The Implicit Keller Box Scheme for Combined Heat and Mass Transfer of Brinkman-Type Micropolar Nanofluid with Brownian Motion and Thermophoretic Effect Over an Inclined Surface
Abstract
1. Introduction
2. Mathematical Formulation
3. Results and Discussion
3.1. Velocity Profile
3.2. Temperature Profile
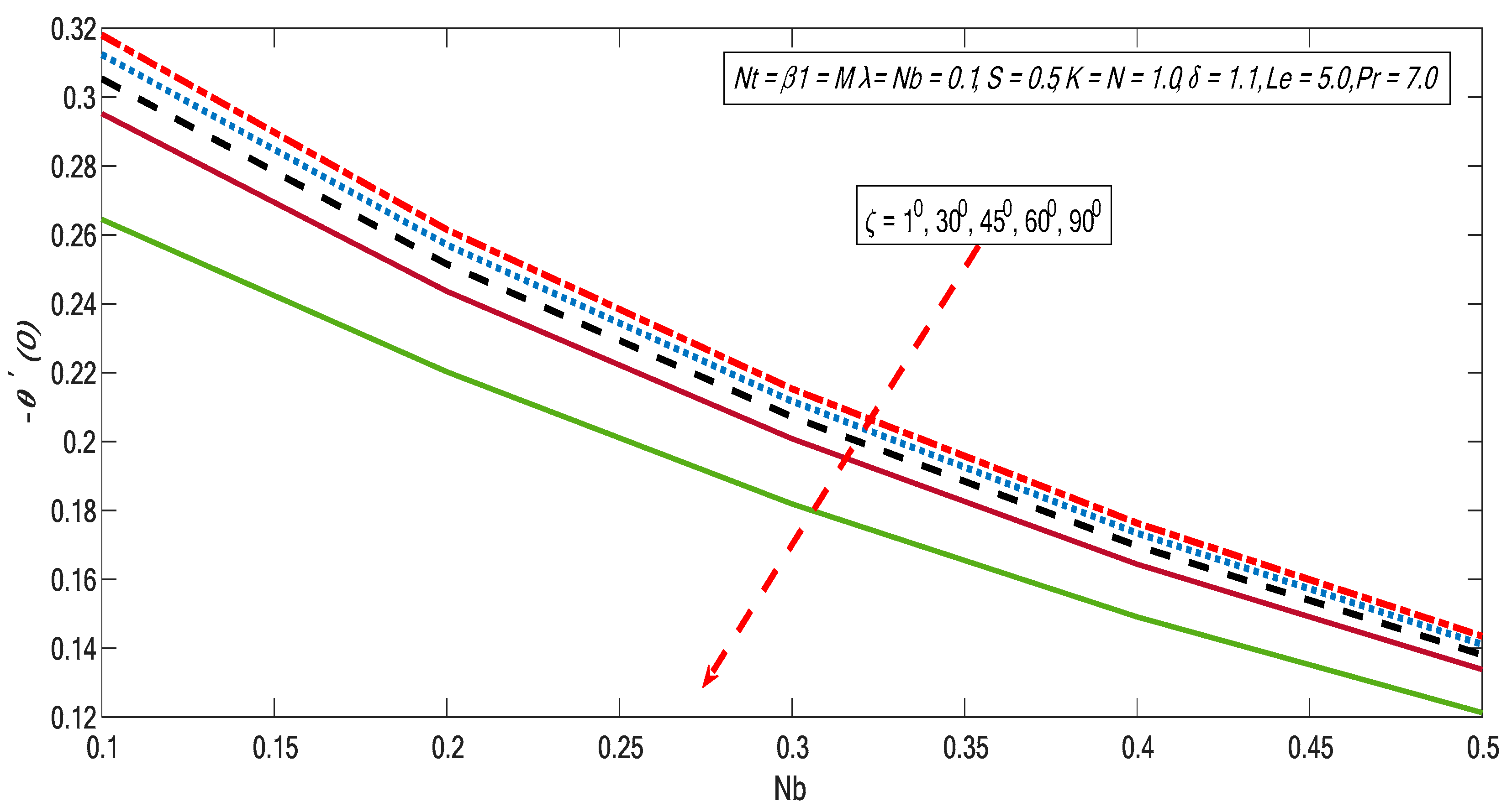
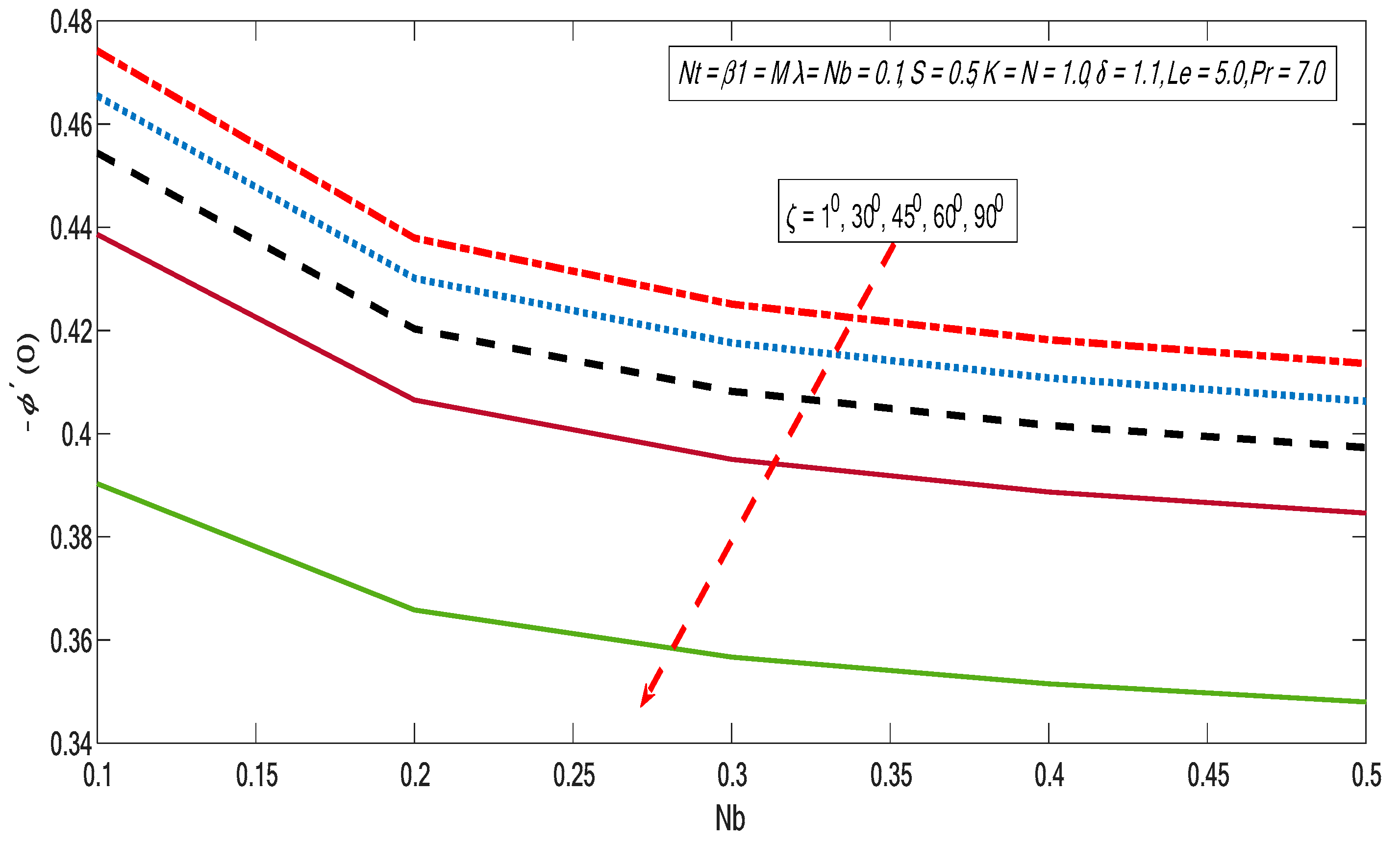
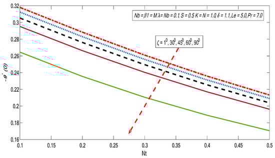
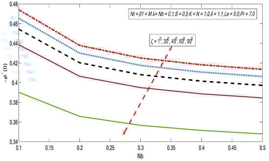
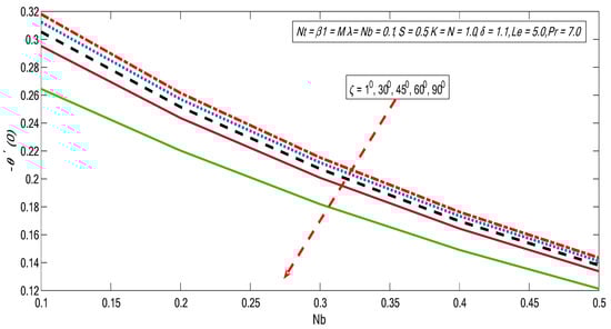
3.3. Concentration Profile
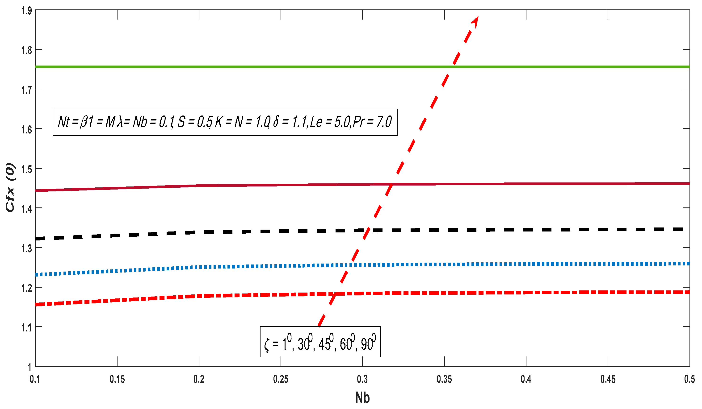
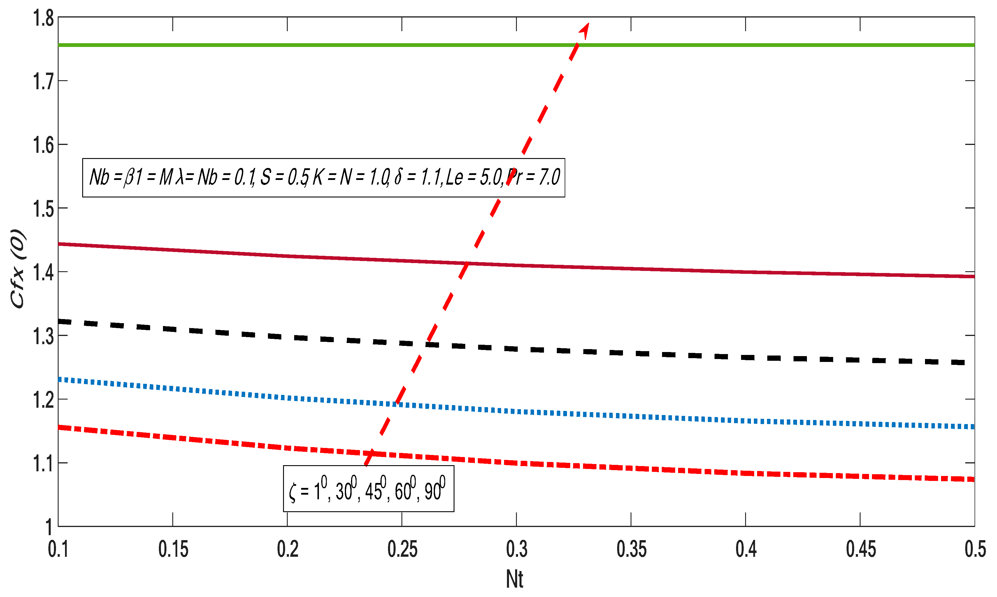
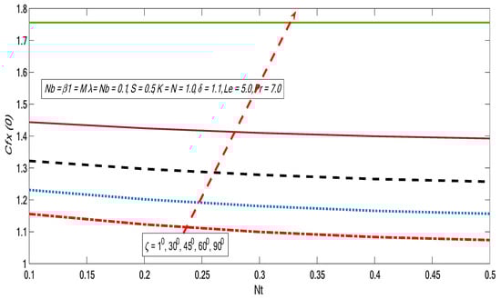
3.4. Heat and Mass Exchange
4. Conclusions
- The Brinkman effect reduces the velocity profile for the higher magnitudes;
- The heat and mass exchange rate reduce with growth of the Brinkman factor;
- The skin friction enhances by increasing the Brinkman parameter;
- The growing variations in the thermal radiations improve the temperature field;
- The skin friction increases with the increase in inclination parameter;
- The buoyancy forces impact improves the velocity profile for large values;
- The heat and mass exchange rate decline with enhancing the Brownian movement.
Author Contributions
Funding
Conflicts of Interest
References
- Noor, N.F.M.; Abbasbandy, S.; Hashim, I. Heat and mass transfer of thermophoretic MHD flow over an inclined radiate isothermal permeable surface in the presence of heat source/sink. Int. J. Heat Mass Transf. 2012, 55, 2122–2128. [Google Scholar] [CrossRef]
- Das, K. Slip effects on heat and mass transfer in MHD micropolar fluid flow over an inclined plate with thermal radiation and chemical reaction. Int. J. Numer. Methods Fluids 2012, 70, 96–113. [Google Scholar] [CrossRef]
- Ali, F.; Khan, I.; Shafie, S. Conjugate effects of heat and mass transfer on mhd free convection flow over an inclined plate embedded in a porous medium. PLoS ONE 2013, 8, e65223. [Google Scholar] [CrossRef] [PubMed]
- Khan, A.; Khan, I.; Ali, F.; Shafie, S. Effects of wall shear stress on MHD conjugate flow over an inclined plate in a porous medium with ramped wall temperature. Math. Probl. Eng. 2014, 2014, 15. [Google Scholar] [CrossRef]
- Das, S.; Jana, R.N.; Makinde, O.D. Magnetohydrodynamic mixed convective slip flow over an inclined porous plate with viscous dissipation and Joule heating. Alex. Eng. J. 2015, 54, 251–261. [Google Scholar] [CrossRef]
- Gupta, S.; Kumar, D.; Singh, J. MHD mixed convective stagnation point flow and heat transfer of an incompressible nanofluid over an inclined stretching sheet with chemical reaction and radiation. Int. J. Heat Mass Transf. 2018, 118, 378–387. [Google Scholar] [CrossRef]
- Shamshuddin, M.D.; Mishra, S.R.; Bég, O.A.; Kadir, A. Unsteady reactive magnetic radiative micropolar flow, heat and mass transfer from an inclined plate with joule heating: A model for magnetic polymer processing. Proc. Inst. Mech. Eng. Part C J. Mech. Eng. Sci. 2019, 233, 1246–1261. [Google Scholar] [CrossRef]
- Usman, M.; Soomro, F.A.; Haq, R.U.; Wang, W.; Defterli, O. Thermal and velocity slip effects on Casson nanofluid flow over an inclined permeable stretching cylinder via collocation method. Int. J. Heat Mass Transf. 2018, 122, 1255–1263. [Google Scholar] [CrossRef]
- Khan, M.; Shahid, A.; Malik, M.Y.; Salahuddin, T. Thermal and concentration diffusion in Jeffery nanofluid flow over an inclined stretching sheet: A generalized Fourier’s and Fick’s perspective. J. Mol. Liq. 2018, 251, 7–14. [Google Scholar] [CrossRef]
- Ghadikolaei, S.S.; Hosseinzadeh, K.; Ganji, D.D.; Jafari, B. Nonlinear thermal radiation effect on magneto Casson nanofluid flow with Joule heating effect over an inclined porous stretching sheet. Case Stud. Therm. Eng. 2018, 12, 176–187. [Google Scholar] [CrossRef]
- Rafique, K.; Anwar, M.I.; Misiran, M. Keller-box study on casson nano fluid flow over a slanted permeable surface with chemical reaction. Asian Res. J. Math. 2019. [Google Scholar] [CrossRef]
- Rana, P.; Bhargava, R.; Bég, O.A. Numerical solution for mixed convection boundary layer flow of a nanofluid along an inclined plate embedded in a porous medium. Comput. Math. Appl. 2012, 64, 2816–2832. [Google Scholar] [CrossRef]
- Ullah, A.; Shah, Z.; Kumam, P.; Ayaz, M.; Islam, S.; Jameel, M. Viscoelastic MHD Nanofluid Thin Film Flow over an Unsteady Vertical Stretching Sheet with Entropy Generation. Processes 2019, 7, 262. [Google Scholar] [CrossRef]
- Maleki, H.; Alsarraf, J.; Moghanizadeh, A.; Hajabdollahi, H.; Safaei, M.R. Heat transfer and nanofluid flow over a porous plate with radiation and slip boundary conditions. J. Cent. South Univ. 2019, 26, 1099–1115. [Google Scholar] [CrossRef]
- Elgazery, N.S. Nanofluids flow over a permeable unsteady stretching surface with non-uniform heat source/sink in the presence of inclined magnetic field. J. Egypt. Math. Soc. 2019, 27, 9. [Google Scholar]
- Saidulu, N.; Gangaiah, T.; Lakshmi, A.V. Radiation effect on mhd flow of a tangent hyperbolic nanofluid over an inclined exponentially stretching sheet. Int. J. Fluid Mech. Res. 2019, 46, 277–293. [Google Scholar] [CrossRef]
- Murthy, P.V.S.N.; Sutradhar, A.; RamReddy, C. Double-diffusive free convection flow past an inclined plate embedded in a non-Darcy porous medium saturated with a nanofluid. Transp. Porous Media 2013, 98, 553–564. [Google Scholar] [CrossRef]
- Hayat, T.; Qayyum, S.; Alsaedi, A.; Shafiq, A. Inclined magnetic field and heat source/sink aspects in flow of nanofluid with nonlinear thermal radiation. Int. J. Heat Mass Transf. 2016, 103, 99–107. [Google Scholar] [CrossRef]
- Kolsi, L.; Alrashed, A.A.; Al-Salem, K.; Oztop, H.F.; Borjini, M.N. Control of natural convection via inclined plate of CNT-water nanofluid in an open sided cubical enclosure under magnetic field. Int. J. Heat Mass Transf. 2017, 111, 1007–1018. [Google Scholar] [CrossRef]
- Rashad, A.M. Unsteady nanofluid flow over an inclined stretching surface with convective boundary condition and anisotropic slip impact. Int. J. Heat Technol. 2017, 35, 82–90. [Google Scholar] [CrossRef]
- Ramesh, G.K.; Gireesha, B.J.; Bagewadi, C.S. Heat transfer in MHD dusty boundary layer flow over an inclined stretching sheet with non-uniform heat source/sink. Adv. Math. Phys. 2012, 2012, 13. [Google Scholar] [CrossRef]
- Abo-Eldahab, E.M.; El Aziz, M.A. Blowing/suction effect on hydromagnetic heat transfer by mixed convection from an inclined continuously stretching surface with internal heat generation/absorption. Int. J. Therm. Sci. 2004, 43, 709–719. [Google Scholar] [CrossRef]
- Rahman, M.M.; Salahuddin, K.M. Study of hydromagnetic heat and mass transfer flow over an inclined heated surface with variable viscosity and electric conductivity. Commun. Nonlinear Sci. Numer. Simul. 2010, 15, 2073–2085. [Google Scholar] [CrossRef]
- Hayat, T.; Asad, S.; Mustafa, M.; Alsaedi, A. Radiation effects on the flow of Powell-Eyring fluid past an unsteady inclined stretching sheet with non-uniform heat source/sink. PLoS ONE 2014, 9, e103214. [Google Scholar] [CrossRef] [PubMed]
- Tlili, I. Effects MHD and Heat Generation on Mixed Convection Flow of Jeffrey Fluid in Microgravity Environment over an Inclined Stretching Sheet. Symmetry 2019, 11, 438. [Google Scholar] [CrossRef]
- Eringen, A.C. Simple microfluids. Int. J. Eng. Sci. 1964, 2, 205–217. [Google Scholar] [CrossRef]
- Bég, O.A.; Zueco, J.; Chang, T.B. Numerical analysis of hydromagnetic gravity-driven thin film micropolar flow along an inclined plane. Chem. Eng. Commun. 2010, 198, 312–331. [Google Scholar] [CrossRef]
- Rahman, M.M.; Uddin, M.J.; Aziz, A. Effects of variable electric conductivity and non-uniform heat source (or sink) on convective micropolar fluid flow along an inclined flat plate with surfaceheat flux. Int. J. Therm. Sci. 2009, 48, 2331–2340. [Google Scholar] [CrossRef]
- Shah, Z.; Islam, S.; Gul, T.; Bonyah, E.; Khan, M.A. The electrical MHD and hall current impact on micropolar nanofluid flow between rotating parallel plates. Results Phys. 2018, 9, 1201–1214. [Google Scholar] [CrossRef]
- Rafique, K.; Anwar, M.I.; Misiran, M. Numerical Study on Micropolar Nanofluid Flow over an Inclined Surface by Means of Keller-Box. Asian J. Probab. Stat. 2019. [Google Scholar] [CrossRef]
- Kasim, A.R.M.; Mohammad, N.F.; Shafie, S. Unsteady MHD mixed convection flow of a micropolar fluid along an inclined stretching plate. Heat Transf. Asian Res. 2013, 42, 89–99. [Google Scholar]
- Srinivasacharya, D.; Bindu, K.H. Entropy generation in a micropolar fluid flow through an inclined channel. Alex. Eng. J. 2016, 55, 973–982. [Google Scholar] [CrossRef]
- Srinivasacharya, D.; RamReddy, C.; Naveen, P. Double dispersion effect on nonlinear convective flow over an inclined plate in a micropolar fluid saturated non-Darcy porous medium. Eng. Sci. Technol. Int. J. 2018, 21, 984–995. [Google Scholar] [CrossRef]
- Shamshuddin, M.D.; Thumma, T. Numerical study of a dissipative micropolar fluid flow past an inclined porous plate with heat source/sink. Propuls. Power Res. 2019, 8, 56–68. [Google Scholar]
- Mavromatidis, L.E. Study of coupled transient radiation-natural convection heat transfer across rectangular cavities in the vicinity of low emissivity thin films for innovative building envelope applications. Energy Build. 2016, 120, 114–134. [Google Scholar] [CrossRef]
- Mavromatidis, L. Coupling architectural synthesis to applied thermal engineering, constructal thermodynamics and fractal analysis: An original pedagogic method to incorporate “sustainability” into architectural education during the initial conceptual stages. Sustain. Cities Soc. 2018, 39, 689–707. [Google Scholar] [CrossRef]
- Mavromatidis, L. Constructal Macroscale Thermodynamic Model of Spherical Urban Greenhouse Form with Double Thermal Envelope within Heat Currents. Sustainability 2019, 11, 3897. [Google Scholar] [CrossRef]
- Anwar, M.I.; Shafie, S.; Hayat, T.; Shehzad, S.A.; Salleh, M.Z. Numerical study for MHD stagnation-point flow of a micropolar nanofluid towards a stretching sheet. J. Braz. Soc. Mech. Sci. Eng. 2017, 39, 89–100. [Google Scholar] [CrossRef]
- Khan, W.A.; Pop, I. Boundary-layer flow of a nanofluid past a stretching sheet. Int. J. Heat Mass Transf. 2010, 53, 2477–2483. [Google Scholar] [CrossRef]
- Ali, F.; Aamina, B.; Khan, I.; Sheikh, N.A.; Saqib, M. Magnetohydrodynamic flow of brinkman-type engine oil based MoS2-nanofluid in a rotating disk with hall effect. Int. J. Heat Technol. 2017, 4, 893–902. [Google Scholar]
- Gnaneswara Reddy, M.; Reddy, S.; Rama, G. Micropolar fluid flow over a nonlinear stretching convectively heated vertical surface in the presence of Cattaneo-Christov heat flux and viscous dissipation. Front. Heat Mass Transf. 2017, 8. [Google Scholar] [CrossRef]
- Ullah, I.; Abdullah Alkanhal, T.; Shafie, S.; Nisar, K.S.; Khan, I.; Makinde, O.D. MHD Slip Flow of Casson Fluid along a Nonlinear Permeable Stretching Cylinder Saturated in a Porous Medium with Chemical Reaction, Viscous Dissipation, and Heat Generation/Absorption. Symmetry 2019, 11, 531. [Google Scholar] [CrossRef]

























| Nb | Nt | Khan and Pop [39] | Present Results | ||
|---|---|---|---|---|---|
| 0.1 | 0.1 | 0.9524 | 2.1294 | 0.9524 | 2.1294 |
| 0.2 | 0.2 | 0.3654 | 2.5152 | 0.3654 | 2.5152 |
| 0.3 | 0.3 | 0.1355 | 2.6088 | 0.1355 | 2.6088 |
| 0.4 | 0.4 | 0.0495 | 2.6038 | 0.0495 | 2.6038 |
| 0.5 | 0.5 | 0.0179 | 2.5731 | 0.0179 | 2.5731 |
| Nb | Nt | Pr | Le | M | K | λ | δ | N | S | |||||
|---|---|---|---|---|---|---|---|---|---|---|---|---|---|---|
| 0.1 | 0.1 | 7.0 | 5.0 | 0.1 | 1.0 | 0.1 | 1.1 | 1.0 | 0.5 | 0.1 | 45° | 0.3480 | 0.5223 | 0.8291 |
| 0.5 | 0.1 | 7.0 | 5.0 | 0.1 | 1.0 | 0.1 | 1.1 | 1.0 | 0.5 | 0.1 | 45° | 0.1589 | 0.4576 | 0.8565 |
| 0.1 | 0.5 | 7.0 | 5.0 | 0.1 | 1.0 | 0.1 | 1.1 | 1.0 | 0.5 | 0.1 | 45° | 0.2280 | 1.0417 | 0.7475 |
| 0.1 | 0.1 | 10.0 | 5.0 | 0.1 | 1.0 | 0.1 | 1.1 | 1.0 | 0.5 | 0.1 | 45° | 0.3034 | 0.5763 | 0.8305 |
| 0.1 | 0.1 | 7.0 | 10.0 | 0.1 | 1.0 | 0.1 | 1.1 | 1.0 | 0.5 | 0.1 | 45° | 0.3323 | 0.3786 | 0.8731 |
| 0.1 | 0.1 | 7.0 | 5.0 | 1.0 | 1.0 | 0.1 | 1.1 | 1.0 | 0.5 | 0.1 | 45° | 0.3053 | 0.4544 | 1.3221 |
| 0.1 | 0.1 | 7.0 | 5.0 | 0.1 | 3.0 | 0.1 | 1.1 | 1.0 | 0.5 | 0.1 | 45° | 0.3661 | 0.5517 | 1.2747 |
| 0.1 | 0.1 | 7.0 | 5.0 | 0.1 | 1.0 | 0.5 | 1.1 | 1.0 | 0.5 | 0.1 | 45° | 0.3575 | 0.5368 | 0.6853 |
| 0.1 | 0.1 | 7.0 | 5.0 | 0.1 | 1.0 | 0.1 | 2.0 | 1.0 | 0.5 | 0.1 | 45° | 0.3671 | 0.5517 | 0.5274 |
| 0.1 | 0.1 | 7.0 | 5.0 | 0.1 | 1.0 | 0.1 | 1.1 | 2.0 | 0.5 | 0.1 | 45° | 0.3671 | 0.4733 | 0.8284 |
| 0.1 | 0.1 | 7.0 | 5.0 | 0.1 | 1.0 | 0.1 | 1.1 | 1.0 | 0.7 | 0.1 | 45° | 0.2044 | 0.3140 | 0.7101 |
| 0.1 | 0.1 | 7.0 | 5.0 | 0.1 | 1.0 | 0.1 | 1.1 | 1.0 | 0.5 | 1.0 | 45° | 0.3053 | 0.4544 | 1.3221 |
| 0.1 | 0.1 | 7.0 | 5.0 | 0.1 | 1.0 | 0.1 | 1.1 | 1.0 | 0.5 | 0.1 | 60° | 0.2952 | 0.4386 | 1.4436 |
© 2019 by the authors. Licensee MDPI, Basel, Switzerland. This article is an open access article distributed under the terms and conditions of the Creative Commons Attribution (CC BY) license (http://creativecommons.org/licenses/by/4.0/).
Share and Cite
Rafique, K.; Anwar, M.I.; Misiran, M.; Khan, I.; Sherif, E.-S.M. The Implicit Keller Box Scheme for Combined Heat and Mass Transfer of Brinkman-Type Micropolar Nanofluid with Brownian Motion and Thermophoretic Effect Over an Inclined Surface. Appl. Sci. 2020, 10, 280. https://doi.org/10.3390/app10010280
Rafique K, Anwar MI, Misiran M, Khan I, Sherif E-SM. The Implicit Keller Box Scheme for Combined Heat and Mass Transfer of Brinkman-Type Micropolar Nanofluid with Brownian Motion and Thermophoretic Effect Over an Inclined Surface. Applied Sciences. 2020; 10(1):280. https://doi.org/10.3390/app10010280
Chicago/Turabian StyleRafique, Khuram, Muhammad Imran Anwar, Masnita Misiran, Ilyas Khan, and El-Sayed M. Sherif. 2020. "The Implicit Keller Box Scheme for Combined Heat and Mass Transfer of Brinkman-Type Micropolar Nanofluid with Brownian Motion and Thermophoretic Effect Over an Inclined Surface" Applied Sciences 10, no. 1: 280. https://doi.org/10.3390/app10010280
APA StyleRafique, K., Anwar, M. I., Misiran, M., Khan, I., & Sherif, E.-S. M. (2020). The Implicit Keller Box Scheme for Combined Heat and Mass Transfer of Brinkman-Type Micropolar Nanofluid with Brownian Motion and Thermophoretic Effect Over an Inclined Surface. Applied Sciences, 10(1), 280. https://doi.org/10.3390/app10010280

