The Relationship between Resiliency, Psychological Empowerment, and Teacher Burnout across Different Genders: A Psychological Network Analysis
Abstract
1. Introduction
1.1. The Effects of Resiliency on TB
1.2. The Effects of Psychological Empowerment on TB
1.3. Gender Differences in TB
1.4. Psychological Network Analysis
1.5. The Current Study
2. Methods
2.1. Participants
2.2. Measures
2.3. TB
2.4. Resiliency
2.5. PE
2.6. Procedure
2.7. Statistical Analysis
3. Results
3.1. Results of Descriptive the Sample
3.2. Gender Difference in Network Estimation
3.3. Gender Difference in Network Stability and Accuracy
3.4. Gender Difference in Edges and Centrality
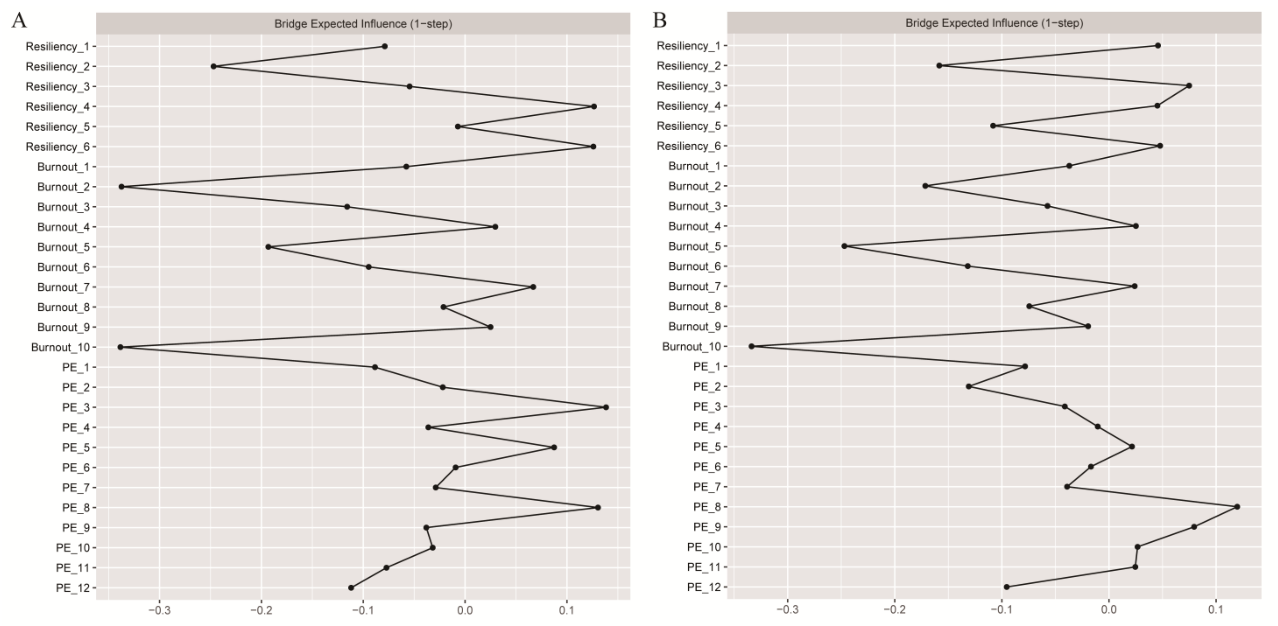
3.5. Gender Difference in Bridge’ Centrality
4. Discussion
4.1. Gender Differences in Core Network Symptoms
4.2. Gender Differences in the Connections between Symptoms
4.3. Gender Differences in Bridge Centrality of Network
4.4. Implications
4.5. Limitations and Future Research
5. Conclusions
Supplementary Materials
Author Contributions
Funding
Institutional Review Board Statement
Informed Consent Statement
Data Availability Statement
Conflicts of Interest
References
- Schaufeli, W.B.; Leiter, M.P.; Maslach, C. Burnout: 35 Years of Research and Practice. Career Dev. Int. 2009, 14, 204–220. [Google Scholar] [CrossRef]
- Gabriel, K.P.; Aguinis, H. How to Prevent and Combat Employee Burnout and Create Healthier Workplaces during Crises and Beyond. Bus. Horiz. 2022, 65, 183–192. [Google Scholar] [CrossRef]
- Salvagioni, D.A.J.; Melanda, F.N.; Mesas, A.E.; González, A.D.; Gabani, F.L.; Andrade, S.M.D. Physical, Psychological and Occupational Consequences of Job Burnout: A Systematic Review of Prospective Studies. PLoS ONE 2017, 12, e0185781. [Google Scholar] [CrossRef] [PubMed]
- Alsalhe, T.A.; Chalghaf, N.; Guelmami, N.; Azaiez, F.; Bragazzi, N.L. Occupational Burnout Prevalence and Its Determinants among Physical Education Teachers: A Systematic Review and Meta-Analysis. Front. Hum. Neurosci. 2021, 15, 553230. [Google Scholar] [CrossRef]
- Dollard, N.; Christensen, L.; Colucci, K.; Epanchin, B. Constructive Classroom Management. Focus Except. Child. 2017, 29, 1–12. [Google Scholar] [CrossRef]
- Lee, S.; Tsang, A.; Kwok, K. Stress and Mental Disorders in a Representative Sample of Teachers during Education Reform in Hong Kong. J. Psychol. Chin. Soc. 2007, 8, 159–178. [Google Scholar]
- Agyapong, B.; Obuobi-Donkor, G.; Burback, L.; Wei, Y. Stress, Burnout, Anxiety and Depression among Teachers: A Scoping Review. Int. J. Environ. Res. Public Health 2022, 19, 10706. [Google Scholar] [CrossRef]
- Călin, M.F.; Tasențe, T.; Seucea, A. The Effects of Burnout on the Professional Activity of Teachers. Tech. Soc. Sci. J. 2022, 34, 430–440. [Google Scholar] [CrossRef]
- Guidetti, G.; Viotti, S.; Hindrichs, I.; Camacho-Avila, A.; Girardo, C.; Simon, D.C.; Converso, D. Quality of Life in the School Context: The Relationship between Teachers’ and Students’ Wellbeing. Mediterr. J. Soc. Sci. 2018, 9, 117–127. [Google Scholar] [CrossRef]
- García-Carmona, M.; Marín, M.; Aguayo, R. Burnout Syndrome in Secondary School Teachers: A Systematic Re-view and Meta-Analysis. Soc. Psychol. Educ. 2018, 22, 189–208. [Google Scholar] [CrossRef]
- Koutsimani, P.; Montgomery, A.; Georganta, K. The Relationship between Burnout, Depression, and Anxiety: A Systematic Review and Meta-Analysis. Front. Psychol. 2019, 10, 429219. [Google Scholar] [CrossRef] [PubMed]
- Wong, A.V.K.; Olusanya, O. Burnout and Resilience in Anaesthesia and Intensive Care Medicine. BJA Educ. 2017, 17, 334–340. [Google Scholar] [CrossRef]
- Gu, Q.; Day, C. Challenges to Teacher Resilience: Conditions Count. Br. Educ. Res. J. 2013, 39, 22–44. [Google Scholar] [CrossRef]
- Rees, C.S.; Breen, L.J. Understanding Individual Resilience in the Workplace: The International Collaboration of Workforce Resilience Model. Front. Psychol. 2015, 6, 120601. [Google Scholar] [CrossRef]
- Lam, C.; Kim, Y.; Cruz, M.; Vidimos, A.T.; Billingsley, E.M.; Miller, J.J. Burnout and Resiliency in Mohs Surgeons: A Survey Study. Int. J. Women’s Dermatol. 2021, 7, 319–322. [Google Scholar] [CrossRef]
- Richards, K.A.R.; Levesque-Bristol, C.; Templin, T.J.; Graber, K.C. The Impact of Resilience on Role Stressors and Burnout in Elementary and Secondary Teachers. Soc. Psychol. Educ. 2016, 19, 511–536. [Google Scholar] [CrossRef]
- Liu, F.; Chen, H.; Xu, J.; Wen, Y.; Fang, T. Exploring the Relationships between Resilience and Turnover Intention in Chinese High School Teachers: Considering the Moderating Role of Job Burnout. Int. J. Environ. Res. Public Health 2021, 18, 6418. [Google Scholar] [CrossRef] [PubMed]
- Polat, H.; Karakose, T.; Ozdemir, T.Y.; Tülübaş, T.; Yirci, R.; Demirkol, M. An Examination of the Relationships between Psychological Resilience, Organizational Ostracism, and Burnout in K–12 Teachers through Structural Equation Modelling. Behav. Sci. 2023, 13, 164. [Google Scholar] [CrossRef]
- Burić, I.; Slišković, A.; Penezić, Z. Understanding Teacher Well-Being: A Cross-Lagged Analysis of Burnout, Negative Student-Related Emotions, Psychopathological Symptoms, and Resilience. Educ. Psychol. 2019, 39, 1136–1155. [Google Scholar] [CrossRef]
- Chen, J.; Chi-Kin Lee, J. Teacher Resilience Matters: A Buffering and Boosting Effect between Job Driving Factors and Their Well-Being and Job Performance. Teach. Teach. 2022, 28, 890–907. [Google Scholar] [CrossRef]
- Gu, Q. Worlds. In Resilience in Education: Concepts, Contexts and Connections; Springer: Berlin/Heidelberg, Germany, 2018; pp. 13–33. [Google Scholar] [CrossRef]
- Beltman, S.; Mansfield, C.; Price, A. Thriving Not Just Surviving: A Review of Research on Teacher Resilience. Educ. Res. Rev. 2011, 6, 185–207. [Google Scholar] [CrossRef]
- Spreitzer, G.M. Psychological Empowerment in the Workplace: Dimensions, Measurement, and Validation. Acad. Manag. J. 1995, 38, 1442–1465. [Google Scholar] [CrossRef]
- Liu, C.; Liu, S.; Yang, S.; Wu, H. Association between Transformational Leadership and Occupational Burnout and the Mediating Effects of Psychological Empowerment in This Relationship among CDC Employees: A Cross-Sectional Study. Psychol. Res. Behav. Manag. 2019, 12, 437–446. [Google Scholar] [CrossRef]
- Tsang, K.K.; Wang, G.; Bai, H. Enabling School Bureaucracy, Psychological Empowerment, and Teacher Burnout: A Mediation Analysis. Sustainability 2022, 14, 2047. [Google Scholar] [CrossRef]
- Kaya, Ç.; Altınkurt, Y. Role of Psychological and Structural Empowerment in the Relationship between Teachers’ Psychological Capital and Their Levels of Burnout. Egitim Ve Bilim 2018, 43, 63–78. [Google Scholar] [CrossRef]
- Ding, J.; Xie, Z. Psychological Empowerment and Work Burnout among Rural Teachers: Professional Identity as a Mediator. Soc. Behav. Personal. 2021, 49, 1–9. [Google Scholar] [CrossRef]
- Ghasemi, F. EFL Teachers’ Burnout and Individual Psychology: The Effect of an Empowering Program and Cognitive Restructuring Techniques. Curr. Psychol. 2023, 42, 295–306. [Google Scholar] [CrossRef]
- Tian, X.; Liu, C.; Zou, G.; Li, G.; Kong, L.; Li, P. Positive Resources for Combating Job Burnout among Chinese Telephone Operators: Resilience and Psychological Empowerment. Psychiatry Res. 2015, 228, 411–415. [Google Scholar] [CrossRef] [PubMed]
- Gupta, M.; Rani, S. Burnout among Secondary School Teachers: An Analysis on the Basis of Type of School, Locality and Gender. Imp. J. Interdiscip. Res. 2017, 3, 221–229. [Google Scholar]
- Watts, J.; Robertson, N. Burnout in University Teaching Staff: A Systematic Literature Review. Educ. Res. 2011, 53, 33–50. [Google Scholar] [CrossRef]
- Chen, S.; Ntim, S.Y.; Zhao, Y.; Qin, J. Characteristics and Influencing Factors of Early Childhood Teachers’ Work Stress and Burnout: A Comparative Study between China, Ghana, and Pakistan. Front. Psychol. 2023, 14, 1115866. [Google Scholar] [CrossRef] [PubMed]
- Mousavy, S.; Nimehchisalem, V. Contribution of Gender, Marital Status, and Age to English Language Teachers’ Burnout. Adv. Lang. Lit. Stud. 2014, 5, 39–47. [Google Scholar] [CrossRef]
- Sánchez-Pujalte, L.; Mateu, D.N.; Etchezahar, E.; Gómez Yepes, T. Teachers’ Burnout during COVID-19 Pandemic in Spain: Trait Emotional Intelligence and Socioemotional Competencies. Sustainability 2021, 13, 7259. [Google Scholar] [CrossRef]
- Levante, A.; Petrocchi, S.; Bianco, F.; Castelli, I.; Lecciso, F. Teachers during the COVID-19 Era: The Mediation Role Played by Mentalizing Ability on the Relationship between Depressive Symptoms, Anxious Trait, and Job Burnout. Int. J. Environ. Res. Public Health 2023, 20, 859. [Google Scholar] [CrossRef] [PubMed]
- Sadeghi, A.; Ofoghi, N.; Niyafar, G.H.; Dadashi, K. Survey of the Relationship between Personality Types and Burnout among Teachers at First Period (Guidance School) and Second Period of High School (Secondary School) in the City of Rasht, Iran. Creat. Educ. 2015, 6, 835. [Google Scholar] [CrossRef][Green Version]
- Sak, R. Gender Differences in Turkish Early Childhood Teachers’ Job Satisfaction, Job Burnout and Organization-al Cynicism. Early Child. Educ. J. 2018, 46, 643–653. [Google Scholar] [CrossRef]
- Corrente, M.; Ferguson, K.; Bourgeault, I.L. Mental Health Experiences of Teachers: A Scoping Review. J. Teach. Learn. 2022, 16, 23–43. [Google Scholar] [CrossRef]
- Johnson, B.; Down, B.; Le Cornu, R.; Peters, J.; Sullivan, A.; Pearce, J.; Hunter, J. Promoting Early Career Teacher Resilience: A Framework for Understanding and Acting. Teach. Teach. 2014, 20, 530–546. [Google Scholar] [CrossRef]
- Baguri, E.M.; Roslan, S.; Hassan, S.A.; Krauss, S.E.; Zaremohzzabieh, Z. How Do Self-Esteem, Dispositional Hope, Crisis Self-Efficacy, Mattering, and Gender Differences Affect Teacher Resilience during COVID-19 School Closures? Int. J. Environ. Res. Public Health 2022, 19, 4150. [Google Scholar] [CrossRef] [PubMed]
- Altınkurt, Y.; Anasız, B.T.; Ekinci, C.E. The Relationships between Structural and Psychological Empowerment of Teachers and Their Organizational Citizenship Behaviors. Educ. Sci. 2016, 41, 79–96. [Google Scholar] [CrossRef]
- Meng, Q.; Sun, F. The Impact of Psychological Empowerment on Work Engagement among University Faculty Members in China. Psychol. Res. Behav. Manag. 2019, 12, 983–990. [Google Scholar] [CrossRef] [PubMed]
- Maslach, C.; Leiter, M.P. Understanding the Burnout Experience: Recent Research and Its Implications for Psychiatry. World Psychiatry 2016, 15, 103–111. [Google Scholar] [CrossRef] [PubMed]
- Contreras, A.; Nieto, I.; Valiente, C.; Espinosa, R.; Vazquez, C. The Study of Psychopathology from the Network Analysis Perspective: A Systematic Review. Psychother. Psychosom. 2019, 88, 71–83. [Google Scholar] [CrossRef] [PubMed]
- Jones, P.J.; Mair, P.; McNally, R.J. Visualizing Psychological Networks: A Tutorial in R. Front. Psychol. 2018, 9, 409080. [Google Scholar] [CrossRef] [PubMed]
- Epskamp, S.; Fried, E.I. A Tutorial on Regularized Partial Correlation Networks. Psychol. Methods 2018, 23, 617–634. [Google Scholar] [CrossRef] [PubMed]
- Borsboom, D.; Deserno, M.K.; Rhemtulla, M.; Epskamp, S.; Fried, E.I.; McNally, R.J.; Robinaugh, D.J.; Perugini, M.; Dalege, J.; Costantini, G.; et al. Network Analysis of Multivariate Data in Psychological Science. Nat. Rev. Methods Primers 2021, 1, 58. [Google Scholar] [CrossRef]
- Fried, E.I.; Eidhof, M.B.; Palic, S.; Costantini, G.; Huisman-van Dijk, H.M.; Bockting, C.L.; Engelhard, I.; Armour, C.; Nielsen, A.B.S.; Karstoft, K.I. Replicability and Generalizability of Posttraumatic Stress Disorder (PTSD) Networks: A Cross-Cultural Multisite Study of PTSD Symptoms in Four Trauma Patient Samples. Clin. Psychol. Sci. 2018, 6, 335–351. [Google Scholar] [CrossRef]
- Xue, D.; Sun, B.; Li, W.; Zhou, H.; Ding, F.; Xiao, W. The Symptom Network Structure of Teachers’ Burnout and Its Connection to Psychological Capital. Psychol. Res. Behav. Manag. 2023, 16, 3503–3518. [Google Scholar] [CrossRef] [PubMed]
- Stamm, B. The Concise ProQOL Manual: The Concise Manual for the Professional Quality of Life Scale, 2nd ed.; ProQOL.org: Pocatello, ID, USA, 2010. [Google Scholar]
- Hevey, D. Network Analysis: A Brief Overview and Tutorial. Health Psychol. Behav. Med. 2018, 6, 301–328. [Google Scholar] [CrossRef] [PubMed]
- Van Borkulo, C.D.; Borsboom, D.; Epskamp, S.; Blanken, T.F.; Boschloo, L.; Schoevers, R.A.; Waldorp, L.J. A New Method for Constructing Networks from Binary Data. Sci. Rep. 2014, 4, 5918. [Google Scholar] [CrossRef]
- Chen, H.; Wang, W. Reliability and Validity of the Chinese Version of the Compassion Fatigue Scale. Chin. Nurs. Manag. 2013, 13, 39–41. [Google Scholar]
- Xiao, W.; Sun, B.; Yu, X.; Xue, D.; Zhou, H. Core Symptoms of Teachers’ Compassion Fatigue and Their Characteristics at Different Career Stages. Sch. Ment. Health 2024, 16, 239–252. [Google Scholar] [CrossRef]
- Yu, X.; Sun, C.; Sun, B.; Yuan, X.; Ding, F.; Zhang, M. The Cost of Caring: Compassion Fatigue Is a Special Form of Teacher Burnout. Sustainability 2022, 14, 6071. [Google Scholar] [CrossRef]
- Zhang, W. Development and Characteristic Analysis of Psychological Capital Questionnaire for Primary and Secondary School Teachers; Southwest University: El Paso, TX, USA, 2010. [Google Scholar]
- Sun, C.; Feng, X.; Sun, B.; Li, W.; Zhong, C. Teachers’ Professional Identity and Burnout among Chinese Female School Teachers: Mediating Roles of Work Engagement and Psychological Capital. Int. J. Environ. Res. Public Health 2022, 19, 13477. [Google Scholar] [CrossRef] [PubMed]
- Li, C.; Li, X.; Shi, K.; Chen, X. Psychological Empowerment: Measurement and Its Effect on Employee Work Attitude in China. Acta Psychol. Sin. 2006, 38, 99–106. [Google Scholar]
- Sun, B.; Zhu, F.; Lin, S.; Sun, J.; Wu, Y.; Xiao, W. How is Professional Identity Associated with Teacher Career Satisfaction? A Cross-Sectional Design to Test the Multiple Mediating Roles of Psychological Empowerment and Work Engagement. Int. J. Environ. Res. Public Health 2022, 19, 9009. [Google Scholar] [CrossRef]
- Epskamp, S.; Borsboom, D.; Fried, E.I. Estimating Psychological Networks and Their Accuracy: A Tutorial Paper. Behav. Res. Methods 2018, 50, 195–212. [Google Scholar] [CrossRef] [PubMed]
- Friedman, J.H.; Hastie, T.; Tibshirani, R. Glasso: Graphical Lasso-Estimation of Gaussian Graphical Models. R Package Version 1.8. 2014. Available online: http://cran.nexr.com/web/packages/glasso/index.html (accessed on 20 September 2024).
- Chen, J.; Chen, Z. Extended Bayesian Information Criteria for Model Selection with Large Model Spaces. Biometrika 2008, 95, 759–771. [Google Scholar] [CrossRef]
- Isvoranu, A.-M.; Epskamp, S. Which Estimation Method to Choose in Network Psychometrics? Deriving Guide-lines for Applied Researchers. Psychol. Methods 2021, 28, 925–946. [Google Scholar] [CrossRef] [PubMed]
- Foygel, R.; Drton, M. Extended Bayesian Information Criteria for Gaussian Graphical Models. Adv. Neural Inf. Process. Syst. 2010, 23, 20200–20208. [Google Scholar]
- Zhang, W.Y.; Wei, Z.W.; Wang, B.H.; Han, X.P. Measuring Mixing Patterns in Complex Networks by Spearman Rank Correlation Coefficient. Phys. A 2016, 451, 440–450. [Google Scholar] [CrossRef]
- Wei, X.Y.; Liang, H.Y.; Gao, T.; Gao, L.F.; Zhang, G.H.; Chu, X.Y.; Wang, H.X.; Geng, J.Y.; Liu, K.; Nie, J.; et al. Preference for Smartphone-Based Internet Applications and Smartphone Addiction Among Young Adult Addicts: Gender Difference in Psychological Network. Soc. Sci. Comput. Rev. 2023, 42, 1–16. [Google Scholar] [CrossRef]
- van Borkulo, C.D.; van Bork, R.; Boschloo, L.; Kossakowski, J.J.; Tio, P.; Schoevers, R.A.; Borsboom, D.; Waldorp, L.J. Comparing Network Structures on Three Aspects: A Permutation Test. Psychol. Methods 2022, 28, 1273–1285. [Google Scholar] [CrossRef] [PubMed]
- Epskamp, S.; Cramer, A.O.J.; Waldorp, L.J.; Schmittmann, V.D.; Borsboom, D. qgraph: Network Visualizations of Relationships in Psychometric Data. J. Stat. Softw. 2012, 48, 1–18. [Google Scholar] [CrossRef]
- Fruchterman, T.M.J.; Reingold, E.M. Graph Drawing by Force-Directed Placement. Softw. Pract. Exp. 1991, 21, 1129–1164. [Google Scholar] [CrossRef]
- Wasserman, S.; Faust, K. Social Network Analysis: Methods and Applications; Cambridge University Press: Cambridge, UK, 1994. [Google Scholar] [CrossRef]
- Richetin, J.; Preti, E.; Costantini, G.; De Panfilis, C. The Centrality of Affective Instability and Identity in Border-line Personality Disorder: Evidence from Network Analysis. PLoS ONE 2017, 12, e0186695. [Google Scholar] [CrossRef] [PubMed]
- Bringmann, L.F.; Elmer, T.; Epskamp, S.; Krause, R.W.; Schoch, D.; Wichers, M.; Wigman, J.T.W.; Snippe, E. What Do Centrality Measures Measure in Psychological Networks? J. Abnorm. Psychol. 2019, 128, 892–903. [Google Scholar] [CrossRef]
- Robinaugh, D.J.; Millner, A.J.; McNally, R.J. Identifying Highly Influential Nodes in the Complicated Grief Network. J. Abnorm. Psychol. 2016, 125, 747–757. [Google Scholar] [CrossRef] [PubMed]
- Jones, P.J.; Ma, R.; McNally, R.J. Bridge Centrality: A Network Approach to Understanding Comorbidity. Multivar. Behav. Res. 2021, 56, 353–367. [Google Scholar] [CrossRef]
- Jones, P. Networktools: Assorted Tools for Identifying Important Nodes in Networks. R Package Version 1.0.0. 2017. Available online: https://CRAN.R-project.org/package=networktools (accessed on 20 September 2024).
- Burger, J.; Isvoranu, A.M.; Lunansky, G.; Haslbeck, J.M.B.; Epskamp, S.; Hoekstra, R.H.A.; Fried, E.I.; Borsboom, D.; Blanken, T.F. Reporting Standards for Psychological Network Analyses in Cross-Sectional Data. Psychol. Methods 2023, 28, 806–824. [Google Scholar] [CrossRef]
- Norhisham, N.; Husain, N.A.; Abas, N.M.; Haza, N.I.F. Factors of Job Burnout among Female Teachers: A Study on Female Secondary School Teachers in a District of Johor. Int. J. Acad. Res. Bus. Soc. Sci. 2021, 11, 456–467. [Google Scholar] [CrossRef] [PubMed]
- Veenman, S. Perceived Problems of Beginning Teachers. Rev. Educ. Res. 1984, 54, 143–178. [Google Scholar] [CrossRef]
- Çakır, M. Investigating Prospective Teachers’ Perceived Problem-Solving Abilities in Relation to Gender, Major, Place Lived, and Locus of Control. Univ. J. Educ. Res. 2017, 5, 1030–1038. [Google Scholar] [CrossRef][Green Version]
- Zee, M.; Koomen, H.M. Teacher Self-Efficacy and Its Effects on Classroom Processes, Student Academic Adjustment, and Teacher Well-Being: A Synthesis of 40 Years of Research. Rev. Educ. Res. 2016, 86, 981–1015. [Google Scholar] [CrossRef]
- Barni, D.; Danioni, F.; Benevene, P. Teachers’ Self-Efficacy: The Role of Personal Values and Motivations for Teaching. Front. Psychol. 2019, 10, 465388. [Google Scholar] [CrossRef] [PubMed]
- Caprara, G.V.; Barbaranelli, C.; Steca, P.; Malone, P.S. Teachers’ Self-Efficacy Beliefs as Determinants of Job Sat-isfaction and Students’ Academic Achievement: A Study at the School Level. J. Sch. Psychol. 2006, 44, 473–490. [Google Scholar] [CrossRef]
- Figley, C.R. Compassion Fatigue as Secondary Traumatic Stress Disorder: An Overview. In Compassion Fatigue: Coping with Secondary Traumatic Stress Disorder in Those Who Treat the Traumatized; Figley, C.R., Ed.; Routledge: New York, NY, USA, 1995. [Google Scholar]
- Brown, S.P.; Biddle, C. Testing a Teacher Costs to Caring Resilience Model to Identify Burnout Mediators. Teach. Teach. Educ. 2023, 127, 104078. [Google Scholar] [CrossRef]
- Aspfors, J.; Bondas, T. Caring about Caring: Newly Qualified Teachers’ Experiences of Their Relationships within the School Community. Teach. Teach. 2013, 19, 243–259. [Google Scholar] [CrossRef]
- Pedditzi, M.L.; Nonnis, M.; Nicotra, E.F. Teacher Satisfaction in Relationships with Students and Parents and Burnout. Front. Psychol. 2021, 12, 703130. [Google Scholar] [CrossRef] [PubMed]
- Khan, S.A. Rights and Responsibilities of Teachers in Islam: A Critical Analysis with Special Reference to the Contemporary Era Teachers of Pakistan. Asian J. Manag. Sci. Educ. 2014, 3, 91–108. [Google Scholar]
- Monsefi, M.; Hadidi, Y. Male and Female EFL Teachers’ Politeness Strategies in Oral Discourse and Their Effects on the Learning Process and Teacher-Student Interaction. Int. J. Stud. Eng. Lang. Lit. (IJSELL) 2015, 3, 1–13. [Google Scholar]
- Xu, Y.; Waniganayake, M. An Exploratory Study of Gender and Male Teachers in Early Childhood Education and Care Centres in China. Compare 2018, 48, 518–534. [Google Scholar] [CrossRef]
- Karayaman, S. The Relationship Between Levels of Conscience, Patience and Psychological Resilience: A Four-Profession Study. Int. J. Eurasia Soc. Sci. (IJOESS) 2023, 14, 1573–1586. [Google Scholar] [CrossRef]
- Watt, H.; Richardson, P.; Wilkins, K. Profiles of Professional Engagement and Career Development Aspirations among USA Preservice Teachers. Int. J. Educ. Res. 2014, 65, 23–40. [Google Scholar] [CrossRef]
- Marpa, E.P. Technology in the Teaching of Mathematics: An Analysis of Teachers’ Attitudes during the COVID-19 Pandemic. Int. J. Stud. Educ. (IJonSE) 2021, 3, 92–102. [Google Scholar] [CrossRef]
- Simpson, R. Men in Non-Traditional Occupations: Career Entry, Career Orientation and Experience of Role Strain. Gend. Work Organ. 2005, 12, 363–380. [Google Scholar] [CrossRef]
- Drake, C. Experience Counts: Career Stage and Teachers’ Responses to Mathematics Education Reform. Educ. Policy 2002, 16, 311–337. [Google Scholar] [CrossRef]
- Suteja, F.; Suteja, S.; Muslihudin, M.; Aris, A.; Abdul, A.; Winarso, W. A Skill Application Model to Improve Teacher Competence and Professionalism. Int. J. Educ. Methodol. 2022, 8, 331–346. [Google Scholar] [CrossRef]
- Singh, I. Pedagogical Advancements through Teacher Professional Development: Impacts on Classroom Instruction and Student Attainment. Glob. Int. Res. Thoughts 2023, 11, 82–86. [Google Scholar] [CrossRef]
- Ryan, R.M.; Deci, E.L. An Overview of Self-Determination Theory: An Organismic Dialectical Perspective. In Handbook of Self-Determination Research; Deci, E.L., Ryan, R.M., Eds.; The University Press of Rochester: Rochester, NY, USA, 2002; pp. 3–36. [Google Scholar]
- Chee, K.H.; Pino, N.W.; Smith, W.L. Gender Differences in the Academic Ethic and Academic Achievement. Coll. Stud. J. 2005, 39, 604–619. [Google Scholar]
- Vogt, F. A Caring Teacher: Explorations into Primary School Teachers’ Professional Identity and Ethic of Care. Gend. Educ. 2002, 14, 251–264. [Google Scholar] [CrossRef]
- Guo, Y.; Justice, L.M.; Sawyer, B.; Tompkins, V. Exploring Factors Related to Preschool Teachers’ Self-Efficacy. Teach. Teach. Educ. 2011, 27, 961–968. [Google Scholar] [CrossRef]
- Karousiou, C.; Hajisoteriou, C.; Angelides, P. Teachers’ Professional Identity in Super-Diverse School Settings: Teachers as Agents of Intercultural Education. Teach. Teach. 2019, 25, 240–258. [Google Scholar] [CrossRef]
- Adekola, B. Gender Differences in the Experience of Work Burnout among University Staff. Afr. J. Bus. Manag. 2010, 4, 886–889. [Google Scholar]
- Zhang, Y.; Tsang, K.K.; Wang, L.; Liu, D. Emotional Labor Mediates the Relationship between Clan Culture and Teacher Burnout: An Examination on Gender Difference. Sustainability 2022, 14, 2260. [Google Scholar] [CrossRef]
- Johnson, N.N.; Fournillier, J.B. Increasing Diversity in Leadership: Perspectives of Four Black Women Educa-tional Leaders in the Context of the United States. J. Educ. Adm. Hist. 2022, 54, 174–192. [Google Scholar] [CrossRef]
- Maheshwari, G. A Review of Literature on Women’s Leadership in Higher Education in Developed Countries and in Vietnam: Barriers and Enablers. Educ. Manag. Adm. Lead. 2023, 51, 1067–1086. [Google Scholar] [CrossRef]
- Msila, V. Obstacles and Opportunities in Women School Leadership: A Literature Study. Int. J. Educ. Sci. 2013, 5, 463–470. [Google Scholar] [CrossRef]
- Shakeshaft, C.; Brown, G.; Irby, B.; Grogan, M.; Ballenger, J. Increasing Gender Equity in Educational Leadership. In Handbook for Achieving Gender Equity through Education; Routledge: New York, NY, USA, 2014; pp. 133–160. [Google Scholar]
- Pianta, R.C. Enhancing Relationships between Children and Teachers; American Psychological Association: Washington, DC, USA, 1999. [Google Scholar] [CrossRef]
- Wuest, D.A.; Subramaniam, P.R. Building Teacher Resilience during a Pandemic and Beyond. Strategies 2021, 34, 8–12. [Google Scholar] [CrossRef]
- Lucas, M.; Bem-Haja, P.; Siddiq, F.; Moreira, A.; Redecker, C. The Relation between In-Service Teachers’ Digital Competence and Personal and Contextual Factors: What Matters Most? Comput. Educ. 2021, 160, 104052. [Google Scholar] [CrossRef]
- Meriç, E. Patience as a Predictor of Teachers’ Classroom Management Skills. Int. Online J. Educ. Teach. (IOJET) 2023, 10, 959–982. [Google Scholar]
- McNally, R.J. Network Analysis of Psychopathology: Controversies and Challenges. Annu. Rev. Clin. Psychol. 2021, 17, 31–53. [Google Scholar] [CrossRef] [PubMed]
- Epskamp, S.; Rhemtulla, M.; Borsboom, D. Generalized Network Psychometrics: Combining Network and Latent Variable Models. Psychometrika 2017, 82, 904–927. [Google Scholar] [CrossRef] [PubMed]



| Men | Women | ||||
|---|---|---|---|---|---|
| M | SD | M | SD | t | |
| Burnout’s total score | 29.06 | 3.47 | 28.77 | 3.50 | 1.65 |
| Burnout 1: I am happy | 2.55 | 0.92 | 2.58 | 0.79 | −0.83 |
| Burnout 2: I feel connected to others | 2.31 | 0.86 | 2.36 | 0.77 | −1.19 |
| Burnout 3: I am not as productive at work because I am losing sleep over traumatic experiences of a person | 3.10 | 1.08 | 2.74 | 0.99 | 6.83 * |
| Burnout 4: I feel trapped by my job as a teacher | 3.29 | 0.97 | 3.12 | 0.88 | 3.52 * |
| Burnout 5: I have beliefs that sustain me | 2.30 | 0.89 | 2.49 | 0.84 | −4.42 * |
| Burnout 6: I am the person I always wanted to be | 2.72 | 0.99 | 2.86 | 0.88 | −2.95 |
| Burnout 7: I feel worn out because of my work as a teacher | 3.54 | 0.94 | 3.52 | 0.88 | 0.52 |
| Burnout 8: I feel overwhelmed because my teaching load seems endless | 3.38 | 0.98 | 3.40 | 0.85 | −0.40 |
| Burnout 9: I feel ‘bogged down’ by the system | 3.42 | 0.96 | 3.15 | 0.97 | 5.33 * |
| Burnout 10: I am a very caring person | 2.46 | 0.94 | 2.54 | 0.83 | −1.77 |
| PE 1: The work I do is very meaningful to me | 3.87 | 0.86 | 3.80 | 0.84 | 1.60 |
| PE 2: What I do at work is very meaningful to me personally | 3.82 | 0.88 | 3.73 | 0.85 | 2.01 |
| PE 3: My work is very important to me | 3.94 | 0.85 | 3.92 | 0.84 | 0.56 |
| PE 4: I can decide for myself how to proceed with my work | 3.73 | 0.90 | 3.69 | 0.85 | 0.85 |
| PE 5: I have a great deal of independence and autonomy in how I complete my work | 3.75 | 0.90 | 3.71 | 0.86 | 0.87 |
| PE 6: I have a lot of autonomy in deciding how to get my work done | 3.63 | 0.95 | 3.61 | 0.89 | 0.52 |
| PE 7: I have acquired the skills needed to do my job | 3.72 | 0.85 | 3.58 | 0.82 | 3.16 * |
| PE 8: I am confident in my ability to do well in all aspects of my job | 3.85 | 0.85 | 3.73 | 0.80 | 2.88 |
| PE 9: I am very confident in my ability to get the job done | 3.90 | 0.82 | 3.75 | 0.80 | 3.75 |
| PE 10: I have a lot of influence over what happens in this department | 3.28 | 1.10 | 3.01 | 1.08 | 4.81 * |
| PE 11: I have a lot of control over what happens in my department | 3.17 | 1.16 | 2.82 | 1.11 | 5.94 * |
| PE 12: I have a significant impact on what happens in my department | 3.04 | 1.23 | 2.67 | 1.17 | 6.00 * |
| Resiliency 1: I will be patient in handling the trivial and complicated matters of teaching work | 4.69 | 1.06 | 4.62 | 1.09 | 1.23 |
| Resiliency 2: I’m often overwhelmed when I’m having trouble teaching | 4.00 | 1.42 | 3.97 | 1.27 | 0.44 |
| Resiliency 3: I can still work calmly after being criticized by leaders | 3.91 | 1.32 | 3.65 | 1.28 | 3.80 * |
| Resiliency 4: I will respond calmly when parents do not understand and cooperate with me in teaching | 4.29 | 1.15 | 4.11 | 1.14 | 3.02 |
| Resiliency 5: I will persist in my work as a teacher even if it is hard and tiring | 4.62 | 1.14 | 4.45 | 1.13 | 2.75 |
| Resiliency 6: I will solve the difficulties in my teaching work no matter what | 4.66 | 1.11 | 4.55 | 1.00 | 2.04 |
Disclaimer/Publisher’s Note: The statements, opinions and data contained in all publications are solely those of the individual author(s) and contributor(s) and not of MDPI and/or the editor(s). MDPI and/or the editor(s) disclaim responsibility for any injury to people or property resulting from any ideas, methods, instructions or products referred to in the content. |
© 2024 by the authors. Licensee MDPI, Basel, Switzerland. This article is an open access article distributed under the terms and conditions of the Creative Commons Attribution (CC BY) license (https://creativecommons.org/licenses/by/4.0/).
Share and Cite
Xue, D.; Sun, B.; Li, W.; Li, X.; Xiao, W. The Relationship between Resiliency, Psychological Empowerment, and Teacher Burnout across Different Genders: A Psychological Network Analysis. Behav. Sci. 2024, 14, 878. https://doi.org/10.3390/bs14100878
Xue D, Sun B, Li W, Li X, Xiao W. The Relationship between Resiliency, Psychological Empowerment, and Teacher Burnout across Different Genders: A Psychological Network Analysis. Behavioral Sciences. 2024; 14(10):878. https://doi.org/10.3390/bs14100878
Chicago/Turabian StyleXue, Danni, Binghai Sun, Weijian Li, Xinwei Li, and Weilong Xiao. 2024. "The Relationship between Resiliency, Psychological Empowerment, and Teacher Burnout across Different Genders: A Psychological Network Analysis" Behavioral Sciences 14, no. 10: 878. https://doi.org/10.3390/bs14100878
APA StyleXue, D., Sun, B., Li, W., Li, X., & Xiao, W. (2024). The Relationship between Resiliency, Psychological Empowerment, and Teacher Burnout across Different Genders: A Psychological Network Analysis. Behavioral Sciences, 14(10), 878. https://doi.org/10.3390/bs14100878

