The Influence of Herd Mentality on Rating Bias and Popularity Bias: A Bi-Process Debiasing Recommendation Model Based on Matrix Factorization
Abstract
1. Introduction
1.1. Herd Mentality
1.2. Rating Bias
1.3. Popularity Bias
1.4. Related Research from the Perspective of Data
1.5. Related Research from the Perspective of the Model
1.6. Contribution of This Paper
- By taking the rating bias in the data as an entry point, considering that the user’s rating behavior can easily be affected by herd mentality, and integrating the characteristics of different user age groups, the K-times parabolic fuzzy distribution is used to adjust the user’s historical rating information to reduce the rating bias.
- With the popularity bias in the model as the starting point, the continuously increasing flow and popularity of the item are considered, and by incorporating the debiased-rating as the weight to optimize the model, the scoring bias and popularity bias are reduced.
- The psychological line is introduced as a proxy tool for studying user emotions, and the popularity index is introduced as a proxy tool for item popularity. The psychological tendencies of users are divided into three levels: strong, medium, and weak, and different weighting strategies are adopted for different levels to ensure the balance between recommendation utility and debias effect.
2. Materials and Methods
2.1. Preliminaries
2.1.1. Psychological Line
2.1.2. Sentiment Indicators
2.1.3. K-Order Parabolic Fuzzy Distribution
2.2. Model Building
2.2.1. Similarity Measurement Model Based on K-Order Parabolic Fuzzy Distribution
2.2.2. Loss Function Based on Continuously Increasing Flow and Popularity
2.2.3. Recommendation Model Based on User Emotion and Item Popularity
3. Results
3.1. Experimental Preparation
3.1.1. Experimental Dataset
3.1.2. Evaluation Metrics
- Recommendation utility
- 2.
- Recommendation bias
3.2. Psychological Tendency Parameter Settings
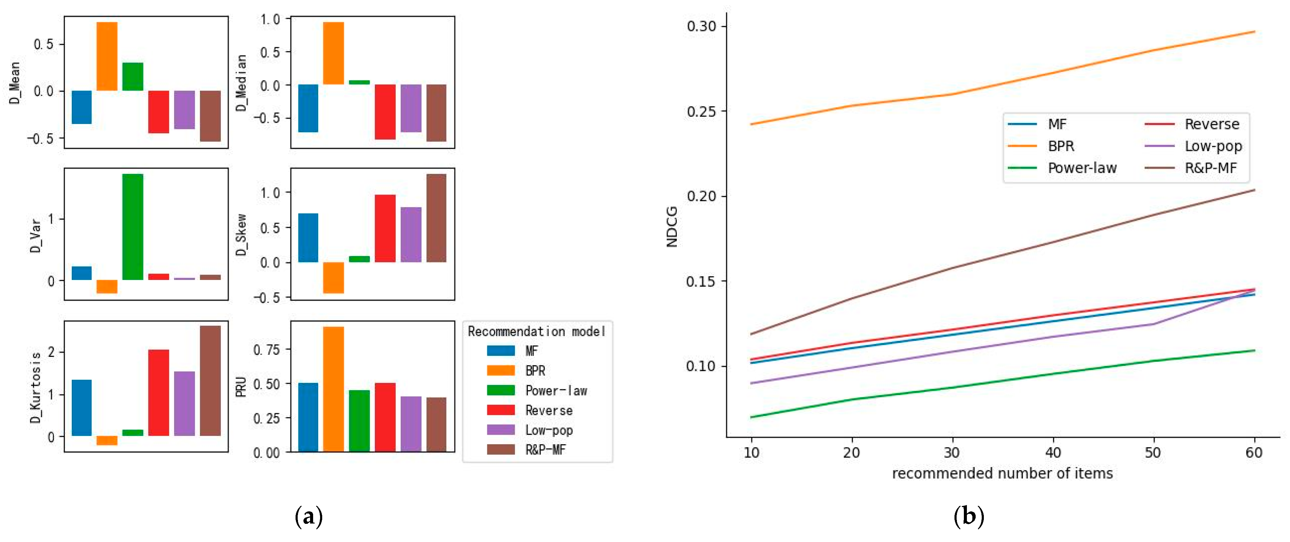
3.3. Comparative Experiment
- (A)
- MF [46]: Matrix factorization is one of the most commonly used recommendation models due to its good recommendation performance. It reduces the dimension of the rating matrix, obtains the mapping of users and items in the hidden factor space, and uses the latent factor matrix to predict the user rating.
- (B)
- BPR [47]: Pairwise ranking recommendation model based on the Bayesian formula has good performance in dealing with implicit feedback. It assumes that different users have independent preferences and the same user has independent preferences for different items, and constructs user-item interaction behaviors in the form of triples to predict user preferences.
- (C)
- Power-law [32]: A hierarchical test of popularity based on power-law distribution, which assigns weights to the observable ratings of items in the training data, aiming to assign items with low popularity to higher ratings, so that they can obtain higher recommendation rankings in training.
- (D)
- Reverse [32]: Similar to reverse propensity weighting, the original data sample is rescaled according to the popularity of the items to uniformly boost the ratings of low-popularity items.
- (E)
- Low-pop [37]: The items with low popularity are compensated for popularity according to the degree of user preference and the scale of user value. The lower the popularity of the item, the more compensation is obtained.
4. Discussion
5. Conclusions
5.1. Based on Model
5.2. Implications
5.2.1. Strengthen the Quality of High-Popularity Commodities
5.2.2. Ensure the Quality of Low-Popularity Commodities
5.2.3. Pay Attention to Users’ Curiosity
5.2.4. Pay Attention to Users’ Boredom
5.2.5. Pay Attention to Users’ Preferences
Author Contributions
Funding
Institutional Review Board Statement
Informed Consent Statement
Data Availability Statement
Conflicts of Interest
References
- Xu, Y.; Yang, Y.; Wang, E.; Han, J.; Zhuang, F.; Yu, Z.; Xiong, H. Neural serendipity recommendation: Exploring the balance between accuracy and novelty with sparse explicit feedback. ACM Trans. Knowl. Discov. Data 2020, 14, 1–25. [Google Scholar] [CrossRef]
- Mansoury, M.; Abdollahpouri, H.; Pechenizkiy, M.; Mobasher, B.; Burke, R. A Graph-Based Approach for Mitigating Multi-Sided Exposure Bias in Recommender Systems. ACM Trans. Inf. Syst. 2021, 40, 1–31. [Google Scholar] [CrossRef]
- Zhou, C.; Ma, J.; Zhang, J.; Zhou, J.; Yang, H. Contrastive Learning for Debiased Candidate Generation in Large-Scale Recommender Systems. In Proceedings of the 27th ACM SIGKDD Conference on Knowledge Discovery & Data Mining, Virtual Event, Singapore, 14 August 2021. [Google Scholar]
- Nguyen, T.T.; Hui, P.-M.; Harper, F.M.; Terveen, L.; Konstan, J.A. Exploring the Filter Bubble: The Effect of Using Recommender Systems on Content Diversity. In Proceedings of the 23rd International Conference on World Wide Web—WWW’14, Seoul, Republic of Korea, 7 April 2014. [Google Scholar]
- Lee, M.K.; Jain, A.; Cha, H.J.; Ojha, S.; Kusbit, D. Procedural Justice in Algorithmic Fairness: Leveraging Transparency and Outcome Control for Fair Algorithmic Mediation. Proc. ACM Hum. Comput. Interact 2019, 3, 1–26. [Google Scholar] [CrossRef]
- Wang, Y.; Ma, W.; Zhang, M.; Liu, Y.; Ma, S. A Survey on the Fairness of Recommender Systems. ACM Trans. Inf. Syst. 2022, 37, 4. [Google Scholar] [CrossRef]
- Chen, J.; Dong, H.; Wang, X.; Feng, F.; Wang, M.; He, X. Bias and Debias in Recommender System: A Survey and Future Directions. arXiv 2020, arXiv:2010.03240. [Google Scholar] [CrossRef]
- Liu, Y.; Cao, X.; Yu, Y. Are you influenced by others when rating? Improve rating prediction by conformity modeling. In Proceedings of the 10th ACM Conference on Recommender Systems, Boston, MA, USA, 7 September 2016. [Google Scholar]
- Abdollahpouri, H.; Mansoury, M. Multi-sided Exposure Bias in Recommendation. In Proceedings of the ACM KDD Workshop on Industrial Recommendation Systems, San Diego, CA, USA, 29 June 2020. [Google Scholar]
- Zhang, Y.; Feng, F.; He, X.; Wei, T.; Song, C.; Ling, G.; Zhang, Y. Causal Intervention for Leveraging Popularity Bias in Recommendation. In Proceedings of the 44th International ACM SIGIR Conference on Research and Development in Information Retrieval, Virtual Event, Montreal, QC, Canada, 11 July 2021. [Google Scholar]
- Chen, J.; Wang, X.; Feng, F.; He, X. Bias Issues and Solutions in Recommender System. In Proceedings of the Fifteenth ACM Conference on Recommender Systems, Amsterdam, The Netherlands, 13 September 2021. [Google Scholar]
- Huang, Q.; Jiang, A.; Zeng, Y.; Xu, J. Community Flexible Load Dispatching Model Based on Herd Mentality. Energies 2022, 15, 4546. [Google Scholar] [CrossRef]
- Sun, H. A Longitudinal Study of Herd Behavior in the Adoption and Continued Use of Technology. MIS Q. 2013, 37, 1013–1041. [Google Scholar] [CrossRef]
- Vedadi, A.; Warkentin, M. Can Secure Behaviors Be Contagious? A Two-Stage Investigation of the Influence of Herd Behavior on Security Decisions. J. Assoc. Inf. Syst. 2020, 21, 3. [Google Scholar] [CrossRef]
- Triandis, H.C. Values, attitudes, and interpersonal behavior. Neb. Symp. Motiv. 1979, 27, 195–259. [Google Scholar]
- Thompson, R.L.; Higgins, C.A.; Howell, J.M. Personal Computing: Toward a Conceptual Model of Utilization. MIS Q. 1991, 15, 125–143. [Google Scholar] [CrossRef]
- Krishnan, S.; Patel, J.; Franklin, M.J.; Goldberg, K. A Methodology for Learning, Analyzing, and Mitigating Social Influence Bias in Recommender Systems. In Proceedings of the 8th ACM Conference on Recommender Systems, Foster City, CA, USA, 6 October 2014. [Google Scholar]
- Chaney, A.J.B.; Blei, D.M.; Eliassi-Rad, T. A Probabilistic Model for Using Social Networks in Personalized Item Recommendation. In Proceedings of the 9th ACM Conference on Recommender Systems, Vienna, Austria, 16 September 2015. [Google Scholar]
- Wang, X.; Hoi, S.C.H.; Ester, M.; Bu, J.; Chen, C. Learning Personalized Preference of Strong and Weak Ties for Social Recommendation. In Proceedings of the 26th International Conference on World Wide Web, Perth, Australia, 3 April 2017. [Google Scholar]
- Adomavicius, G.; Bockstedt, J.C.; Curley, S.P.; Zhang, J. Reducing Recommender Systems Biases: An Investigation of Rating Display Designs. MIS Q. 2019, 43, 19-18. [Google Scholar]
- Liu, Y.; Ge, K.; Zhang, X.; Lin, L. Real-time Attention Based Look-alike Model for Recommender System. In Proceedings of the 25th ACM SIGKDD International Conference on Knowledge Discovery & Data Mining, Anchorage, AK, USA, 25 July 2019. [Google Scholar]
- Jadidinejad, A.H.; Macdonald, C.; Ounis, I. The Simpson’s Paradox in the Offline Evaluation of Recommendation Systems. ACM Trans. Inf. Syst. 2021, 40, 1–22. [Google Scholar] [CrossRef]
- Abdollahpouri, H.; Adomavicius, G.; Burke, R.; Guy, I.; Jannach, D.; Kamishima, T.; Krasnodebski, J.; Pizzato, L. Multistakeholder recommendation: Survey and research directions. User Model User-Adap. 2020, 30, 127–158. [Google Scholar] [CrossRef]
- Jannach, D.; Lerche, L.; Kamehkhosh, I.; Jugovac, M. What recommenders recommend: An analysis of recommendation biases and possible countermeasures. User Model User-Adap. 2015, 25, 427–491. [Google Scholar] [CrossRef]
- Saito, Y. Asymmetric Tri-training for Debiasing Missing-not-at-Random Explicit Feedback. In Proceedings of the 43rd International ACM SIGIR Conference on Research and Development in Information Retrieval, Virtual Event, China, 25 July 2020; Available online: https://dl.acm.org/doi/abs/10.1145/3397271.3401114 (accessed on 16 September 2022).
- Sreepada, R.S.; Patra, B.K. Enhancing long tail item recommendation in collaborative filtering: An econophysics-inspired approach. Electron. Commer. Res. Appl. 2021, 49, 101089. [Google Scholar] [CrossRef]
- Sipos, R.; Ghosh, A.; Joachims, T. Was This Review Helpful to You? It Depends! Context and Voting Patterns in Online Content. In Proceedings of the 23rd international conference on World wide web—WWW’14, Seoul, Republic of Korea, 7 April 2014. [Google Scholar]
- Cosley, D.; Lam, S.K.; Albert, I.; Konstan, J.A.; Riedl, J. Is seeing believing? How recommender system interfaces affect users’ opinions. In Proceedings of the Conference on Human Factors in Computing Systems—CHI’03, Ft. Lauderdale, FL, USA, 5 April 2003. [Google Scholar]
- Adomavicius, G.; Bockstedt, J.C.; Curley, S.P.; Zhang, J. Do Recommender Systems Manipulate Consumer Preferences? A Study of Anchoring Effects. Inf. Syst. Res. 2013, 24, 956–975. [Google Scholar] [CrossRef]
- Adomavicius, G.; Bockstedt, J.C.; Curley, S.P.; Zhang, J. Effects of Online Recommendations on Consumers’ Willingness to Pay. Inf. Syst. Res. 2018, 29, 84–102. [Google Scholar] [CrossRef]
- Sreepada, R.S.; Patra, B.K. Mitigating long tail effect in recommendations using few shot learning technique. Expert Syst. Appl. 2020, 140, 112887. [Google Scholar] [CrossRef]
- Steck, H. Item Popularity and Recommendation Accuracy. In Proceedings of the Fifth ACM Conference on Recommender Systems, Chicago, IL, USA, 23 October 2011. [Google Scholar]
- Liu, D.; Cheng, P.; Zhu, H.; Dong, Z.; He, X.; Pan, W.; Ming, Z. Mitigating Confounding Bias in Recommendation via Information Bottleneck. In Proceedings of the Fifteenth ACM Conference on Recommender Systems, Amsterdam, The Netherlands, 13 September 2021. [Google Scholar]
- Mena-Maldonado, E.; Cañamares, R.; Castells, P.; Ren, Y.; Sanderson, M. Popularity Bias in False-positive Metrics for Recommender Systems Evaluation. ACM Trans. Inf. Syst. 2021, 39, 1–43. [Google Scholar] [CrossRef]
- Carraro, D.; Bridge, D. A sampling approach to Debiasing the offline evaluation of recommender systems. J. Intell. Inf. Syst. 2022, 58, 311–336. [Google Scholar] [CrossRef]
- Bhadani, S. Biases in Recommendation System. In Proceedings of the Fifteenth ACM Conference on Recommender Systems, Amsterdam, The Netherlands, 27 September–1 October 2021. [Google Scholar]
- Zhu, Z.; He, Y.; Zhao, X.; Zhang, Y.; Wang, J.; Caverlee, J. Popularity-Opportunity Bias in Collaborative Filtering. In Proceedings of the 14th ACM International Conference on Web Search and Data Mining, Virtual Event, Israel, 8 March 2021; Available online: https://dl.acm.org/doi/proceedings/10.1145/3437963 (accessed on 16 September 2022).
- Abdollahpouri, H.; Burke, R.; Mobasher, B. Managing Popularity Bias in Recommender Systems with Personalized Re-ranking. In Proceedings of the Thirty-Second International Flairs Conference, Sarasota, FL, USA, 18 May 2019. [Google Scholar]
- Zadeh, L.A. Fuzzy sets. Inf. Control. 1965, 8, 338–353. [Google Scholar] [CrossRef]
- Al-Shamri, M.Y.H.; Bharadwaj, K.K. Fuzzy-genetic approach to recommender systems based on a novel hybrid user model. Expert Syst. Appl. 2008, 35, 1386–1399. [Google Scholar] [CrossRef]
- Hsieh, T.; Wang, T.; Su, C.; Lee, M. A Fuzzy Logic-based Personalized Learning System for Supporting Adaptive English Learning. Educ. Technol. Soc. 2012, 15, 273–288. [Google Scholar]
- Zimmermann, H.J. Fuzzy Set Theory and Its Applications; Kluwer: Boston, MA, USA, 1991. [Google Scholar]
- Kant, V.; Bharadwaj, K.K. Enhancing Recommendation Quality of Content-based Filtering through Collaborative Predictions and Fuzzy Similarity Measures. Procedia Eng. 2012, 38, 939–944. [Google Scholar] [CrossRef]
- Harper, F.M.; Konstan, J.A. The MovieLens Datasets History and Context. ACM Acm Trans. Interact. Intell. Syst. 2016, 5, 1–19. [Google Scholar] [CrossRef]
- Lesota, O.; Melchiorre, A.; Rekabsaz, N.; Brandl, S.; Kowald, D.; Lex, E.; Schedl, M. Analyzing Item Popularity Bias of Music Recommender Systems: Are Different Genders Equally Affected? In Proceedings of the Fifteenth ACM Conference on Recommender Systems, Amsterdam, The Netherlands, 27 September–1 October 2021. [Google Scholar]
- Koren, Y.; Bell, R.; Volinsky, C. Matrix factorization techniques for recommender systems. Computer 2009, 42, 30–37. [Google Scholar] [CrossRef]
- Rendle, S.; Freudenthaler, C.; Gantner, Z.; Schmidt-Thiem, L. BPR: Bayesian personalized ranking from implicit feedback. In Proceedings of the Twenty-Fifth Conference on Uncertainty in Artificial Intelligence, Montreal, QC, Canada, 18–21 June 2009. [Google Scholar]

| Dataset | Movielens-100 k | ||
|---|---|---|---|
| Users | 943 | Ratings | 100,000 |
| Items | 1682 | Density | 6.3% |
| Average Popularity | 59.45 | Age distribution | 7~73 |
| PRU | NDCG@60 | |||
|---|---|---|---|---|
| 0.8 | 0.1 | 0.1 | 0.4821 | 0.2073 |
| 0.7 | 0.1 | 0.2 | 0.3933 | 0.2033 |
| 0.2 | 0.1 | 0.4777 | 0.2052 | |
| 0.6 | 0.1 | 0.3 | 0.3501 | 0.1838 |
| 0.2 | 0.2 | 0.4060 | 0.1929 | |
| 0.3 | 0.1 | 0.4677 | 0.1832 | |
| 0.5 | 0.1 | 0.4 | 0.2506 | 0.1546 |
| 0.2 | 0.3 | 0.3258 | 0.1665 | |
| 0.3 | 0.2 | 0.4042 | 0.1566 | |
| 0.4 | 0.1 | 0.4301 | 0.1245 |
Disclaimer/Publisher’s Note: The statements, opinions and data contained in all publications are solely those of the individual author(s) and contributor(s) and not of MDPI and/or the editor(s). MDPI and/or the editor(s) disclaim responsibility for any injury to people or property resulting from any ideas, methods, instructions or products referred to in the content. |
© 2023 by the authors. Licensee MDPI, Basel, Switzerland. This article is an open access article distributed under the terms and conditions of the Creative Commons Attribution (CC BY) license (https://creativecommons.org/licenses/by/4.0/).
Share and Cite
Su, X.; Li, P.; Zhu, X. The Influence of Herd Mentality on Rating Bias and Popularity Bias: A Bi-Process Debiasing Recommendation Model Based on Matrix Factorization. Behav. Sci. 2023, 13, 63. https://doi.org/10.3390/bs13010063
Su X, Li P, Zhu X. The Influence of Herd Mentality on Rating Bias and Popularity Bias: A Bi-Process Debiasing Recommendation Model Based on Matrix Factorization. Behavioral Sciences. 2023; 13(1):63. https://doi.org/10.3390/bs13010063
Chicago/Turabian StyleSu, Xinjie, Peng Li, and Xinru Zhu. 2023. "The Influence of Herd Mentality on Rating Bias and Popularity Bias: A Bi-Process Debiasing Recommendation Model Based on Matrix Factorization" Behavioral Sciences 13, no. 1: 63. https://doi.org/10.3390/bs13010063
APA StyleSu, X., Li, P., & Zhu, X. (2023). The Influence of Herd Mentality on Rating Bias and Popularity Bias: A Bi-Process Debiasing Recommendation Model Based on Matrix Factorization. Behavioral Sciences, 13(1), 63. https://doi.org/10.3390/bs13010063

