Next Article in Journal
Seasonal Variations in Effective Radiation Dose in Residential Buildings of the Akmola Region: Assessing the Impact of Basement Presence and Proximity to Uranium Tailings
Previous Article in Journal
Preliminary Study of Cellulose and Polycaprolactone-Based Materials for Enhancing Bacteriological and Physicochemical Quality of Contaminated Water
 
 
Font Type:
Arial Georgia Verdana
Font Size:
Aa Aa Aa
Line Spacing:
Column Width:
Background:
Article

Legacy of Chemical Pollution from an Underwater Tire Dump in Alver Municipality, Norway: Implication for the Persistence of Tire-Derived Chemicals and Site Remediation

by
Adrián Jaén-Gil
1,
Amandine A. Tisserand
2,3,
Lúcia H. M. L. M. Santos
4,
Sara Rodríguez-Mozaz
5,
Alessio Gomiero
1,
Eirik Langeland
6 and
Farhan R. Khan
2,*
1
Norwegian Research Centre (NORCE), Department of Climate & Environment, Mekjarvik 12, 4072 Randaberg, Norway
2
Norwegian Research Centre (NORCE), Department of Climate & Environment, Nygårdsgt 112, 5008 Bergen, Norway
3
Bjerknes Centre for Climate Research, 5007 Bergen, Norway
4
Institute of Natural Resources and Agrobiology of Salamanca, Spanish National Research Council, C/ Cordel de Merinas 40-52, 37008 Salamanca, Spain
5
Catalan Institute for Water Research, C/ Emili Grahit 101, 17003 Girona, Spain
6
Clean Oceans, Nøstegaten 44, 5011 Bergen, Norway
*
Author to whom correspondence should be addressed.
Environments 2025, 12(10), 356; https://doi.org/10.3390/environments12100356
Submission received: 29 August 2025 / Revised: 30 September 2025 / Accepted: 2 October 2025 / Published: 4 October 2025

Abstract

Increasing attention has been given to the environmental impact of tire-derived chemicals in aquatic systems, but submerged whole tires remain an overlooked source. This study investigates a previously unexplored underwater tire dump in Hjelmås Bay, Alver Municipality (Norway) where a blast mat manufacturer discarded large quantities of tires into the bay in the 1970s. These tires have remained submerged for over 50 years. We conducted an initial site mapping and collected sediment and water samples to assess tire-related pollutants in comparison with control sites. Sediment analysis revealed elevated levels of Zn, Pb, and Cu, particularly near the tire dump center, with Zn being the most abundant. Bis(2-ethylhexyl) phthalate (DEHP) was the dominant phthalate detected in the sediments, though no clear spatial pattern emerged for phthalates. Non-target chemical screening of water samples identified 20 features potentially linked to tire degradation, with N,N′-Diphenylguanidine (DPG) being the most notable. Our study highlights the long-term environmental persistence of several tire-derived chemicals, which has ramifications for both the regulation of tire-derived chemicals and plans for remediation at Hjelmås. Our initial findings warrant the implementation of a comprehensive chemical and ecological baseline monitoring assessment prior to discussions on remediation.

1. Introduction

Over the last decade, concern over chemicals released from automobile tires (tire-derived chemicals) into the aquatic environment has grown significantly [1,2,3,4,5,6]. Tires are complex products composed of mixtures of styrene–butadiene rubber, polybutadiene rubber, and natural rubber (i.e., polymer/elastomer 40–50%) and strengthened and compounded with inorganic fillers (e.g., carbon black, silica 30–35%) [7]. From an environmental and toxicological perspective, however, it is the chemical-load in tires that is of potentially greater importance [8,9]. By weight, tires contain emollients (hydrocarbons, ∼15%), additives (antioxidants, plasticizers, 5–10%), and vulcanization agents (2–5%). Tires release high levels of various chemicals that are either used in manufacturing or formed as byproducts, including metals (especially Zn, but also Al, Cu, Ni, Co, Mn), polyaromatic hydrocarbons (PAHs), vulcanization agents, corrosion inhibitors and their byproducts (e.g., benzothiazole, diphenylguanidine, hexamethoxymethylmelamine), antiozonants (e.g., 6PPD), plasticizers (e.g., bisphenol A, phthalates), and other organic compounds. Some substances, although barely detectable in tire material, leach easily, along with many suspected and unknown chemicals [10,11,12,13,14]. Historically, toxicity from tire-related pollution was attributed to the combined effects of all leachable compounds, collectively termed tire leachate [15,16,17]. More recent research highlights the importance of individual toxic compounds. One compound in particular, 6PPD (N-(1,3-Dimethylbutyl)-N′-phenyl-p-phenylenediamine), an antioxidant and antiozonant widely used in tires, has received significant attention. Its transformation product, 6PPD-quinone, has been identified as the primary cause of mass mortality events in coho salmon (Oncorhynchus kisutch) in the Pacific Northwest [18]. Subsequent studies have demonstrated varying degrees of toxicity of 6PPD-quinone among different salmonid species [19].
Given the impact of tire-derived chemicals, there is a need to determine their environmental presence and behavior. For instance, concentrations of tire-derived chemicals (including 6PPD) increased > 40 times in a tributary of the Brisbane River (Australia) following storm events [20]. Other chemicals have also been shown to be indicative of chemical pollution originating from tires. The crosslinking agents and catalysts hexamethoxymethylmelamine (HMMM) and 1,3-diphenylguanidine (DPG) have emerged as key indicators of tire-derived chemicals in water bodies [21,22]. Such identifications have been facilitated by advances in non-target screening approaches, particularly using liquid chromatography–high-resolution mass spectrometry (LC-HRMS) [23]. To date the identification and quantification of tire-derived chemicals has been primarily limited to receiving waters in the vicinity of passing traffic or stormwater and road runoffs [20,22,24,25]. As a result, current findings largely reflect chemicals released from tires actively in use, leaving a knowledge gap regarding the long-term persistence of older tire materials in the environment.
An overlooked source of tire-derived chemicals is sites where whole tires have been submerged underwater from long periods of time [26]. A well-known example is Osborne Reef in Fort Lauderdale (Florida, US) where, in the 1970s, thousands of tires were discarded underwater to make an artificial reef to promote biodiversity. To date there is no information on the pollutant levels of Osborne Reef. A lesser-known and previously unstudied site exists in Hjelmås, a small bay in Alver Municipality, near Bergen, Norway. In the 1970s, a local company manufacturing blast mats, typically made from used and cut tires to contain explosions, discarded large quantities of whole tires and tire scraps into the bay over an approximate 10-year period. The company relocated from Hjelmås in the early 1980s and then went bankrupt. The tires have remained submerged for over 50 years, degrading and leaching chemicals into the surrounding marine environment.
In this study, we investigated the presence of known markers of tire pollution—trace metals and phthalates that have been previously utilized to understand tire-related chemical pollution [27]. These markers were measured in sediment samples as both contaminant groups are known to preferentially accumulate in sediments [28,29,30]. An exploratory non-target chemical screening was conducted on water samples collected from around the submerged tires to identify compounds that may be continuously released or exhibit long-term environmental persistence.

2. Materials and Methods

2.1. Study Area and Site Mapping

Hjelmås is located north of Bergen in Alver Municipality in Western Norway (Figure 1). The underwater tire dump is specifically located in Hjelmåsvågen, an inlet of the Osterfjord that connects to the North Sea. Hjelmåsvågen is situated near the village Hellesvåg and the hamlet Fylingsneset. Hjelmåsvagen also contains a small marina for the boats of residents. The site survey and sampling were conducted on 4–5 October 2022 with the Kvitsøy Sjøtjenester sampling vessel from the R/V “Scallop”. The first step was to map the underwater tire dump to determine the positioning of sampling sites. A bathymetric assessment was conducted over the area to determine the depths and underwater terrain of the site. An OLEX ATEC system attached to an 8 m aluminum squared frame surface survey infrastructure deployed from the R/V “Scallop” along with an Applanix POS MV Navigation System. An underwater ROV (Remotely Operated Underwater Vehicle) QC Blueye Pro (Blueye Robotics AS, Trondheim, Norway) was deployed to aid in the visual assessment of the area (Figure 1).
Based on the mapping, the center of the tire dump was established as site Hj1 and from there sampling perimeters were made at approximately 5 m (Hj2–Hj5), 15–20 m (Hj6–Hj9), and 50–80 m (Hj10–12), depending on the water depth and space. Only 3 sampling points were possible on the third perimeter due to the lack of space in the north-west direction (i.e., Hj13 was not possible to place). Sampling points were arranged at these distances along orthogonal transects from the center. There was no north-western sampling point on the third perimeter (i.e., Hj13) as there was no space. Two control sites were established to compare the tire particle and chemical levels of the tire dump to sites of similar water parameters and hydrology. Control Site 1 was in the neighboring bay of Eikangervågen, still on the Osterfjord, and Control Site 2 was on the opposite shore of Hjelmåsvågen, 1 km from Hj1 (Table 1).
The acoustic survey identified the tire dump as a 12 m × 32 m rectangular shape, oriented NNW-SSE. The NNW part of the dump area (Hj6, Hj2 and Hj5) is dominated by a relatively shallow area, with an average water depth of 2 m. The deepest part (Hj10 and Hj11) oriented SSE and showed an average depth of 15 m. The underwater footage showed that the tires were scattered over the affected area with an increased density of tires within the first 5 m perimeter, which prevented sediments sampling at Hj1–Hj5.

2.2. Site Sampling

Marine sediments were collected from seven sites (Hj6–12) positioned in the orthogonal transects with increasing distances from the center of the dump as well as the two control sites. It was not possible to collect sediment samples from locations Hj1–5 owing to the density of tires on the sea floor. The top 5 cm of sediments were collected through the four top openings of a Van Veen grab using a customized stainless-steel spoon. Samples were collected into pre-cleaned glass jars and stored in dark and cold conditions during the cruise. Samples for the analysis of organic chemicals were transported to laboratory and stored at −30 °C prior to analysis. Samples for metal analysis were collected in pre-washed plastic containers and stored at 5 °C.
Water samples for non-target analysis were collected by 1.7 L Niskin bottles (KC, Silkeborg, Denmark) at fixed depths of 1 m above the sea bottom at all sampling sites. Samples were directly transferred from the Niskin bottles into acid-washed 2 L Pyrex bottles for organic chemicals analysis and 0.5 L of acid-washed HDPE Nalgene for inorganic chemicals (metal) analysis, kept in dark and cold conditions during the cruise and stored frozen (−30 °C) in the lab prior to analysis.

2.3. Trace Metal Analysis

Sediments were prepared for analysis using established methods of nitric acid digestion [31,32]. Briefly, aliquots of the sediment samples were dried at 60 °C and sieved at 125 µm. Sediments were weighed (0.5 ± 0.05 g) into PFA vials (Savillex LLC, Carrolton, TX, USA) to which 10 mL of concentrated (69%) HNO3 was added and allowed to stand at room temperature overnight. Samples were then heated (digested) at 60 °C for 5 days, evaporated to dryness, and then reconstituted with 2% HCl to a final volume of 25 mL. Samples of certified reference material (MESS-4, Marine sediment, National Research Council Canada) and procedural blanks (i.e., the digestion process in a PFA tube without a sample) were analyzed in the sample run. All samples were prepared in triplicate.
Trace elements (Cd, Cr, Co, Cu, Ni, Pb, Zn) were measured on an axial-viewed Agilent 720 series Inductively Coupled Plasma Optical Emission Spectrometer (ICP-OES, Tokyo, Japan). The sample introduction system includes a micromist nebulizer, a twinnabar spray chamber, and a standard quartz torch with a 2.3 mm I.D. injector tube. The sample introduction uses an Agilent SPS3 autosampler. The instrument was calibrated using the calibration standards and blanks. Between each sample the sample introduction system was rinsed with 0.1 M Nitric Acid and the rinse procedures were optimized by using the Smart Rinse program of the software ICP Expert II. The Limit of Detection (LOD) for the method was estimated by preparing a 0.1 mg/L solution with the analytes (see Supplementary Materials Tables S1 and S2 for details of metal analysis).

2.4. Phthalate Analysis

For targeted analysis of phthalates in sediment samples, 11 compounds were selected: dimethyl phthalate (DMP), diethyl phthalate (DEP), diisobutyl phthalate (DiBP), di-n-butyl phthalate (DnBP), bis(2-methoxyethyl) phthalate (DMEP), di-n-pentyl phthalate (DnPP), di-n-hexyl phthalate (DnHP), benzyl butyl phthalate (BBzP), bis(2-ethylhexyl) phthalate (DEHP), di-n-octyl phthalate (DNOP), diisononyl phthalate (DiNP), and bis(2-ethylhexyl) phthalate-d4 (DEHP-d4). All standards were purchased at a high purity grade (>98%) from Sigma-Aldrich (Germany). Standard solutions were prepared on a weight basis in methanol (at a concentration of 1000 mg/L) and stored at −20 °C. Ultra-pure water, methanol, n-hexane, dichloromethane, and acetonitrile (HPLC grade) were supplied by Merck (Darmstadt, Germany). Working standard solutions containing all phthalate esters and labeled internal standard (DEHP-d4) were prepared in methanol/water (10:90, v/v).
Ten grams of sediment were spiked with the surrogate standard DEHP-d4 (Sigma-Aldrich, Germany) to achieve a final concentration of 500 µg/L and were allowed to equilibrate for 10 min. The samples were extracted twice with 50 mL of acetone/n-hexane (5:2, v/v) in an ultrasonic bath for 20 min with agitation. The combined extracts were dried over anhydrous sodium sulfate, filtered through glass microfiber GF/C filters (Whatman, Kent, United Kingdom), and evaporated to dryness using a TurboVap 500 (Zymark, Hopkinton, MA, USA). The residue was reconstituted in 50 mL of acetonitrile and stored at −20 °C for 30 min to precipitate lipids. The supernatant was filtered through a 0.45 µm PVDF membrane filter (Durapore, 3M Deutschland GmbH, Neuss, Germany) and concentrated to 1 mL. Sample cleanup was carried out using glass Florisil™ solid-phase extraction (SPE) cartridges (1 g bed weight, 6 mL volume; Supelco, Bellefonte, PA, USA), which were pre-cleaned with n-hexane and conditioned prior to use. The extract was loaded onto the cartridge, air-dried for 10 min, and analytes were eluted with 10 mL of acetone/n-hexane (5:2). A 100 µL aliquot of the eluate was transferred to a GC vial, evaporated to dryness under a gentle nitrogen stream, and reconstituted in 1 mL of ethyl acetate for GC–MS/MS analysis. All solvents were of at least HPLC grade, laboratory blanks were included with each batch, and glassware was used whenever possible to minimize phthalate contamination.
A volume of 1 μL of the reconstituted sample was injected into the GC-MS/MS system GCMS TQ8040 NX (Shimadzu Corporation, Kyoto Japan). The gas chromatography injector was operated in splitless mode at 300 °C. Chromatographic separation was carried out in a Restek Rxi-5 ms (30 m × 0.25 mm × 0.25 μm) with a linear velocity of 40 cm/seg and a flow rate of 1.18 mL/min. The temperature program was selected as follows: 80 °C for 1 min, up to 200 °C at 40 °C/min, up to 250 °C at 15 °C/min, and held at 250 °C for 2 min, and up to 320 °C at 15 °C/min and held at 320 °C for 2 min (total program time 16 min). Data was recorded in Selected Reaction Monitoring (SRM) mode with the ion source temperature at 250 °C and the interface temperature at 300 °C. More detailed information detailing the methodology and validation of the analysis can be found in Table S3 (Supplementary Materials).

2.5. Non-Target Analysis

Seawater samples were spiked with the surrogate standard DEHP-d4 (Sigma-Aldrich, Germany) at a final concentration of 500 µg/L and filtered through 1 µm glass fiber filters, followed by 0.45 µm PVDF membrane filters (Millipore; Billerica, MA, USA). One liter of sample was loaded into Oasis HLB solid-phase extraction cartridges (200 mg, 6 mL; Waters Corporation) previously conditioned with 3 mL of n-hexane, followed by 3 mL of dichloromethane, and 3 mL of acetonitrile sequentially. The cartridges were rinsed with 6 mL of ultra-pure water and dried under a gentle nitrogen stream for 60 min. Elution was carried out using 4 mL of n-hexane, 4 mL of dichloromethane, and 4 mL of acetonitrile. The extracts were evaporated to dryness and reconstituted in 1 mL of water/methanol (90:10, v/v) prior to analysis.
A non-target analysis was performed to detect the total number of non-volatile organic chemicals present in samples and to statistically compare the pollution in the tire dump with the control sites. For this purpose, a Vanquish Flex UHPLC system coupled to an Orbitrap Exploris 120 equipped with an OptaMax NG H-ESI II ion source (Thermo Fisher Scientific, Bremman, Germany) was used. Chromatographic separation was carried out in a ZORBAX Eclipse Plus C18 (2.1 × 150 mm, 3.5 µm; Agilent Technologies, Santa Clara, CA, USA) using 10 mM ammonium formate (pH 3.0) as mobile phase A and acetonitrile as mobile phase B for both ionization modes. The column was kept at 30 °C. Samples were acquired in the Data Dependent Acquisition (DDA) mode in positive and negative ionization as follows: a full-scan recorded from m/z 100 to 1000 range at a resolving power of 60,000 FWHM, followed by full-scan MS/MS fragmentation from m/z 50 to 1000 range at a resolving power of 30,000 FWHM for the four most intense ions in each data scan. High-energy collisional dissociation (HCD) was performed at a normalized collision energy of 30% with an isolation width of 2 Da. The conditions for ion source were designed as follows: spray voltage at 3.5 kV, source heater temperature at 300 °C, capillary temperature at 350 °C, sheath gas flow at 40, and auxiliary gas flow at 20 (arbitrary units).
The files obtained were computationally processed in Compound Discoverer 3.3 (v 3.3.2.31) data-processing software (Thermo Fisher Scientific) using an adapted methodology described previously [33]. The data were loaded in two separate batches comprising the samples analyzed in positive and negative ionization modes. The data were filtered from m/z 100 to 1000 across the entire chromatographic retention time. Detection of unknown compounds was set at a mass tolerance of ±5 ppm, minimum peak intensity of 10,000, and a 1.5 signal-to-noise (S/N) ratio. Expected and non-target compounds were grouped at a mass tolerance of ±5 ppm and a retention time tolerance of 0.2 min. Automatic MS/MS identification of the detected non-target additives was performed by comparison with the software-linked database mzCloudTM using a precursor and fragment mass tolerance of ±5 ppm (see Supplementary Materials Table S4 for further details). Once the data were processed, compound filtration was carried out to avoid false positives and compounds not related to tires. Compounds selected for evaluation met the following criteria: a minimum identification accuracy of 75% based on fragmentation mass spectra from the mzCloud library; classification within the “additives, industrial chemicals, and leachates” category; a Sample/Control ratio greater than 1; and a “Full Match” status in the mzCloud Search results. The accuracy of identification was verified by achieving at least a Level 3 tentative candidate status, in accordance with the clarification scheme previously reported [34].

2.6. Quality Control

Procedural blanks were run throughout the entire sequence to monitor and prevent potential contamination from plastic-derived additives, and all signals detected in these blanks were subtracted from the dataset during data processing. The metal analysis was performed with the ICP-OES placed in a clean room. All glassware used for sample preparation were acid-washed prior to use. Certified reference materials (MESS-4, Marine sediment, National Research Council Canada) and procedural blank sample were used to validate the metal analysis. Recovery of the reference material was within acceptable limits or within 10% of the certified concentration (Supplementary Materials Table S1).

2.7. Statistical Analysis

Where possible samples were analyzed in triplicate, the data were subjected to analysis of variance (one-way ANOVA) to test for differences between sites (level of significance at p < 0.05). Residual plots were inspected to verify that the assumptions of the ANOVA were met. Post hoc comparison (Tukey’s test) was used to discriminate between mean values. We encountered sample loss for the analysis of phthalates resulting in the processing of single replicates. We use linear regression to determine if there was a relationship between phthalate concentration and distance from the center of the tire dump. Statistical analysis was performed on GraphPad Prism v8.0 for windows [35].

3. Results and Discussion

3.1. Occurrence of Trace Metals

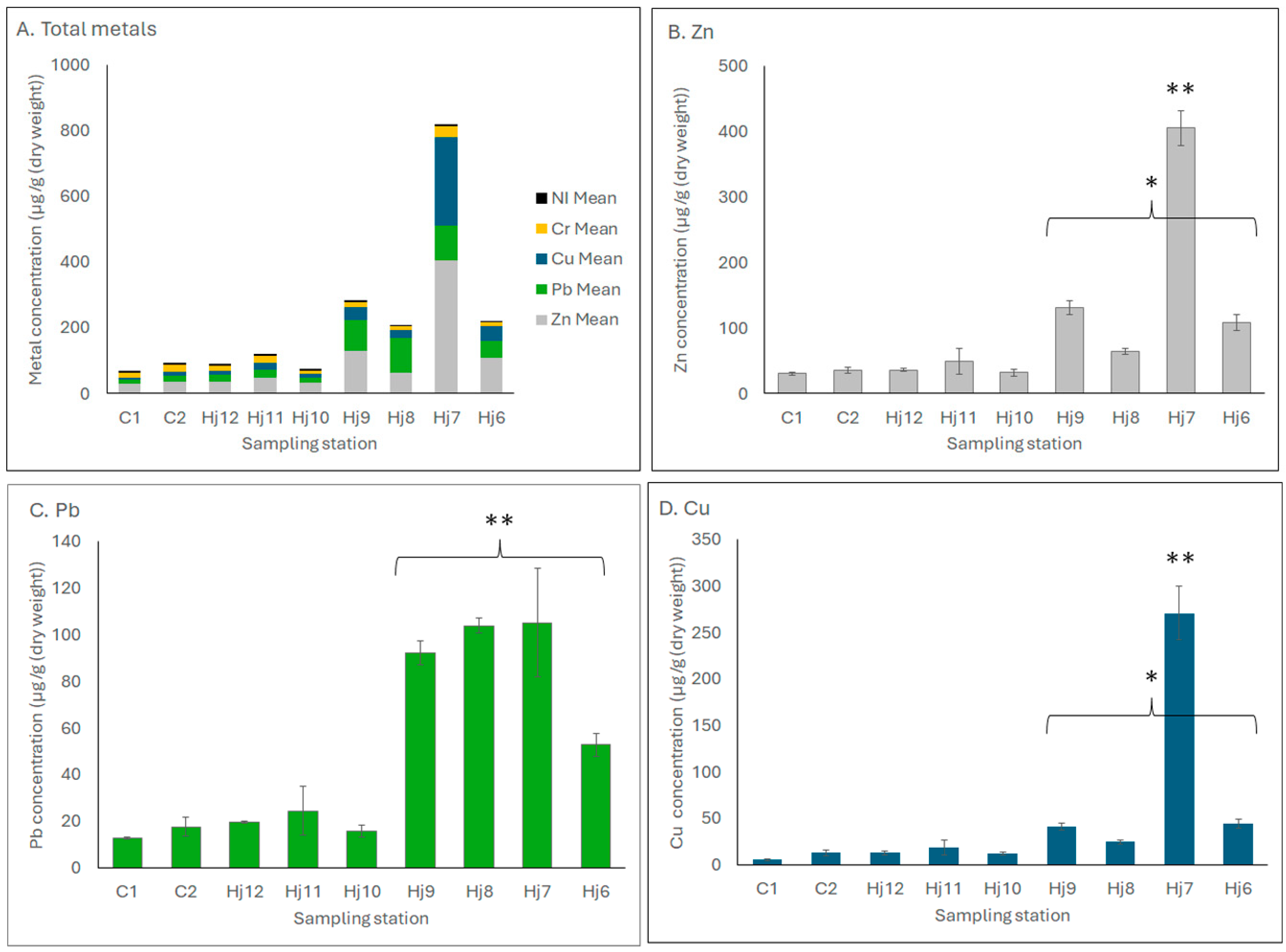
In sediments, Cd and Co were below the LOD for metal analysis, but Ni, Cr, Cu, Pb, and Zn were present in all samples to varying degrees. Ni and Cr were present at low levels and did not vary significantly between sites. The major contributors to the total metal load were Zn, Pb and Cu, with Zn being the most abundant element (Figure 2, Table S2 Supplementary Materials).
Zn, Pb, and Cu were significantly elevated above controls in samples Hj6-Hj9, which were taken from the second ring of sampling points 15–20 m from the center of the tire dump (Figure 2B–D). Hj7 was shown to be a hotspot for Zn and Cu with concentrations exceeding 400 and 270 µg/g (dw), respectively. Samples from Hj6–9 were also significantly higher in each metal (Zn, Pb, and Cu) than the third ring Hj10–12, which were 50–80 m from center. Whilst not possible to sample sediment at sampling points Hj1–5, these results demonstrate a localization of Zn, Pb, and Cu close to the center of the tire dump.
Whilst Zn is a ubiquitous naturally occurring element, the elevated concentrations strongly suggest that Zn has been released from the tires and mobilized into the sediments of Hjelmås over the last 50 years. Tires contain approximately 1–2% of zinc by weight [36,37], and the leaching of Zn from tire material has been established across a wide variety of environmental conditions [36,38,39]. Moreover, Zn has been used either alone or in combination with other elements as a marker of tire-related pollution [40,41].
Toxicologically, the presence of elevated Zn, Pb, and Cu concentrations certainly warrants further investigation, as the negative impacts of exposure to these metals are well established. However, any potential toxicity would depend on their bioavailability from the sediments [42,43].

3.2. Occurrence of Phthalates

Of the 11 phthalates measured in this study, 6 were detected at the tire dump sampling stations: DEHP, DnBP, BBzP, DiBO, DMP, and DEP (Figure 3). This profile includes both low-molecular-weight phthalates (DMP, DEP), which are more water-soluble and indicative of recent leaching episodes, and higher-molecular-weight compounds (DEHP, DnBP, BBzP), which are more hydrophobic and prone to long-term accumulation in sediments [44]. The simultaneous detection of both types provides strong evidence that the dump is acting as a continuous source, releasing both persistent and more mobile plasticizers into the environment (Table S5 Supplementary Materials). Hj9 and Hj12 appeared to be phthalate hotspots, but overall, there was no significant relationship between the total phthalate concentration at each site and the distance from the center of the tire dump (R2 = 0.034, p = 0.634, Figure 3). The absence of a clear distribution gradient indicates that phthalate distribution in sediments is likely governed by a combination of local hydrodynamic processes, variations in sediment composition, and potentially heterogeneous leaching from the tire dump, rather than following a simple distance–decay pattern. DEHP was the most prevalent phthalate, reaching 69 ng/g of dry weight in the sediment which is similar to the DEHP concentration of 71 ng/g found in the River Kiel, Germany [27]. Although DEHP use has been increasingly restricted in recent years, its strong hydrophobicity and persistence mean that residues from past inputs remain in the sediments, acting as an indicator of long-term contamination from the tire dump. DMP and BBzP were the only other phthalates found consistently above 5 ng/g of dry weight sediment at multiple sampling locations. Given that these compounds are less hydrophobic and more susceptible to degradation than DEHP, their sustained presence in sediments may indicate ongoing leaching from the submerged tire dump.
That DEHP was the most prevalent phthalate agrees with the findings of DEHP as the most leachable phthalate from tire crumb rubber to seawater [12]. It is important to note that the phthalate chemical family was used here as proxy for volatile and semi-volatile chemicals, but other chemical groups are also likely to be present, i.e., polyaromatic hydrocarbons (PAHs), phenolics, phenylenediamines. Previous studies have found that tire crumb rubber readily leaches phthalates into water [12,45]), so their function as a proxy is justified in the absence of full chemical characterization.
DEHP and the other phthalates are plasticizers, which are added to polymers to promote plasticity and flexibility. Toxicologically, phthalates are endocrine disruptors, which interfere with the endocrine system and produce adverse developmental, reproductive, neurological, and immune effects [46]. Their presence in the environment and localization to the tire dump warrant further investigation into toxicological and ecological impacts.

3.3. Non-Target Analysis

Non-targeted LC-HRMS analysis confirmed the presence of tire-related additives and plasticizers in the water samples. Following suspect screening, all exact masses detected in positive ([M+H]+) and negative ([M−H]−) ionization modes from the full-scan MS spectra were subjected to mass filtering and chromatographic alignment. To enhance confidence in compound identification, peaks meeting the predefined criteria (i.e., sample/control ratio > 1, MS2 best match ≥ 75%, and mzCloud entries classified as “industrial chemicals”, “additives/colorants”, and/or “extractables/leachables”) were considered for further analysis.
After data processing, the total number of compounds detected in the positive and negative modes were 5811 and 1848 features, respectively. In the initial filtering step, features were selected based on mass accuracy (±5 ppm) and a chromatographic area higher than the chromatographic area detected in control samples. This resulted in a 40% and 36% reduction (3486 to 1187 masses) in candidate features in the positive and negative modes, respectively. Then, the MS/MS fragmentation spectra were compared against spectral data from the mzCloud library. Experimental fragment ions were matched to theoretical fragments reported from exact masses from the database. This resulted in a 97% reduction in both ionization modes (98 and 38 features for the positive and negative modes, respectively) from the previous filtering step. To ensure reliable identification, only features with a ≥75% match between the experimental and theoretical spectra were retained, reducing the feature count by 38% (61 features) in the positive mode and 21% (30 features) in the negative mode. After classification of the compounds by category, 20 features were tentatively suspected to come from the tires (all in positive ionization mode) (Figure 4).
To better understand the spatial influence of the submerged tire dump, samples were collected in a concentric ring design radiating from its center. This spatial design allowed evaluation of how the 20 tire-derived compounds dispersed into the surrounding environment based on their chromatographic areas. Hierarchical clustering of LC–HRMS data (Figure 5) grouped the dump center (Hj1) and several first-ring stations (Hj2–Hj5), showing distinct chemical profiles that remain influenced by tire-derived compounds. Stations from the second and third rings displayed more heterogeneous profiles, suggesting progressive dilution and hydrodynamic redistribution of contaminants with increasing distance from the dump. The two control sites clustered separately, underscoring their role as background references and reinforcing the interpretation that the dump is a dominant source of the compounds detected in its immediate vicinity. It is noteworthy that station Hj6 (second ring) exhibited a seawater chemical profile closely resembling that of the dump center (Hj1). Although Hj6 is located in the second ring, its position at the interface between the dump and the shoreline may make it a local accumulation zone. Localized hydrodynamic transport, overlapping water masses, and site-specific conditions could favor the persistence of tire-derived compounds and direct mixing between Hj1 and Hj6, effectively exposing both sites to the same leachate plume and explaining their similar chemical profiles. Nevertheless, collecting samples over an extended period would be necessary to confirm the temporal consistency of this contaminant spread.
A literature search was conducted to determine which of the 20 suspected tire-derived chemicals had been previously reported in scientific publications, providing additional confirmation that their origin was consistent with tires rather than alternative sources. From those, the presence of five of these chemicals was found in the literature (Table 2). The mzCloud database mass spectral (MS2) comparisons for these five compounds are presented in the Supplementary Materials (Figures S1–S5). However, their chromatographic areas did not exceed 20% relative to the control, indicating that their levels remained low despite their confirmed association with tires.
Among the five key tire-related compounds presented in Table 2, distinct patterns in seawater were observed that reflect their different chemical behaviors. Hexamethylenetetramine was primarily detected at the dump center (Hj1) and in nearby first-ring stations, consistent with its solubility and direct leaching from the dump. Similarly, diisobutyl phthalate was largely found at the dump center (Hj1) but was also present in the second ring (Hj6), occurring mostly in the area between the dump center and the shoreline. In contrast, N,N′-diphenylguanidine (DPG) and N,N-dimethylaniline were absent from Hj1 but were mainly present in stations from both the first and second rings, with N,N-dimethylaniline also occurring primarily between the dump center and the shoreline (Hj6). No data for bis(3,5,5-trimethylhexyl) phthalate were available for Hj6; however, this compound was detected at one of the control sites, suggesting a more restricted and irregular distribution.
Among these five tire-related compounds, DPG is the most documented as being detected following release from tires [21,23,50]. In surface waters collected from the Greater Toronto areas, DPG was present at all sampling sites at concentrations up to 0.8 µg/L—similar levels to 6PPD although 6PPD was not found at all sites [22]. Widely used as a secondary accelerator in the vulcanization of rubber, DPG exhibits low biodegradability and moderate water solubility, suggesting it can persist in aquatic environments [50]. Our study may be the first to indicate that this persistence may last decades. The toxicity of DPG, and/or its transformation products, is not well known to date, but its persistence warrants further investigation into its negative impacts in organisms [22,50].
The vulcanization accelerator hexamethylenetetramine was also identified by our non-target analysis. Mention of this substance was found in the literature dating back to 1926 with further reference to its use made as early as 1915 [47]. As a formaldehyde-releasing compound, hexamethylenetetramine has been replaced in mainstream tire manufacturing. Thus, its presence at Hjelmås is related to the age of the dumped tires. Given the length of time these tires have been underwater and that prior to this they were unused stock of the blast mat manufacturer, before which they were being driven on the road, we could perhaps estimate that the tires were manufactured in the period of 1940–1960 or even earlier, which perhaps aligns with the use of hexamethylenetetramine.
Among the other tire chemicals identified in the waters of Hjelmås (N,N-dimethylaniline and the two phthalates, diisobutyl phthalate and bis(3,5,5-trimethylhexyl) phthalate)), N,N-Dimethylaniline was found in the forced leaching of tire-derived compounds alongside 143 other chemicals [48]. These phthalates were not part of the suite of pre-selected phthalates measured in the sediments but have been found to leach from crumb rubber use in artificial turf [49]. Thus, although not commonly described tire-derived chemicals, they have been found in tire leachates. Not much is noted about their long-term persistence nor their potential toxicity.
It is also worth considering why other chemicals were not found in our analysis. 6PPD is the most widely studied tire-derived chemical but not detected in our study. Again, it is necessary to think about the age of tires in the dump. According to the U.S. Tire Manufacturers Association (USTMA) “6PPD was first developed in the 1960s and has been widely used in motor vehicle tires since the 1970s” [51] and thus, if as we suspect the tires were manufactured prior to the 1970s, 6PPD would not have been part of their formulation and absent from the analysis.

3.4. Implication for the Persistence of Tire-Derived Chemicals and Site Remediation

Our analysis at the Hjelmas site identified several inorganic and organic chemicals—notably Zn and DEHP from the pre-selected trace metal and phthalate analyses—as well as a number of non-targeted identified tire-derived chemicals that were absent from the control sites, some of which have also been reported in the literature. Whether the presence and concentrations reported here relate to toxicological or ecological damage requires further investigation. However, underwater drone footage from the area taken at the time of sampling shows aquatic organisms in the tire dump area (Supplementary Video 1) which suggests that the site is not acutely toxic. Nevertheless, our study shows the long-term environmental persistence of the chemicals, which has ramifications for both how we consider the environmental safety of tire-derived chemicals and whether and how the site at Hjelmås should undergo remediation.
The presence of hexamethylenetetramine, a chemical that has been phased out of mainstream tire manufacturing, and absence of 6PPD the most studied tire chemical—both due to the suspected age of the tires—raises an important issue of any future regulation of tire constituents. Currently, no regulation directly addresses tire particle pollution or the compounds they release, their mixture effects, or transformation products [52], but any incoming regulation should not only consider current tire formulations but also those of previous models from which chemicals may still be present in the environment even if the chemical themselves are no longer added to tires. Thus, the environmental persistence of chemicals should be of paramount importance alongside ecotoxicological effects. Calls are being made to view plastics and plastic additives through the lens of the persistent, bio-accumulative, and toxic (PBT) framework [53]. Similar calls are applicable for tires and their chemical constituents.
Lastly, there is matter of what to do with the underwater tire dump in Hjelmås. This research was conceived to inform the ongoing discussion in Alver Municipality as to possible remediation of the site. Based on this preliminary study we can suggest that the chemical impact of the tires needs to be prioritized alongside the physical removal of the tires. If a cleanup is to be considered, then, based on our results, an important consideration would be to use a method that causes least disruption and remobilization of the sediments. Whilst our study cannot direct a decision regarding the need for remediation, what we have found thus far warrants further investigation and a more detailed chemical and ecological baseline monitoring plan should be implemented.

4. Conclusions

In conclusion, our study shows that the submerged tires in Hjelmås Bay remain a long-term source of tire-derived chemicals, with elevated levels of trace metals, phthalates, and other compounds persisting after more than 50 years. Given the presence of trace metals and phthalates, future assessments should incorporate toxicological evaluation. The application of non-target analysis revealed a broad range of persistent chemicals providing valuable insights for risk management. Future regulations on tire constituents must also address their environmental persistence beyond active use.

Supplementary Materials

The following supporting information can be downloaded at https://www.mdpi.com/article/10.3390/environments12100356/s1, Table S1: Recovery of certified reference material MESS-4 Marine Sediment; Table S2: Concentrations of metals in sediment samples; Table S3: Targeted analysis of phthalate acid esters in sediments; Table S4: Compound discoverer software parameters for data filtration and compound identification; Table S5: Physicochemical properties of phthalate acid esters analyzed by target analysis; Figure S1–S5: Identification of five tire-related chemicals using mzCloud database. Video S1: Video S1_Underwater footage Alver tire dump.

Author Contributions

Conceptualization, E.L. and F.R.K.; methodology, A.J.-G., A.A.T., L.H.M.L.M.S., S.R.-M., A.G., E.L. and F.R.K.; formal analysis, A.J.-G., A.A.T., L.H.M.L.M.S., S.R.-M., A.G., E.L. and F.R.K.; investigation, A.J.-G., A.A.T., L.H.M.L.M.S., S.R.-M., A.G., E.L. and F.R.K.; writing—original draft preparation, A.J.-G. and F.R.K.; writing—review and editing, A.J.-G., A.A.T., L.H.M.L.M.S., S.R.-M., A.G., E.L. and F.R.K.; visualization, A. J-G. and F.R.K.; project administration, E.L. and F.R.K.; funding acquisition, E.L. and F.R.K. All authors have read and agreed to the published version of the manuscript.

Funding

This research was funded by Regionale forskningsfond (RFF Vestlandet), grant number 337686. S.R.-M acknowledges funding from the Spanish Ministry of Science and Innovation through project ReUseMP3 (project code: PID2020–115456RB-I00/MCIN/AEI/10.13039/501100011033). L.H.M.L.M.S. acknowledges her Ramón y Cajal contract (RYC2022-036245-I) funded by MCIN/AEI/10.13039/501100011033 and by FSE+.

Data Availability Statement

The original contributions presented in this study are included in the article/Supplementary Material. Further inquiries can be directed to the corresponding author.

Acknowledgments

We acknowledge Kvitsøy Sjøtjenester AS for their support in the sampling and acoustic survey. We acknowledge the NORCE Mass Spectrometry Lab for instrument access and expert support.

Conflicts of Interest

The authors declare no conflicts of interest.

References

  1. Khan, F.R.; Rødland, E.S.; Kole, P.J.; Van Belleghem, F.G.A.J.; Jaén-Gil, A.; Hansen, S.F.; Gomiero, A. An Overview of the Key Topics Related to the Study of Tire Particles and Their Chemical Leachates: From Problems to Solutions. TrAC-Trends Anal. Chem. 2024, 172, 117563. [Google Scholar] [CrossRef]
  2. Obanya, H.E.; Khan, F.R.; Carrasco-Navarro, V.; Rødland, E.S.; Walker-Franklin, I.; Thomas, J.; Cooper, A.; Molden, N.; Amaeze, N.H.; Patil, R.S.; et al. Priorities to Inform Research on Tire Particles and Their Chemical Leachates: A Collective Perspective. Environ. Res. 2024, 263, 120222. [Google Scholar] [CrossRef] [PubMed]
  3. Mayer, P.M.; Moran, K.D.; Miller, E.L.; Brander, S.M.; Harper, S.; Garcia-Jaramillo, M.; Carrasco-Navarro, V.; Ho, K.T.; Burgess, R.M.; Thornton Hampton, L.M.; et al. Where the Rubber Meets the Road: Emerging Environmental Impacts of Tire Wear Particles and Their Chemical Cocktails. Sci. Total Environ. 2024, 927, 171153. [Google Scholar] [CrossRef] [PubMed]
  4. Müller, K.; Hübner, D.; Huppertsberg, S.; Knepper, T.P.; Zahn, D. Probing the Chemical Complexity of Tires: Identification of Potential Tire-Borne Water Contaminants with High-Resolution Mass Spectrometry. Sci. Total Environ. 2022, 802, 149799. [Google Scholar] [CrossRef]
  5. Müller, K.; Unice, K.; Panko, J.; Ferrari, B.J.D.; Breider, F.; Wagner, S. Risk Assessment of Tire Wear in the Environment—A Literature Review. Environ. Sci. Process Impacts 2025, 27, 2212–2232. [Google Scholar] [CrossRef]
  6. Ghanadi, M.; Caubrière, L.; Kah, M.; Padhye, L.P. Tire-Wear Particles and Tire-Related Emerging Contaminants: Characteristics, Occurrence, and Toxicity in the Environment. Curr. Opin. Environ. Sci. Health 2025, 48, 100666. [Google Scholar] [CrossRef]
  7. Wagner, S.; Huffer, T.; Klockner, P.; Wehrhahn, M.; Hofmann, T.; Reemtsma, T. Tire Wear Particles in the Aquatic Environment—A Review on Generation, Analysis, Occurrence, Fate and Effects. Water Res. 2018, 139, 83–100. [Google Scholar] [CrossRef]
  8. Khan, F.R.; Halle, L.L.; Palmqvist, A. Acute and Long-Term Toxicity of Micronized Car Tire Wear Particles to Hyalella Azteca. Aquat. Toxicol. 2019, 213, 105216. [Google Scholar] [CrossRef]
  9. Piarulli, S.; Sørensen, L.; Amat, L.M.; Farkas, J.; Khan, E.A.; Arukwe, A.; Gomiero, A.; Booth, A.M.; Gomes, T.; Hansen, B.H. Particles, Chemicals or Both? Assessing the Drivers of the Multidimensional Toxicity of Car Tire Rubber Microplastic on Early Life Stages of Atlantic Cod. J. Hazard. Mater. 2025, 494, 138699. [Google Scholar] [CrossRef]
  10. Marwood, C.; McAtee, B.; Kreider, M.; Ogle, R.S.; Finley, B.; Sweet, L.; Panko, J. Acute Aquatic Toxicity of Tire and Road Wear Particles to Alga, Daphnid, and Fish. Ecotoxicology 2011, 20, 2079–2089. [Google Scholar] [CrossRef]
  11. Capolupo, M.; Sørensen, L.; Jayasena, K.D.R.; Booth, A.M.; Fabbri, E. Chemical Composition and Ecotoxicity of Plastic and Car Tire Rubber Leachates to Aquatic Organisms. Water Res. 2020, 169, 115270. [Google Scholar] [CrossRef]
  12. Halsband, C.; Sørensen, L.; Booth, A.M.; Herzke, D. Car Tire Crumb Rubber: Does Leaching Produce a Toxic Chemical Cocktail in Coastal Marine Systems? Front. Environ. Sci. 2020, 8, 125. [Google Scholar] [CrossRef]
  13. Halle, L.L.; Palmqvist, A.; Kampmann, K.; Jensen, A.; Hansen, T.; Khan, F.R. Tire Wear Particle and Leachate Exposures from a Pristine and Road-Worn Tire to Hyalella Azteca: Comparison of Chemical Content and Biological Effects. Aquat. Toxicol. 2021, 232, 105769. [Google Scholar] [CrossRef] [PubMed]
  14. Chibwe, L.; Parrott, J.L.; Shires, K.; Khan, H.; Clarence, S.; Lavalle, C.; Sullivan, C.; O’Brien, A.M.; De Silva, A.O.; Muir, D.C.G.; et al. A Deep Dive into the Complex Chemical Mixture and Toxicity of Tire Wear Particle Leachate in Fathead Minnow. Environ. Toxicol. Chem. 2022, 41, 1144–1153. [Google Scholar] [CrossRef] [PubMed]
  15. Day, K.E.; Holtze, K.E.; Metcalfe-Smith, J.L.; Bishop, C.T.; Dutka, B.J. Toxicity of Leachate from Automobile Tires to Aquatic Biota. Chemosphere 1993, 27, 665–675. [Google Scholar] [CrossRef]
  16. Wik, A.; Nilsson, E.; Källqvist, T.; Tobiesen, A.; Dave, G. Toxicity Assessment of Sequential Leachates of Tire Powder Using a Battery of Toxicity Tests and Toxicity Identification Evaluations. Chemosphere 2009, 77, 922–927. [Google Scholar] [CrossRef]
  17. Halle, L.L.; Palmqvist, A.; Kampmann, K.; Khan, F.R. Ecotoxicology of Micronized Tire Rubber: Past, Present and Future Considerations. Sci. Total Environ. 2020, 706, 135694. [Google Scholar] [CrossRef]
  18. Tian, Z.; Zhao, H.; Peter, K.T.; Gonzalez, M.; Wetzel, J.; Wu, C.; Hu, X.; Prat, J.; Mudrock, E.; Hettinger, R. A Ubiquitous Tire Rubber–Derived Chemical Induces Acute Mortality in Coho Salmon. Science (1979) 2021, 371, 185–189. [Google Scholar] [CrossRef]
  19. Brinkmann, M.; Montgomery, D.; Selinger, S.; Miller, J.G.P.; Stock, E.; Alcaraz, A.J.; Challis, J.K.; Weber, L.; Janz, D.; Hecker, M. Acute Toxicity of the Tire Rubber-Derived Chemical 6PPD-Quinone to Four Fishes of Commercial, Cultural, and Ecological Importance. Environ. Sci. Technol. Lett. 2022, 9, 333–338. [Google Scholar] [CrossRef]
  20. Rauert, C.; Charlton, N.; Okoffo, E.D.; Stanton, R.S.; Agua, A.R.; Pirrung, M.C.; Thomas, K. V Concentrations of Tire Additive Chemicals and Tire Road Wear Particles in an Australian Urban Tributary. Environ. Sci. Technol. 2022, 56, 2421–2431. [Google Scholar] [CrossRef]
  21. Johannessen, C.; Helm, P.; Lashuk, B.; Yargeau, V.; Metcalfe, C.D. The Tire Wear Compounds 6PPD-Quinone and 1,3-Diphenylguanidine in an Urban Watershed. Arch. Environ. Contam. Toxicol. 2022, 82, 171–179. [Google Scholar] [CrossRef]
  22. Johannessen, C.; Helm, P.; Metcalfe, C.D. Detection of Selected Tire Wear Compounds in Urban Receiving Waters. Environ. Pollut. 2021, 287, 171–179. [Google Scholar] [CrossRef] [PubMed]
  23. Seiwert, B.; Klöckner, P.; Wagner, S.; Reemtsma, T. Source-Related Smart Suspect Screening in the Aqueous Environment: Search for Tire-Derived Persistent and Mobile Trace Organic Contaminants in Surface Waters. Anal. Bioanal. Chem. 2020, 412, 4909–4919. [Google Scholar] [CrossRef] [PubMed]
  24. Challis, J.K.; Popick, H.; Prajapati, S.; Harder, P.; Giesy, J.P.; McPhedran, K.; Brinkmann, M. Occurrences of Tire Rubber-Derived Contaminants in Cold-Climate Urban Runoff. Environ. Sci. Technol. Lett. 2021, 8, 961–967. [Google Scholar] [CrossRef]
  25. Meland, S.; Granheim, G.M.; Rundberget, J.T.; Rødland, E. Screening of Tire-Derived Chemicals and Tire Wear Particles in a Road Tunnel Wash Water Treatment Basin. Environ. Sci. Technol. Lett. 2023, 11, 35–40. [Google Scholar] [CrossRef]
  26. Collins, K.J. Environmental Impact of Tires Used in Marine Construction. In Tire Waste and Recycling; Elsevier: Amsterdam, The Netherlands, 2021; pp. 275–296. [Google Scholar]
  27. Lintner, M.; Henkel, C.; Peng, R.; Heinz, P.; Stockhausen, M.; Hofmann, T.; Hüffer, T.; Keul, N. Tire-Derived Compounds, Phthalates, and Trace Metals in the Kiel Fjord (Germany). Mar. Pollut. Bull. 2025, 212, 117581. [Google Scholar] [CrossRef]
  28. Xu, Y.; Sun, Y.; Lei, M.; Hou, J. Phthalates Contamination in Sediments: A Review of Sources, Influencing Factors, Benthic Toxicity, and Removal Strategies. Environ. Pollut. 2024, 344, 123389. [Google Scholar] [CrossRef]
  29. Chon, H.-S.; Ohandja, D.-G.; Voulvoulis, N. The Role of Sediments as a Source of Metals in River Catchments. Chemosphere 2012, 88, 1250–1256. [Google Scholar] [CrossRef]
  30. Robledo Ardila, P.A.; Álvarez-Alonso, R.; Árcega-Cabrera, F.; Durán Valsero, J.J.; Morales García, R.; Lamas-Cosío, E.; Oceguera-Vargas, I.; Del Valls, A. Assessment and Review of Heavy Metals Pollution in Sediments of the Mediterranean Sea. Appl. Sci. 2024, 14, 1435. [Google Scholar] [CrossRef]
  31. Siaka, M.; Owens, C.M.; Birch, G.F. Evaluation of Some Digestion Methods for the Determination of Heavy Metals in Sediment Samples by Flame-AAS. Anal. Lett. 1998, 31, 703–718. [Google Scholar] [CrossRef]
  32. Idera, F.; Omotola, O.; Paul, U.J.; Adedayo, A. Evaluation of the Effectiveness of Different Acid Digestion on Sediments. Matrix 2014, 12, 13. [Google Scholar] [CrossRef]
  33. Čelić, M.; Jaén-Gil, A.; Briceño-Guevara, S.; Rodríguez-Mozaz, S.; Gros, M.; Petrović, M. Extended Suspect Screening to Identify Contaminants of Emerging Concern in Riverine and Coastal Ecosystems and Assessment of Environmental Risks. J. Hazard. Mater. 2021, 404, 124102. [Google Scholar] [CrossRef] [PubMed]
  34. Schymanski, E.L.; Jeon, J.; Gulde, R.; Fenner, K.; Ruff, M.; Singer, H.P.; Hollender, J. Identifying Small Molecules via High Resolution Mass Spectrometry: Communicating Confidence. Environ. Sci. Technol. 2014, 48, 2097–2098. [Google Scholar] [CrossRef] [PubMed]
  35. GraphPad Prism, version 8.0; Dotmatics: Boston, MA, USA, 2018.
  36. Rhodes, E.P.; Ren, Z.; Mays, D.C. Zinc Leaching from Tire Crumb Rubber. Environ. Sci. Technol. 2012, 46, 12856–12863. [Google Scholar] [CrossRef] [PubMed]
  37. O’Loughlin, D.P.; Haugen, M.J.; Day, J.; Brown, A.S.; Braysher, E.C.; Molden, N.; Willis, A.E.; MacFarlane, M.; Boies, A.M. Multi-Element Analysis of Tyre Rubber for Metal Tracers. Environ. Int. 2023, 178, 108047. [Google Scholar] [CrossRef]
  38. Smolders, E.; Degryse, F. Fate and Effect of Zinc from Tire Debris in Soil. Environ. Sci. Technol. 2002, 36, 3706–3710. [Google Scholar] [CrossRef]
  39. Degaffe, F.S.; Turner, A. Leaching of Zinc from Tire Wear Particles under Simulated Estuarine Conditions. Chemosphere 2011, 85, 738–743. [Google Scholar] [CrossRef]
  40. Fauser, P.; Tjell, J.C.; Mosbaek, H.; Pilegaard, K. Quantification of Tire-Tread Particles Using Extractable Organic Zinc as Tracer. Rubber Chem. Technol. 1999, 72, 969–977. [Google Scholar] [CrossRef]
  41. Klöckner, P.; Reemtsma, T.; Eisentraut, P.; Braun, U.; Ruhl, A.S.; Wagner, S. Tire and Road Wear Particles in Road Environment—Quantification and Assessment of Particle Dynamics by Zn Determination after Density Separation. Chemosphere 2019, 222, 714–721. [Google Scholar] [CrossRef]
  42. Burton, G.A. Metal Bioavailability and Toxicity in Sediments. Crit. Rev. Environ. Sci. Technol. 2010, 40, 852–907. [Google Scholar] [CrossRef]
  43. Zhang, C.; Yu, Z.; Zeng, G.; Jiang, M.; Yang, Z.; Cui, F.; Zhu, M.; Shen, L.; Hu, L. Effects of Sediment Geochemical Properties on Heavy Metal Bioavailability. Environ. Int. 2014, 73, 270–281. [Google Scholar] [CrossRef]
  44. Net, S.; Sempéré, R.; Delmont, A.; Paluselli, A.; Ouddane, B. Occurrence, Fate, Behavior and Ecotoxicological State of Phthalates in Different Environmental Matrices. Environ. Sci. Technol. 2015, 49, 4019–4035. [Google Scholar] [CrossRef] [PubMed]
  45. Llompart, M.; Sanchez-Prado, L.; Pablo Lamas, J.; Garcia-Jares, C.; Roca, E.; Dagnac, T. Hazardous Organic Chemicals in Rubber Recycled Tire Playgrounds and Pavers. Chemosphere 2013, 90, 423–431. [Google Scholar] [CrossRef] [PubMed]
  46. Goksøyr, A. Endocrine Disruptors in the Marine Environment: Mechanisms of Toxicity and Their Influence on Reproductive Processes in Fish. J. Toxicol. Environ. Health A 2006, 69, 175–184. [Google Scholar] [CrossRef] [PubMed]
  47. Leech, F.B. Organic Rubber Accelerators. Ind. Eng. Chem. 1926, 18, 316–317. [Google Scholar] [CrossRef]
  48. Sun, T.; Cai, S.; Zhang, X.; Wang, D.; Zhang, W. Leaching Hazards of Tire Wear Particles in Hydrothermal Treatment of Sludge: Exploring Molecular Composition, Transformation Mechanism, and Ecological Effects of Tire Wear Particle-Derived Compounds. Water Res. 2024, 257, 121669. [Google Scholar] [CrossRef]
  49. U.S.; CDC/ATSDR. Synthetic Turf Field Recycled Tire Crumb Rubber Research Under the Federal Research Action Plan Final Report: Part 1—Tire Crumb Characterization; EPA/600/R-19/051.1; US Environmental Protection Agency: Washington, DC, USA, 2019; Volume 1 and 2.
  50. Peter, K.T.; Tian, Z.; Wu, C.; Lin, P.; White, S.; Du, B.; McIntyre, J.K.; Scholz, N.L.; Kolodziej, E.P. Using High-Resolution Mass Spectrometry to Identify Organic Contaminants Linked to Urban Stormwater Mortality Syndrome in Coho Salmon. Environ. Sci. Technol. 2018, 52, 10317–10327. [Google Scholar] [CrossRef]
  51. USTMA, U.S.; Tire Manufacturers Association and U.S. Geological Survey Partner for Joint Research into 6PPD Alternatives. Available online: https://www.ustires.org/newsroom/us-tire-manufacturers-association-and-us-geological-survey-partner-joint-research-6ppd (accessed on 24 July 2025).
  52. Trudsø, L.L.; Nielsen, M.B.; Hansen, S.F.; Syberg, K.; Kampmann, K.; Khan, F.R.; Palmqvist, A. The Need for Environmental Regulation of Tires: Challenges and Recommendations. Environ. Pollut. 2022, 311, 119974. [Google Scholar] [CrossRef]
  53. Groh, K.J.; Backhaus, T.; Carney-Almroth, B.; Geueke, B.; Inostroza, P.A.; Lennquist, A.; Leslie, H.A.; Maffini, M.; Slunge, D.; Trasande, L.; et al. Overview of Known Plastic Packaging-Associated Chemicals and Their Hazards. Sci. Total Environ. 2019, 651, 3253–3268. [Google Scholar] [CrossRef]
Figure 1. (A) Sampling of the tire dump site and position of Control Site 1 in Eikangervågen and Control Site 2 across the bay (Inset: Hjelmås (red dot) on the west coast of Norway). (B) The 12 stations are arranged as orthogonal transects from the center (Map source: Google maps). Images showing the Hjelmås site above (C) and below the surface (D). (E) Bathymetric mapping showing underwater terrain and site depths (depths in Table 1).
Figure 1. (A) Sampling of the tire dump site and position of Control Site 1 in Eikangervågen and Control Site 2 across the bay (Inset: Hjelmås (red dot) on the west coast of Norway). (B) The 12 stations are arranged as orthogonal transects from the center (Map source: Google maps). Images showing the Hjelmås site above (C) and below the surface (D). (E) Bathymetric mapping showing underwater terrain and site depths (depths in Table 1).
Environments 12 00356 g001
Figure 2. Metal concentrations in sediments collected from the tire dump (Hj6–12) and control site (C1, C2) (mean values ± standard deviation, n = 3). (A): Total metal concentrations, (B): Zn concentrations, (C): Pb concentrations, and (D): Cu concentrations. * denotes significant difference from control at 0.05, ** denotes significant difference from control at 0.01 (one-way ANOVA, post hoc Tukey test). Full dataset for metal analysis available in Table S2 (Supplemental Materials).
Figure 2. Metal concentrations in sediments collected from the tire dump (Hj6–12) and control site (C1, C2) (mean values ± standard deviation, n = 3). (A): Total metal concentrations, (B): Zn concentrations, (C): Pb concentrations, and (D): Cu concentrations. * denotes significant difference from control at 0.05, ** denotes significant difference from control at 0.01 (one-way ANOVA, post hoc Tukey test). Full dataset for metal analysis available in Table S2 (Supplemental Materials).
Environments 12 00356 g002
Figure 3. Phthalate concentrations in sediments collected from the tire dump (Hj6–12) and control sites (C1, C2). (A): Shows no relationship between distance from the tire dump and total phthalate concentration, (B): concentrations of phthalates in sediments.
Figure 3. Phthalate concentrations in sediments collected from the tire dump (Hj6–12) and control sites (C1, C2). (A): Shows no relationship between distance from the tire dump and total phthalate concentration, (B): concentrations of phthalates in sediments.
Environments 12 00356 g003
Figure 4. Schematic representation of data-processing steps following non-target analysis, and the resulting list of 20 purported tire-derived compounds.
Figure 4. Schematic representation of data-processing steps following non-target analysis, and the resulting list of 20 purported tire-derived compounds.
Environments 12 00356 g004
Figure 5. Heatmap of LC–HRMS features detected across all sampling sites (based on chromatographic areas), with samples ordered by hierarchical clustering. The dendrogram illustrates the grouping of stations based on the similarity of their chemical profiles (20 suspected compounds).
Figure 5. Heatmap of LC–HRMS features detected across all sampling sites (based on chromatographic areas), with samples ordered by hierarchical clustering. The dendrogram illustrates the grouping of stations based on the similarity of their chemical profiles (20 suspected compounds).
Environments 12 00356 g005
Table 1. Locations of sampling site at Hjelmås tire dump and control sites.
Table 1. Locations of sampling site at Hjelmås tire dump and control sites.
Site Name Latitude LongitudeDepth (m)Position
Hj 1N60 35.549′E5 21.922′7.8Tire dump center
Hj 2N60 35.548′E5 21.915′8.6First ring—5 m West
Hj 3N60 35.545′E5 21.924′9.6First ring—5 m South
Hj 4N60 35.549′E5 21.931′10.2First ring—5 m East
Hj 5N60 35.552′E5 21.922′8.0First ring—5 m North
Hj 6N60 35.546′E5 21.906′4.4Second ring—15–20 m West
Hj 7N60 35.540′E5 21.924′11.2Second ring—15–20 m South
Hj 8N60 35.550′E5 21.941′16Second ring—15–20 m East
Hj 9N60 35.556′E5 21.921′5.1Second ring—15–20 m North
Hj10N60 35.529′E5 21.934′13.0Third ring—50–80 m South
Hj 11N60 35.560′E5 21.991′15.0Third ring—50–80 m East
Hj 12N60 35.588′E5 21.952′6.1Third ring—50–80 m North
Control 1N60 35.671′E5 24.318′31.0Next bay at Eikangervågen (2.2 km from Hj1)
Control 2N60 35.560′E5 22.987′36.0Hjelmåsvågen (1 km from Hj1)
Table 2. Tire-derived chemicals identified by non-target analysis and confirmed in the literature.
Table 2. Tire-derived chemicals identified by non-target analysis and confirmed in the literature.
Chemical Use in TiresReference
N,N′-Diphenylguanidine (DPG) A sulfur vulcanization accelerator used in tires to promote crosslinking; known to appear in tire leachate Siewert et al., 2020 [23];
Johannessen et al., 2021 [22]
HexamethylenetetramineOrganic compound used as a vulcanization acceleratorLeach et al., 1926 [47]
N,N-DimethylanilineDerivative of aniline, a degradation of amine-based tire additiveSun et al., 2024 [48]
Diisobutyl phthalatePhthalate commonly found in tire and rubber additive mixesU.S. EPA & CDC/ATSDR. (2019) [49]
Bis(3,5,5-trimethylhexyl) phthalatePhthalate commonly found in tire and rubber additive mixesU.S. EPA & CDC/ATSDR. (2019) [49]
Disclaimer/Publisher’s Note: The statements, opinions and data contained in all publications are solely those of the individual author(s) and contributor(s) and not of MDPI and/or the editor(s). MDPI and/or the editor(s) disclaim responsibility for any injury to people or property resulting from any ideas, methods, instructions or products referred to in the content.

Share and Cite

MDPI and ACS Style

Jaén-Gil, A.; Tisserand, A.A.; Santos, L.H.M.L.M.; Rodríguez-Mozaz, S.; Gomiero, A.; Langeland, E.; Khan, F.R. Legacy of Chemical Pollution from an Underwater Tire Dump in Alver Municipality, Norway: Implication for the Persistence of Tire-Derived Chemicals and Site Remediation. Environments 2025, 12, 356. https://doi.org/10.3390/environments12100356

AMA Style

Jaén-Gil A, Tisserand AA, Santos LHMLM, Rodríguez-Mozaz S, Gomiero A, Langeland E, Khan FR. Legacy of Chemical Pollution from an Underwater Tire Dump in Alver Municipality, Norway: Implication for the Persistence of Tire-Derived Chemicals and Site Remediation. Environments. 2025; 12(10):356. https://doi.org/10.3390/environments12100356

Chicago/Turabian Style

Jaén-Gil, Adrián, Amandine A. Tisserand, Lúcia H. M. L. M. Santos, Sara Rodríguez-Mozaz, Alessio Gomiero, Eirik Langeland, and Farhan R. Khan. 2025. "Legacy of Chemical Pollution from an Underwater Tire Dump in Alver Municipality, Norway: Implication for the Persistence of Tire-Derived Chemicals and Site Remediation" Environments 12, no. 10: 356. https://doi.org/10.3390/environments12100356

APA Style

Jaén-Gil, A., Tisserand, A. A., Santos, L. H. M. L. M., Rodríguez-Mozaz, S., Gomiero, A., Langeland, E., & Khan, F. R. (2025). Legacy of Chemical Pollution from an Underwater Tire Dump in Alver Municipality, Norway: Implication for the Persistence of Tire-Derived Chemicals and Site Remediation. Environments, 12(10), 356. https://doi.org/10.3390/environments12100356

Note that from the first issue of 2016, this journal uses article numbers instead of page numbers. See further details here.

Article Metrics

Back to TopTop