Technostress, Quality of Work Life, and Job Performance: A Moderated Mediation Model
Abstract
:1. Introduction
2. Literature Review
2.1. Transactional Model of Stress and Coping
2.2. Technostress and Employee Performance
2.3. Technostress and the Quality of Work-Life
2.4. Quality of Work Life as a Mediator
2.5. Organizational Flexibility as a Moderator
3. Methodology
3.1. Sample and Data Collection
3.2. Instrumentation
3.3. Data Analysis Strategy
4. Results
4.1. Control Variables
4.2. Common Method Variance
4.3. Confirmatory Factor Analysis
4.4. Reliability Analysis
4.5. Convergent Validity
4.6. Discriminant Validity
4.7. Hypotheses Testing
5. Discussion
6. Conclusions
6.1. Theoretical and Practical Implications
6.2. Limitations and Future Directions
Author Contributions
Funding
Institutional Review Board Statement
Informed Consent Statement
Data Availability Statement
Acknowledgments
Conflicts of Interest
References
- Kim, D.G.; Lee, C.W. Exploring the roles of self-efficacy and technical support in the relationship between techno-stress and counter-productivity. Sustainability 2021, 13, 4349. [Google Scholar] [CrossRef]
- Bourlakis, M.; Nisar, T.M.; Prabhakar, G. How technostress may affect employee performance in educational work environments. Technol. Forecast. Soc. Chang. 2023, 193, 122674. [Google Scholar] [CrossRef]
- Shaukat, S.; Bendixen, L.D.; Ayub, N. The impact of technostress on teacher educators’ work–family conflict and life satisfaction while working remotely during COVID-19 in Pakistan. Educ. Sci. 2022, 12, 616. [Google Scholar] [CrossRef]
- Arabaci, I.B.; Deveci, S. The Relationship between High School Teachers’ Quality of Work Life and Job Satisfaction Levels. Shanlax Int. J. Educ. 2022, 10, 86–95. [Google Scholar] [CrossRef]
- Clay, M. Why U.S. Public School Teachers Are Leaving the Professional for Good. 2021. Available online: https://toughnickel.com/finding-job/Why-Are-Teachers-Quitting (accessed on 12 August 2023).
- Al-Ansari, M.A.; Alshare, K. The impact of technostress components on the employees satisfaction and perceived performance: The case of Qatar. J. Glob. Inf. Manag. 2019, 27, 65–86. [Google Scholar] [CrossRef]
- Tarafdar, M.; Cooper, C.L.; Stich, J.F. The technostress trifecta-techno eustress, techno distress and design: Theoretical directions and an agenda for research. Inf. Sys. J. 2019, 29, 6–42. [Google Scholar] [CrossRef]
- Saidy, J.; Garanti, Z.; Sadaka, R. Technostress Creators and Job Performance among Frontliners: Theorizing the Moderating Role of Self-Efficacy. Front. Psychol. 2022, 13, 827027. [Google Scholar] [CrossRef]
- Saleem, F.; Malik, M.I.; Qureshi, S.S. Work stress hampering employee performance during COVID-19: Is safety culture needed? Front. Psychol. 2021, 12, 655839. [Google Scholar] [CrossRef]
- Ertürk, R. The Effect of Teachers’ Quality of Work Life on Job Satisfaction and Turnover Intentions. Int. J. Contemp. Educ. Res. 2022, 9, 191–203. [Google Scholar] [CrossRef]
- La Torre, G.; Esposito, A.; Sciarra, I.; Chiappetta, M. Definition, symptoms and risk of techno-stress: A systematic review. Int. Arch. Occup. Environ. Health 2019, 92, 13–35. [Google Scholar] [CrossRef]
- Prabhakaran, A.; Mishr, H.K. Technological change in libraries: The evolution of techno stress. Res. World 2012, 3, 131–135. [Google Scholar]
- Salanova, M.; Llorens, S.; Cifre, E. The dark side of technologies: Technostress among users of information and communication technologies. Int. J. Psychol. 2013, 48, 422–436. [Google Scholar] [CrossRef] [PubMed]
- Williams, B.D.; Roh, J.; Tokar, T.; Swink, M. Leveraging supply chain visibility for responsiveness: The moderating role of internal integration. J. Oper. Manag. 2013, 31, 543–554. [Google Scholar] [CrossRef]
- Lawrence-Chuku, E.J.; Onuoha, B.C. Entrepreneurial Competence and Organizational Agility of Owner Manager Business in Rivers State, Nigeria. Int. J. Adv. Acad. Res. 2022, 8, 65–76. [Google Scholar]
- Pansini, M.; Buonomo, I.; De Vincenzi, C.; Ferrara, B.; Benevene, P. Positioning Technostress in the JD-R Model Perspective: A Systematic Literature Review. Healthcare 2023, 11, 446. [Google Scholar] [CrossRef]
- Lazarus, R.S.; Folkman, S. Transactional theory and research on emotions and coping. Eur. J. Pers. 1987, 1, 141–169. [Google Scholar] [CrossRef]
- Khlaif, Z.N.; Sanmugam, M.; Ayyoub, A. Impact of technostress on continuance intentions to use mobile technology. Asia-Pac. Educ. Res. 2023, 32, 151–162. [Google Scholar] [CrossRef]
- Ingusci, E.; Signore, F.; Giancaspro, M.L.; Manuti, A.; Molino, M.; Russo, V.; Zito, M.; Cortese, C.G. Workload, techno overload, and behavioral stress during COVID-19 emergency: The role of job crafting in remote workers. Front. Psychol. 2021, 12, 655148. [Google Scholar] [CrossRef]
- Çoklar, A.N.; Efilti, E.; Sahin, Y.L.; Akçay, A. Investigation of Techno-Stress Levels of Teachers Who Were Included in Technology Integration Processes. Turk. Online J. Educ. Technol. 2016, 1331–1339. [Google Scholar]
- Wang, Q.; Yao, N. The impact of technostress creators on novice teachers’ job satisfaction. J. Educ. Teach. 2021, 49, 104–119. [Google Scholar] [CrossRef]
- Zhao, X.; Xia, Q.; Huang, W. Impact of technostress on productivity from the theoretical perspective of appraisal and coping processes. Inf. Manag. 2020, 57, 103265. [Google Scholar] [CrossRef]
- Wang, Q.; Zhao, G.; Yao, N. Understanding the Impact of Technostress on University Teachers’ Online Teaching During the COVID-19 Pandemic with the Transactional Theory of Stress (TTS). Asia-Paci. Educ. Res. 2023, 1–12, in press. [Google Scholar] [CrossRef]
- Lei, C.F.; Ngai, E. The Double-Edged Nature of Technostress on Work Performance: A Research Model and Research Agenda. In Proceedings of the Thirty Fifth International Conference on Information Systems, Auckland, New Zealand, 14–17 December 2014; Available online: https://core.ac.uk/reader/301363420 (accessed on 20 August 2023).
- Chen, J.V.; Tran, A.; Nguyen, T. Understanding the discontinuance behavior of mobile shoppers as a consequence of technostress: An application of the stress-coping theory. Comput. Hum. Behav. 2019, 95, 83–93. [Google Scholar] [CrossRef]
- Penado Abilleira, M.; Rodicio-García, M.L.; Ríos-de Deus, M.P.; Mosquera-González, M.J. Technostress in Spanish university teachers during the COVID-19 pandemic. Front. Psychol. 2021, 12, 617650. [Google Scholar] [CrossRef] [PubMed]
- Graham, R.C.; Burgoyne, N.; Cantrell, P.; Smith, L.; St Clair, L.; Harris, R. Measuring the TPACK confidence of inservice science teachers. TechTrends 2009, 53, 70–79. [Google Scholar]
- Tarus, J.K.; Gichoya, D.; Muumbo, A. Challenges of implementing e-learning in Kenya: A case of Kenyan public universities. Int. Rev. Res. Open Distrib. Learn. 2015, 16, 120–141. [Google Scholar] [CrossRef]
- Voet, M.; De Wever, B. Towards a differentiated and domain-specific view of educational technology: An exploratory study of history teachers’ technology use. Brit. J. Educ. Technol. 2017, 48, 1402–1413. [Google Scholar] [CrossRef]
- Koh, J.H.L.; Chai, C.S.; Lim, W.Y. Teacher professional development for TPACK-21CL: Effects on teacher ICT integration and student outcomes. J. Educ. Comput. Res. 2017, 55, 172–196. [Google Scholar] [CrossRef]
- Schildkamp, K.; Wopereis, I.; Kat-De Jong, M.; Peet, A.; Hoetjes, I. Building blocks of instructor professional development for innovative ICT use during a pandemic. J. Prof. Cap. Commun. 2020, 5, 281–293. [Google Scholar] [CrossRef]
- Altınay-Gazi, Z.; Altınay-Aksal, F. Technology as mediation tool for improving teaching profession in higher education practices. Eurasia, J. Math. Sci. Technol. Educ. 2017, 13, 803–813. [Google Scholar] [CrossRef]
- Li, L.; Wang, X. Technostress inhibitors and creators and their impacts on university teachers’ work performance in higher education. Cogn. Technol. Work 2021, 23, 315–330. [Google Scholar] [CrossRef]
- Hossain, S.F.A.; Nurunnabi, M.; Hussain, K.; Saha, S.K. Effects of variety-seeking intention by mobile phone usage on university students’ academic performance. Cogent Educ. 2019, 6, 1574692. [Google Scholar] [CrossRef]
- Aktan, O.; Toraman, Ç. The relationship between Technostress levels and job satisfaction of Teachers within the COVID-19 period. Educ. Inf. Technol. 2022, 27, 10429–10453. [Google Scholar] [CrossRef]
- Dong, Y.; Xu, C.; Chai, C.S.; Zhai, X. Exploring the structural relationship among teachers’ technostress, technological pedagogical content knowledge (TPACK), computer self-efficacy and school support. Asia-Paci. Educ. Res. 2020, 29, 147–157. [Google Scholar] [CrossRef]
- Cahapay, M.B.; Bangoc, N.F., II. Technostress, work performance, job satisfaction, and career commitment of teachers amid COVID-19 crisis in the Philippines. Int. J. Educ. Res. Innov. 2021, 16, 260–275. [Google Scholar] [CrossRef]
- Impas, R.T.; Gempes, G.P. The Moderating Effect of Time Management on the Relationship between Quality of Work Life and Personal Effectiveness of Junior High School Teachers in Davao Region. Int. J. Manag. Excell. 2018, 12, 1713–1726. [Google Scholar] [CrossRef]
- Sirgy, M.J.; Efraty, D.; Siegel, P.; Lee, D.J. A new measure of quality of work life (QWL) based on need satisfaction and spillover theories. Soc. Indic. Res. 2001, 55, 241–302. [Google Scholar] [CrossRef]
- Saraji, G.N.; Dargahi, H. Study of quality of work life (QWL). Iran. J. Public Health 2006, 35, 8–14. [Google Scholar]
- Khan, S.; Thomas, G.; Kunbhar, B.A.; Mohamed, N.H.M. Impact of Work–Life Balance on Working Women in the Banking Sector. Adm. Sci. 2022, 13, 7. [Google Scholar] [CrossRef]
- Sahni, J. Role of quality of work life in determining employee engagement and organizational commitment in telecom industry. Int. J. Qual. Res. 2019, 13, 285–291. [Google Scholar] [CrossRef]
- Arif, S.; Ilyas, M. Quality of work-life model for teachers of private universities in Pakistan. Qual. Assur. Educ. 2013, 21, 282–298. [Google Scholar] [CrossRef]
- Amish, V.; Gupta, K.; Singh, A.P. The Importance of Life Satisfaction: Role of Demographic Variables and Quality of Work Life of College Teachers. Int. J. Soc. Sci. Econ. Res. 2019, 4, 2002–2019. [Google Scholar]
- Gordani, Y.; Saharkhiz Arabani, A.; Arjmandi, M.; Taghipour Bazargani, D. Modeling Structural Relationship Between Perceived Organizational Support and Quality of Work Life Among Secondary School Teachers of English as a Foreign Language. Issues Lang. Teach. 2020, 9, 285–309. [Google Scholar]
- Lee, Y.W.; Dai, Y.T.; Chang, M.Y.; Chang, Y.C.; Yao, K.G.; Liu, M.C. Quality of work life, nurses’ intention to leave the profession, and nurses leaving the profession: A one-year prospective survey. J. Nurs. Scholarsh. 2017, 49, 438–444. [Google Scholar] [CrossRef] [PubMed]
- Nimrod, G. Technostress: Measuring a new threat to well-being in later life. Aging Ment. Health 2018, 22, 1086–1093. [Google Scholar] [CrossRef] [PubMed]
- Demir, T. Relationship between Quality of Work Life Perception and Organizational Commitment in Vocational School Teachers. Unpublished. Master’s Thesis, Sabahattin Zaim University Institute of Social Sciences, Istanbul, Turkey, 2016. [Google Scholar]
- Aziz-Ur-Rehman, M.; Siddiqui, D.A. Relationship between flexible working arrangements and job satisfaction mediated by work-life balance: Evidence from public sector universities employees of Pakistan. Int. J. Hum. Resour. Stud. 2019, 10, 104–127. [Google Scholar] [CrossRef]
- Khassawneh, O.; Mohammad, T.; Ben-Abdallah, R.; Alabidi, S. The relationship between emotional intelligence and educators’ performance in higher education sector. Behav. Sci. 2022, 12, 511. [Google Scholar] [CrossRef]
- Jain, N.K.; Panda, A.; Choudhary, P. Institutional pressures and circular economy performance: The role of environmental management system and organizational flexibility in oil and gas sector. Bus. Strat. Environ. 2020, 29, 3509–3525. [Google Scholar] [CrossRef]
- Muneeb, D.; Khattak, A.; Wahba, K.; Abdalla, S.; Ahmad, S.Z. Dynamic capabilities as a strategic flexibility enabler: Organizational responsiveness to COVID-19. J. Asia Bus. Stud. 2023, 17, 824–849. [Google Scholar] [CrossRef]
- Srinivasan, R.; Swink, M. An investigation of visibility and flexibility as complements to supply chain analytics: An organizational information processing theory perspective. Prod. Oper. Manag. 2018, 27, 1849–1867. [Google Scholar] [CrossRef]
- Kelliher, C.; Anderson, D. Doing more with less? Flexible working practices and the intensification of work. Hum. Relat. 2010, 63, 83–106. [Google Scholar] [CrossRef]
- Moen, P.; Kelly, E.L.; Hill, R. Does enhancing work-time control and flexibility reduce turnover? A naturally occurring experiment. Soc. Prob. 2011, 58, 69–98. [Google Scholar] [CrossRef] [PubMed]
- Russell, H.; O’Connell, P.J.; McGinnity, F. The impact of flexible working arrangements on work–life conflict and work pressure in Ireland. Gend. Work Organ. 2009, 16, 73–97. [Google Scholar] [CrossRef]
- Baroudi, S.; Tamim, R.; Hojeij, Z. A quantitative investigation of intrinsic and extrinsic factors influencing teachers’ job satisfaction in Lebanon. Leadersh. Policy Sch. 2022, 21, 127–146. [Google Scholar] [CrossRef]
- Bran, C.; Udrea, C.I. The influence of motivation and flexibility on job performance. Eur. Proc. Soc. Behav. Sci. 2016, 15, 135–143. [Google Scholar]
- Rey-Merchán, M.D.C.; López-Arquillos, A. Occupational risk of technostress related to the use of ICT among teachers in Spain. Sustainability 2022, 14, 8746. [Google Scholar] [CrossRef]
- Tarafdar, M.; Tu, Q.; Ragu-Nathan, B.S.; Ragu-Nathan, T.S. The impact of technostress on role stress and productivity. J. Manag. Inf. Syst. 2007, 24, 301–328. [Google Scholar] [CrossRef]
- Koçyiğit, Y.; Akkaya, B. The role of organizational flexibility in organizational agility: A research on SMEs. Bus. Manag. Strat. 2020, 11, 110–123. [Google Scholar] [CrossRef]
- Koopmans, L.; Bernaards, C.M.; Hildebrandt, V.H.; De Vet, H.C.W.; Van der Beek, A.J. Construct validity of the individual work performance questionnaire. J. Occupant Environ. Med. 2014, 56, 331–337. [Google Scholar] [CrossRef]
- Hayes, A.F. Introduction to Mediation, Moderation, and Conditional Process Analysis. A Regression-Based Approach; The Guilford Press: New York, NY, USA, 2013. [Google Scholar]
- Podsakoff, P.M.; MacKenzie, S.B.; Lee, J.Y.; Podsakoff, N.P. Common method biases in behavioral research: A critical review of the literature and recommended remedies. J. Appl. Psycol. 2003, 88, 879–911. [Google Scholar] [CrossRef]
- Flynn, B.B.; Schroeder, R.G.; Sakakibara, S. A framework for quality management research and an associated measurement instrument. J. Oper. Manag. 1994, 11, 339–366. [Google Scholar] [CrossRef]
- Hair, J.F.; Risher, J.J.; Sarstedt, M.; Ringle, C.M. When to use and how to report the results of PLS-SEM. Eur. Bus. Rev. 2019, 31, 2–24. [Google Scholar] [CrossRef]
- Fornell, C.; Larcker, D.F. Structural Equation Models with Unobservable Variables and Measurement Error: Algebra and Statistics. J. Mak. Res. 1981, 18, 39–50. [Google Scholar]
- Ayyagari, R.; Grover, V.; Purvis, R. Technostress: Technological antecedents and implications. MIS Q. 2011, 35, 831–858. [Google Scholar] [CrossRef]
- Tarafdar, M.; Tu, Q.; Ragu-Nathan, T.S. Impact of technostress on end-user satisfaction and performance. J. Manag. Inf. Syst. 2010, 27, 303–334. [Google Scholar] [CrossRef]
- Franke, R.H.; Kaul, J.D. The Hawthorne experiments: First statistical interpretation. Am. Sociol. Rev. 1978, 43, 623–643. [Google Scholar] [CrossRef]
- Wickström, G.; Bendix, T. The “Hawthorne effect”—What did the original Hawthorne studies actually show? Scand. J. World Environ. Health 2000, 26, 363–367. [Google Scholar] [CrossRef]


| Variables | Categories | Frequency | Percent |
|---|---|---|---|
| Gender | Male | 123 | 61.8% |
| Female | 76 | 38.2% | |
| Age (years) | 20–30 | 61 | 30.7% |
| 31–40 | 109 | 54.8% | |
| 41–50 | 24 | 12.1% | |
| 50 and above | 5 | 2.5% | |
| Qualification | Masters (16 years) | 66 | 32.7% |
| MS/Ph.D. (18 years) | 133 | 67.3% | |
| University | Public | 95 | 47.7% |
| Private | 104 | 52.3% | |
| Experience (years) | 1–10 | 126 | 63.3% |
| 11–15 | 36 | 18.1% | |
| 16 and above | 37 | 18.6% |
| Construct/Variable | β | Alpha | CR | AVE |
|---|---|---|---|---|
| Techno complexity | 0.950 | 0.951 | 0.665 | |
| TC1 | 0.812 | |||
| TC2 | 0.989 | |||
| TC3 | 0.813 | |||
| TC4 | 0.719 | |||
| TC5 | 0.638 | |||
| Techno Overload | ||||
| TO1 | 0.823 | |||
| TO2 | 0.968 | |||
| TO3 | 0.816 | |||
| Techno Invasion | ||||
| TI1 | 0.862 | |||
| TI2 | 0.918 | |||
| TI3 | 0.936 | |||
| TI4 | 0.924 | |||
| Quality of Work Life (QWL) | 0.940 | 0.939 | 0.673 | |
| QWL1 | 0.748 | |||
| QWL2 | 0.845 | |||
| QWL3 | 0.852 | |||
| QWL4 | 0.817 | |||
| QWL5 | 0.866 | |||
| QWL6 | 0.826 | |||
| QWL7 | 0.826 | |||
| QWL8 | 0.773 | |||
| QWL9 | 0.761 | |||
| QWL10 | 0.793 | |||
| QWL11 | 0.820 | |||
| QWL12 | 0.853 | |||
| QWL13 | 0.837 | |||
| QWL14 | 0.854 | |||
| QWL15 | 0.825 | |||
| QWL16 | 0.775 | |||
| Organizational Flexibility (OF) | 0.969 | 0.971 | 0.769 | |
| OF1 | 0.830 | |||
| OF2 | 0.865 | |||
| OF3 | 0.886 | |||
| OF4 | 0.888 | |||
| OF5 | 0.905 | |||
| OF6 | 0.896 | |||
| OF7 | 0.877 | |||
| OF8 | 0.884 | |||
| OF9 | 0.869 | |||
| OF10 | 0.868 | |||
| Employee Performance (EP) | 0.940 | 0.949 | 0.729 | |
| EP1 | 0.736 | |||
| EP2 | 0.820 | |||
| EP3 | 0.881 | |||
| EP4 | 0.866 | |||
| EP5 | 0.880 | |||
| EP6 | 0.898 | |||
| EP7 | 0.850 | |||
| Goodness of Fit Indices | ||||
| χ2 = 1599; d.f. = 927; χ2/d.f. = 1.74; p < 0.001; CFI = 0.94; GFI = 0.74; AGFI = 0.71; RMSEA = 0.06 | ||||
| Variable | No. of Items | Mean | s.d. | TS | QWL | OF | EP | |
|---|---|---|---|---|---|---|---|---|
| 1 | TS | 13 | 3.19 | 0.94 | 0.665 | |||
| 2 | QWL | 7 | 3.83 | 0.87 | −0.117 (0.013) | 0.673 | ||
| 3 | OF | 6 | 3.41 | 1.08 | 0.206 ** (0.042) | 0.168 * (0.028) | 0.769 | |
| 4 | EP | 4 | 3.12 | 1.03 | 0.174 * (0.030) | 0.256 ** (0.065) | 0.648 ** (0.420) | 0.729 |
| Path | Estimate | SE | CR | p-Value |
|---|---|---|---|---|
| TC→EP | 0.439 | 0.13 | 5.765 | 0.000 |
| TI→EP | 0.189 | 0.06 | 2.889 | 0.000 |
| TO→EP | 0.396 | 0.11 | 5.404 | 0.004 |
| TC→QWL | −0.365 | 0.09 | −4.422 | 0.000 |
| TI→QWL | −0.119 | 0.05 | −1.837 | 0.066 |
| TO→QWL | −0.303 | 0.11 | −5.249 | 0.000 |
| QWL→EP | 0.304 | 0.08 | 4.408 | 0.000 |
| Standardized Effects of Technostress on Employee Performance | ||||
| Effect | Total Effect | Direct Effect | Indirect Effect | |
| TC | 0.315 | 0.439 | −0.041 | |
| TI | 0.148 | 0.189 | −0.103 | |
| TO | 0.293 | 0.396 | −0.124 | |
| Goodness of Fit Indices | ||||
| χ2 = 1524; d.f. = 547; χ2/d.f. = 2.788; p < 0.001; CFI = 0.89; GFI = 0.73; TLI = 0.87 RMSEA = 0.09 | ||||
| Effects Using 5000 Bootstrap 95% CI | ||||
|---|---|---|---|---|
| Path (Outcome QWL) | Estimate | SE | LL 95% CI | UL 95% CI |
| TS | −0.124 ** | 0.06 | −0.247 | −0.002 |
| OF | 0.219 * | 0.06 | 0.089 | 0.314 |
| TS-X-OF | 0.176 * | 0.05 | 0.066 | 0.256 |
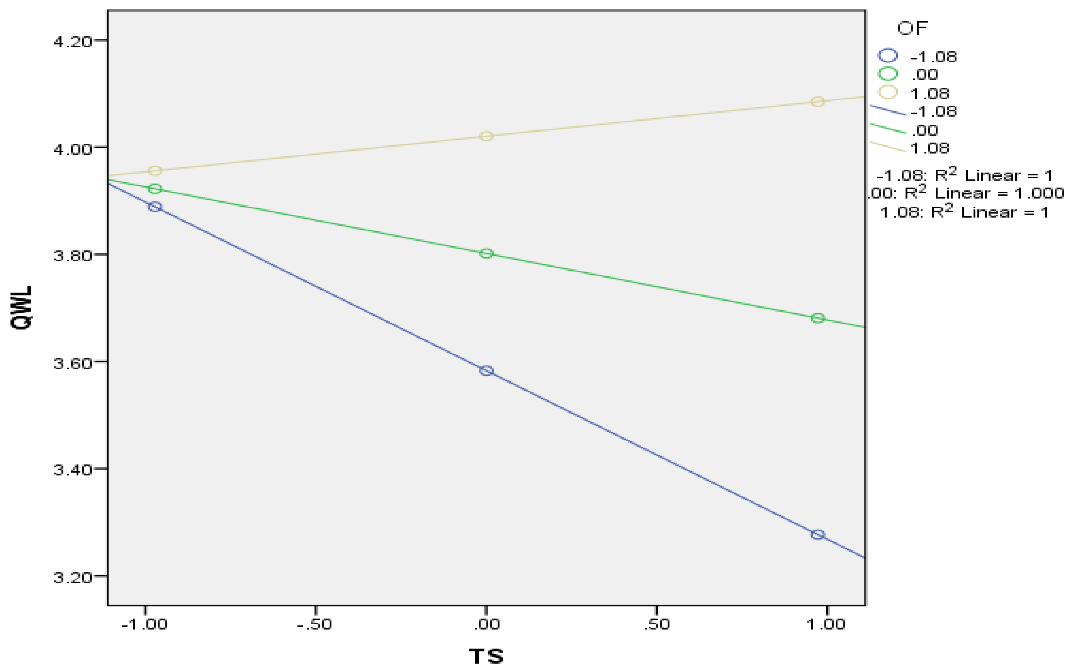
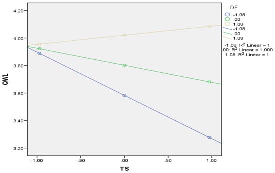
| Conditional Effects of OF using 5000 Bootstrap 95% CI TS→QWL | ||||
| values of OF | Effect | SE | LL 95% CI | UL 95% CI |
| −1.084 | −0.315 * | 0.08 | −0.475 | −0.154 |
| 0.000 | −0.124 ** | 0.06 | −0.246 | −0.002 |
| 1.084 | 0.066 | 0.09 | −0.114 | 0.247 |
| Conditional Effects using 5000 Bootstrap 95% CI | ||||
| Path (Outcome EP) | Estimate | SE | LL 95% CI | UL 95% CI |
| TS | 0.018 | 0.04 | −0.065 | 0.101 |
| QWL | 0.149 * | 0.05 | 0.054 | 0.244 |
| OF | 0.774 * | 0.04 | 0.697 | 0.852 |
| TS-X-OF | −0.012 | 0.04 | −0.087 | 0.064 |
| Conditional Indirect Effects of OF using 5000 Bootstrap 95% CI TS→QWL→EP | ||||
| Indirect Effect at different values of OF | Effect | SE | LL 95% CI | UL 95% CI |
| −1.084 | −0.047 * | 0.02 | −0.101 | −0.012 |
| 0.000 | −0.018 | 0.01 | −0.042 | 0.001 |
| 1.084 | 0.009 | 0.02 | −0.016 | 0.054 |
Disclaimer/Publisher’s Note: The statements, opinions and data contained in all publications are solely those of the individual author(s) and contributor(s) and not of MDPI and/or the editor(s). MDPI and/or the editor(s) disclaim responsibility for any injury to people or property resulting from any ideas, methods, instructions or products referred to in the content. |
© 2023 by the authors. Licensee MDPI, Basel, Switzerland. This article is an open access article distributed under the terms and conditions of the Creative Commons Attribution (CC BY) license (https://creativecommons.org/licenses/by/4.0/).
Share and Cite
Saleem, F.; Malik, M.I. Technostress, Quality of Work Life, and Job Performance: A Moderated Mediation Model. Behav. Sci. 2023, 13, 1014. https://doi.org/10.3390/bs13121014
Saleem F, Malik MI. Technostress, Quality of Work Life, and Job Performance: A Moderated Mediation Model. Behavioral Sciences. 2023; 13(12):1014. https://doi.org/10.3390/bs13121014
Chicago/Turabian StyleSaleem, Farida, and Muhammad Imran Malik. 2023. "Technostress, Quality of Work Life, and Job Performance: A Moderated Mediation Model" Behavioral Sciences 13, no. 12: 1014. https://doi.org/10.3390/bs13121014
APA StyleSaleem, F., & Malik, M. I. (2023). Technostress, Quality of Work Life, and Job Performance: A Moderated Mediation Model. Behavioral Sciences, 13(12), 1014. https://doi.org/10.3390/bs13121014

