Psychological Capital and Organizational Citizenship Behaviors of Construction Workers: The Mediating Effect of Prosocial Motivation and the Moderating Effect of Corporate Social Responsibility
Abstract
:1. Introduction
2. Literature Background and Hypothetical Development
2.1. Employees’ Positive Psychological Capital and Employees’ OCB
2.2. Mediation of Prosocial Motivation in the Relationship between Employees’ PsyCap and Employees’ OCB
2.3. Moderation of CSR
3. Methods
3.1. Sample and Procedure
3.2. Measures
3.3. Analysis Strategy
4. Results
4.1. Preliminary Analyses
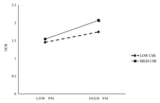
4.2. Hypothesis Tests
5. Discussion
5.1. Theoretical Implications
5.2. Practical Implications
5.3. Limitations and Future Directions
Author Contributions
Funding
Institutional Review Board Statement
Informed Consent Statement
Data Availability Statement
Acknowledgments
Conflicts of Interest
References
- Yang, D.; He, Q.; Cui, Q.; Hsu, S.C. Non-economic motivations for organizational citizenship behavior in construction megaprojects. Int. J. Proj. Manag. 2020, 38, 64–74. [Google Scholar] [CrossRef]
- Su, W.; Hahn, J. Improving millennial employees’ OCB: A multilevel mediated and moderated model of ethical leadership. Int. J. Environ. Res. Public Health 2022, 18, 8139. [Google Scholar] [CrossRef] [PubMed]
- Csikszentmihalyi, M.; Seligman, M. Positive psychology. Am. Psychol. 2000, 55, 5–14. [Google Scholar]
- Aydin Sünbül, Z.; Aslan Gördesli, M. Psychological capital and job satisfaction in public-school teachers: The mediating role of prosocial behaviours. J. Educ. Teach. 2021, 47, 147–162. [Google Scholar] [CrossRef]
- Luthans, F.; Avolio, B.J.; Avey, J.B.; Norman, S.M. Positive psychological capital: Measurement and relationship with performance and satisfaction. Pers. Psychol. 2007, 60, 541–572. [Google Scholar] [CrossRef]
- Jurek, K.; Niewiadomska, I. Relationship between psychological capital and quality of life among seniors working after retirement: The mediating role of hope of success. PLoS ONE 2021, 16, e0259273. [Google Scholar] [CrossRef] [PubMed]
- Bogler, R.; Somech, A. Psychological capital, team resources and organizational citizenship behavior. J. Psychol. 2019, 153, 784–802. [Google Scholar] [CrossRef]
- Yildiz, H. The interactive effect of positive psychological capital and organizational trust on organizational citizenship behavior. SAGE Open 2019, 9, 2158244019862661. [Google Scholar] [CrossRef]
- Smith, C.; Dennis, O.; Janet, N. Organizational citizenship behavior: Its nature & antecedents. J. Appl. Psychol. 1983, 68, 653–663. [Google Scholar]
- Norman, S.M.; Avey, J.B.; Nimnicht, J.L.; Graber Pigeon, N. The interactive effects of psychological capital and organizational identity on employee organizational citizenship and deviance behaviors. J. Leadersh. Organ. Stud. 2010, 17, 380–391. [Google Scholar] [CrossRef]
- Gupta, M.; Shaheen, M.; Reddy, P.K. Impact of psychological capital on organizational citizenship behavior: Mediation by work engagement. J. Manag. Dev. 2017, 36, 973–983. [Google Scholar] [CrossRef]
- Azim, A.M.M.; Dora, M.T. Perceived organizational support and organizational citizenship behavior: The mediating role of psychological capital. J. Hum. Cap. Dev. 2016, 9, 99–118. [Google Scholar]
- Sri Ramalu, S.; Janadari, N. Authentic leadership and organizational citizenship behaviour: The role of psychological capital. Int. J. Product. Perform. Manag. 2022, 71, 365–385. [Google Scholar] [CrossRef]
- Arshad, M.; Abid, G.; Torres, F.V.C. Impact of prosocial motivation on organizational citizenship behavior: The mediating role of ethical leadership and leader–member exchange. Qual. Quant. 2021, 55, 133–150. [Google Scholar] [CrossRef]
- Dawkins, S.; Martin, A.; Scott, J.; Sanderson, K. Building on the positives: A psychometric review and critical analysis of the construct of Psychological Capital. J. Occup. Organ. Psychol. 2013, 86, 348–370. [Google Scholar] [CrossRef]
- Grant, A.M.; Berg, J.M. Prosocial motivation at work. When, why, and how making a difference makes a difference. In The Oxford Handbook of Positive Organizational Scholarship; Cameron, K.S., Spreitzer, G.M., Eds.; Oxford University Press: Oxford, UK, 2012; pp. 28–44. [Google Scholar]
- Weiss, H.M.; Cropanzano, R. Affective events theory. Res. Organ. Behav. 1996, 18, 1–74. [Google Scholar]
- Barthorpe, S. Implementing corporate social responsibility in the UK construction industry. Prop. Manag. 2010, 28, 4–17. [Google Scholar] [CrossRef]
- Zhang, Q.; Oo, B.L.; Lim, B.T.H. Drivers, motivations, and barriers to the implementation of corporate social responsibility practices by construction enterprises: A review. J. Clean. Prod. 2019, 210, 563–584. [Google Scholar] [CrossRef]
- Lu, W.; Ye, M.; Flanagan, R.; Ye, K. Corporate social responsibility disclosures in international construction business: Trends and prospects. J. Constr. Eng. Manag. 2016, 142, 04015053. [Google Scholar] [CrossRef]
- Xie, L.; Xu, T.; Le, Y.; Chen, Q.; Xia, B.; Skitmore, M. Understanding the CSR Awareness of Large Construction Enterprises in China. Adv. Civ. Eng. 2020, 2020, 8866511. [Google Scholar] [CrossRef]
- Kunda, M.M.; Ataman, G.; Behram, N.K. Corporate social responsibility and organizational citizenship behavior: The mediating role of job satisfaction. J. Glob. Responsib. 2019, 10, 47–68. [Google Scholar] [CrossRef]
- Khaskheli, A.; Jiang, Y.; Raza, S.A.; Qureshi, M.A.; Khan, K.A.; Salam, J. Do CSR activities increase organizational citizenship behavior among employees? Mediating role of affective commitment and job satisfaction. Corp. Soc. Responsib. Environ. Manag. 2020, 27, 2941–2955. [Google Scholar] [CrossRef]
- Mirvis, P. Employee engagement and CSR: Transactional, relational, and developmental approaches. Calif. Manag. Rev. 2012, 54, 93–117. [Google Scholar] [CrossRef]
- Glavas, A.; Kelley, K. The effects of perceived corporate social responsibility on employee attitudes. Bus. Ethics Q. 2014, 24, 165–202. [Google Scholar] [CrossRef]
- Hart, R. Positive Psychology: The Basics, 1st ed.; Routledge: New York, NY, USA, 2020. [Google Scholar]
- Organ, D.W. Organizational citizenship behavior: It’s construct clean-up time. Hum. Perform. 1997, 10, 85–97. [Google Scholar] [CrossRef]
- Podsakoff, P.M.; MacKenzie, S.B.; Paine, J.B.; Bachrach, D.G. Organizational citizenship behaviors: A critical review of the theoretical and empirical literature and suggestions for future research. J. Manag. 2000, 26, 513–563. [Google Scholar] [CrossRef]
- Hobfoll, S. Conservation of resources. Am. Psychol. 1989, 44, 513–524. [Google Scholar] [CrossRef]
- Nawaz, M.; Abid, G.; Arya, B.; Bhatti, G.A.; Farooqi, S. Understanding employee thriving: The role of workplace context, personality and individual resources. Total Qual. Manag. Bus. Excell. 2020, 31, 1345–1362. [Google Scholar] [CrossRef]
- Wörtler, B.; Van Yperen, N.W.; Barelds, D.P. Do individual differences in need strength moderate the relations between basic psychological need satisfaction and organizational citizenship behavior? Motiv. Emot. 2020, 44, 315–328. [Google Scholar] [CrossRef]
- Bergeron, D.; Ostroff, C.; Schroeder, T.; Block, C. The dual effects of organizational citizenship behavior: Relationships to research productivity and career outcomes in academe. Hum. Perform. 2014, 27, 99–128. [Google Scholar] [CrossRef]
- Xu, J.; Xie, B.; Chung, B. Bridging the gap between affective well-being and organizational citizenship behavior: The role of work engagement and collectivist orientation. Int. J. Environ. Res. Public Health 2019, 16, 4503. [Google Scholar] [CrossRef] [PubMed]
- Newman, A.; Ucbasaran, D.; Zhu, F.E.I.; Hirst, G. Psychological capital: A review and synthesis. J. Organ. Behav. 2014, 35, 20–38. [Google Scholar] [CrossRef]
- Pradhan, R.K.; Jena, L.K.; Bhattacharya, P. Impact of psychological capital on organizational citizenship behaviour: Moderating role of emotional intelligence. Cogent Bus. Manag. 2016, 3, 1194174. [Google Scholar] [CrossRef]
- Karatepe, O.M.; Karadas, G. Do psychological capital and work engagement foster frontline employees’ satisfaction? A study in the hotel industry. Int. J. Contemp. Hosp. Manag. 2015, 27, 1254–1278. [Google Scholar] [CrossRef]
- Zbierowski, P. Social antecedents of entrepreneurial orientation–prosocial motivation and organizational citizenship behavior. J. Posit. Manag. 2018, 9, 83–100. [Google Scholar] [CrossRef]
- Ryan, R.M. Motivation and the organization of human behavior: Three reasons for the reemergence of a field. In The Oxford Handbook of Human Motivation; Ryan, R.M., Ed.; Oxford University Press: Oxford, UK, 2012; pp. 3–10. [Google Scholar]
- Patrick, R.B.; Bodine, A.J.; Gibbs, J.C.; Basinger, K.S. What accounts for prosocial behavior? Roles of moral identity, moral judgment, and self-efficacy beliefs. J. Genet. Psychol. 2018, 179, 231–245. [Google Scholar] [CrossRef] [PubMed]
- Wentzel, K.R. Prosocial behavior and peer relations in adolescence. In Prosocial Development: A Multidimensional Approach; Padilla-Walker, L.M., Carlo, G., Eds.; Oxford University Press: New York, NY, USA, 2014; pp. 178–200. [Google Scholar]
- Luthans, F. Positive organizational behavior: Developing and managing psychological strengths. Acad. Manag. Perspect. 2002, 16, 57–72. [Google Scholar] [CrossRef]
- Peetz, J.; Milyavskaya, M. A self-determination theory approach to predicting daily prosocial behavior. Motiv. Emot. 2021, 45, 617–630. [Google Scholar] [CrossRef]
- Rioux, S.M.; Penner, L.A. The causes of organizational citizenship behavior: A motivational analysis. J. Appl. Psychol. 2001, 86, 1306. [Google Scholar] [CrossRef]
- Shao, D.; Zhou, E.; Gao, P.; Long, L.; Xiong, J. Double-edged effects of socially responsible human resource management on employee task performance and organizational citizenship behavior: Mediating by role ambiguity and moderating by prosocial motivation. Sustainability 2019, 11, 2271. [Google Scholar] [CrossRef]
- Grant, A.M. Relational job design and the motivation to make a prosocial difference. Acad. Manag. Rev. 2007, 32, 393–417. [Google Scholar] [CrossRef]
- Michel, J.W. Antecedents of organizational citizenship behaviors: Examining the incremental validity of self-interest and prosocial motives. J. Leadersh. Organ. Stud. 2017, 24, 385–400. [Google Scholar] [CrossRef]
- Meglino, B.M.; Korsgaard, A. Considering rational self-interest as a disposition: Organizational implications of other orientation. J. Appl. Psychol. 2004, 89, 946–959. [Google Scholar] [CrossRef] [PubMed]
- Houghton, S.M.; Gabel, J.T.; Williams, D.W. Connecting the two faces of CSR: Does employee volunteerism improve compliance? J. Bus. Ethics 2009, 87, 477–494. [Google Scholar] [CrossRef]
- Werther, W.B., Jr.; Chandler, D. Strategic Corporate Social Responsibility: Stakeholders in a Global Environment; Sage Publications: New York, NY, USA, 2010. [Google Scholar]
- El Akremi, A.; Gond, J.P.; Swaen, V.; De Roeck, K.; Igalens, J. How do employees perceive corporate responsibility? Development and validation of a multidimensional corporate stakeholder responsibility scale. J. Manag. 2018, 44, 619–657. [Google Scholar] [CrossRef]
- Aguinis, H.; Glavas, A. On corporate social responsibility, sensemaking, and the search for meaningfulness through work. J. Manag. 2019, 45, 1057–1086. [Google Scholar] [CrossRef]
- Shao, B.; Cardona, P.; Ng, I.; Trau, R.N. Are prosocially motivated employees more committed to their organization? The roles of supervisors’ prosocial motivation and perceived corporate social responsibility. Asia Pac. J. Manag. 2017, 34, 951–974. [Google Scholar] [CrossRef]
- Bandura, A. Self-efficacy: Toward a unifying theory of behavioral change. Psychol. Rev. 1977, 84, 191–215. [Google Scholar] [CrossRef]
- Oo, E.Y.; Jung, H.; Park, I.J. Psychological factors linking perceived CSR to OCB: The role of organizational pride, collectivism, and person-organization fit. Sustainability 2018, 10, 2481. [Google Scholar] [CrossRef]
- Ashforth, B.E.; Mael, F. Social identity theory and the organization. Acad. Manag. Rev. 1989, 14, 20–39. [Google Scholar] [CrossRef]
- Kim, H.R.; Lee, M.; Lee, H.T.; Kim, N.M. Corporate social responsibility and employee–company identification. J. Bus. Ethics 2010, 95, 557–569. [Google Scholar] [CrossRef]
- Kristof, A.L. Person-organization fit: An integrative review of its conceptualizations, measurement, and implications. Pers. Psychol. 1996, 49, 1–49. [Google Scholar] [CrossRef]
- Bénabou, R.; Tirole, J. Individual and corporate social responsibility. Economica 2010, 77, 1–19. [Google Scholar] [CrossRef]
- Zhu, Y.; Sun, L.Y.; Leung, A.S.M. Corporate social responsibility, firm reputation, and firm performance: The role of ethical leadership. Asia Pac. J. Manag. 2014, 31, 925–947. [Google Scholar] [CrossRef]
- Edwards, J.R.; Cable, D.A. The value of value congruence. J. Appl. Psychol. 2009, 94, 654–677. [Google Scholar] [CrossRef] [PubMed]
- Zhang, Z.; Wang, M.; Shi, J.Q. Leader-follower congruence in proactive personality and work outcomes: The mediating role of leader-member exchange. Acad. Manag. J. 2012, 55, 111–130. [Google Scholar] [CrossRef]
- Jia, Y.; Yan, J.; Liu, T.; Huang, J. How does internal and external CSR affect employees’ work engagement? Exploring multiple mediation mechanisms and boundary conditions. Int. J. Environ. Health Res. 2019, 16, 2476. [Google Scholar] [CrossRef]
- Kim, M.J.; Kim, B.J. The performance implication of corporate social responsibility: The moderating role of employee’s prosocial motivation. Int. J. Environ. Health Res. 2021, 18, 3128. [Google Scholar] [CrossRef]
- Podsakoff, P.M.; MacKenzie, S.B.; Podsakoff, N.P. Sources of method bias in social science research and recommendations on how to control it. Annu. Rev. Psychol. 2012, 63, 539–569. [Google Scholar] [CrossRef]
- Luthans, F.; Avey, J.B.; Avolio, B.J.; Norman, S.M.; Combs, G.M. Psychological capital development: Toward a micro-intervention. J. Organ. Behav. 2006, 27, 387–393. [Google Scholar] [CrossRef]
- Grant, A.M.; Mayer, D.M. Good soldiers and good actors: Prosocial and impression management motives as interactive predictors of affiliative citizenship behaviors. J. Appl. Psychol. 2009, 94, 900–912. [Google Scholar] [CrossRef] [PubMed]
- Lee, K.; Allen, N.J. Organizational citizenship behavior and workplace deviance: The role of affect and cognitions. J. Appl. Psychol. 2002, 87, 131–142. [Google Scholar] [CrossRef] [PubMed]
- Turker, D. Measuring corporate social responsibility: A scale development study. J. Bus. Ethics 2009, 85, 411–427. [Google Scholar] [CrossRef]
- Browne, M.W.; Cudeck, R. Alternative ways of assessing model fit. Sociol. Methods Res. 1992, 21, 230–258. [Google Scholar] [CrossRef]
- Harman, H.H. Modern Factor Analysis, 3rd ed.; The University of Chicago Press: Chicago, IL, USA, 1976. [Google Scholar]
- George, D.; Mallery, P. SPSS for Windows Step by Step: A Simple Guide and Reference, 4th ed.; Allyn & Bacon: Boston, MA, USA, 2003. [Google Scholar]
- Hair, J.F.; Black, W.C.; Babin, B.J.; Anderson, R.E.; Tatham, R.L. Multivariate Data Analysis; Prentice-Hall: Upper Saddle River, NJ, USA, 1998. [Google Scholar]
- Fornell, C.; Larcker, D.F. Evaluating structural equation models with unobservable variables and measurement error. J. Mark. Res. 1981, 18, 39–50. [Google Scholar] [CrossRef]
- Baron, R.M.; Kenny, D.A. The moderator-mediator variable distinction in social psychological research: Conceptual, strategic, and statistical considerations. J. Pers. Soc. Psychol. 1986, 51, 1173–1182. [Google Scholar] [CrossRef]
- Arshad, M.; Abid, G.; Contreras, F.; Elahi, N.S.; Athar, M.A. Impact of prosocial motivation on organizational citizenship behavior and organizational commitment: The mediating role of managerial support. Eur. J. Investig. Health Psychol. Educ. 2021, 11, 436–449. [Google Scholar] [CrossRef]
- Hart, R.; Hart, D. Untying the Text: Organizational Prosociality and Kindness. Behav. Sci. 2023, 13, 186. [Google Scholar] [CrossRef]
- Wang, H.; Lu, W.; Ye, M.; Chau, K.W.; Zhang, X. The curvilinear relationship between corporate social performance and corporate financial performance: Evidence from the international construction industry. J. Clean. Prod. 2016, 137, 1313–1322. [Google Scholar] [CrossRef]
- Wang, X.H.F.; Yang, J.; Cao, R.; Lee, B.Y. Corporate social responsibility and collective OCB: A social identification perspective. Front. Psychol. 2019, 10, 2720. [Google Scholar] [CrossRef]
- Eberle, D.; Berens, G.; Li, T. The impact of interactive corporate social responsibility communication on corporate reputation. J. Bus. Ethics 2013, 118, 731–746. [Google Scholar] [CrossRef]
- Johansson, E.; Hart, R. The Outcomes of Organizational Citizenship Behaviors in Part-Time and Temporary Working University Students. Behav. Sci. 2023, 13, 697. [Google Scholar] [CrossRef] [PubMed]



| Variable | Items | Alpha | Factor Loading | CR | AVE |
|---|---|---|---|---|---|
| Positive psychological capital | 24 | 0.962 | 0.745–0.805 | 0.957 | 0.599 |
| Prosocial motivation | 5 | 0.905 | 0.755–0.994 | 0.911 | 0.675 |
| OCB | 11 | 0.915 | 0.650–0.828 | 0.919 | 0.508 |
| CSR | 17 | 0.960 | 0.697–0.847 | 0.951 | 0.565 |
| Variable | Mean | SD | 1 | 2 | 3 | 4 |
|---|---|---|---|---|---|---|
| Positive psychological capital | 3.704 | 0.781 | (0.774) | |||
| Prosocial motivation | 3.492 | 0.819 | 0.166 ** | (0.822) | ||
| OCB | 3.686 | 0.723 | 0.268 ** | 0.490 ** | (0.713) | |
| CSR | 3.484 | 0.764 | 0.005 | 0.180 ** | 0.144 ** | (0.752) |
| Estimates | 95% CI | Remarks | |
|---|---|---|---|
| PsyCap → OCB (total effect, c) | 0.248 *** | (0.143, 0.348) | Supported (H1) |
| PsyCap → PM (a) | 0.174 ** | (0.069, 0.286) | Supported (H2) |
| PM → OCB (b) | 0.405 *** | (0.321, 0.495) | |
| PsyCap → PM → OCB (a × b) | 0.07 ** | (0.028, 0.121) | Supported (H3) |
| PsyCap → OCB (direct effect, c’) | 0.178 ** | (0.074, 0.282) |
| Estimates | 95%CI | Remarks | |
|---|---|---|---|
| Group × individual → individual | |||
| PsyCap × CSR→ PM | 0.143 * | (0.026, 0.313) | Supported (H4) |
| Group × individual → individual | |||
| PM × CSR → OCB | 0.157 ** | (0.091, 0.285) | Supported (H5) |
Disclaimer/Publisher’s Note: The statements, opinions and data contained in all publications are solely those of the individual author(s) and contributor(s) and not of MDPI and/or the editor(s). MDPI and/or the editor(s) disclaim responsibility for any injury to people or property resulting from any ideas, methods, instructions or products referred to in the content. |
© 2023 by the authors. Licensee MDPI, Basel, Switzerland. This article is an open access article distributed under the terms and conditions of the Creative Commons Attribution (CC BY) license (https://creativecommons.org/licenses/by/4.0/).
Share and Cite
Su, W.; Hahn, J. Psychological Capital and Organizational Citizenship Behaviors of Construction Workers: The Mediating Effect of Prosocial Motivation and the Moderating Effect of Corporate Social Responsibility. Behav. Sci. 2023, 13, 981. https://doi.org/10.3390/bs13120981
Su W, Hahn J. Psychological Capital and Organizational Citizenship Behaviors of Construction Workers: The Mediating Effect of Prosocial Motivation and the Moderating Effect of Corporate Social Responsibility. Behavioral Sciences. 2023; 13(12):981. https://doi.org/10.3390/bs13120981
Chicago/Turabian StyleSu, Wei, and Juhee Hahn. 2023. "Psychological Capital and Organizational Citizenship Behaviors of Construction Workers: The Mediating Effect of Prosocial Motivation and the Moderating Effect of Corporate Social Responsibility" Behavioral Sciences 13, no. 12: 981. https://doi.org/10.3390/bs13120981
APA StyleSu, W., & Hahn, J. (2023). Psychological Capital and Organizational Citizenship Behaviors of Construction Workers: The Mediating Effect of Prosocial Motivation and the Moderating Effect of Corporate Social Responsibility. Behavioral Sciences, 13(12), 981. https://doi.org/10.3390/bs13120981
