Influence of Maximum Aggregate Grain Size on the Strength Properties and Modulus of Elasticity of Concrete
Abstract
1. Introduction
2. Materials and Methods
2.1. Materials
2.2. Methods
3. Results and Discussion
4. Conclusions
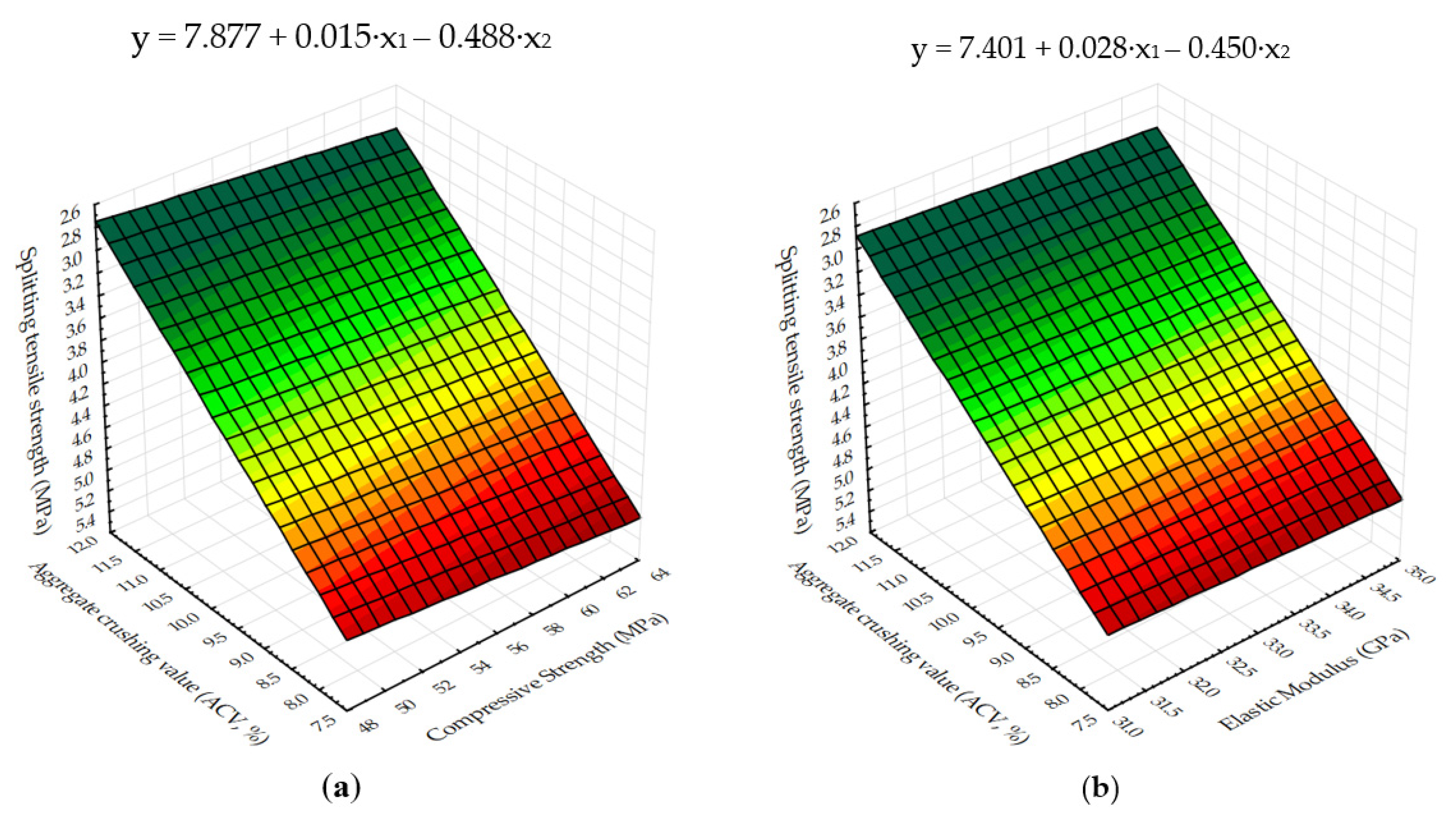
- The influence of Dmax of the aggregate on the values of strength properties is greater and more significant for splitting tensile strength. Analysing the obtained results, it was found that, with the increase of Dmax, the splitting tensile strength of fctm,sp deteriorated-for concrete GC2/31.5 is 34.5% lower than the strength of concrete GC2/8. An increase in aggregate Dmax with a simultaneous decrease in the mechanical resistance of the aggregate (increase in ACV) significantly reduces the tensile strength.
- Comparing the obtained results of fctm,sp with standard values, it was found that GC2/16 and GC2/31.5 concretes are characterized by 5% and 16% lower values respectively, i.e., one and two classes of concrete strength lower. This may indicate that an increase in Dmax may make the element more susceptible to earlier scratching.
- The influence of the maximum size of the aggregate grain on the modulus of elasticity was negligible. The changes in the size of the coarse aggregate did not affect the modulus of elasticity of concrete-the Ecm for GC2/8 was only 1% higher than the GC2/31.5 concrete module, which was the lowest of all.
- With the growth of Dmax of the aggregate, the brittleness of the tested concretes increases.
- The opposite to commonly accepted relationships have been observed—despite a decrease in the mechanical resistance of the aggregate, the compressive strength of the concrete has increased slightly, and a slight increase in the compressive strength corresponds to a clear decrease in the splitting tensile strength.
Author Contributions
Funding
Conflicts of Interest
References
- Topçu, İ.B.; Uğurlu, A. Elasticity Theory of Concrete and Prediction of Static E-Modulus for Dam Concrete Using Composite. J. Eng. Stud. Res. 2007, 18, 4055–4067. [Google Scholar]
- van Mier, J.G.M. Fracture Processes of Concrete: Assessment of Material Parameters for Fracture Models; CRC Press: Boca Raton, FL, USA, 2017. [Google Scholar]
- Oucif, C.; Mauludin, L.M. Continuum damage-healing and super healing mechanics in brittle materials: A state-of-the-art reviews. Appl. Sci. 2018, 8, 2350. [Google Scholar] [CrossRef]
- Li, J.; Huang, Q.; Ren, X. Dynamic initiation and propagation of multiple cracks in brittle materials. Materials 2013, 6, 3241–3253. [Google Scholar] [CrossRef] [PubMed]
- Scrivener, K.L.; Lyon, A.K.C.; Laugesen, F.P.; Crumbie, A.K.; Laugesen, P.; Lyon, A.K.C.; Laugesen, F.P. The interfacial transition zone (ITZ) between cement paste and aggregate in concrete. Interface Sci. 2004, 12, 411–421. [Google Scholar] [CrossRef]
- Zhou, C.; Li, K.; Ma, F. Numerical and statistical analysis of elastic modulus of concrete as a three-phase heterogeneous composite. Comput. Struct. 2014, 139, 33–42. [Google Scholar] [CrossRef]
- Sengul, O.; Sengul, C.; Keskin, G.; Akkaya, Y.; Tasdemir, C.; Tasdemir, M.A. Fracture and microstructural studies on normal and high strength concretes with different types of aggregates. In Proceedings of the 8th International Conference on Fracture Mechanics of Concrete and Concrete Structures, FraMCoS 2013, Toledo, Spain, 10–14 March 2013; pp. 714–725. [Google Scholar]
- Saouma, V.E.; Broz, J.J.; Brühwiler, E.; Boggs, H.L. Effect of Aggregate and Specimen Size on Fracture Properties of Dam Concrete. J. Mater. Civ. Eng. 1991, 3, 204–218. [Google Scholar] [CrossRef]
- Ferdous, W.; Manalo, A.; Wong, H.S.; Abousnina, R.; AlAjarmeh, O.S.; Zhuge, Y.; Schubel, P. Optimal design for epoxy polymer concrete based on mechanical properties and durability aspects. Constr. Build. Mater. 2020, 232, 117229. [Google Scholar] [CrossRef]
- Reinhardt, H.W. Factors affecting the tensile properties of concrete. In Understanding the Tensile Properties of Concrete; Woodhead Publishing Limited: Cambridge, UK, 2013; pp. 19–51. [Google Scholar] [CrossRef]
- Piasta, W.; Budzyński, W.; Góra, J. The effect of coarse aggregate on the deformation properties of normal concretes. Przegląd Bud. 2012, 83, 35–38. (In Polish) [Google Scholar]
- Mahmoud, K.A.; Tashlykov, O.L.; El Wakil, A.F.; El Aassy, I.E. Aggregates grain size and press rate dependence of the shielding parameters for some concretes. Prog. Nucl. Energy 2020, 118, 103092. [Google Scholar] [CrossRef]
- Neville, A. Properties of Concrete, 5th ed.; Pearson Education Limited: Harlow, UK, 2012. [Google Scholar]
- Khotbehsara, M.M.; Manalo, A.; Aravinthan, T.; Reddy, K.R.; Ferdous, W.; Wong, H.; Nazari, A. Effect of elevated in-service temperature on the mechanical properties and microstructure of particulate-filled epoxy polymers. Polym. Degrad. Stab. 2019, 170, 108994. [Google Scholar] [CrossRef]
- ASTM. ASTM C469/C469M-14, Standard Test Method for Static Modulus of Elasticity and Poisson’s Ratio of Concrete in Compression; ASTM International: West Conshohocken, PA, USA, 2014. [Google Scholar]
- Diógenes, H.J.F.; Cossolino, L.C.; Pereira, A.H.A.; El Debs, M.K.; El Debs, A.L.H.C. Determinação do módulo de elasticidade do concreto a partir da resposta acústica. Rev. IBRACON Estruturas Mater. 2011, 4, 803–813. [Google Scholar] [CrossRef]
- de Larrard, F.; Belloc, A. Are Small Aggregates Really Better for Making High-Strength Concrete? Cem. Concr. Aggregates 1992, 14, 62. [Google Scholar] [CrossRef]
- Beshr, H.; Almusallam, A.A.; Maslehuddin, M. Effect of coarse aggregate quality on the mechanical properties of high strength concrete. Constr. Build. Mater. 2003, 17, 97–103. [Google Scholar] [CrossRef]
- Mehta, P.K.; Monteiro, P.J.M. Concrete Microstructure, Properties and Materials, 4th ed.; Mc Grwa Hill Education: Michigan, MI, USA, 2014. [Google Scholar]
- Monteiro, P.J.M.; Helene, P.R.L.; Kang, S.H. Designing concrete mixtures for strength, elastic modulus and fracture energy. Mater. Struct. 1993, 26, 443–452. [Google Scholar] [CrossRef]
- European Committee for Standardization. EN 197-1:2012. CementPart 1: Composition, Specifications and Conformity Criteria for Common Cements; CEN: Brussels, Belgium, 2012. [Google Scholar]
- European Committee for Standardization. PN-EN 206+A1:2016-12. Concrete—Specification, Performance, Production and Conformity; CEN: Brussels, Belgium, 2012. [Google Scholar]
- Polish Committee for Standardization. PN-B-06714-40:1978. Mineral Aggregates—Testing—Determination of Crushing Strength; PKN: Warsaw, Poland, 1978. (In Polish) [Google Scholar]
- British Committee for Standardization. BS 812-110:1990. Testing Aggregates. Methods for Determination of Aggregate Crushing Value (ACV); BSI: London, UK, 1990. [Google Scholar]
- Polish Committee for Standardization. PN-B-06714-16:1978. Mineral Aggregates—Testing—Determination of Grain Shape (in Polish); PKN: Warsaw, Poland, 1978. [Google Scholar]
- Polish Committee for Standardization. PN-B-06714-13:1978. Mineral Aggregates—Testing—Determination of Mineral Dusts Content (in Polish); PKN: Warsaw, Poland, 1978. [Google Scholar]
- European Committee for Standardization. EN 1097-6:2013-11. Tests for Mechanical and Physical Properties of Aggregates—Part 6: Determination of Particle Density and Water Absorption; CEN: Brussels, Belgium, 2013. [Google Scholar]
- European Committee for Standardization. EN 12350-7:2019-08. Testing Fresh Concrete—Part 7: Air content—Pressure Methods; CEN: Brussels, Belgium, 2019. [Google Scholar]
- European Committee for Standardization. EN 12350-2:2019-07. Testing Fresh Concrete—Part 2: Slump Test; PKN: Warsaw, Poland, 2019. [Google Scholar]
- European Committee for Standardization. EN 12390-3:2019-07. Testing Hardened Concrete-Part 3: Compressive Strength of Test Specimens; CEN: Brussels, Belgium, 2019. [Google Scholar]
- European Committee for Standardization. EN 12390-6:2011. Testing Hardened Concrete—Part 6: Tensile Splitting Strength of Test Specimens; CEN: Brussels, Belgium, 2011. [Google Scholar]
- European Committee for Standardization. EN 12390-13:2014-02. Testing Hardened Concrete—Part 13: Determination of Secant Modulus of Elasticity in Compression; CEN: Brussels, Belgium, 2014. [Google Scholar]
- European Committee for Standardization. EN 1992-1-1:2008. Eurocode 2: Design of Concrete Structures—Part 1-1: General Rules and Rules for Buildings; CEN: Brussels, Belgium, 2008. [Google Scholar]
- Polish Committee for Standardization. PN-B-06712:1986. Mineral Aggregates for Concrete (In Polish); PKN: Warsaw, Poland, 1986. [Google Scholar]
- Piasta, W.; Góra, J.; Budzyński, W. Stress-strain relationships and modulus of elasticity of rocks and of ordinary and high performance concretes. Constr. Build. Mater. 2017, 153, 728–739. [Google Scholar] [CrossRef]
- Beushausen, H.; Dittmer, T. The influence of aggregate type on the strength and elastic modulus of high strength concrete. Constr. Build. Mater. 2015, 74, 132–139. [Google Scholar] [CrossRef]
- Baalbaki, W.; Benmokrane, B.; Chaallal, O.; Aietcin, P.C. Influence of coarse aggregate on elastic properties of high-performance concrete. ACI Mater. J. 1991, 88, 499–503. [Google Scholar] [CrossRef]
- Aitcin, P.C.; Mehta, P.K. Effect of coarse-aggregate characteristics on mechanical properties of high-strength concrete. ACI Mater. J. 1990, 87, 103–107. [Google Scholar] [CrossRef]
- Szymański, E. Materiały Budowlane. Tom I, 2nd ed.; Oficyna Wydawnicza WSEiZ w Warszawie: Warszawa, Poland, 2004. (In Polish) [Google Scholar]
- Elsharief, A.; Cohen, M.D.; Olek, J. Influence of aggregate size, water cement ratio and age on the microstructure of the interfacial transition zone. Cem. Concr. Res. 2003, 33, 1837–1849. [Google Scholar] [CrossRef]
- Akçaoǧlu, T.; Tokyay, M.; Çelik, T. Effect of coarse aggregate size and matrix quality on ITZ and failure behavior of concrete under uniaxial compression. Cem. Concr. Compos. 2004, 26, 633–638. [Google Scholar] [CrossRef]






| Parameters | Unit | Value | 
|---|---|---|
| Specific surface | (cm2∙g−1) | 4124 | 
| Initial setting time | (min) | 184 | 
| Loss on ignition | (%) | 3.33 | 
| Compressive strength | ||
| after 2 days | (MPa) | 30.1 | 
| after 28 days | 60.2 | |
| Density | (g·cm−3) | 3.08 | 
| Volume stability | (mm) | 1.00 | 
| SO3 content | (%) | 2.95 | 
| Cl content | (%) | 0.089 | 
| Insoluble residue | (%) | 0.57 | 
| Fraction | Specific Density | Bulk Density | Porosity | Aggregate Crushing Value | Content of Irregular Grains | Content of Mineral Dusts | 
|---|---|---|---|---|---|---|
| (mm) | (kg∙dm−3) | (kg∙dm−3) | (%) | (ACV, %) | (Zni, %) | (Zpi, %) | 
| 2 ÷ 8 | 2.72 | 2.64 | 7.9 | 0.7 | 0.22 | |
| 8 ÷ 16 | 2.90 | 10.3 | 4.1 | 0.20 | ||
| 16 ÷ 31.5 | 12.9 | 3.9 | 0.13 | 
| Sieve Size mm | Sand | Gravel Aggregate | ||
|---|---|---|---|---|
| 2 ÷ 8 mm | 2 ÷ 16 mm | 2 ÷ 31.5 mm | ||
| 31.5 | 100 | 100 | 100 | 100 | 
| 16 | 100 | 100 | 100 | 40 | 
| 8 | 100 | 100 | 40 | 20 | 
| 4 | 100 | 40 | 10 | 5 | 
| 2 | 100 | 0 | 0 | 0 | 
| 1 | 94 | - | - | - | 
| 0.5 | 55 | - | - | - | 
| 0.25 | 13 | - | - | - | 
| 0.125 | 2 | - | - | - | 
| Components | Unit | GC2/8 | ACV 1 | GC2/16 | ACV 1 | GC2/31.5 | ACV 1 | 
|---|---|---|---|---|---|---|---|
| (%) | (%) | (%) | |||||
| CEM I 42.5R cement | (kg∙m−3) | 364 | 364 | 364 | |||
| Quartz sand (0 ÷ 2 mm) | (kg∙m−3) | 708 | 708 | 708 | |||
| Gravel (2 ÷ 4 mm) | (kg∙m−3) | 476 | 119 | 60 | |||
| Gravel (4 ÷ 8 mm) | (kg∙m−3) | 714 | 7.9 | 357 | 9.5 | 178 | 11.6 | 
| Gravel (8 ÷ 16 mm) | (kg∙m−3) | - | - | 714 | 238 | ||
| Gravel (16 ÷ 31.5 mm) | (kg∙m−3) | - | - | - | - | 714 | |
| Superplasticizier | (kg∙m−3) | 2.548 | 1.49 | 1.048 | |||
| Water | (kg∙m−3) | 165 | 165 | 165 | 
| Type of Concrete | Air Content (%) | Slump Test (cm) | 
|---|---|---|
| GC2/8 | 2.40 | 5.0 | 
| GC2/16 | 2.60 | 4.0 | 
| GC2/31.5 | 2.70 | 4.0 | 
| Type of Concrete/Descriptive Statistics | Compressive Strength | Strength Class | Splitting Tensile Strength | EN 1992 [33] | Elastic Modulus | EN 1992 [33] | K | |
|---|---|---|---|---|---|---|---|---|
| fcm, (MPa) | fctm,sp (fctm,ax), (MPa) | Ecm, (GPa) | (-) | |||||
| GC2/8 | Mean | 54.0 | C40/50 | 5.01 (4.51) | 3.5 | 33.5 | 35 | 0.09 | 
| CV | 2.8 | 7.2 | 2.6 | 6.7 | ||||
| SD | 1.52 | 0.36 | 0.86 | 0.006 | ||||
| GC2/16 | Mean | 54.7 | C40/50 | 3.69 (3.32) | 3.5 | 33.1 | 35 | 0.06 | 
| CV | 4.8 | 3.5 | 1.8 | 5.0 | ||||
| SD | 2.61 | 0.13 | 0.58 | 0.003 | ||||
| GC2/31.5 | Mean | 56.1 | C40/50 | 3.28 (2.95) | 3.5 | 32.7 | 35 | 0.05 | 
| CV | 5.0 | 4.6 | 4.0 | 6.0 | ||||
| SD | 2.81 | 0.15 | 1.30 | 0.003 | ||||
© 2020 by the authors. Licensee MDPI, Basel, Switzerland. This article is an open access article distributed under the terms and conditions of the Creative Commons Attribution (CC BY) license (http://creativecommons.org/licenses/by/4.0/).
Share and Cite
Góra, J.; Szafraniec, M. Influence of Maximum Aggregate Grain Size on the Strength Properties and Modulus of Elasticity of Concrete. Appl. Sci. 2020, 10, 3918. https://doi.org/10.3390/app10113918
Góra J, Szafraniec M. Influence of Maximum Aggregate Grain Size on the Strength Properties and Modulus of Elasticity of Concrete. Applied Sciences. 2020; 10(11):3918. https://doi.org/10.3390/app10113918
Chicago/Turabian StyleGóra, Jacek, and Małgorzata Szafraniec. 2020. "Influence of Maximum Aggregate Grain Size on the Strength Properties and Modulus of Elasticity of Concrete" Applied Sciences 10, no. 11: 3918. https://doi.org/10.3390/app10113918
APA StyleGóra, J., & Szafraniec, M. (2020). Influence of Maximum Aggregate Grain Size on the Strength Properties and Modulus of Elasticity of Concrete. Applied Sciences, 10(11), 3918. https://doi.org/10.3390/app10113918
 
        


 
       