Ultra-Thin Metamaterial Beam Splitters
Abstract
Featured Application
Abstract
1. Introduction
2. Fishnet Metamaterial Design Parameters
3. Polarizing Beam Splitter
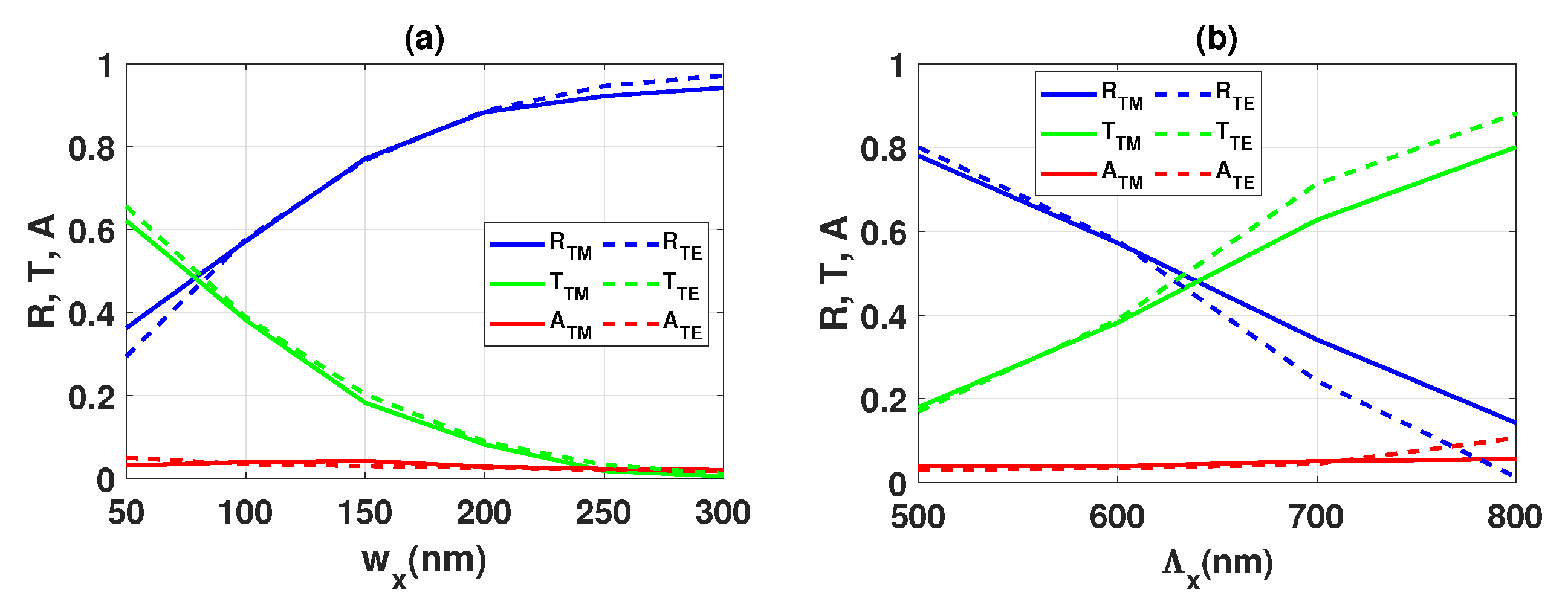
4. Partially Polarizing Beam Splitter
5. Non-Polarizing Beam Splitter
6. Conclusions
Author Contributions
Acknowledgments
Conflicts of Interest
References
- Ozer, A.; Yilmaz, N.; Kocer, H.; Kurt, H. Polarization-insensitive beam splitters using all-dielectric phase gradient metasurfaces at visible wavelengths. Opt. Lett. 2018, 43, 4350. [Google Scholar] [CrossRef] [PubMed]
- Zhang, D.; Ren, M.; Wu, W.; Gao, N.; Yu, X.; Cai, W.; Zhang, X.; Xu, J. Nanoscale beam splitters based on gradient metasurfaces. Opt. Lett. 2018, 43, 267. [Google Scholar] [CrossRef] [PubMed]
- Xing, X.; Li, Y.; Lu, Y.; Zhang, W.; Zhang, X.; Han, J.; Zhang, W. Terahertz metamaterial beam splitters based on untraditional coding scheme. Opt. Express 2019, 27, A1627–A1635. [Google Scholar] [CrossRef] [PubMed]
- Wei, M.; Xu, Q.; Wang, Q.; Zhang, X.; Li, Y.; Gu, J.; Tian, Z.; Zhang, X.; Han, J.; Zhang, W. Broadband non-polarizing terahertz beam splitters with variable split ratio. Appl. Phys. Lett. 2017, 111, 071101. [Google Scholar] [CrossRef]
- Wang, B.; Dong, F.; Feng, H.; Yang, D.; Song, Z.; Xu, L.; Chu, W.; Gong, Q.; Li, Y. Rochon-prism-like planar circularly polarized beam splitters based on dielectric metasurfaces. ACS Photonics 2018, 5, 1660. [Google Scholar] [CrossRef]
- Li, Q.-T.; Dong, F.; Wang, B.; Gan, F.; Chen, J.; Song, Z.; Xu, L.; Chu, W.; Xiao, Y.-F.; Gong, Q.; et al. Polarization-independent and high-efficiency dielectric metasurfaces for visible light. Opt. Express 2016, 24, 16309–16319. [Google Scholar] [CrossRef]
- Liu, Z.; Guo, J.; Tian, B.; Bian, Y.; Zhang, R.-Y.; Wang, Z. Omnidirectional polarization beam splitter for white light. Opt. Express 2019, 27, 7673. [Google Scholar] [CrossRef]
- Poddubny, A.; Iorsh, I.; Kivshar, Y. Hyperbolic metamaterials. Nat. Photonics 2013, 7, 958–967. [Google Scholar] [CrossRef]
- Zheng, J.; Zhou, C.; Feng, J.; Cao, H.; Lu, P. A metal-mirror-based reflecting polarizing beam splitter. J. Opt. A 2008, 11, 015710. [Google Scholar] [CrossRef]
- Liu, T.; Zakharian, A.R.; Fallahi, M.; Moloney, J.V.; Mansuripur, M. Design of a compact photonic-crystal-based polarizing beam splitter. IEEE Photonics Tech. Lett. 2005, 17, 1435–1437. [Google Scholar]
- Lalanne, P.; Hazart, J.; Chavel, P.; Cambril, E.; Launois, H. A transmission polarizing beam splitter grating. J. Opt. A 1999, 1, 215. [Google Scholar] [CrossRef]
- Miller, S.; Tu, X.; Jiang, L.; Pau, S. Polarizing beam splitter cube for circularly and elliptically polarized light. Opt. Express 2019, 27, 16258–16270. [Google Scholar] [CrossRef] [PubMed]
- Riquelme, M.; Ortuño, M.; Márquez, A.; Gallego, S.; Pascual, I.; Beléndez, A. A dynamic beam splitter using polymer dispersed liquid crystal materials. Proc. SPIE 2012, 8498. [Google Scholar] [CrossRef]
- Wolff, L.B. Polarization camera for computer vision with a beam splitter. J. Opt. Soc. Am. A 1994, 11, 2935–2945. [Google Scholar] [CrossRef]
- McCormick, F.B.; Tooley, F.A.P.; Cloonan, T.J.; Brubaker, J.L.; Lentine, A.L.; Morrison, R.L.; Hinterlong, S.J.; Herron, M.J.; Walker, S.L.; Sasian, J.M. Experimental investigation of a free-space optical switching network by using symmetric self-electro-optic-effect devices. Appl. Opt. 1992, 31, 5431–5446. [Google Scholar] [CrossRef]
- Ojima, M.; Saito, A.; Kaku, T.; Ito, M.; Tsunoda, Y.; Takayama, S.; Sugita, Y. Compact magnetooptical disk for coded data storage. Appl. Opt. 1986, 25, 483–489. [Google Scholar] [CrossRef]
- Chen, J.; Altepeter, J.B.; Medic, M.; Lee, K.F.; Gokden, B.; Hadfield, R.H.; Nam, S.W.; Kumar, P. Demonstration of a quantum controlled-NOT gate in the telecommunications band. Phys. Rev. Lett. 2008, 100, 133603. [Google Scholar] [CrossRef]
- Nielsen, M.A.; Chuang, I. Quantum Computation and Quantum Information; Cambridge University Press: Cambridge, UK, 2000. [Google Scholar]
- al Farooqui, M.A.; Breeland, J.; Aslam, M.I.; Sadatgol, M.; Ozdemir, S.K.; Tame, M.; Yang, L.; Guney, D.O. Quantum entanglement distillation with metamaterials. Opt. Express 2015, 23, 17941. [Google Scholar] [CrossRef]
- Asano, M.; Bechu, M.; Tame, M.; Ozdemir, S.K.; Ikuta, R.; Guney, D.O.; Yamamoto, T.; Yang, L.; Wegener, M.; Imoto, N. Distillation of photon entanglement using a plasmonic metamaterial. Sci. Rep. 2015, 5, 18313. [Google Scholar] [CrossRef]
- Dolling, G.; Wegener, M.; Linden, S. Realization of a three-functional-layer negative-index photonic metamaterial. Opt. Lett. 2007, 32, 551. [Google Scholar] [CrossRef]
- Valentine, J.; Zhang, S.; Zentgraf, T.; Ulin-Avila, E.; Genov, D.A.; Bartal, G.; Zhang, X. Three-dimensional optical metamaterial with a negative refractive index. Nature 2008, 455, 376–379. [Google Scholar] [CrossRef] [PubMed]
- Li, W.-Z.; Wei, W.; Chen, J.-Y.; He, J.-X.; Xue, S.-N.; Zhang, J.; Liu, X.; Li, X.; Fu, Y.; Jiao, Y.-H.; et al. Stirring-assisted assembly of nanowires at liquidâsolid interfaces. Nanotechnology 2013, 24, 105302. [Google Scholar] [CrossRef] [PubMed]
- Larciprete, M.C.; Centini, M.; Voti, R.L.; Bertolotti, M.; Sibilia, C. Aligned Ag nanowires for radiation manipulation: Efficient and broadband infrared polarizing beam splitter. J. Mod. Opt. 2014, 61, 1261. [Google Scholar] [CrossRef]
- Davies, J.T.; Rickerd, C.; Grimes, M.; Guney, D.O. An n-bit general implementation of Shor’s quantum period-finding algorithm. Quantum Inf. Comp. 2016, 16, 700. [Google Scholar]
- Kafesaki, M.; Tsiapa, I.; Katsarakis, N.; Koschny, T.; Soukoulis, C.M.; Economou, E.N. Left-handed metamaterials: The fishnet structure and its variations. Phys. Rev. B 2007, 75, 235114. [Google Scholar] [CrossRef]
- Guney, D.O.; Koschny, T.; Soukoulis, C.M. Reducing ohmic losses in metamterials by geometric tailoring. Phys. Rev. B 2009, 80, 125129. [Google Scholar] [CrossRef]
- Vora, A.; Gwamuri, J.; Pala, N.; Kulkarni, A.; Pearce, J.M.; Guney, D.O. Exchanging Ohmic losses in metamaterial absorbers with useful optical absorption for photovoltaics. Sci. Rep. 2014, 4, 4901. [Google Scholar] [CrossRef]
- Menzel, C.; Rockstuhl, C.; Paul, T.; Lederer, F.; Pertsch, T. Retrieving effective parameters for metamaterials at oblique incidence. Phys. Rev. B 2008, 77, 195328. [Google Scholar] [CrossRef]
- Kowerdziej, R.; Krupka, J.; Nowinowskiâ Kruszelnicki, E.; Olifierczuk, M.; Parka, J. Microwave complex permittivity of voltage-tunable nematic liquid crystals measured in high resistivity silicon transducers. Appl. Phys. Lett. 2013, 102, 102904. [Google Scholar] [CrossRef]
- Kowerdziej, R.; Garbat, K.; Walczakowski, M. Nematic liquid crystal mixtures dedicated to thermally tunable terahertz devices. Liq. Cryst. 2018, 45, 1040–1046. [Google Scholar] [CrossRef]
- Zografopoulos, D.C.; Beccherelli, R.; Kriezis, E.E. Beam-splitter switches based on zenithal bistable liquid-crystal gratings. Phys. Rev. E 2014, 90, 042503. [Google Scholar] [CrossRef] [PubMed]
- Khoo, I.C. Nonlinear optics, active plasmonic and tunable metamaterials with liquid crystals. Progr. Quantum Electron. 2014, 38, 77–117. [Google Scholar] [CrossRef]
- Uriri, S.A.; Tashima, T.; Zhang, X.; Asano, M.; Bechu, M.; Guney, D.O.; Yamamoto, T.; Ozdemir, S.K.; Wegener, M.; Tame, M.S. Active control of a plasmonic metamaterial for quantum state engineering. Phys. Rev. A 2018, 97, 053810. [Google Scholar] [CrossRef]
- Minovich, A.; Neshev, D.N.; Powell, D.A.; Shadrivov, I.V.; Kivshar, Y.S. Tunable fishnet metamaterials infiltrated by liquid crystals. Appl. Phys. Lett. 2010, 96, 193103. [Google Scholar] [CrossRef]
- Hien, N.T.; Le, L.N.; Trang, P.T.; Tung, B.S.; Viet, N.D.; Duyen, P.T.; Thang, N.M.; Viet, D.T.; Lee, Y.; Lam, V.D.; et al. Characterizations of a thermo-tunable broadband fishnet metamaterial at THz frequencies. Comput. Mater. Sci. 2015, 103, 189–193. [Google Scholar] [CrossRef]
- Zhang, F.; Zhang, W.; Zhao, Q.; Sun, J.; Qiu, K.; Zhou, J.; Lippens, D. Electrically controllable fishnet metamaterial based on nematic liquid crystal. Opt. Express 2011, 19, 1563–1568. [Google Scholar] [CrossRef]
- Minovich, A.; Farnell, J.; Neshev, D.N.; McKerracher, I.; Karouta, F.; Tian, J.; Powell, D.A.; Shadrivov, I.V.; Tan, H.H.; Jagadish, C.; et al. Liquid crystal based nonlinear fishnet metamaterials. Appl. Phys. Lett. 2012, 100, 121113. [Google Scholar] [CrossRef]
- Chang, C.-L.; Wang, W.-C.; Lin, H.-R.; Hsieh, F.J.; Pun, Y.-B.; Chan, C.-H. Tunable terahertz fishnet metamaterial. Appl. Phys. Lett. 2013, 102, 151903. [Google Scholar] [CrossRef]
- Aslam, M.I.; Guney, D.O. Surface plasmon driven scalable low-loss negative-index metamaterial in the visible spectrum. Phys. Rev. B 2011, 84, 195465. [Google Scholar] [CrossRef]
- Aslam, M.I.; Guney, D.O. Dual band double-negative polarization independent metamaterial for the visible spectrum. J. Opt. Soc. Am. B 2012, 29, 2839. [Google Scholar] [CrossRef][Green Version]
- Tashima, T.; Ozdemir, S.K.; Yamamoto, T.; Koashi, M.; Imoto, N. Local expansion of photonic W state using a polarization-dependent beamsplitter. New J. Phys. 2009, 11, 023024. [Google Scholar] [CrossRef]
- Zhang, X. Controlling Light with Metadevices. Ph.D. Thesis, Michigan Technological University, Houghton, MI, USA, 2018. [Google Scholar]




© 2019 by the authors. Licensee MDPI, Basel, Switzerland. This article is an open access article distributed under the terms and conditions of the Creative Commons Attribution (CC BY) license (http://creativecommons.org/licenses/by/4.0/).
Share and Cite
Zhang, X.; Davis, J.E.; Güney, D.Ö. Ultra-Thin Metamaterial Beam Splitters. Appl. Sci. 2020, 10, 53. https://doi.org/10.3390/app10010053
Zhang X, Davis JE, Güney DÖ. Ultra-Thin Metamaterial Beam Splitters. Applied Sciences. 2020; 10(1):53. https://doi.org/10.3390/app10010053
Chicago/Turabian StyleZhang, Xu, James E. Davis, and Durdu Ö. Güney. 2020. "Ultra-Thin Metamaterial Beam Splitters" Applied Sciences 10, no. 1: 53. https://doi.org/10.3390/app10010053
APA StyleZhang, X., Davis, J. E., & Güney, D. Ö. (2020). Ultra-Thin Metamaterial Beam Splitters. Applied Sciences, 10(1), 53. https://doi.org/10.3390/app10010053

