Abstract
The objectives of this research were: (1) to examine the influence of environmental awareness (EA), sustainable consumption (SC) and social responsibility (SR) on the environmentally responsible purchase intention (ERPI) of consumers in the member countries of the Pacific Alliance, namely, Chile, Colombia, Mexico and Peru; and (2) to analyze whether there is a moderating effect related to the country of residence and gender of the consumer. The study was conducted under a quantitative and cross-sectional approach. The sample consisted of 1646 consumers: 24.4% from Peru (n = 402), 25.4% from Mexico (n = 418), 26.1% from Colombia (n = 401) and 24.1% from Chile (n = 397). Data analysis and hypothesis testing were performed using a multigroup Structural Equation Model (SEM). The results show a positive influence among environmental awareness (EA), sustainable consumption (SC) and social responsibility (SR) on environmentally responsible purchase intention (ERPI). Gender and country of residence were also shown to be moderating variables in these relationships. In conclusion, it can be affirmed that the participants of this study recognize the importance of acquiring environmentally friendly products. Among them, the female population is more aware of this issue. It is recommended new business models be created to provide products and services oriented to this market according to consumers’ tastes, desires and purchasing preferences; the proposals they have should be friendly to the environment and to society.
1. Introduction
The restrictions due to the COVID-19 pandemic have generated a tremendous economic and social impact, altering lifestyles, creating environmental awareness, modifying social actions and promoting new trends in global consumption [1,2,3]. In order to reduce contagion, distancing measures and avoiding real contact between people have driven the exponential growth of electronic commerce, accelerating an undoubted transition toward sustainable development [4,5].
The responsible behavior of people during the pandemic has driven the trend of buying green products among consumers around the world [6,7,8]. Concerns for the environment and the planet’s well-being are increasingly important and relevant debates in a modern society [9], in which lifestyles and healthy behavior of adults are learned from childhood or in early adolescence [10,11]. However, it should be noted that there are sociodemographic factors such as age, gender, educational level, occupation, income level and family size that play an important role in influencing both negatively and positively the behavior of green purchasing by consumers [12,13].
Evidence shows that even low-income families are interested in consuming environmentally friendly products [14]. Therefore, applying green marketing is becoming an essential strategy for business competitiveness, since it allows companies to achieve a good reputation by involving interested parties, especially green consumers [15,16,17].
Green marketing consists of “all activities designed to generate and facilitate any exchange intended to satisfy human needs, so that the satisfaction of these needs and desires occurs, with minimal detrimental impact on the natural environment” [18]. That is to say, it is also about carrying out marketing activities without neglecting the care for the environment. In this sense, it is about promoting the consumption of green products, which refer to those products and services that support the current economic development, conserving the environment for future generations, through the use of products that do not negatively impact the environment [19]. Furthermore, consumer commitment plays a virtual role in increasing this product consumption [16,20]. In this sense, responsible companies, of all sizes, economic sectors and locations, are called upon to guide their marketing strategies to influence customers to consume more respectfully with regard to the environment [21,22,23,24].
Presently, the study related to sustainable consumption is of great interest to researchers from different parts of the world [25,26,27,28]. However, there are no studies carried out in Latin American countries; therefore, there is a need to carry out substantial research that explores the impact of environmental awareness and sustainable consumption on the environmentally responsible purchase intention of consumers in these emerging economies. Therefore, the present study is justified given that no theoretical model has been found in the literature that involves the four variables together. Given its importance for sustainability, our study intends to propose this formative model to explain environmentally responsible purchase intention in Pacific Alliance countries. On the other hand, there are sociodemographic constructions in the literature that can be used as moderator variables when analyzing the profiles of organic consumers; however, issues related to gender and place of residence have received limited attention in environmental studies [29], especially in an emerging market scenario [30]. For this reason, the present study intends to carry out an analysis considering the variables of country and gender in the relationships of the study variables, in this way, reducing this research gap.
In this sense, the study of environmentally responsible consumer behavior contributes to the literature with insights that marketers can use to design more effective green marketing strategies and develop promotional and advertising strategies that encourage responsible consumption by customers. Likewise, it is essential to study the needs and concerns of consumers in general, concerning the responsible purchasing trend that is challenging companies to transform and satisfactorily meet the new demands in the market. On the other hand, this study could be helpful to governments so that they can establish public policies to promote the production and consumption of environmentally responsible products [31,32,33,34].
The environmentally responsible purchase intention (ERPI) has been widely studied taking into account intention theories such as Reasoned Action Theory (TRA) and Planned Behavior Theory (TPB). Still, these theories do not incorporate environmental awareness and sustainable consumption as predictors of environmentally sustainable purchase intention [35,36]. ERPI is the degree of importance that a person gives to the care of their environment, and thus, with a positive attitude, it demonstrates an intention to purchase responsibly to protect the environment [7]. The research findings will contribute to the academy, providing evidence of the association of the studied constructs. This association of variables can be useful to model a theoretical framework in future research related to environmentally responsible consumer behavior and green marketing. The results of this study can also help entrepreneurs and industry managers design better business strategies and reach consumers who are demanding environmentally friendly products and services.
The structure of this article is divided as follows: After the introduction, the literature review and hypotheses are presented. Section three presents the materials and methods. Later, the fourth section presents the results and findings of the study. Finally, the fifth section shows the conclusions, limitations and future research that could be carried out to continue with this line of research.
2. Literature Review
The literature review is presented based on the hypotheses raised and the proposed theoretical model (see Figure 1). The rise of contemporary environmentalism dates back to the 1960s and early 1970s, as concern grew about the impact of consumption and production behavior patterns on the environment [37]. Due to the economic effect of the pandemic, consumers have become more dependent on the availability of essential consumer goods and online technology [38]. Furthermore, due to the restrictive standards of COVID-19, there has been growth in electronic commerce, which has driven consumers to seek out online retailers that provide security and convenience [5].
Figure 1.
Framework and integrated model.
Customers shopping online constantly look for alternatives to compare products and prices to order online for delivery or pickup [39]. It is relevant to consider that in the post-pandemic era, consumerism and consumer behavior will continue to grow, but with a different meaning [38]. Consumption will tend toward pragmatism and purity, and consumerism will be questioned with regard to careful budgeting.
2.1. Purchase Intention
The intention is the cognitive representation of the willingness to adopt a particular behavior. In the context of consumer behavior, purchase intention is a prerequisite to stimulate and push consumers to buy products and services [40,41]. Theories attempt to predict the behavior of individuals based on their intention, such as the Theory of Reasoned Actions (TRA) [42], which sustains that attitude and subjective norms are antecedents that define behavior. Researchers have extensively applied the TRA to predict consumer purchase intention for multiple products and services [43,44,45,46,47]. However, another theory derived from TRA is defined as Planned Behavior Theory (TPB), which incorporates a new dimension, Perceived Behavioral Control, as a predictor of the individual’s intention [48,49]. Planned Behavior Theory, similarly to the Theory of Reasoned Action, is commonly used by researchers to predict the behavior of individuals [36,50,51,52,53,54,55].
2.2. Responsible Purchase Intention
Consumers’ attention to the environment and green products affects their purchasing decisions [34]. Deciding what type of product to buy requires being informed about the environmental situation and the benefits to conservation via responsible consumption, in terms of which products are ecological [41]. The organic purchase intention is directly and strongly influenced by perceived value, attitude and trust. On the other side, perceived behavioral control, perceived consumer effectiveness, subjective norm, perceived green quality and environmental concern are moderately related to green purchase intention [41].
2.3. Environment Awareness (EA) and Environmentally Responsible Purchase Intention (ERPI) during COVID-19 Pandemic
Environmental awareness refers to environmental issues and understanding the key relationships that lead to environmental impact [12]. In this vein, environmental awareness is relevant not only to individual perception and knowledge of environmental problems but also to the behavior they adopt as a result [37]. In this way, a person with low ecological awareness is less likely to buy ecological products than those consumers who are more informed about environmental problems [56]. Previous studies have shown that green awareness of environmentally responsible products such as remanufactured products, where the residual value of used products is recovered through the reuse, restoration and/or replacement of components, plays an essential role in the perceived value level of the green consumer segment [57]. Additionally, customers with a better sense of environmental responsibility are more likely to conduct an environmentally friendly activity, such as purchasing an eco-friendly vehicle [58]. Likewise, they show that environmental knowledge significantly and positively influences green purchasing intentions [59]. Furthermore, others studies indicate that environmental awareness is a crucial variable in green marketing due to its direct impact on the ecological purchase decision [16], Additionally, knowledge and awareness are the most critical factors for consumers to become environmentally responsible [60]. This means that the greater the environmental awareness, the greater the ecological consumption behavior of consumers [61]. Similarly, it has been shown that care for the environment and environmental consciousness substantially affect the desire to buy ecological products [62].
In recent years, the outbreak of COVID-19 has altered the perspectives of many consumers. As a result, individuals are becoming more conscious of the dangers of disregarding the planet and the environment. Even before the pandemic, there was a perception of an increase in environmental awareness and sustainability, but COVID-19 has expedited this trend and inspired more individuals to accept this duty [63,64]. According to Qian et al. [65], COVID-19 has changed individual and societal thoughts and behavior toward household food waste. While older individuals are more environmentally conscious than younger ones, the awareness level of both age groups has risen since the beginning of the epidemic. In other words, the COVID-19 epidemic favorably affected the correlation between environmental consciousness and environmentally responsible purchasing intention in Latin American nations. Therefore, people have preferred to buy ecologically friendly products to reduce environmental harm and safeguard the environment [66]. Thus, the following hypothesis is posited:
H1:
Environmental awareness (EA) impacts on environmentally responsible purchase intention (ERPI) in the context of the COVID-19 pandemic.
2.4. Sustainable Consumption (SC) and Environmentally Responsible Purchase Intention (ERPI) during COVID-19 Pandemic
Consumers choose organic products as part of their responsibilities toward the environment, family and society [67]. This behavior can also be understood according to cultural, social and environmental patterns [12,41]. Sustainable consumption, also called green, ethical or environmentally responsible consumption, refers to the use of services and products that meet basic needs, provide a better quality of life, reduce environmental impact and do not compromise the needs of future generations [68]. In this sense, ecological consumers seek information and, depending on their value system, often pay more for products, driven by their willingness to participate in caring for the environment [69]. In this way, consumers collaborate with the care of the environment through ecological, decomposable, renewable, reusable and recyclable products, due to assuming a lower risk for the environment, individuals and society [41].
The existing offer, so diverse in each category, has found in ecological marketing an alternative to develop differentiating strategies. In this sense, green marketing has promoted the existence of a platform oriented toward sustainable consumption [70]. This orientation in turn has helped to increase the purchase intention and achieve a reduction in the energy consumption [71]. For example, Parashar et al. (2023) [72] mention that in India, the tendency toward consumption of organic food is closely related to awareness of health and the environment, and thus, it follows that this impacts the purchase intention.
In recent years, the COVID-19 pandemic has significantly impacted consumer habits and behaviors, resulting in a more sustainable and healthier period of consumerism [73]. For example, COVID-19 had an immediate impact on the food industry, particularly in terms of sustainable consumption and purchasing intention. The COVID-19 crisis cultivated the concept of purchasing purpose, as customers considered not just perceived attributes and buying experiences but also environmental consciousness, environmentally friendly consumption and social impact, all of which have risen during the pandemic times [64]. As a result, there has been an increase in the purchase intention of healthy and organic food [74], due to its benefits for the individual, society and the environment [75,76].
In turn, the online purchasing market has been impacted by COVID-19. So, people have expanded their internet shopping and adapted their consumption to be more environmentally friendly [77]. Some studies indicate that a way of analyzing consumer preference for green products is related to the values that guide their individual behavior [78,79]. For example, in food-related products, consumers who read food labels when shopping and think these products might have environmental or health benefits are more likely to report sustainable positive food purchase intention [80]. Thus, taking the above into account, the following hypothesis is proposed:
H2:
Sustainable consumption (SC) has an impact on environmentally responsible purchase intention (ERPI) in the context of the COVID-19 pandemic.
2.5. Social Responsibility (SR) and Environmentally Responsible Purchase Intention (ERPI) during COVID-19 Pandemic
Social responsibility is considered as a guideline, a model and a precursor policy for forming people in an integral way [81]. This can be supported by training people in testimonial education, in the teaching of literature and in memory education, which can help form values [82].
On the other hand, from the commercial or consumer aspect, which is the scenario where people demonstrate their level of social responsibility through the choices of products or services they constantly make. Researchers have suggested that consumers with social responsibility behave in response to a formative process from their conative–volitional system, which is socially conscious; this leads to the demonstration of ethical–moral attitudes [83,84]. For example, Hoffmann-Burdzińska et al. [85] have mentioned five relevant factors of responsible consumption: knowledge of energy saving, green consumer values, social influence, beliefs and consumer awareness. In this sense, when the intensity of responsible consumption behavior is more significant, more energy-saving actions in your home or outside are contemplated. In addition, customers aware of the severity of climate change and the need to adopt corrective measures, from local and national public management to companies and citizens, are more likely to actively participate in actions in favor of caring for the environment [86].
According to previous studies, customers with a larger sense of environmental responsibility are more likely to undertake green behaviors, such as purchasing an eco-friendly vehicle [58]. Researchers also note that the higher the intensity of the consumer behavior determinants, the larger the number of measures made to save energy inside and outside the house [85]. Furthermore, some customers are willing to pay more for eco-friendly apparel and the resulting social approbation [8]. Nonetheless, they are not always well informed on labor exploitation problems [87]. Thus, social responsibility is claimed to influence the inclination to make ecologically responsible purchases. The following hypothesis is presented in the following manner:
H3:
Social responsibility (SR) impacts on environmentally responsible purchase intention (ERPI) in the context of the COVID-19 pandemic.
2.6. Place of Residence (Country) as Moderator Variable
Sociodemographic constructs can be used as moderator variables in profiling green consumers. Among the various sociodemographic constructs, issues related to place have received limited attention in the case of environmental studies [29], especially in an emerging market environment [30]. However, there are studies that have shown that nationality is an important variable that affects consumer attitudes toward sustainability [88]. For example, in the hotel sector, it has been found that environmentally friendly hotel practices and nationality are correlated [89,90]. Location or place of residence has also been found to affect green vehicle purchase intentions in Western countries and has also shown that willingness to adopt electric vehicles is higher in urban areas [91]. One study has found that sustainable consumption intentions are highest among Chinese citizens, followed by Brazilian and Russian [92]. Another study has found that Polish and Belgian consumers differ in pro-ecological attitudes and behavior. At the level of statements, Polish consumers claim to be more concerned about ecology and declare more ecologically responsible behavior [93]. As can be seen, some studies show that the place of residence is a crucial sociodemographic variable when analyzing the intention to purchase in an environmentally responsible manner. However, it has not been possible to find this evidence in the countries of the present study; therefore, to fill this gap, this study has included the analysis of geographical moderation (country). Since it is essential to observe how this variable could influence the effect of environmental awareness, sustainable consumption, and social responsibility on environmentally responsible purchase intention during the COVID-19 pandemic.
Furthermore, according to Severo et al. [1], cultural and socioeconomic contexts should be assessed, as these factors can influence intensities. Therefore, the study assumes the effect of moderation on the country of residence of consumers. Thus, we formulate the following hypotheses:
H4a:
The consumer’s residence (country) has a moderating effect on the relationship between environmental awareness (EA) and environmentally responsible purchase intention (ERPI) in the context of the COVID-19 pandemic.
H4b:
The consumer’s residence (country) has a moderating effect on the relationship between sustainable consumption (SC) impacts and environmentally responsible purchase intention (ERPI) in the context of the COVID-19 pandemic.
H4c:
The consumer’s residence (country) has a moderating effect on the relationship between social responsibility (SR) and Environmentally responsible purchase intention (ERPI) in the context of the COVID-19 pandemic.
2.7. Gender as a Moderating Variable
Since ancient times, gender has been considered a main variable explaining consumers’ preference for green products [12,94,95]. Likewise, it has been argued that this sociodemographic variable acts as a moderator and not necessarily as a determinant of the consumer’s green preference [96]. This is justified because men and women behave and socialize differently [97,98]. Gender socialization theory holds that girls and boys develop different social expectations and values, because they go through other socialization processes from early childhood [99]. Research has shown that women are more concerned than men about environmental problems and therefore have a more positive attitude toward products that protect the environment [30,100]. Women have been found to possess a more robust environmental attitude than men in different countries [29,101]. Regarding gender differences regarding sustainable consumption and attitudes toward the environment are not universal or conclusive. However, several studies have revealed that women are more likely than men to engage in green purchasing behavior [12,56]. Taking the above into account, this study has included the analysis of gender moderation, as a variable that could influence the effect of environmental awareness, sustainable consumption and social responsibility with an environmentally responsible purchase intention during the COVID-19 pandemic. This mode presents the following hypotheses:
H5a:
The gender of the consumer (country) has a moderating effect on the relationship between environmental awareness (EA) and environmentally responsible purchase intention (ERPI) in the context of the COVID-19 pandemic.
H5b:
The gender of the consumer (country) has a moderating effect on the relationship between sustainable consumption (SC) and environmentally responsible purchase intention (ERPI) in the context of the COVID-19 pandemic.
H5c:
The gender of the consumer (country) has a moderating effect on the relationship between social responsibility (SR) and environmentally responsible purchase intention (ERPI) in the context of the COVID-19 pandemic.
3. Materials and Methods
3.1. Context and Method
This article aims to examine the influence of environmental awareness, sustainable consumption and social responsibility on consumers‘ environmentally responsible purchase intention in the Pacific Alliance countries, that is, Chile, Colombia, Mexico and Peru. Likewise, this work analyzes if there is a moderating effect related to geography and the gender of the consumer.
The study was carried out under a quantitative approach and a non-cross-sectional design through a self-administered questionnaire [102]. The survey was applied in the countries of the Pacific Alliance that are Spanish speaking. Therefore, it was necessary to use the back-translation method proposed by Brislin [103].
3.2. Sample and Procedure
For the data collection of the present investigation, non-probability sampling was applied for convenience [104], through an online survey through the Google form, whose link was shared through social networks, such as Facebook, Instagram, LinkedIn, email and WhatsApp. In addition, the use of social networks and the Internet contributed to the randomness and diversity of the characteristics of the respondents [1]. The survey was applied during the months of July to September 2021.
For respondents to participate in the survey, they were informed that their participation was voluntary, that the data collected would be analyzed anonymously and that they would be used exclusively for academic purposes. In this way, it was possible to recover 1646 surveys corresponding to consumers from the four countries that responded to the survey. The sample by country was 24.4% from Peru (n = 402), 25.4% from Mexico (n = 418), 26.1% from Colombia (n = 401) and 24.1% from Chile (n = 397). The sample is equitable among each country; therefore, the size of the research sample size meets the requirements [102] (see Table 1).
Table 1.
Sociodemographic data of the sample by gender and country of origin.
Women are predominant in the sample data. There were 963 female participants (58.5%), followed by 683 male participants (41.5%). The average age was 33.10 years (SD = 12.20). The average age of the men was 33.44 (SD = 12.58), and the average age of the women was 32.85 (DE = 11.93). Table 1 shows the sociodemographic data of the sample of this study.
3.3. Measures
To build this research model, the items were adopted from previous studies. To assess environmental awareness, sustainable consumption and social responsibility of consumers, the instrument developed by Severo [1] was taken into consideration, and to determine the environmentally responsible purchase intention, the construct developed by Kumar [8] was taken into account. For the semantic validation of the questionnaire, two focus group sessions were held with the participation of eight academics from different areas, specializing in marketing, business management and sustainability, who evaluated the questionnaire to verify the scales and items.
The final questionnaire was divided into two parts. The first section featured 19 claims related to the effects of COVID-19 on environmentally responsible purchase intention. Specifically, this section was separated into four sections according to the variables analyzed. The constructs are: environmental awareness (EA), sustainable consumption (SC), social responsibility (SR) and environmentally responsible purchase intention (ERPI). The second section was related to demographic data, such as country, age, and gender.
Each item was written as a statement to be evaluated (Table 2), applying a five-point Likert-type scale. The values were: 1 (totally disagree), 2 (disagree), 3 (neither agree nor disagree), 4 (agree) and 5 (totally agree). In this sense, each number and item was explained to all the interviewed participants so that they understood and responded appropriately.
Table 2.
Construct.
In the present study, it was necessary to eliminate the items EA1, EA2, EA3, EA4, SR1 and SR4, in order to achieve a good fit of the model, since the fit indices of the initial model (model 1) were low; therefore, the model was re-specified based on the modification index (MI) and the standardized residue matrix [105]. In this sense, it was observed that the items EA1, EA2, EA3, EA4, SR1 and SR4 had higher MI values in the correlation with other measurement errors and in the standardized residue matrix. These items exceeded the value of +/− 2.58 [106]. In this way, the analysis was carried out without items EA1, EA2, EA3, EA4, SR1 and SR4 (Model 2), obtaining adequate fit indices (see Table 3).
Table 3.
Indices of statistical goodness of fit of the measurement model (n = 1646).
According to the research of Severo, the proposed variables can be improved by excluding factors that contribute little to the explanation of construct variability or by adding new observable variables [1]. In this sense, in the current investigation, some items of the original construct have been removed. Specifically, items of the environmental awareness (EA1, EA2, EA3 and EA4) and social responsibility (SR1 and SR4) variables have been deleted from items to improve the normality and reliability tests and the original study’s fit model. Specifically, Cronbach’s Alpha (CA), Composite Reliability (CR) and Average Variance Extracted (AVE) have improved. In the original study, the variables environmental awareness (CA: 0.826; CR: 0.888; AVE: 0.727) and social responsibility (CA: 0.745; CR: 0.826; AVE: 0.501) are adequate. However, our results have improved the normality and reliability tests; environmental awareness (CA: 0.830; CR: 0.846; AVE: 0.736) and social responsibility (CA: 0.864; CR: 0.845; AVE: 0.646). In addition, the original study’s fit model has lower values than ours (RMSEA = 0.085; CFI = 0.827). Our results have the best model fit (RMSEA = 0.047; CFI = 0.989). Therefore, we consider that our exclusion of items in the constructors positively affects the impact on the validity and reliability of the results.
From a theoretical point of view, the removed items are connected to environmental awareness actions, for instance, the growth in recycling and separation of organic waste, the reduction in water as a finite resource, apprehension about the future of natural resources, and the relevance of decreasing environmental pollution [1]. In this sense, we could say that the COVID-19 pandemic has increased environmental awareness in the countries of the Pacific Alliance. However, these nations are still in the phase of detecting a problem but have not yet taken measures to prevent it.
3.4. Statistical Analysis
The first statistical process evaluated the reliability and validity of the model. Specifically, this study used the Cronbach’s Alpha method to measure the latent variables’ reliability and the items´ internal consistency. Then, a confirmatory factor analysis (CFA) was applied to verify the fit and measurement of the model. The research used two statistical programs. First, the IBM SPSS Statistics software was used for the descriptive analysis. Secondly, the AMOS Software was selected to check the convergent and discriminant validity and to test the hypotheses through a multigroup Structural Equation Modeling (SEM).
SEM is considered a suitable method for this type of investigation. First, this method is highly recommended for evaluating cause–effect relationships in descriptive models [104]. Second, SEM is a perfect method to test the hypothesis of dependency relationships, correlations and the effects of moderator variables [107]. Finally, recent studies applied SEM to analyze and demonstrate robustness in measurements and structural evaluation [4,10,108,109].
4. Results
In this section, we present the results of the reliability and validity analysis (convergent and discriminant) and the SEM estimates of the hypotheses’ general proposals. Therefore, the results were performed for the entire sample as a whole, that is, for the total sample of 1646, in addition to an analysis of invariance and effects moderators, for which the subsamples were used for grouping both by country and gender.
4.1. Reliability and Validity Analysis
To evaluate the reliability of the instruments, Cronbach’s Alpha (CA) has been used, which is an indicator most used for the verification of the scales [110]. A level considered adequate is values of the latent variables greater than 0.70 [104]. The results of this study are satisfactory since all the indicators are above 0.830 (see Table 4). Each latent variable’s observed factor loading (Std Beta) is between 0.612 and 0.967 The above values comply with Fornell and Larcker’s [111] index requirements.
Table 4.
Scale items, factor loadings, composite reliabilities and average variance extracted.
Regarding convergent validity, the mean variance extracted (AVE) and Composition Reliability (CR) were used. The AVE indicator is considered acceptable with values equal to or greater than 0.5 [104]. CR must be greater than 0.6 [112]. In this research, each latent variable shows a good level: AVE, with values greater than 0.629, and CR, with values equal to or greater than 0.845.
Fornell and Larcker’s criteria [111] and the proportion of heterotrait–monotrait correlations for discriminant validity [113]. Once again, the results establish an adequate validity of the proposed model (see Table 5 and Table 6).
Table 5.
Fornell and Lacker’s criteria for discriminant validity.
Table 6.
Heterotrait–monotrait ratio for discriminant validity.
Table 7 shows the indicators of the adjustment of the measurement model of the model scale under study, and it is observed that it meets all the indicators adequately.
Table 7.
Adjustment of the General Model.
4.2. SEM Estimates of the Proposed General Hypotheses
The results have indicated that the measurement model provided good model fit values. Specifically, with χ2⁄df = 4.690 (267.318/57,000), an acceptable value is between 3 and 5 [67]. In the case of incremental values, a good fit will be considered with values: CFI (Comparative Fit Index) > 0.95 [114]. The parsimony indices fit the valued model well: RMSEA (Root-Mean-Square Error of Approximation) < 0.06 [114], SRMR (Standardized Residual Root Mean Squared) < 0.08 and the PClose (p of close Fit) > 0.05 [114]. The results have indicated a satisfactory goodness of fit: CFI = 0.989, SRMR = 0.033, RMSEA = 0.047, and PClose = 0.767.
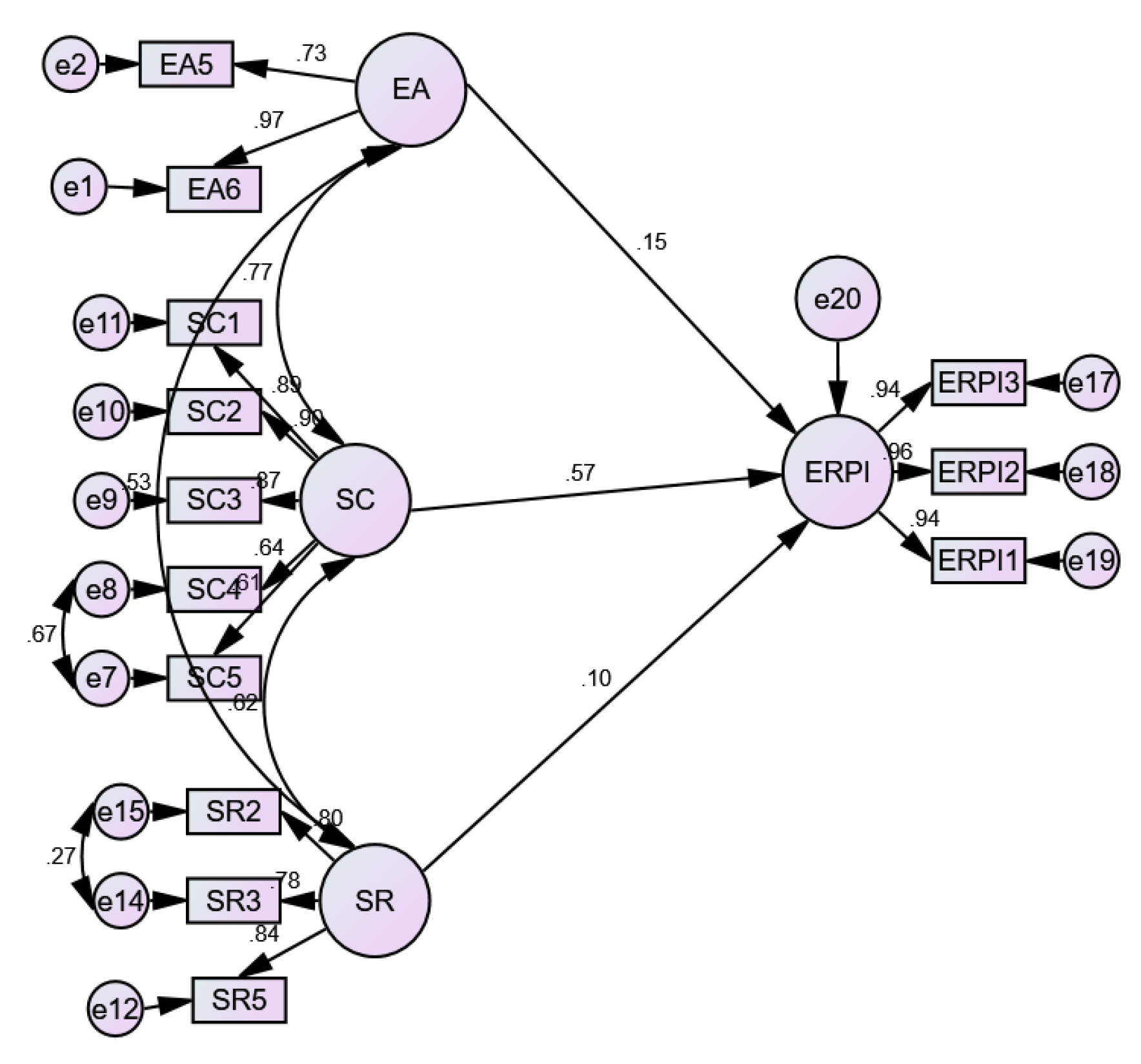
According to the influence of environmental awareness (EA) on the environmentally responsible purchase intention (ERPI), the study reveals a positive and significant relationship (EA → ERPI; CR = 4648 ***; SE = 0.032). Regarding the influence of sustainable consumption (SC) on the environmentally responsible purchase intention (ERPI), the study reveals a positive and significant relationship (SC → ERPI; CR = 14,493 ***; SE = 0.904), and in terms of the influence of social responsibility (SR) on the environmentally responsible purchase intention (ERPI), the study reveals a positive and significant relationship (SR → ERPI; CR = 4017 ***; SE = 0.029) Consequently, the three hypotheses H1, H2 and H3 are supported by this research (see Table 8 and Figure 2).
Table 8.
SEM Estimates on Hypothesis Tests.
Figure 2.
Structural model.
4.3. Analysis of Invariance and Moderating Effects
A moderation analysis has been carried out to observe differences between countries and gender (see Table 9). The results show variations between the variables related to the magnitude and the significance effect.
Table 9.
Moderating effect of country and gender by multigroup analysis.
Configural and metric invariance tests have been carried out to verify the origin of these differences for the variables: country and gender (see Table 10 and Table 11). Invariance is defined as the verification process. The configural variance is confirmed when the indicators of the fit of the model continue to be good after having carried out the division of the groups. In this sense, in Table 9, the indicators (CMIN/DF; CFI, SRMR, RMSEA and PClose) present an excellent model fit, and therefore, the configural invariance is verified.
Table 10.
Configural invariance.
Table 11.
Metric Invariance.
Table 11 shows the metric invariance according to Cheung and Rensvold [115]; if the comparative index between the CFIs of the two compared models is less than 0.01, it is affirmed that invariance exists, and therefore, the SEM is performed to validate the relationship hypotheses. This analysis indicates that both the country and gender variables present invariance. Therefore, the groups are not different at the model level for the variables country and sex, the difference being relevant at the road level.
It is verified that the difference between CFI must be less than 0.01. Since the difference in the CFI is less, they are almost equal. Thus, it satisfies the invariance of covariances.
5. Discussion
This research was carried out to empirically evaluate the influence of environmental awareness (EA), sustainable consumption (SC) and social responsibility (SR) on the environmentally responsible purchase intention (ERPI) of a sample of consumers equally distributed in each country. From the Pacific Alliance, 402 participants were from Peru (24.4%), 418 from Mexico (25.4%), 401 from Colombia (26.1%) and 397 from Chile (24.1%) with a total of 1646 valid responses. After performing the data analysis through Structural Equation Modeling (SEM), the results have confirmed the influence of AC, SC and SR on the ERPI.
This study has confirmed the influence of environmental awareness (EC) on consumers’ sustainable purchase intention (ERPI) in Peru, Mexico, Colombia and Chile. This result is in line with previous studies [116], which point out that environmental awareness (EA) is an essential motivator for developing behavioral intention. Likewise, this result is contrasted with the findings of [59], in which the authors point out that environmental knowledge significantly and positively influences green purchasing intentions. Our results show that this influence is direct and significant, following what was indicated by [61], which affirms that the greater the environmental awareness, the greater the ecological consumption behavior of consumers. This finding is important because it can be stated that if the consumer has high environmental awareness, they will be more willing to pay more for environmentally friendly products, since eco-friendly products are generally more expensive than products that are not eco-friendly. Therefore, companies are not willing to produce this type of product considering that consumers are not willing to pay the price of this type of product [58,117]. Given that the present study was carried out in the context of the COVID-19 pandemic, it is essential to emphasize that the results show that this scenario has had a positive impact on the relationship between environmental awareness (EA) and environmentally responsible purchase intention (ERPI) in all the countries studied, both in men and women, confirming studies that indicate that this event has had an effect on consumers [118,119]. This could mean an opportunity for companies in this region to propose new alternatives in sustainable products in their portfolios, adjusting to the needs of customers to achieve sales effectively that generate value for this consumer market [120].
The findings suggest that sustainable consumption (SC) is the most important factor influencing environmentally responsible purchase intention (ERPI) due to its higher path coefficient than CE and SR. This finding suggests that consumers who have a higher sustainable consumption are more likely to adopt an environmentally responsible purchase intention, for example, to buy remanufactured products [57], be willing to pay a higher price for an environmentally friendly hotel service [117] or buy a car that does not damage the environment. This means that sustainable consumption (SC) has made an important contribution in recent times in society, since consumers and customers have become aware of how important for the environment it is to buy environmentally friendly products, as studies such as [82,120] have shown. In the case of the Pacific Alliance countries, this study has demonstrated that by purchasing environmentally responsible products, a better culture of support for companies is built, and the consolidation of strategies that add value to brands for improved reputation is achieved, as concluded in prior studies [121,122]. This is how when mentioning sustainable consumption (SC), factors such as gender and demographic location, which influence the purchase decision, are taken into account. At the same time, the perceptions of individuals on the environmental issue contribute to and are strategic for sustainable consumption, thus representing a competitive advantage in companies, and generating the environmentally responsible purchase intention (ERPI) of individuals in the different Latin American countries analyzed.
Along the same lines, the hypothesis was confirmed that, in the context of the COVID-19 pandemic, consumer social responsibility (SR) has positively impacted on their environmentally responsible purchasing intention (ERPI). This supports previous research evidence on social responsibility and consumer intent to protect the environment during the COVID-19 pandemic [1,108]. Furthermore, there are studies [123] that point to the commitment of consumers toward the activities of corporate social responsibility of companies (CSR) and how this contributes to their purchase intention. That is, consumers’ growing concern for the environment puts pressure on organizations to be environmentally responsible [124]. Therefore, it is important that business decision makers take into account that consumers like to associate with socially responsible companies because the social values of the consumer and those of the company overlap each other [125]; thus, this constitutes an opportunity for companies seeking to position themselves in the market and achieve customer loyalty. In this sense, a company committed to the environment and society will be more attractive to customers, who will consider it more trustworthy and will have positive feelings toward the company [126,127,128]. In this sense, Carroll [129] points out that the philanthropic activities of companies are generally part of society’s expectations. That is, companies are expected to operate ethically. This means that the company has an obligation to do what is right, fair and equitable and to avoid or minimize harm to all stakeholders with whom it interacts. In other words, the company is expected to be a good corporate citizen, giving back and contributing financial, physical and human resources to the communities of which it is a part. Thus, studies on the effect of corporate social responsibility (CSR) on consumer buying behavior indicate that being legally responsible is not enough for stakeholders, as organizations are expected to not only conform to the law but also be ethically responsible [130]. Therefore, the existence of a positive relationship between the CSR activities of a company and consumer behavior toward the company and its products must be kept in mind [124,131].
A significant finding of the present study is the empirical evidence of the moderating effect of gender and country on the influences of the EA, the SC and the SR on the environmentally responsible purchase intention (ERPI). Regarding the moderating effect of customers’ country of residence, our results indicate that consumers from Peru and Colombia contrast significantly with regard to the three hypotheses; however, in the case of Mexico, the SR does not significantly influence the ERPI, while in the case of Chile, environmental awareness does not have a significant influence on the ERPI. This finding is supported by the literature, which indicates that there are factors such as gender, age, income, education, income and family size that influence consumers’ green purchase intention [12,95]. In this scenario, companies must diversify their strategies to promote environmentally responsible purchasing behavior considering how different nationalities address the need for sustainability in purchasing processes and understanding that there is a different understanding and awareness of the environmental urgency on the planet.
Regarding the moderating effect of consumer gender, our results indicate that EA, SC and SR directly influence the ERPI of women in the four countries of the Pacific Alliance. However, these hypotheses are not fully met in the case of men; that is, our results show that in the case of men, SR does not significantly influence ERPI. This finding is contrasted by [12,56], in which the authors point out that gender differences regarding sustainable consumption and environment attitudes are not universal or conclusive; however, several studies have found that women are more likely than men to participate in a green buying behavior.
It can be affirmed that sustainable consumption has become a priority for many countries, which observe environmental development and prospect it with interventions that allow humans to live better in society; thus, they adapt the markets with a consumption model that allows them to act responsibly [132]. In recent years, the COVID-19 pandemic has contributed to a better awareness of products that help the environment and the sustainability of the planet in their clean processes [82], allowing companies to propose new alternatives in healthy products in their stores. Portfolios adjust to the clients’ need to achieve the sale effectively with a generator of clear value in the market [120].
The era of sustainable products has impacted various sectors and the way in which they develop their production schemes, which gives the customer a better awareness in the responsible purchase of products that help the environment [121], thus consolidating culture in society. In addition, this allows companies to build an adequate brand reputation and become aspirational in the market [122] for the human talent that is part of the companies’ production processes, by providing motivating and consolidating work schemes that provide well-being and satisfaction to those who are part of the company [13], to build trust and achieve better articulation with business policies that support employees and customers [133].
Implications
This research has implications for managerial decision making in the public and private sectors. Our findings provide evidence that environmental awareness, sustainable consumption, and social responsibility have a direct influence on environmentally responsible purchase intention of consumers from countries of the Pacific Alliance during the COVID-19 pandemic.
Firstly, environmental awareness has increased significantly during the COVID-19 pandemic [1], manifested in consumers who prefer sustainable products that are less harmful to the environment. Therefore, companies must adopt sustainable and green business practices to align with individual customer behavior. For instance, companies can educate the population through recycling activities and reducing plastic packaging [99]. In the case of the public sector, the government should advertise how and when a product or service is friendly to the environment and society, thus getting closer to its citizens’ environmental awareness [108]. Likewise, governments must develop public policies that help transform a more sustainable world, for example, by proposing public programs to reduce pollution, encourage recycling and promote efficient water consumption [134].
Secondly, this research indicates that sustainable consumption has revolutionized the world during the pandemic. Consumers have changed the consumption paradigm toward a friendly orientation toward the environment. From this perspective, managers and entrepreneurs should focus business strategies on their products and services and their production, distribution, and sales channels [135]. However, consumers have inspected the intention to consume friendly products, but the COVID-19 pandemic has hit the world economy hard. For this reason, governments must consider public policies to stabilize and reactivate the market [136].
Finally, this research affirms that consumers in the countries of the Pacific Alliance are developing greater environmental awareness, but it is still necessary to develop their consumption habits to take care of the environment by reducing waste through prevention, reuse, recycling and water care. For this reason, organizations, in addition to producing environmentally friendly products and reducing pollution and greenhouse gas emissions [108,124], must also apply communication strategies to promote more environmentally friendly behavior by people. Additionally, the government must create public policies to ensure that organizations reduce their indicators of environmental contamination and increase control over environmental damage.
6. Conclusions
Unlike existing research in a non-COVID-19 pandemic context on environmentally responsible purchasing intention (ERPI) factors [9,14,16,17], our research proposes a research framework in Latin America focused during the COVID-19 pandemic, specifically on consumer behavior in terms of environmental awareness (EC), sustainable consumption (SC), social responsibility (SR), and environmentally responsible purchase intention (ERPI) in the context of the COVID-19 pandemic.
This study contributes to a better understanding of the impact of the pandemic on the environmentally responsible purchasing behavior of consumers in the Pacific Alliance countries, comprising Peru, Mexico, Colombia and Chile. However, since the study was carried out during the year 2021, a period in which the pandemic was spreading throughout the world and the entire society lived in a situation of fear and uncertainty, it is not possible to generalize the findings for the post-pandemic period. When the pandemic has already been controlled or has ended, it is therefore recommended to continue carrying out similar investigations to know the evolution of this behavior of the consumers of the Pacific Alliance. In this sense, it is necessary for future research to examine whether consumers’ eco-friendly and pro-environmental behavior is maintained over time or is just a temporary event. It must also be considered that this study has only been carried out in Peru, Mexico, Colombia and Chile. Therefore, future research should be carried out where other Latin American countries can be included, providing a better understanding of this phenomenon.
In conclusion, the participants of the countries of the Pacific Alliance studied in this research, namely, Peru, Colombia, Chile and Mexico, recognize the importance of purchasing products that are friendly to the environment; at the same time, females have the greatest awareness of now being the time to analyze this issue of responsible and environmentally friendly consumption, being willing to make a purchase decision and acquire products that provide sustainability to health and the environment, as a better alternative for the future. Among the most representative factors, awareness is perceived on issues of sustainable consumption and environmental responsibility during and after the COVID-19 pandemic, a topic that facilitates structuring new business models to provide better products and services to the national and international market. In the same way, it is important to identify tastes, desires and purchasing preferences to reformulate eco-friendly portfolios with the environment and with society.
This research had limitations such as the use of convenience sampling. Although it had enough participants, it is recommended for future studies that more robust data collection procedures be used. Another aspect to consider as a limitation is that even though a similar size of the sample size has been achieved in the four countries, it may not have the same predictive capacity due to the difference in consumers in each country. That is why it is recommended to carry out further studies considering the sample size according to the size of consumers in each country. Likewise, future studies are recommended considering other sociodemographic variables such as education and income levels, to determine if they could influence more environmentally responsible consumption.
Despite the limitations indicated, the main contributions of this work consist in revealing the positive influence of sustainable consumption, providing some guidelines for practical applications and the opportunity to apply this research framework in different contexts of the given place and time, since the results of this study were obtained during the COVID-19 pandemic.
Author Contributions
Conceptualization, E.E.G.-S. methodology, E.E.G.-S.; software, E.E.G.-S.; validation, E.E.G.-S., J.C.N.-d.-G., L.G.-B. and M.E.-F.; formal analysis, E.E.G.-S.; research, E.E.G.-S., J.C.N.-d.-G., L.G.-B. and M.E.-F. resources, E.E.G.-S., J.C.N.-d.-G., L.G.-B. and M.E.-F.; data curation, E.E.G.-S.; writing—original draft preparation, E.E.G.-S., J.C.N.-d.-G., L.G.-B., M.E.-F.; writing—review and editing, E.E.G.-S., J.C.N.-d.-G., L.G.-B. and M.E.-F.; visualization, E.E.G.-S., J.C.N.-d.-G., L.G.-B., and M.E.-F.; monitoring, E.E.G.-S.; project administration, E.E.G.-S.; funding acquisition, E.E.G.-S., J.C.N.-d.-G., L.G.-B. and M.E.-F. All authors have read and agreed to the published version of the manuscript.
Funding
The APC was funded by Universidad Autónoma del Perú, Universidad de Montemorelos, Universidad de San Buenaventura and University of Santiago of Chile.
Institutional Review Board Statement
Ethical review and approval of this study was waived because an expression of consent was obtained from the participants, and approval was obtained from the collaborating universities in this study. Respondents are aware that the data is used exclusively for academic purposes. In turn, each participant had to read the reason for this research and then confirm their participation and consent.
Informed Consent Statement
Informed consent was obtained from all subjects involved in the study.
Data Availability Statement
Data availability can be requested by writing to the corresponding author of this publication.
Acknowledgments
The authors would like to thank the following group of researchers for their valuable database creation and survey contribution: Gustavo Adolfo Moreno López, Institution Marco Fidel Suarez University; Pedro Armengol Gonzáles Urbina, the University of Montemorelos; Leslier Valenzuela-Fernández, University of Chile; Mauricio Guerra-Velásquez, University of Santiago of Chile.
Conflicts of Interest
The authors declare that they have no known competing financial interest or personal relationships that could have influenced the work reported in this paper.
References
- Severo, E.A.; De Guimarães, J.C.F.; Dellarmelin, M.L. Impact of the COVID-19 Pandemic on Environmental Awareness, Sustainable Consumption and Social Responsibility: Evidence from Generations in Brazil and Portugal. J. Clean. Prod. 2021, 286. [Google Scholar] [CrossRef] [PubMed]
- Totosy de Zepetnek, J.O.; Martin, J.; Cortes, N.; Caswell, S.; Boolani, A. Influence of Grit on Lifestyle Factors during the COVID-19 Pandemic in a Sample of Adults in the United States. Pers. Individ. Dif. 2021, 175, 110705. [Google Scholar] [CrossRef] [PubMed]
- García-Salirrosas, E.E. Satisfaction of University Students in Virtual Education in a COVID-19 Scenario. In Proceedings of the Paper presented at the ACM International Conference Proceeding Series, London, UK, 17–19 December 2020; pp. 41–47. [Google Scholar]
- García-Salirrosas, E.E.; Acevedo-Duque, Á.; Marin Chaves, V.; Mejía Henao, P.A.M.; Olaya Molano, J.C. Purchase Intention and Satisfaction of Online Shop Users in Developing Countries during the COVID-19 Pandemic. Sustainability 2022, 14, 6302. [Google Scholar] [CrossRef]
- D’Adamo, I.; González-Sánchez, R.; Medina-Salgado, M.S.; Settembre-Blundo, D. E-Commerce Calls for Cyber-Security and Sustainability: How European Citizens Look for a Trusted Online Environment. Sustainability 2021, 13, 6752. [Google Scholar] [CrossRef]
- Müller-Pérez, J.; Acevedo-Duque, Á.; Llanos-Herrera, G.R.; García-Salirrosas, E.E.; Ovalles-Toledo, L.V.; Sandoval Barraza, L.A.; Álvarez-Becerra, R. The Mexican Ecological Conscience: A Predictive Model. Sustainability 2022, 14, 7050. [Google Scholar] [CrossRef]
- Kumar, S.; Yadav, R. The Impact of Shopping Motivation on Sustainable Consumption: A Study in the Context of Green Apparel. J. Clean. Prod. 2021, 295, 126239. [Google Scholar] [CrossRef]
- Kumar, A.; Prakash, G.; Kumar, G. Does Environmentally Responsible Purchase Intention Matter for Consumers? A Predictive Sustainable Model Developed through an Empirical Study. J. Retail. Consum. Serv. 2021, 58, 102270. [Google Scholar] [CrossRef]
- Saboya de Aragão, B.; Alfinito, S. The Relationship between Human Values and Conscious Ecological Behavior among Consumers: Evidence from Brazil. Clean. Responsible Consum. 2021, 3, 100024. [Google Scholar] [CrossRef]
- García-Salirrosas, E.E.; Millones-liza, D.Y.; Esponda-Pérez, J.A.; Acevedo-duque, Á.; Müller-Pérez, J.; Sanchez Días, L. Factors Influencing Loyalty to Health Food Brands: An Analysis from the Value Perceived by the Peruvian Consumer. Sustainability 2022, 14, 10529. [Google Scholar] [CrossRef]
- Akdeniz Kudubeş, A.; Bektas, M. Orginal Article: Psychometric Properties of the Turkish Version of the Healthy Lifestyle Belief Scale for Adolescents. J. Pediatr. Nurs. 2020, 53, e57–e63. [Google Scholar] [CrossRef]
- Visser, R.; Dlamini, S. Green Purchasing Behaviour towards Compostable Coffee Pods. Sustainability 2021, 13, 6558. [Google Scholar] [CrossRef]
- Wang, J.; Shen, M.; Chu, M. Why Is Green Consumption Easier Said than Done? Exploring the Green Consumption Attitude-Intention Gap in China with Behavioral Reasoning Theory. Clean. Responsible Consum. 2021, 2, 100015. [Google Scholar] [CrossRef]
- Al Mamun, A.; Mohamad, M.R.; Yaacob, M.R.B.; Mohiuddin, M. Intention and Behavior towards Green Consumption among Low-Income Households. J. Environ. Manag. 2018, 227, 73–86. [Google Scholar] [CrossRef] [PubMed]
- Giantari, I.G.A.K.; Sukaatmadja, I.P.G. Effects of Environmental Orientation, Green Marketing Mix and Social Capital on the Competitive Advantage of Real Estate Developers in Bali. Prop. Manag. 2021, 39, 193–209. [Google Scholar] [CrossRef]
- García-Salirrosas, E.E.; Rondon-Eusebio, R.F. Green Marketing Practices Related to Key Variables of Consumer Purchasing Behavior. Sustainability 2022, 14, 8499. [Google Scholar] [CrossRef]
- Baah, C.; Opoku-Agyeman, D.; Acquah, I.S.K.; Agyabeng-Mensah, Y.; Afum, E.; Faibil, D.; Abdoulaye, F.A.M. Examining the Correlations between Stakeholder Pressures, Green Production Practices, Firm Reputation, Environmental and Financial Performance: Evidence from Manufacturing SMEs. Sustain. Prod. Consum. 2021, 27, 100–114. [Google Scholar] [CrossRef]
- Polonsky, M.J. An Introduction To Green Marketing. Electron. Green J. 1994, 1. [Google Scholar] [CrossRef]
- Chung, K.C. Green Marketing Orientation: Achieving Sustainable Development in Green Hotel Management. J. Hosp. Mark. Manag. 2019, 29, 722–738. [Google Scholar] [CrossRef]
- Mark, N.; Law, M. Encouraging Green Purchase Behaviours of Hong Kong Consumers. Asian J. Bus. Res. 2015, 5, 1–17. [Google Scholar] [CrossRef]
- García-Salirrosas, E.E.; Gordillo, J.M. Brand Personality as a Consistency Factor in the Pillars of Csr Management in the New Normal. J. Open Innov. Technol. Mark. Complex. 2021, 7, 134. [Google Scholar] [CrossRef]
- Amoako, G.K.; Dzogbenuku, R.K.; Abubakari, A. Do Green Knowledge and Attitude Influence the Youth’s Green Purchasing? Theory of Planned Behavior. Int. J. Product. Perform. Manag. 2020, 69, 1609–1626. [Google Scholar] [CrossRef]
- do Paço, A.; Alves, H.; Shiel, C.; Filho, W.L. An Analysis of the Measurement of the Construct “Buying Behaviour” in Green Marketing. J. Integr. Environ. Sci. 2014, 11, 55–69. [Google Scholar] [CrossRef]
- Marakanon, L.; Panjakajornsak, V. Perceived Quality, Perceived Risk and Customer Trust Affecting Customer Loyalty of Environmentally Friendly Electronics Products. Kasetsart J. Soc. Sci. 2017, 38, 24–30. [Google Scholar] [CrossRef]
- Nguyen-Viet, B. Understanding the Influence of Eco- Label, and Green Advertising on Green Purchase Intention: The Mediating Role of Green Brand Equity. J. Food Prod. Mark. 2022, 28, 87–103. [Google Scholar] [CrossRef]
- Rahman, S.u.; Luomala, H. Demystifying Horizontal/Vertical Cultural Difference in Green Consumption: A Cross-Cultural Comparative Study. J. Int. Consum. Mark. 2021, 33, 543–558. [Google Scholar] [CrossRef]
- Bhattacharjee, S.; Sharma, V.; Dubey, P. Antecedents of Organic Food Consumption in Delhi NCR. Indian J. Ecol. 2021, 48, 18–22. [Google Scholar]
- Sharma, N.K.; Kushwaha, G.S. Eco-Labels: A Tool for Green Marketing or Just a Blind Mirror for Consumers. Electron. Green J. 2019, 1. [Google Scholar] [CrossRef]
- Zelezny, L.C.; Chua, P.P.; Aldrich, C. Elaborating on Gender Differences in Environmentalism. J. Soc. Issues 2000, 56, 443–457. [Google Scholar] [CrossRef]
- Lee, K. Gender Differences in Hong Kong Adolescent Consumers’ Green Purchasing Behavior. J. Consum. Mark. 2009, 26, 87–96. [Google Scholar] [CrossRef]
- Machová, R.; Ambrus, R.; Zsigmond, T.; Bakó, F. The Impact of Green Marketing on Consumer Behavior in the Market of Palm Oil Products. Sustainability 2022, 14, 1364. [Google Scholar] [CrossRef]
- Lai, C.K.M.; Cheng, E.W.L. Green Purchase Behavior of Undergraduate Students in Hong Kong. Soc. Sci. J. 2016, 53, 67–76. [Google Scholar] [CrossRef]
- Kautish, P.; Paul, J.; Sharma, R. The Moderating Influence of Environmental Consciousness and Recycling Intentions on Green Purchase Behavior. J. Clean. Prod. 2019, 228, 1425–1436. [Google Scholar] [CrossRef]
- Gomes, J.S.N.; Jeive, M.; Lim, L.L.K. Purchasing Decision Making of Cosmetics: A Comparative Study between Swiss and Chinese Consumers. Asian J. Bus. Res. 2020, 10, 111–133. [Google Scholar] [CrossRef]
- Pardana, D.; Abdullah, R.; Mahmuda, D.; Malik, E.; Pratiwi, E.T.; Dja’Wa, A.; Abdullah, L.O.D.; Hardin; Hamid, R.S. Attitude Analysis in the Theory of Planned Behavior: Green Marketing against the Intention to Buy Environmentally Friendly Products. IOP Conf. Ser. Earth Environ. Sci. 2019, 343, 012128. [Google Scholar] [CrossRef]
- Xu, X.; Wang, S.; Yu, Y. Consumer’s Intention to Purchase Green Furniture: Do Health Consciousness and Environmental Awareness Matter? Sci. Total Environ. 2020, 704, 135275. [Google Scholar] [CrossRef]
- Lin, S.T.; Niu, H.J. Green Consumption: Environmental Knowledge, Environmental Consciousness, Social Norms, and Purchasing Behavior. Bus. Strateg. Environ. 2018, 27, 1679–1688. [Google Scholar] [CrossRef]
- Zhang, X.; Liu, H.; Yao, P.; Zhang, X.; Liu, H.; Yao, P.; Bellini, F.; Dima, A.M.; Braccini, A.M.; Agrifoglio, R. Research Jungle on Online Consumer Behaviour in the Context of Web 2.0: Traceability, Frontiers and Perspectives in the Post-Pandemic Era. J. Theor. Appl. Electron. Commer. Res 2021, 16, 98. [Google Scholar] [CrossRef]
- Min, H. Exploring Omni-Channels for Customer-Centric e-Tailing. Logistics 2021, 5, 31. [Google Scholar] [CrossRef]
- Barbaritano, M.; Savelli, E. How Consumer Environmental Responsibility Affects the Purchasing Intention of Design Furniture Products. Sustainability 2021, 13, 6140. [Google Scholar] [CrossRef]
- Zhuang, W.; Luo, X.; Riaz, M.U. On the Factors Influencing Green Purchase Intention: A Meta-Analysis Approach. Front. Psychol. 2021, 12, 644020. [Google Scholar] [CrossRef]
- Ajzen, I.; Fishbein, M. Attitudinal and Normative Variables as Predictors of Specific Behavior. J. Pers. Soc. Psychol. 1973, 27, 41–57. [Google Scholar] [CrossRef]
- Atal, N.U.; Iranmanesh, M.; Hashim, F.; Foroughi, B. Drivers of Intention to Use Murabaha Financing: Religiosity as Moderator. J. Islam. Mark. 2022, 13, 740–762. [Google Scholar] [CrossRef]
- Ezati Rad, R.; Kahnouji, K.; Mohseni, S.; Shahabi, N.; Noruziyan, F.; Farshidi, H.; Hosseinpoor, M.; Kashani, S.; Kamalzadeh Takhti, H.; Hassani Azad, M.; et al. Predicting the COVID-19 Vaccine Receive Intention Based on the Theory of Reasoned Action in the South of Iran. BMC Public Health 2022, 22, 1–13. [Google Scholar] [CrossRef]
- Roh, T.; Seok, J.; Kim, Y. Unveiling Ways to Reach Organic Purchase: Green Perceived Value, Perceived Knowledge, Attitude, Subjective Norm, and Trust. J. Retail. Consum. Serv. 2022, 67, 102988. [Google Scholar] [CrossRef]
- Rahmayanti, P.L.D.; Widagda, I.G.N.J.A.; Yasa, N.N.K.; Giantari, I.G.A.K.; Martaleni; Sakti, D.P.B.; Suwitho; Anggreni, P. Integration of Technology Acceptance Model and Theory of Reasoned Action in Predicting E-Wallet Continuous Usage Intentions. Int. J. Data Netw. Sci. 2021, 5, 649–658. [Google Scholar] [CrossRef]
- Mishra, S.; Jain, S.; Jham, V. Luxury Rental Purchase Intention among Millennials—A Cross-National Study. Thunderbird Int. Bus. Rev. 2021, 63, 503–516. [Google Scholar] [CrossRef]
- Ajzen, I. The Theory of Planned Behavior. Organ. Behav. Hum. Decis. Process. 1991, 50, 179–211. [Google Scholar] [CrossRef]
- Icek, A. From Intentions to Actions: A Theory of Planned Behavior. In Action Control; Springer: Berlin/Heidelberg, Germany, 1985; pp. 11–39. [Google Scholar]
- Elahi, E.; Khalid, Z.; Zhang, Z. Understanding Farmers’ Intention and Willingness to Install Renewable Energy Technology: A Solution to Reduce the Environmental Emissions of Agriculture. Appl. Energy 2022, 309, 118459. [Google Scholar] [CrossRef]
- Judge, M.; Warren-Myers, G.; Paladino, A. Using the Theory of Planned Behaviour to Predict Intentions to Purchase Sustainable Housing. J. Clean. Prod. 2019, 215, 259–267. [Google Scholar] [CrossRef]
- Khan, F.; Ahmed, W.; Najmi, A. Understanding Consumers’ Behavior Intentions towards Dealing with the Plastic Waste: Perspective of a Developing Country. Resour. Conserv. Recycl. 2019, 142, 49–58. [Google Scholar] [CrossRef]
- Carfora, V.; Cavallo, C.; Caso, D.; Del Giudice, T.; De Devitiis, B.; Viscecchia, R.; Nardone, G.; Cicia, G. Explaining Consumer Purchase Behavior for Organic Milk: Including Trust and Green Self-Identity within the Theory of Planned Behavior. Food Qual. Prefer. 2019, 76, 1–9. [Google Scholar] [CrossRef]
- Rezaei, R.; Safa, L.; Damalas, C.A.; Ganjkhanloo, M.M. Drivers of Farmers’ Intention to Use Integrated Pest Management: Integrating Theory of Planned Behavior and Norm Activation Model. J. Environ. Manag. 2019, 236, 328–339. [Google Scholar] [CrossRef] [PubMed]
- Rahdari, A.; Sheehy, B.; Khan, H.Z.; Braendle, U.; Rexhepi, G.; Sepasi, S. Exploring Global Retailers’ Corporate Social Responsibility Performance. Heliyon 2020, 6, e04644. [Google Scholar] [CrossRef] [PubMed]
- Migheli, M. Green Purchasing: The Effect of Parenthood and Gender. Environ. Dev. Sustain. 2021, 23, 10576–10600. [Google Scholar] [CrossRef]
- Wang, Y.; Hazen, B.T. Consumer Product Knowledge and Intention to Purchase Remanufactured Products. Int. J. Prod. Econ. 2016, 181, 460–469. [Google Scholar] [CrossRef]
- Xu, L.; Prybutok, V.; Blankson, C. An Environmental Awareness Purchasing Intention Model. Ind. Manag. Data Syst. 2019, 119, 367–381. [Google Scholar] [CrossRef]
- Syadzwina, M.N.; Astuti, R.D. Linking Green Skepticism to Green Purchase Behavior on Personal Care Products in Indonesia. IOP Conf. Ser. Earth Environ. Sci. 2021, 716, 012045. [Google Scholar] [CrossRef]
- Garg, A.; Dhaliwal, R.S.; Gupta, S. Prioritizing Factors Determining Environmental Responsibility Using Fuzzy Analytical Hierarchy Process: Evidence from India. Int. J. Soc. Econ. 2021, 48, 999–1020. [Google Scholar] [CrossRef]
- Rustam, A.; Wang, Y.; Zameer, H. Environmental Awareness, Firm Sustainability Exposure and Green Consumption Behaviors. J. Clean. Prod. 2020, 268, 122016. [Google Scholar] [CrossRef]
- Shamsi, M.S.; Narula, S.; Sharma, A. Does Environmental Awareness Via SNSS Create Sustainable Consumption Intention Among The Millennials? J. Content Community Commun. 2022, 15, 100–116. [Google Scholar] [CrossRef]
- Cachero-Martínez, S. Consumer Behaviour towards Organic Products: The Moderating Role of Environmental Concern. J. Risk Financ. Manag. 2020, 13, 330. [Google Scholar] [CrossRef]
- Qi, X.; Yu, H.; Ploeger, A. Exploring Influential Factors Including COVID-19 on Green Food Purchase Intentions and the Intention–Behaviour Gap: A Qualitative Study among Consumers in a Chinese Context. Int. J. Environ. Res. Public Health 2020, 17, 7106. [Google Scholar] [CrossRef] [PubMed]
- Qian, K.; Javadi, F.; Hiramatsu, M. Influence of the COVID-19 Pandemic on Household Food Waste Behavior in Japan. Sustainability 2020, 12, 9942. [Google Scholar] [CrossRef]
- Valenzuela-fernández, L.; Escobar-farfán, M.; Guerra-velázquez, M.; Emperatriz, E. COVID-19 Effects on Environmentally Responsible Behavior: A Social Impact Perspective from Latin American Countries. Int. J. Environ. Res. Public Health 2022, 20, 3330. [Google Scholar] [CrossRef]
- Yu, T.Y.; Yu, T.K.; Chao, C.M. Understanding Taiwanese Undergraduate Students’ pro-Environmental Behavioral Intention towards Green Products in the Fight against Climate Change. J. Clean. Prod. 2017, 161, 390–402. [Google Scholar] [CrossRef]
- Pekkanen, T.L.; Pätäri, S.; Albadera, L.; Jantunen, A. Who Cares About Product Sustainability Information at the Moment of Purchase? Consumer Evidence from Three Countries. Sustain. Dev. 2018, 26, 229–242. [Google Scholar] [CrossRef]
- Byrum, K. “Hey Friend, Buy Green”: Social Media Use to Influence Eco-Purchasing Involvement. Environ. Commun. 2019, 13, 209–221. [Google Scholar] [CrossRef]
- Ansu-Mensah, P. Green Product Awareness Effect on Green Purchase Intentions of University Students’: An Emerging Market’s Perspective. Future Bus. J. 2021, 7, 1–13. [Google Scholar] [CrossRef]
- Amoako, G.K.; Dzogbenuku, R.K.; Doe, J.; Adjaison, G.K. Green Marketing and the SDGs: Emerging Market Perspective. Mark. Intell. Plan. 2022, 40, 310–327. [Google Scholar] [CrossRef]
- Parashar, S.; Singh, S.; Sood, G. Examining the Role of Health Consciousness, Environmental Awareness and Intention on Purchase of Organic Food: A Moderated Model of Attitude. J. Clean. Prod. 2023, 386, 135553. [Google Scholar] [CrossRef]
- Qi, X.; Ploeger, A. Explaining Chinese Consumers’ Green Food Purchase Intentions during the Covid-19 Pandemic: An Extended Theory of Planned Behaviour. Foods 2021, 10, 1200. [Google Scholar] [CrossRef] [PubMed]
- Thanki, H.; Shah, S.; Oza, A.; Vizureanu, P.; Burduhos-Nergis, D.D. Sustainable Consumption: Will They Buy It Again? Factors Influencing the Intention to Repurchase Organic Food Grain. Foods 2022, 11, 3046. [Google Scholar] [CrossRef] [PubMed]
- Carpinelli, C.; Einarsson Reynis, E.T.; Sigríður Islind, A.; Stefánsson, H.; Óskarsdóttir, M. Green Intentions: Field Research and Data-Driven Analysis of Customers’ Purchasing Patterns. Sustainability 2022, 14, 9863. [Google Scholar] [CrossRef]
- Wang, H.; Ma, B.; Cudjoe, D.; Bai, R.; Farrukh, M. How Does Perceived Severity of COVID-19 Influence Purchase Intention of Organic Food? Br. Food J. 2022, 124, 3353–3367. [Google Scholar] [CrossRef]
- Iordache Platis, M.; Olteanu, C.; Hotoi, A.L. Evolution of the Online Sales of Sustainable Products in the COVID-19 Pandemic. Sustainability 2022, 14, 15291. [Google Scholar] [CrossRef]
- Schwartz, S.H.; Bilsky, W. Toward A Universal Psychological Structure of Human Values. J. Pers. Soc. Psychol. 1987, 53, 550–562. [Google Scholar] [CrossRef]
- Sreen, N.; Purbey, S.; Sadarangani, P. Impact of Culture, Behavior and Gender on Green Purchase Intention. J. Retail. Consum. Serv. 2018, 41, 177–189. [Google Scholar] [CrossRef]
- Coderoni, S.; Perito, M.A. Sustainable Consumption in the Circular Economy. An Analysis of Consumers’ Purchase Intentions for Waste-to-Value Food. J. Clean. Prod. 2020, 252, 119870. [Google Scholar] [CrossRef]
- Sarmiento-Peralta, G.; Severino-González, P.; Santander-Ramírez, V. Social Responsibility: University Volunteering and Virtuous Behaviour. The Case of a City in Peru. Form. Univ. 2021, 14, 19–28. [Google Scholar] [CrossRef]
- Severino-González, P.; Toro-Lagos, V.; Santinelli-Ramos, M.A.; Romero-Argueta, J.; Sarmiento-Peralta, G.; Kinney, I.S.; Ramírez-Molina, R.; Villar-Olaeta, F. Social Responsibility and Spiritual Intelligence: University Students’ Attitudes during COVID-19. Int. J. Environ. Res. Public Health 2022, 19, 11911. [Google Scholar] [CrossRef]
- Ortiz, P. Introducción a Una Psicobiología Del Hombre; Universidad Nacional Mayor de San Marcos, Facultad de Medicina: Lima, Peru, 2004; ISBN 9972834042. [Google Scholar]
- Wakeman, S.W.; Tsalis, G.; Jensen, B.B.; Aschemann-Witzel, J. Seeing the Issue Differently (Or Not At All): How Bounded Ethicality Complicates Coordination Towards Sustainability Goals. J. Bus. Ethics 2022, 178, 325–338. [Google Scholar] [CrossRef]
- Hoffmann-Burdzińska, K.; Stolecka-Makowska, A.; Flak, O.; Lipowski, M.; Łapczyński, M. Consumers’ Social Responsibility in the Process of Energy Consumption—The Case of Poland. Energies 2022, 15, 5127. [Google Scholar] [CrossRef]
- Božić, L. Attitudes Towards Climate Change and Electric Car Purchase—The Case of European Consumers. Tržište/Market 2021, 33, 81–94. [Google Scholar] [CrossRef]
- Reiter, L.; Kozar, J. Chinese Students’ Knowledge and Attitudes of Environmentally and Socially Sustainable Apparel and Sustainable Apparel Purchase Intentions: An Abstract. In Marketing at the Confluence between Entertainment and Analytics; Springer Nature: Berlin, Germany, 2017; pp. 363–364. [Google Scholar]
- Barr, S. Factors Influencing Environmental Attitudes and Behaviors: A U.K. Case Study of Household Waste Management. Environ. Behav. 2007, 39, 435–473. [Google Scholar] [CrossRef]
- Berezan, O.; Millar, M.; Raab, C. Sustainable Hotel Practices and Guest Satisfaction Levels. Int. J. Hosp. Tour. Adm. 2014, 15, 1–18. [Google Scholar] [CrossRef]
- Mensah, I. Environmental Education and Environmentally Responsible Behavior: The Case of International Tourists in Accra Hotels. Int. J. Tour. Sci. 2012, 12, 69–89. [Google Scholar] [CrossRef]
- van Haaren, R. Assessment of Electric Cars’ Range Requirements and Usage Patterns Based on Driving Behavior Recorded in the National Household Travel Survey of 2009; Earth and Environmental Engineering Department, Columbia University, Fu Foundation School of Engineering and Applied Science: New York, NY, USA, 2011; Volume 1. [Google Scholar]
- Habich-Sobiegalla, S.; Kostka, G.; Anzinger, N. Electric Vehicle Purchase Intentions of Chinese, Russian and Brazilian Citizens: An International Comparative Study. J. Clean. Prod. 2018, 205, 188–200. [Google Scholar] [CrossRef]
- Adamczyk, D.; Affeltowicz, D.; Maison, D. Relation Between Pro-Ecological Attitudes and Behavior: Comparison Between Poland and Belgium. In Proceedings of the International Conference on Computational Methods in Experimental Economics, Warsaw, Poland, 28–29 November 2019; Springer: Berlin/Heidelberg, Germany, 2021; pp. 379–395. [Google Scholar]
- Lewis, J.; Van Kooten, R. Review of Physics Results from the Tevatron: Heavy Flavor Physics. Int. J. Mod. Phys. A 2015, 30, 558–575. [Google Scholar] [CrossRef]
- Wijekoon, R.; Sabri, M.F. Sustainability Determinants That Influence Green Product Purchase Intention and Behavior: A Literature Review and Guiding Framework. Sustainability 2021, 13, 6219. [Google Scholar] [CrossRef]
- Peattie, K. Green Consumption: Behavior and Norms. Annu. Rev. Environ. Resour. 2010, 35, 195–228. [Google Scholar] [CrossRef]
- Blocker, T.J.; Eckberg, D.L. Gender and Environmentalism: Results from the 1993 General Social Survey. Soc. Sci. Q. 1997, 78, 841–858. [Google Scholar]
- Davidson, D.J.; Freudenburg, W.R. Gender and Environmental Risk Concerns: A Review and Analysis of Available Research. Environ. Behav. 1996, 28, 302–339. [Google Scholar] [CrossRef]
- Heenan, M.C. The Reproduction of Mothering: Psychoanalysis and the Sociology of Gender: A Reappraisal. Fem. Psychol. 2002, 12, 5–9. [Google Scholar] [CrossRef]
- Schahn, J.; Holzer, E. Studies of Individual Environmental Concern the Role of Knowledge, Gender, and Background Variables. Environ. Behav. 1990, 22, 767–786. [Google Scholar] [CrossRef]
- Wallhagen, M.; Eriksson, O.; Sörqvist, P. Gender Differences in Environmental Perspectives among Urban Design Professionals. Buildings 2018, 8, 59. [Google Scholar] [CrossRef]
- Hair, J.; Page, M.; Brunsveld, N. Essentials of Business Research Methods, 4th ed.; Informa UK Limited: New York, NY, USA, 2019; ISBN 97803671. [Google Scholar]
- Brislin, R.W. Back-Translation for Cross-Cultural Research. J. Cross. Cult. Psychol. 1970, 1, 185–216. [Google Scholar] [CrossRef]
- Hair, J.R.; Black, W.C.; Babin, B.J.; Anderson, R.E. Multivariante Data Analysis, 7th ed.; Pearson Prentice Hall: Hoboken, NJ, USA, 2010. [Google Scholar]
- Brown, T.A. Confirmatory Factor Analysis for Applied Research; American Library Association: Chicago, IL, USA, 2007; Volume 44, ISBN 9781593852740. [Google Scholar]
- Byrne, B. Structural Equation Modeling with LISREL, PRELIS, and SIMPLIS: Basic Concepts, Applications, and Programming; Lawrence Erlbaum Associates, Inc.: London, UK, 1998; ISBN 4018744242. [Google Scholar]
- Hair, J.F.; Hult, G.T.M.; Ringle, C.M.; Sarstedt, M. A Primer on Partial Least Squares Structural Equation Modeling (PLS-SEM), 2nd ed.; Informa UK Limited: New York, NY, USA, 2017. [Google Scholar]
- Valenzuela-Fernández, L.; Guerra-Velásquez, M.; Escobar-Farfán, M.; García-Salirrosas, E.E. Influence of COVID-19 on Environmental Awareness, Sustainable Consumption, and Social Responsibility in Latin American Countries. Sustainability 2022, 14, 12754. [Google Scholar] [CrossRef]
- García-Salirrosas, E.E.; Acevedo-Duque, Á. PERVAINCONSA Scale to Measure the Consumer Behavior of Online Stores of MSMEs Engaged in the Sale of Clothing. Sustainability 2022, 14, 2638. [Google Scholar] [CrossRef]
- Cronbach, L.J. Coefficient Alpha and the Internal Structure of Tests. Psychometrika 1951, 16, 297–334. [Google Scholar] [CrossRef]
- Fornell, C.; Larcker, D. Evaluating Structural Equation Models with Unobservable Variables and Measurement Error. J. Mark. Res. 1981, 18, 39–50. [Google Scholar] [CrossRef]
- Bagozzi, R.P.; Yi, Y. On the Evaluation of Structural Equation Models. J. Acad. Mark. Sci. 1988, 16, 74–94. [Google Scholar] [CrossRef]
- Henseler, J.; Ringle, C.M.; Sarstedt, M. A New Criterion for Assessing Discriminant Validity in Variance-Based Structural Equation Modeling. J. Acad. Mark. Sci. 2015, 43, 115–135. [Google Scholar] [CrossRef]
- Hu, L.; Bentler, P.M. Cutoff Criteria for Fit Indexes in Covariance Structure Analysis: Conventional Criteria versus New Alternatives. Struct. Equ. Model. 1999, 6, 1–55. [Google Scholar] [CrossRef]
- Cheung, G.W.; Rensvold, R.B. Structural Equation Modeling: A Evaluating Goodness-of- Fit Indexes for Testing Measurement Invariance. Struct. Equ. Model. A Multidiscip. J. 2009, 9, 233–255. [Google Scholar] [CrossRef]
- Van Ootegem, L.; Verhofstadt, E.; Defloor, B.; Bleys, B. The Effect of COVID-19 on the Environmental Impact of Our Lifestyles and on Environmental Concern. Sustainability 2022, 14, 8437. [Google Scholar] [CrossRef]
- González-Rodríguez, M.R.; Díaz-Fernández, M.C.; Font, X. Factors Influencing Willingness of Customers of Environmentally Friendly Hotels to Pay a Price Premium. Int. J. Contemp. Hosp. Manag. 2020, 32, 60–80. [Google Scholar] [CrossRef]
- Cohen, M.J. Does the COVID-19 Outbreak Mark the Onset of a Sustainable Consumption Transition? Sustain. Sci. Pract. Policy 2020, 16, 1–3. [Google Scholar] [CrossRef]
- Bamberg Sebastian How Does Environmental Concern Influence Specific Environmentally Related Behaviors? A New Answer to an Old Question. J. Environ. Psychol. 2003, 23, 21–32. [CrossRef]
- Sun, Z.Q.; Yoon, S.J. What Makes People Pay Premium Price for Eco-Friendly Products? The Effects of Ethical Consumption Consciousness, CSR, and Product Quality. Sustainability 2022, 14, 15513. [Google Scholar] [CrossRef]
- Hasbullah, N.N.; Sulaiman, Z.; Mas’od, A.; Ahmad Sugiran, H.S. Drivers of Sustainable Apparel Purchase Intention: An Empirical Study of Malaysian Millennial Consumers. Sustainability 2022, 14, 1945. [Google Scholar] [CrossRef]
- Kim, N.; Bye, E. Social and Environmental Apparel Practices and Perceived Value of “Made in the USA”. Res. J. Text. Appar. 2022. ahead-of-print. [Google Scholar] [CrossRef]
- Al-Haddad, S.; Sharabati, A.A.A.; Al-Khasawneh, M.; Maraqa, R.; Hashem, R. The Influence of Corporate Social Responsibility on Consumer Purchase Intention: The Mediating Role of Consumer Engagement via Social Media. Sustainability 2022, 14, 6771. [Google Scholar] [CrossRef]
- Yue, B.; Sheng, G.; She, S.; Xu, J. Impact of Consumer Environmental Responsibility on Green Consumption Behavior in China: The Role of Environmental Concern and Price Sensitivity. Sustainability 2020, 12, 2074. [Google Scholar] [CrossRef]
- Abbas, M.; Gao, Y.; Shah, S.S.H. CSR and Customer Outcomes: The Mediating Role of Customer Engagement. Sustainability 2018, 10, 4243. [Google Scholar] [CrossRef]
- Marin, L.; Ruiz, S. “I Need You Too!” Corporate Identity Attractiveness for Consumers and the Role of Social Responsibility. J. Bus. Ethics 2007, 71, 245–260. [Google Scholar] [CrossRef]
- Sen, S.; Bhattacharya, C. Does Doing Good Always Lead to Doing Better? Cunsumer Reactions to CSR. J. Mark. Res. 2001, 38, 225–243. [Google Scholar] [CrossRef]
- Eberle, D.; Berens, G.; Li, T. The Impact of Interactive Corporate Social Responsibility Communication on Corporate Reputation. J. Bus. Ethics 2013, 118, 731–746. [Google Scholar] [CrossRef]
- Carroll, A.B. Carroll’s Pyramid of CSR: Taking Another Look. Int. J. Corp. Soc. Responsib. 2016, 1, 3. [Google Scholar] [CrossRef]
- Mihaljevic, M.; Tokic, I. Ethics And Philanthropy In The Field Of Corporate Social Responsibility Pyramid. Interdiscip. Manag. Res. 2015, 11, 799–807. [Google Scholar]
- Sidek, J.J.; Omar, N.H.O.; Hua, N.T. Influence of Corporate Social Responsibility on Consumer Brand Engagement: A Study on Malaysian Youth. In Proceedings of the Asian Conference on Arts and Humanities 2017 Official Conference Proceedings, Kobe, Japan, 30 March–2 April 2017. [Google Scholar]
- Lanni, S. New Civil Codes and the Environment: The Contributions of China and Argentina. In The Making of the Civil Codes; Springer Science and Business Media B.V.: Berlin/Heidelberg, Germany, 2023; Volume 104, pp. 385–403. [Google Scholar]
- Ghislieri, C.; Molino, M.; Dolce, V.; Sanseverino, D.; Presutti, M. Work-Family Conflict during the Covid-19 Pandemic: Teleworking of Administrative and Technical Staff in Healthcare. An Italian Study. Med. Lav. 2021, 112, 229–240. [Google Scholar] [CrossRef]
- Zambrano-Monserrate, M.A.; Ruano, M.A.; Sanchez-Alcalde, L. Indirect Effects of COVID-19 on the Environment. Sci. Total Environ. 2020, 728, 138813. [Google Scholar] [CrossRef] [PubMed]
- Szlachciuk, J.; Kulykovets, O.; Dębski, M.; Krawczyk, A.; Górska-Warsewicz, H. The Shopping Behavior of International Students in Poland during COVID-19 Pandemic. Int. J. Environ. Res. Public Health 2022, 19, 11311. [Google Scholar] [CrossRef] [PubMed]
- Shen, X.; Cao, X.; Esfahani, S.S.; Saleem, T. Factors Influencing Consumers’ Purchase Intention on Cold Chain Aquatic Products under COVID-19: An Investigation in China. Int. J. Environ. Res. Public Health 2022, 19, 4903. [Google Scholar] [CrossRef] [PubMed]
Disclaimer/Publisher’s Note: The statements, opinions and data contained in all publications are solely those of the individual author(s) and contributor(s) and not of MDPI and/or the editor(s). MDPI and/or the editor(s) disclaim responsibility for any injury to people or property resulting from any ideas, methods, instructions or products referred to in the content. |
© 2023 by the authors. Licensee MDPI, Basel, Switzerland. This article is an open access article distributed under the terms and conditions of the Creative Commons Attribution (CC BY) license (https://creativecommons.org/licenses/by/4.0/).

