Capturing the Swirling Vortex and the Impact of Ventilation Conditions on Small-Scale Fire Whirls
Abstract
1. Introduction
2. Mathematical Formulation
2.1. Governing Equations
2.2. Subgrid-Scale Combustion Modelling
2.3. Soot Formation and Radiation Models
3. Experimental Configuration and Numerical Setup
3.1. Experimental Arrangement of Chow and Han
3.2. Experimental Arrangement of Hartl and Smits
3.3. Computational Domain and Boundary Conditions
4. Results and Discussions
4.1. Validation of Time-Averaged Centreline Flame Temperature
4.2. Validation of Time-Averaged Velocity Field
4.3. Normalization of Tangential Velocity and Vortex Core Radius
4.4. Formation of Whirling Motion and Its Impact on Flame Shape and Height
4.5. Formation of Vortex Core Due to Asymmetric and Symmetric Air Entrainment
4.6. Imposed Air Entrainment and Its Impact on the Vortex Core
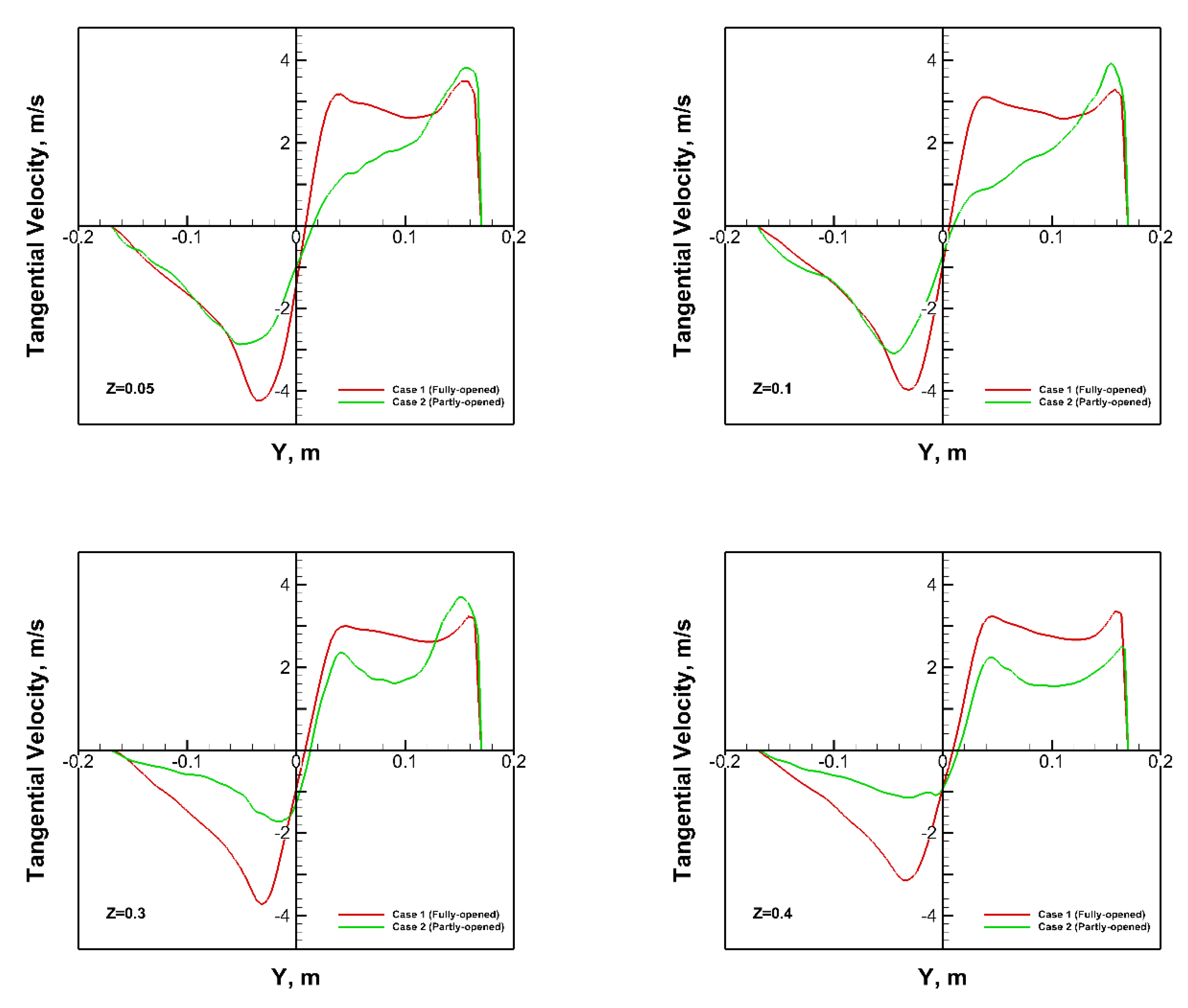
4.7. Tangential Velocity and Stability of the Vortex Core
5. Conclusions
- 1
- The centreline temperature variations within the continuous flame are consistent with the empirical correlation by Lei et al. [18] based on their medium-scale fire whirl measurements.
- 2
- The dimensionless study shows that the tangential velocity within the vortex core follows the fundamental Burgers vortex equation. In the Chow and Han experiment, the tangential velocities start to increase and deviate from the Burgers equation at approximately three times of the vortex radius, where air entrainment from the ventilation gap is imposed. In the Hartl and Smits experiment, the tangential velocities decay rapidly at due to the boundary of the two half-cylinders.
- 3
- The development stages of the fire whirls, including the flame rising, fully developed conical fire, and fully developed cylindrical fire stages, are successfully captured by the numerical model.
- 4
- The swirling velocity within the vortex core suppresses the fuel–air mixing and its associated combustion process, causing a noticeable temperature dip at the fire centre. A stronger swirling motion results in a more significant temperature decrease.
- 5
- The air entrainment is crucial in providing imposed circulation for the onset of self-rotating fire whirls. A partially opened ventilation gap significantly weakens the circulation motion, causing insufficient air entrainment within the inflow boundary layer and causing instability to the fire whirl structure. The numerical findings confirm that the strong inflow boundary layer is the key factor affecting the onset of self-rotational motion of fire whirls.
Author Contributions
Funding
Conflicts of Interest
Nomenclature
| a, b | Exponents of the beta probability density function |
| Normalized radical nuclei concentration | |
| Specific heat () | |
| Smagorinsky constant | |
| Cα, Cβ, Cγ, , | Exponential constants for soot quantities |
| Dynamic stress constant | |
| Fire bed width | |
| Blackbody radiation | |
| Gravitational vector | |
| The ith species standard heat of formation | |
| Sensible enthalpy | |
| Formation enthalpy at the reference temperature | |
| Mean enthalpy | |
| Radiation intensities | |
| Turbulent thermal conductivity | |
| Gas radiative absorption coefficient | |
| , | Absorption coefficients for filter gas and soot |
| Reaction coefficients for soot oxidation | |
| Axial mass flow rate | |
| Soot mass concentration | |
| Soot number density | |
| p | Pressure |
| Pr | Prandtl number |
| Beta probability density function (PDF) | |
| Scalar quantities diffusion flux | |
| r | Plume radial |
| Sc | Schmidt number |
| Source term of the radiation | |
| Mean reaction rate | |
| T | Temperature |
| , | Activation temperatures for soot quantities |
| Time | |
| ui | Velocity vector |
| Soot mass fraction | |
| Mixture fraction variance | |
| f | Mixture fraction |
| Mole fraction of soot precursor | |
| Z | Normalized vertical height |
| Greek letters | |
| Rate of particle nucleation for soot number density | |
| Rate of particle nucleation for soot number density | |
| Turbulent viscosity | |
| Stefan–Boltzmann constant | |
| Stress tensor due to molecular viscosity | |
| Density | |
| Mass density of soot | |
| Subgrid-scale stress | |
| Soot particle number | |
| Soot volume fraction | |
| Δ | Subgrid length scale |
| , , | Direction cosines |
| Scale quantities | |
| Air-to-fuel ratio on a mass basis | |
| Subscripts | |
| h | Radiative and heat transfer to wall boundaries |
| c | Vortex core |
| soot | Soot |
| t | Turbulence |
| f | Flame |
| ∞ | Ambient |
| Superscripts | |
| w | Axial velocity |
| v | Tangential velocity |
References
- Chuah, K.H.; Kuwana, K.; Saito, K. Modeling a fire whirl generated over a 5-cm-diameter methanol pool fire. Combust. Flame 2009, 156, 1828–1833. [Google Scholar] [CrossRef]
- Lei, J.; Liu, N.; Lozano, J.S.; Zhang, L.; Deng, Z.; Satoh, K. Experimental research on flame revolution and precession of fire whirls. Proc. Combust. Inst. 2013, 34, 2607–2615. [Google Scholar] [CrossRef]
- Matsuyama, K.; Tanaka, F.; Ishikawa, N.; Tanaka, S.; Ohmiya, Y.; Hayashi, Y. Experimental and numerical studies on fire whirls. In Proceedings of the 6th Asia-Oceania Symposium on Fire Science and Technology, AOFST 6, Daegu, Korea, 17–20 March 2004. [Google Scholar]
- Zhou, K.; Liu, N.; Lozano, J.S.; Shan, Y.L.; Yao, B.; Satoh, K. Effect of flow circulation on combustion dynamics of fire whirl. Proc. Combust. Inst. 2013, 34, 2617–2624. [Google Scholar] [CrossRef]
- Zou, G.W.; Chow, W.K. Generation of an internal fire whirl in an open roof vertical shaft model with a single corner gap. J. Fire Sci. 2015, 33, 183–201. [Google Scholar] [CrossRef]
- Zou, G.W.; Yang, L.; Chow, W.K. Numerical Studies on Fire Whirls in a Vertical Shaft. In Proceedings of the Inaugural US-EU-China Thermophysics Conference-Renewable Energy 2009, Beijing, China, 28–30 May 2009; Tao, Y., Ma, C., Eds.; ASME: New York, NY, USA, 2009. [Google Scholar]
- Hartl, K.A.; Smits, A.J. Scaling of a small scale burner fire whirl. Combust. Flame 2016, 163, 202–208. [Google Scholar] [CrossRef]
- Satoh, K.; Yang, K.T. Simulations Of Swirling Fires Controlled By Channeled Self-generated Entrainment Flows. Fire Saf. Sci. 1997, 5, 201–212. [Google Scholar] [CrossRef]
- Emmons, H.W.; Ying, S.-J. The fire whirl. Symp. Int. Combust. 1967, 11, 475–488. [Google Scholar] [CrossRef]
- Soma, S.; Saito, K. Reconstruction of fire whirls using scale models. Combust. Flame 1991, 86, 269–284. [Google Scholar] [CrossRef]
- Chuah, K.H.; Kushida, G. The prediction of flame heights and flame shapes of small fire whirls. Proc. Combust. Inst. 2007, 31, 2599–2606. [Google Scholar] [CrossRef]
- Lei, J.; Liu, N.; Jiao, Y.; Zhang, S. Experimental investigation on flame patterns of buoyant diffusion flame in a large range of imposed circulations. Proc. Combust. Inst. 2017, 36, 3149–3156. [Google Scholar] [CrossRef]
- Chow, W.K. A study on relationship between burning rate and flame height of internal fire whirls in a vertical shaft model. J. Fire Sci. 2013, 32, 72–83. [Google Scholar] [CrossRef]
- Chow, W.K.; Han, S.S. Experimental Investigation on Onsetting Internal Fire Whirls in a Vertical Shaft. J. Fire Sci. 2009, 27, 529–543. [Google Scholar] [CrossRef]
- Chow, W.K.; He, Z.; Gao, Y. Internal Fire Whirls in a Vertical Shaft. J. Fire Sci. 2010, 29, 71–92. [Google Scholar] [CrossRef]
- Rodi, W. Comparison of LES and RANS calculations of the flow around bluff bodies. J. Wind Eng. Ind. Aerodyn. 1997, 69–71, 55–75. [Google Scholar] [CrossRef]
- Battaglia, F.; Mcgrattan, K.B.; Rehm, R.G.; Baum, H.R. Simulating fire whirls. Combust. Theory Model. 2000, 4, 123–138. [Google Scholar] [CrossRef]
- Lei, J.; Liu, N.; Tu, R. Flame height of turbulent fire whirls: A model study by concept of turbulence suppression. Proc. Combust. Inst. 2017, 36, 3131–3138. [Google Scholar] [CrossRef]
- Lei, J.; Liu, N.; Zhang, L.; Satoh, K. Temperature, velocity and air entrainment of fire whirl plume: A comprehensive experimental investigation. Combust. Flame 2015, 162, 745–758. [Google Scholar] [CrossRef]
- Yuen, A.C.Y.; Yeoh, G.H.; Cheung, S.C.P.; Chan, Q.N.; Chen, T.B.Y.; Yang, W.; Lu, H. Numerical study of the development and angular speed of a small-scale fire whirl. J. Comput. Sci. 2018, 27, 21–34. [Google Scholar] [CrossRef]
- Parente, R.M.; Pereira, J.M.C.; Pereira, J.C.F. On the influence of circulation on fire whirl height. Fire Saf. J. 2019, 106, 146–154. [Google Scholar] [CrossRef]
- Cheung, A.L.K.; Lee, E.W.M.; Yuen, R.K.K.; Yeoh, G.H.; Cheung, S.C.P. Capturing the Pulsation Frequency of a Buoyant Pool Fire using the Large Eddy Simulation Approach. Numer. Heat Transf. Part A Appl. 2007, 53, 561–576. [Google Scholar] [CrossRef]
- Warrantz, U.; Mass, U.; Debbie, R.W. Combustion; Springer: Berlin/Heidelberg, Germany, 1996. [Google Scholar]
- Cheung, S.C.P.; Yeoh, G.H.; Cheung, A.L.K.; Yuen, R.K.K.; Lo, S.M. Flickering Behavior of Turbulent Buoyant Fires Using Large-Eddy Simulation. Numer. Heat Transf. Part A Appl. 2007, 52, 679–712. [Google Scholar] [CrossRef]
- Sivathanu, Y.R.; Gore, J.P. Coupled radiation and soot kinetics calculations in laminar acetylene/air diffusion flames. Combust. Flame 1994, 97, 161–172. [Google Scholar] [CrossRef]
- Zhou, X.; Luo, K.H.; Williams, J.J.R. Numerical studies on vortex structures in the near-field of oscillating diffusion flames. Heat Mass Transf. 2001, 37, 101–110. [Google Scholar] [CrossRef]
- Smagorinsky, J. General circulation experiments with the primitive equations. Mon. Weather Rev. 1963, 91, 99–164. [Google Scholar] [CrossRef]
- Kang, Y.; Wen, J.X. Large eddy simulation of a small pool fire. Combust. Sci. Technol. 2004, 176, 2193–2223. [Google Scholar] [CrossRef]
- Erlebacher, G.; Hussaini, M.Y.; Speziale, C.G.; Zang, T.A. Toward the large-eddy simulation of compressible turbulent flows. J. Fluid Mech. 1992, 238, 155–185. [Google Scholar] [CrossRef]
- Xin, Y.; Gore, J.P.; McGrattan, K.B.; Rehm, R.G.; Baum, H.R. Fire dynamics simulation of a turbulent buoyant flame using a mixture-fraction-based combustion model. Combust. Flame 2005, 141, 329–335. [Google Scholar] [CrossRef]
- Sivathanu, Y.R.; Faeth, G.M. Generalized state relationships for scalar properties in nonpremixed hydrocarbon/air flames. Combust. Flame 1990, 82, 211–230. [Google Scholar] [CrossRef]
- Ibdir, H.; Arastoopour, H. Modeling of multi-type particle flow using kinetic approach. AICHE J. 2005. [Google Scholar] [CrossRef]
- Cheung, S.C.P.; Yuen, R.K.K.; Yeoh, G.H.; Cheng, G.W.Y. Contribution of soot particles on global radiative heat transfer in a two-compartment fire. Fire Saf. J. 2004, 39, 412–428. [Google Scholar] [CrossRef]
- Moss, J.B.; Stewart, C.D.; Syed, K.J. Flowfield modelling of soot formation at elevated pressure. Proc. Combust. Inst. 1988, 22, 413–423. [Google Scholar] [CrossRef]
- Justesen, P. A numerical study of oscillating flow around a circular cylinder. J. Fluid Mech. 1991, 222, 157–196. [Google Scholar] [CrossRef]
- Yuen, A.C.Y.; Yeoh, G.H.; Timchenko, V.; Cheung, S.C.P.; Chan, Q.N.; Chen, T.B.Y. On the influences of key modelling constants of large eddy simulations for large-scale compartment fires predictions. Int. J. Comput. Fluid Dyn. 2017, 31, 324–337. [Google Scholar] [CrossRef]
- Brookes, S.J.; Moss, J.B. Predictions of soot and thermal radiation properties in confined turbulent jet diffusion flames. Combust. Flame 1999, 116, 486–503. [Google Scholar] [CrossRef]
- Lindstedt, R.P.; Louloudi, S.A. Joint-scalar transported PDF modeling of soot formation and oxidation. Proc. Combust. Inst. 2005, 30, 775–783. [Google Scholar] [CrossRef]
- Fenimore, C.P.; Jones, G.W. Oxidation of soot by hydroxyl radicals. J. Phys. Chem. 1967, 71, 593–597. [Google Scholar] [CrossRef]
- Jamaluddin, A.S.; Smith, P.J. Predicting Radiative Transfer in Rectangular Enclosures Using the Discrete Ordinates Method. Combust. Sci. Technol. 1988, 59, 321–340. [Google Scholar] [CrossRef]
- Kent, J.H.; Honnery, D.R. A soot formation rate map for a laminar ethylene diffusion flame. Combust. Flame 1990, 79, 287–298. [Google Scholar] [CrossRef]
- Aboelkassem, Y.; Vatistas, G.H.; Esmail, N. Viscous dissipation of Rankine vortex profile in zero meridional flow. Acta Mech. Sin. 2005, 21, 550–556. [Google Scholar] [CrossRef]
- Ansys, R. Academic Research Mechanical, Release 17.2, Help System; ANSYS, Inc.: Canonsburg, PA, USA, 2016. [Google Scholar]
- Werner., H.; Wengle, H. Large-eddy simulation of turbulent flow over and around a cube in plate channel. In Proceedings of the 8th Symposium on Turbulent Shear Fow, Munich, Germany, 9–11 September 1991; Volume 19, pp. 155–158. [Google Scholar]
- Wen, J.X.; Huang, L.Y.; Roberts, J. The effect of microscopic and global radiative heat exchange on the field predictions of compartment fires. Fire Saf. J. 2001, 36, 205–223. [Google Scholar] [CrossRef]



















| Case No. | Fuel Type | Vertical Gap | Vertical Gap Height, m | Vertical Gap Width, m | |
|---|---|---|---|---|---|
| 1 | Propane | Vertical shaft Fully opened | 1.45 | 0.036 | W.K Chow; S.S. Han [10] |
| 2 | Propane | Vertical shaft Partially opened | 0.4 | 0.036 | W.K Chow; S.S. Han [10] |
| 3 | Dimethyl ether | Two half-cylinders | 0.89 | 0.0762 | K.A. Hartl; A.J. Smits [14] |
| Reactants | Intermediate Species | Product | |
|---|---|---|---|
| Cases 1 and 2 | , , | , , , , , , , , , , , , , , | , , |
| Case 3 | , , | , , , , , , , , , , , | , , |
© 2020 by the authors. Licensee MDPI, Basel, Switzerland. This article is an open access article distributed under the terms and conditions of the Creative Commons Attribution (CC BY) license (http://creativecommons.org/licenses/by/4.0/).
Share and Cite
Fang, X.; Yuen, A.C.Y.; Yeoh, G.H.; Lee, E.W.M.; Cheung, S.C.P. Capturing the Swirling Vortex and the Impact of Ventilation Conditions on Small-Scale Fire Whirls. Appl. Sci. 2020, 10, 3428. https://doi.org/10.3390/app10103428
Fang X, Yuen ACY, Yeoh GH, Lee EWM, Cheung SCP. Capturing the Swirling Vortex and the Impact of Ventilation Conditions on Small-Scale Fire Whirls. Applied Sciences. 2020; 10(10):3428. https://doi.org/10.3390/app10103428
Chicago/Turabian StyleFang, Xiang, Anthony Chun Yin Yuen, Guan Heng Yeoh, Eric Wai Ming Lee, and Sherman Chi P. Cheung. 2020. "Capturing the Swirling Vortex and the Impact of Ventilation Conditions on Small-Scale Fire Whirls" Applied Sciences 10, no. 10: 3428. https://doi.org/10.3390/app10103428
APA StyleFang, X., Yuen, A. C. Y., Yeoh, G. H., Lee, E. W. M., & Cheung, S. C. P. (2020). Capturing the Swirling Vortex and the Impact of Ventilation Conditions on Small-Scale Fire Whirls. Applied Sciences, 10(10), 3428. https://doi.org/10.3390/app10103428

