [Google Scholar] [CrossRef]
- Liu, L.; Wang, D.; Peng, Z. State recovery and disturbance estimation of unmanned surface vehicles based on nonlinear extended state observers. Ocean Eng. 2019, 171, 625–632. [Google Scholar] [CrossRef]
- Peng, Z.; Wang, J.; Han, Q. Path-Following Control of Autonomous Underwater Vehicles Subject to Velocity and Input Constraints via Neurodynamic Optimization. IEEE Trans. Ind. Electron. 2019, 66, 8724–8732. [Google Scholar] [CrossRef]
- Gu, N.; Wang, D.; Peng, Z.; Liu, L. Distributed containment maneuvering of uncertain under-actuated unmanned surface vehicles guided by multiple virtual leaders with a formation. Ocean Eng. 2019, 187, 105996. [Google Scholar] [CrossRef]
- Wu, Z.; Guo, B. Extended State Observer for MIMO Nonlinear Systems with Stochastic Uncertainties. Int. J. Control 2020, 93, 424–436. [Google Scholar] [CrossRef]
- Lamraoui, H.C.; Zhu, Q. Path following control of fully-actuated autonomous underwater vehicle in presence of fast-varying disturbances. Appl. Ocean Res. 2019, 86, 40–46. [Google Scholar] [CrossRef]
- Dunbar, W.B.; Saber, R.O.; Murray, R.M. Nonlinear and cooperative control of multiple hovercraft with input constraints. In Proceedings of the European Cotrol Conference (ECC), Cambridge, UK, 1–4 September 2003; pp. 1917–1922. [Google Scholar]
- Tanaka, K.; Wasaki, M.I.; Wang, H.O. Switching Control of an R/C Hovercraft: Stabilization and Smooth Switching. IEEE Trans. Syst. Man Cyber. 2001, 31, 853–863. [Google Scholar] [CrossRef]
- Morales, R.; Sira-Ramírez, H.; Somolinos, J.A. Linear active disturbance rejection control of the hovercraft vessel model. Ocean Eng. 2015, 96, 100–108. [Google Scholar] [CrossRef] [Green Version]
- Sira-Ramírez, H. Dynamic Second-Order Sliding Mode Control of the Hovercraft Vessel. IEEE Trans. Control Syst. Technol. 2002, 10, 860–865. [Google Scholar] [CrossRef]
- Jeong, S.; Chwa, D. Coupled Multiple Sliding-Mode Control for Robust Trajectory Tracking of Hovercraft With External Disturbances. IEEE Trans. Ind. Electron. 2018, 65, 4103–4113. [Google Scholar] [CrossRef]
- Wei, X.; Cabecinhas, D. Robust Control of anUnderactuated Hovercraft. IEEE Trans. Control Syst. Technol. 2019, 27, 2195–2208. [Google Scholar]
- Lu, D.; Xie, W.; Cabecinhas, D.; Cunha, R.; Silvestre, C. Path Following Controller Design for an Underactuated Hovercraft with External Disturbances. In Proceedings of the 19th International Conference on Control, Automation and System, Jeju, Korea, 15–18 October 2019; pp. 76–81. [Google Scholar]
- Fu, M.; Gao, S. Safety-Guaranteed Trajectory Tracking Control for the Underactuated Hovercraft with State and Input Constraints. Math. Probl. Eng. 2017, 2017, 9452920. [Google Scholar] [CrossRef] [Green Version]
- Fu, M.; Wang, T. Barrier Lyapunov Function-Based Adaptive Control of an Uncertain Hovercraft with Position and Velocity Constraints. Math. Probl. Eng. 2019, 2019, 1940784. [Google Scholar] [CrossRef]
- Rosier, L. Homogeneous Lyapunov function for homogeneous continuous vector field. Syst. Control Lett 1992, 19, 467–473. [Google Scholar] [CrossRef]
- Bhat, S.P.; Bernstein, D.S. Geometric homogeneity with applications to finite-time stability Systems. Math. Control Signals 2005, 17, 101–127. [Google Scholar] [CrossRef] [Green Version]
- Khalil, H.K. Nonlinear Systems, 3rd ed.; Prentice Hall: Prentice Hall, NJ, USA, 2002. [Google Scholar]
- Wang, Y.; Tong, H.; Wang, C. High-gain observer based line-of-sight guidance for adaptive neural path following control of underactuated marine surface vessels. IEEE Access 2019, 7, 26088–26101. [Google Scholar] [CrossRef]
- Wang, Y.; Tong, H.; Fu, M. Line-of-sight guidance law for path following of amphibious hovercrafts with big and time-varying sideslip compensation. Ocean Eng. 2019, 172, 531–540. [Google Scholar] [CrossRef]
- Borhaug, E.; Pavlov, A.; Pettersen, K.Y. Integral LOS control for path following of underactuated marine surface vessels in the presence of constant ocean currents. In Proceedings of the 47th IEEE Conference on Decision and Control, Cancun, Mexico, 9–11 December 2008; pp. 4984–4991. [Google Scholar]
- Lekkas, A.M.; Fossen, T.I. A Time-Varying Lookahead Distance Guidance Law for Path Following. In Proceedings of the 9th IFAC Conference on Manoeuvring and Control of Marine Craft, Arenzano, Italy, 19–21 September 2012; pp. 398–403. [Google Scholar]
- Wang, N.; Sun, J.; Er, M.J. Tracking-error-based universal adaptive fuzzy control for output tracking of nonlinear systems with completely unknown dynamics. IEEE Trans. Fuzzy Syst. 2018, 26, 869–883. [Google Scholar] [CrossRef]
- Fossen, T.I. Handbook of Marine Craft Hydrodynamics and Motion Control, 1st ed.; John Wiley & Sons Ltd.: West Sussex, UK, 2011. [Google Scholar]







| Waypoints | Wpt0 | Wpt1 | Wpt2 | Wpt3 | Wpt4 | Wpt5 | Wpt6 1 |
|---|---|---|---|---|---|---|---|
| 0 | 1300 | 2500 | 2700 | 3000 | 3800 | 5100 | |
| 0 | 700 | 1500 | 2700 | 3700 | 4300 | 5000 |
© 2020 by the authors. Licensee MDPI, Basel, Switzerland. This article is an open access article distributed under the terms and conditions of the Creative Commons Attribution (CC BY) license (http://creativecommons.org/licenses/by/4.0/).
Share and Cite
Wang, Y.; Tong, H.; Ren, H. NESO-Based Path Following Control for Underactuated Hovercrafts with Unknown Nonlinear Uncertainties and a Safety Limit Constraint. Appl. Sci. 2020, 10, 5287. https://doi.org/10.3390/app10155287
Wang Y, Tong H, Ren H. NESO-Based Path Following Control for Underactuated Hovercrafts with Unknown Nonlinear Uncertainties and a Safety Limit Constraint. Applied Sciences. 2020; 10(15):5287. https://doi.org/10.3390/app10155287
Chicago/Turabian StyleWang, Yuanhui, Haiyan Tong, and Hongliang Ren. 2020. "NESO-Based Path Following Control for Underactuated Hovercrafts with Unknown Nonlinear Uncertainties and a Safety Limit Constraint" Applied Sciences 10, no. 15: 5287. https://doi.org/10.3390/app10155287
APA StyleWang, Y., Tong, H., & Ren, H. (2020). NESO-Based Path Following Control for Underactuated Hovercrafts with Unknown Nonlinear Uncertainties and a Safety Limit Constraint. Applied Sciences, 10(15), 5287. https://doi.org/10.3390/app10155287

