Workplace Spirituality as an Alternative Model for Promoting Commitment to Change and Change-Oriented Organisational Citizenship Behaviour
Abstract
1. Introduction
Theoretical Development and Hypotheses
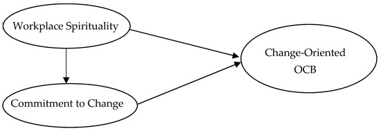
2. Results
3. Discussion
4. Materials and Method
5. Conclusions
Author Contributions
Funding
Institutional Review Board Statement
Informed Consent Statement
Data Availability Statement
Conflicts of Interest
References
- Abboh, Umar A., Abdul H. A. Majid, Mohammad Fareed, and Iyanda Ismail Abdussalaam. 2022. High-Performance Work Practices Lecturers’ Performance Connection: Does Working Condition Matter? Management in Education. [Google Scholar] [CrossRef]
- Aboobaker, Nimitha. 2022. Workplace spirituality and employee well-being in the hospitality sector: Examining the influence of fear of COVID-19. Psychological Studies 67: 362–71. [Google Scholar] [CrossRef] [PubMed]
- Ali, Mazhar, Huma Amir, and Masood Ahmed. 2021. The Role of University Switching Costs, Perceived Service Quality, Perceived University Image and Student Satisfaction in Shaping Student Loyalty. Journal of Marketing for Higher Education 1–22. [Google Scholar] [CrossRef]
- Al-Mahdy, Yasser F. Hendawy, Mahmoud Emam, and Tahani Hassan. 2022. Workplace Spirituality and Organisational Citizenship Behaviour among Teachers in Bahrain: Commitment as a Mediator. Journal of Beliefs & Values 43: 301–19. [Google Scholar]
- Alqudah, Ikrema H. A., Adolfo Carballo-Penela, and Emilio Ruzo-Sanmartín. 2022. High-performance human resource management practices and readiness for change: An integrative model including affective commitment, employees’ performance, and the moderating role of hierarchy culture. European Research on Management and Business Economics 28: 100177. [Google Scholar] [CrossRef]
- Al-Shamali, Ahmed, Zahir Irani, Mohamed Haffar, Sarah Al-Shamali, and Fahad Al-Shamali. 2021. The Influence of Islamic Work Ethic on Employees’ Responses to Change in Kuwaiti Islamic Banks. International Business Review 30: 101817. [Google Scholar] [CrossRef]
- Basuki, Basuki, Rahmi Widyanti, and Ismi Rajiani. 2021. Nascent entrepreneurs of millennial generations in the emerging market of Indonesia. Entrepreneurial Business and Economics Review 9: 151–65. [Google Scholar] [CrossRef]
- Bayani, Farhad, and Seyed Hossein Serajzadeh. 2022. Islamic fundamentalism as a lifestyle? A sociological study of islamic fundamentalism among Sunni Kurds of Iran. British Journal of Middle Eastern Studies, 1–19. [Google Scholar] [CrossRef]
- Bettencourt, Lance A. 2004. Change-oriented organisational citizenship Behaviours: The direct and moderating influence of goal orientation. Journal of Retailing 80: 165–80. [Google Scholar] [CrossRef]
- Chiaburu, Dan S., In-Sue Oh, Adam C. Stoverink, Hyesoo Hailey Park, Cody Bradley, and Brenda A. Barros-Rivera. 2022. Happy to help, happy to change? A meta-analysis of major predictors of affiliative and change-oriented organisational citizenship Behaviours. Journal of Vocational Behaviour 132: 103664. [Google Scholar] [CrossRef]
- Clauss, Thomas, Matthias Breier, Sascha Kraus, Susanne Durst, and Raj V. Mahto. 2022. Temporary Business Model Innovation–SMEs’ Innovation Response to the COVID-19 Crisis. R&D Management 52: 294–312. [Google Scholar]
- Cohen, Aaron, and Mohammad Abedallah. 2021. Examining Correlates of Organizational Citizenship Behaviour and Counterproductive Work Behaviour in a Collectivist Culture: The Case of Arab Teachers in Israel. Organization Management Journal 18: 98–120. [Google Scholar] [CrossRef]
- De Guimarães, Julio Cesar Ferro, Eliana Andréa Severo, Luiz Antonio Felix Júnior, Wênyka Preston Leite Batista Da Costa, and Fernanda Tasso Salmoria. 2020. Governance and quality of life in smart cities: Towards sustainable development goals. Journal of Cleaner Production 253: 119926. [Google Scholar] [CrossRef]
- Emirie, Temesgen Belachew, and Melaku Mengistu Gebremeskel. 2022. How do primary school teachers practice organisational citizenship behaviour in Amhara regional state, Ethiopia? The case of Bahir Dar city. Education 3: 1–15. [Google Scholar] [CrossRef]
- Fatimah, Fatimah, Sarbaini Sarbaini, and Deasy Arisanty. 2022. Leading in Entrepreneurial Universities: Do Demographics Display Different Commitments? Frontier in Education 7: 1–8. [Google Scholar] [CrossRef]
- Ford, J. Kevin, Taylor K. Lauricella, Jenna A. Van Fossen, and Shawn J. Riley. 2021. Creating Energy for Change: The Role of Changes in Perceived Leadership Support on Commitment to an Organizational Change Initiative. The Journal of Applied Behavioural Science 57: 153–73. [Google Scholar] [CrossRef]
- Fraya, Wagner-Marsh, and Conley James. 1999. The Fourth Wave: The Spiritually-Based Firm. Journal of Organizational Change Management 12: 292–302. [Google Scholar]
- Garg, Naval. 2020. Promoting Organisational Performance in Indian Insurance Industry: The Roles of Workplace Spirituality and Organizational Citizenship Behaviour. Global Business Review 21: 834–49. [Google Scholar] [CrossRef]
- Garg, Naval, Sarika Kumari, and B. K. Punia. 2022. Resolving Stress of University Teacher: Exploring Role of Workplace Spirituality and Constructive Workplace Deviance. South Asian Journal of Business Studies 11: 295–315. [Google Scholar] [CrossRef]
- Ghasemy, Majid, and James A. Elwood. 2022. Job Satisfaction, Academic Motivation, and Organizational Citizenship Behaviour among Lecturers during the COVID-19 Pandemic: A Cross-National Comparative Study in Japan and Malaysia. Asia Pacific Education Review, 1–15. [Google Scholar] [CrossRef]
- Hadi, Sutarto, Ersis Warmansyah Abbas, and Ismi Rajiani. 2022. Should Spirituality Be Included in Entrepreneurship Education Program Curriculum to Boost Students’ Entrepreneurial Intention? Frontier in Education 7: 1–9. [Google Scholar] [CrossRef]
- Hair, Joe F., Matthew C. Howard, and Christian Nitzl. 2020. Assessing Measurement Model Quality in PLS-SEM Using Confirmatory Composite Analysis. Journal of Business Research 109: 101–10. [Google Scholar] [CrossRef]
- Hassan, Sobia, Nighat Ansari, Ali Rehman, and Amani Moazzam. 2022. Understanding public service motivation, workplace spirituality and employee well-being in the public sector. International Journal of Ethics and Systems 38: 147–72. [Google Scholar] [CrossRef]
- Hefner, Robert W. 2020. Islam and covenantal pluralism in Indonesia: A critical juncture analysis. The Review of Faith & International Affairs 18: 1–17. [Google Scholar]
- Herscovitch, Lynne, and John P. Meyer. 2002. Commitment to Organisational Change: Extension of a Three-Component Model. Journal of applied psychology 87: 474. [Google Scholar] [CrossRef] [PubMed]
- Iqbal, Qaisar, and Noor Hazlina Ahmad. 2020. Workplace spirituality and nepotism-favouritism in selected ASEAN countries: The role of gender as moderator. Journal of Asia Business Studies 14: 31–49. [Google Scholar] [CrossRef]
- Jang, Eunmi. 2021. Sustainable workplace: Impact of authentic leadership on change-oriented organisational citizenship Behaviour and the moderating role of perceived employees’ calling. Sustainability 13: 8542. [Google Scholar] [CrossRef]
- Jastrzębski, Andrzej K. 2022. Unconscious spirituality: Toward a contemporary conceptualisation. Journal of Religion and Health 61: 4499–515. [Google Scholar] [CrossRef]
- Kayani, Muhammad Bilal, Maryam Ali, and Hassan Javed. 2022. What Literature Has to Say about Commitment to Change: Philosophy of Commitment to Change. Journal of Organizational Change Management 35: 792–801. [Google Scholar] [CrossRef]
- Lau, Patricia Yin Yin, Gary N. McLean, Bella Ya-Hui Lien, and Yen-Chen Hsu. 2016. Self-Rated and Peer-Rated Organizational Citizenship Behaviour, Affective Commitment, and Intention to Leave in a Malaysian Context. Personnel Review 45: 569–92. [Google Scholar] [CrossRef]
- Lee, Jihyun, and Insung Jung. 2021. Instructional Changes Instigated by University Faculty during the COVID-19 Pandemic: The Effect of Individual, Course and Institutional Factors. International Journal of Educational Technology in Higher Education 18: 1–19. [Google Scholar] [CrossRef]
- Lin, Chieh-Yu, and Nai-Wen Chi. 2022. Understanding Why and When Compulsory Citizenship Behaviours Lead to Subsequent Destructive Voice and Citizenship Behaviours: The Retributive Justice and Impression Management Perspectives. Human Performance 35: 303–22. [Google Scholar] [CrossRef]
- Liu, Caroline H., and Peter J. Robertson. 2011. Spirituality in the Workplace: Theory and Measurement. Journal of Management Inquiry 20: 35–50. [Google Scholar] [CrossRef]
- Liu, Yuwen, and Robert T. Keller. 2021. How Psychological Safety Impacts R&D Project Teams’ Performance: In a Psychologically Safe Workplace, R&D Project Teams Perform Better, More Readily Share Knowledge and Engage in Organizational Citizenship Behaviour, and Are Less Likely to Leave. Research-Technology Management 64: 39–45. [Google Scholar]
- Luetz, Johannes M., Elizabeth Nichols, Karen du Plessis, and Patrick D. Nunn. 2023. Spirituality and Sustainable Development: A Systematic Word Frequency Analysis and an Agenda for Research in Pacific Island Countries. Sustainability 15: 2201. [Google Scholar] [CrossRef]
- Lyn Chan, Josephine Ie, and Rajendran Muthuveloo. 2021. Antecedents and Influence of Strategic Agility on Organizational Performance of Private Higher Education Institutions in Malaysia. Studies in Higher Education 46: 1726–39. [Google Scholar] [CrossRef]
- Manzoor, Shamima Raihan, Jessica Sze Yin Ho, and Abdullah al Mahmud. 2021. Revisiting the ‘University Image Model’ for Higher Education Institutions’ Sustainability. Journal of Marketing for Higher Education 31: 220–39. [Google Scholar] [CrossRef]
- Margaretha, Meily, Susanti Saragih, Sri Zaniarti, and Bena Parayow. 2021. Workplace spirituality, employee engagement, and professional commitment: A study of lecturers from Indonesian universities. Problems and Perspectives in Management 19: 346–56. [Google Scholar] [CrossRef]
- Mihalache, Mashiho, and Oli R. Mihalache. 2022. How Workplace Support for the COVID-19 Pandemic and Personality Traits Affect Changes in Employees’ Affective Commitment to the Organization and Job-related Well-being. Human Resource Management 61: 295–314. [Google Scholar] [CrossRef]
- Min, Weihuan, and Yan Ye. 2021. A Study of the Relationship between Lecturers’ Perceptions towards Charismatic Leadership and Their Organisational Commitment in the School of Life Sciences at a University in Yunnan, China. Scholar: Human Sciences 13: 351–67. [Google Scholar]
- Mohd Zawawi, Nur Fadiah, and Sazali Abd Wahab. 2019. Organisational sustainability: A redefinition? Journal of Strategy and Management 12: 397–408. [Google Scholar] [CrossRef]
- Moriña, Anabel, and Inmaculada Orozco. 2022. Portrait of an Inclusive Lecturer: Professional and Personal Attributes. Innovation: The European Journal of Social Science Research, 1–17. [Google Scholar] [CrossRef]
- Nixon, Elizabeth, and Richard Scullion. 2022. Academic Labour as Professional Service Work? A Psychosocial Analysis of Emotion in Lecturer–Student Relations under Marketisation. Human Relations 75: 1798–823. [Google Scholar] [CrossRef]
- Oplatka, Izhar, and Tahani Hassan. 2021. Leading Schools Spiritually: Some Speculative Insights into Arab Societies. International Journal of Leadership in Education, 1–12. [Google Scholar] [CrossRef]
- Palmer Kelly, Elizabeth, Madison Hyer, Nicolette Payne, and Timothy M. Pawlik. 2020. A mixed-methods approach to understanding the role of religion and spirituality in healthcare provider well-being. Psychology of Religion and Spirituality 12: 487. [Google Scholar] [CrossRef]
- Paul, Moitreyee, Lalatendu Kesari Jena, and Kalpana Sahoo. 2020. Workplace spirituality and workforce agility: A psychological exploration among teaching professionals. Journal of Religion and Health 59: 135–53. [Google Scholar] [CrossRef] [PubMed]
- Pektas, Serafettin. 2021. A comparative analysis of three Sunni Muslim organizations on ‘moderate’ and ‘radical’ Islam in Egypt, Morocco and Indonesia. Religion 51: 190–213. [Google Scholar] [CrossRef]
- Perryman, Jane, and Graham Calvert. 2020. What Motivates People to Teach, and Why Do They Leave? Accountability, Performativity and Teacher Retention. British Journal of Educational Studies 68: 3–23. [Google Scholar] [CrossRef]
- Potosky, Denise, and Wilfrid Azan. 2023. Leadership Behaviours and human agency in the valley of despair: A meta-framework for organisational change implementation. Human Resource Management Review 33: 100927. [Google Scholar] [CrossRef]
- Preacher, Kristopher J., and Andrew F. Hayes. 2008. Asymptotic and Resampling Strategies for Assessing and Comparing Indirect Effects in Multiple Mediator Models. Behaviour Research Methods 40: 879–91. [Google Scholar] [CrossRef]
- Rajiani, Ismi, and Norain Ismail. 2019. Management Innovation in Balancing Technology Innovation to Harness Universities Performance in the Era of Community 4.0. Polish Journal of Management Studies 19: 309–21. [Google Scholar] [CrossRef]
- Rajiani, Ismi, and Paula Pypłacz. 2018. National culture as a modality in managing the carbon economy in Southeast Asia. Polish Journal of Management Studies 18: 296–310. [Google Scholar] [CrossRef]
- Rajiani, Ismi, and Sebastian Kot. 2020. Javanese Indonesia: Human Resource Management Issues in a Uniquely Collectivist Culture. Cultural Management: Science and Education 4: 9–21. [Google Scholar] [CrossRef]
- Ren, Run, Aneika L. Simmons, Adam Barsky, Kelly E. See, and Celile Itir Gogus. 2022. It is not my job: Compensatory effects of procedural justice and goal setting on proactive preventive Behaviour. Journal of Management & Organization 28: 792–810. [Google Scholar]
- Rosser, Andrew. 2022. Higher Education in Indonesia: The Political Economy of Institution-Level Governance. Journal of Contemporary Asia 53: 53–78. [Google Scholar] [CrossRef]
- Saxena, Anubhuti, and Asha Prasad. 2022. Conceptualisation and Validation of Multidimensional Measure of Workplace Spirituality. South Asian Journal of Human Resources Management 9: 100–29. [Google Scholar] [CrossRef]
- Schäfer, Saskia. 2019. Democratic Decline in Indonesia: The Role of Religious Authorities. Pacific Affairs 92: 235–55. [Google Scholar] [CrossRef]
- Schwarz, Gary, Alexander Newman, Jia Yu, and Varina Michaels. 2023. Psychological entitlement and organisational citizenship Behaviours: The roles of employee involvement climate and affective organisational commitment. The International Journal of Human Resource Management 34: 197–222. [Google Scholar] [CrossRef]
- Shipley, Bill, and Jacob C. Douma. 2020. Generalised AIC and chi-squared statistics for path models consistent with directed acyclic graphs. Ecology 101: e02960. [Google Scholar] [CrossRef]
- Times Higher Education. 2022. World University Rankings 2023|Times Higher Education (THE). Available online: https://www.timeshighereducation.com/world-university-rankings/2022/regional-ranking (accessed on 10 December 2022).
- Tipu, Syed Awais Ahmad. 2022. Organisational change for environmental, social, and financial sustainability: A systematic literature review. Review of Managerial Science 16: 1697–742. [Google Scholar]
- Toffler, Alvin. 1980. The Third Wave. Bantam. New York: William Morrow and Company Inc. [Google Scholar]
- Widyanti, Rahmi, and Basuki Basuki. 2021. Managing during Crisis: Do Workplace Spirituality and Spiritual Leadership Matter? Polish Journal of Management Studies 23: 453–69. [Google Scholar] [CrossRef]
- Yang, Tianfei, Xia Jiang, and Huan Cheng. 2022. Employee recognition, task performance, and OCB: Mediated and moderated by pride. Sustainability 14: 1631. [Google Scholar] [CrossRef]
- Yin, Eden, and Abeer Mahrous. 2022. Covid-19 Global Pandemic, Workplace Spirituality and the Rise of Spirituality-Driven Organisations in the Post-Digital Era. Journal of Humanities and Applied Social Sciences 4: 79–93. [Google Scholar] [CrossRef]
- Zampetakis, Leonidas A. 2022. Core job characteristics and change oriented organisation citizenship Behaviour: What can managers do on a day-to-day basis? The International Journal of Human Resource Management, 1–21. [Google Scholar] [CrossRef]
- Zappalà, Gianni. 2021. Cultivating Spiritual Intelligence for a participatory worldview: The contribution of Archetypal Cosmology. Journal for the Study of Spirituality 11: 159–73. [Google Scholar] [CrossRef]


| Variables | N | Mean | Std. Error |
|---|---|---|---|
| Workplace spirituality | 1050 | 4.5 | 0.402 |
| Commitment to change | 1050 | 3.2 | 0.302 |
| Change-oriented OCB | 1050 | 2.1 | 0.231 |
| Construct | Items | Loading Factors |
|---|---|---|
| Workplace spirituality | Interconnection with a higher power: | |
| 1. I believe that death is a doorway to another plane of existence. | 0.824 | |
| Interconnection with human beings: | ||
| 2. I am quickly and deeply touched when I see human misery and suffering. | 0.810 | |
| Interconnection with nature and all living things: | ||
| 3. My life is intimately tied to all of humankind. | 0.734 | |
| Affective commitment to change | 1. I believe in the value of this change. | 0.752 |
| 2. This change is a good strategy for my university. | 0.805 | |
| 3. Management is making the right decision by introducing this change. | 0.643 | |
| 4. This change serves an essential purpose. | 0.701 | |
| 5. My university would be better with this change. | 0.755 | |
| 6. This change is necessary. | 0.712 | |
| Change-oriented OCB | 1. I adopt more efficient methods for performing my duties. | 0.928 |
| 2. I alter the manner in which the job is performed to make it more efficient. | 0.952 | |
| 3. I am attempting to enhance the organisation’s practises. | 0.903 | |
| 4. I implement new, more efficient work practices for the organisation. | 0.879 | |
| 5. I provide positive suggestions for enhancing the organisation’s operations. | 0.802 | |
| 6. I attempt to rectify flawed methods or practices. | 0.917 | |
| 7. I attempt to reduce redundant or superfluous procedures. | 0.902 | |
| 8. I attempt to execute solutions for urgent organisational issues. | 0.762 | |
| 9. I make an effort to implement innovative methods of work to boost productivity. | 0.632 |
| Hypothesis | Influence | Estimate | CR | p | Conclusion |
|---|---|---|---|---|---|
| Direct Effect | |||||
| H1 | WS → C-OCB | 0.70 | 12.324 | 0.01 | Supported |
| H2 | WS → CC | 0.51 | 8.765 | 0.02 | Supported |
| H3 | CC → C-OCB | 0.33 | 6.421 | 0.01 | Supported |
| Indirect Effect | |||||
| H4 | WFE → JS → TI | 0.70 × 0.51 × 0.33 = | 0.118 | Supported | |
Disclaimer/Publisher’s Note: The statements, opinions and data contained in all publications are solely those of the individual author(s) and contributor(s) and not of MDPI and/or the editor(s). MDPI and/or the editor(s) disclaim responsibility for any injury to people or property resulting from any ideas, methods, instructions or products referred to in the content. |
© 2023 by the authors. Licensee MDPI, Basel, Switzerland. This article is an open access article distributed under the terms and conditions of the Creative Commons Attribution (CC BY) license (https://creativecommons.org/licenses/by/4.0/).
Share and Cite
Sulastini; Wijayanti, T.C.; Rajiani, I. Workplace Spirituality as an Alternative Model for Promoting Commitment to Change and Change-Oriented Organisational Citizenship Behaviour. Adm. Sci. 2023, 13, 86. https://doi.org/10.3390/admsci13030086
Sulastini, Wijayanti TC, Rajiani I. Workplace Spirituality as an Alternative Model for Promoting Commitment to Change and Change-Oriented Organisational Citizenship Behaviour. Administrative Sciences. 2023; 13(3):86. https://doi.org/10.3390/admsci13030086
Chicago/Turabian StyleSulastini, Tri Cicik Wijayanti, and Ismi Rajiani. 2023. "Workplace Spirituality as an Alternative Model for Promoting Commitment to Change and Change-Oriented Organisational Citizenship Behaviour" Administrative Sciences 13, no. 3: 86. https://doi.org/10.3390/admsci13030086
APA StyleSulastini, Wijayanti, T. C., & Rajiani, I. (2023). Workplace Spirituality as an Alternative Model for Promoting Commitment to Change and Change-Oriented Organisational Citizenship Behaviour. Administrative Sciences, 13(3), 86. https://doi.org/10.3390/admsci13030086

