The Impact of Mindful Learning on Subjective and Psychological Well-Being in Postgraduate Students
Abstract
1. Introduction
1.1. Mindful Learning
1.2. The Relationship between Mindful Learning and Well-Being
2. Study 1
2.1. Design and Participants
2.2. Measures and Analysis
2.3. Results
2.3.1. Descriptive and Correlation Analyses
2.3.2. Regression Analysis
3. Study 2
3.1. Design and Participants
3.2. Measures
3.3. Intervention Procedure
3.4. Data Analysis
3.5. Results
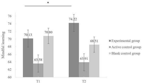
3.5.1. The Development of Mindful Learning
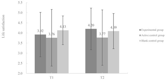
3.5.2. The Development of SWB
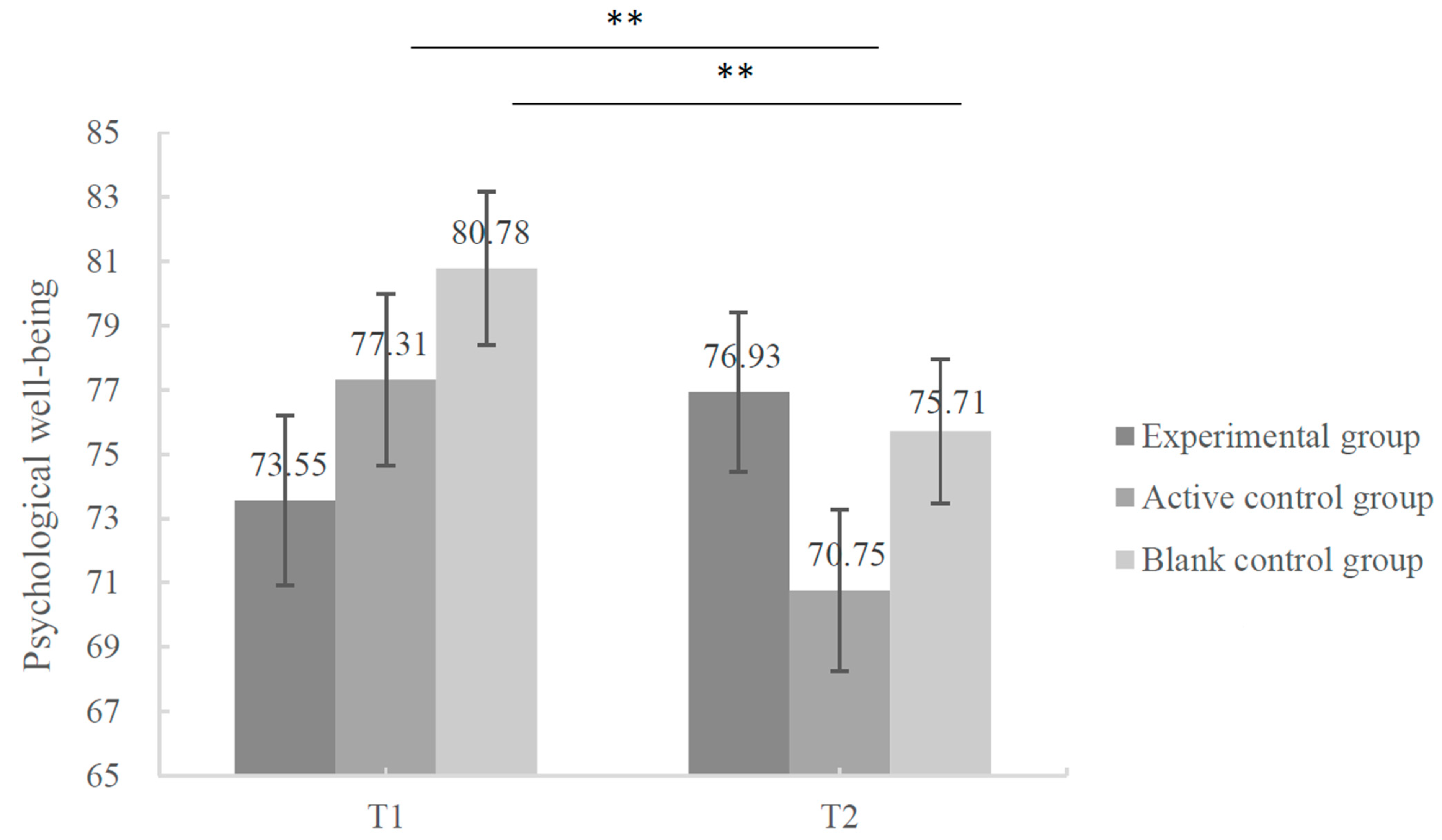
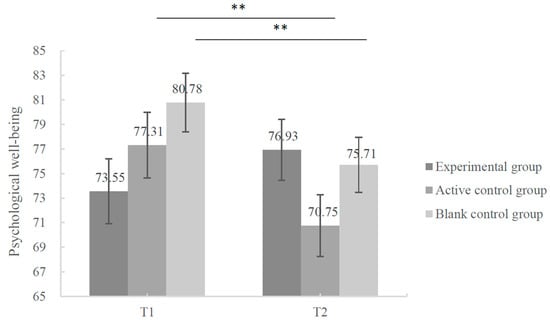
3.5.3. The Development of PWB
3.5.4. The Impact of Mindful Learning on SWB and PWB
4. Discussion
Limitations and Future Directions
5. Conclusions
Author Contributions
Funding
Institutional Review Board Statement
Informed Consent Statement
Data Availability Statement
Conflicts of Interest
References
- Dodd, R.H.; Dadaczynski, K.; Okan, O.; McCaffery, K.J.; Pickles, K. Psychological wellbeing and academic experience of university students in Australia during COVID-19. Int. J. Environ. Res. Public Health 2021, 18, 866. [Google Scholar] [CrossRef] [PubMed]
- Nielsen, I.; Newman, A.; Smyth, R.; Hirst, G.; Heilemann, B. The influence of instructor support, family support and psychological capital on the well-being of postgraduate students: A moderated mediation model. Stud. High. Educ. 2017, 42, 2099–2115. [Google Scholar] [CrossRef]
- Odaci, H. The role of computer self-efficacy, self-esteem, and subjective well-being in predicting research self-efficacy among postgraduate students. Asia-Pac. Educ. Res. 2013, 22, 399–406. [Google Scholar] [CrossRef]
- Shabir, G. Technology Acceptance Model and Academic Performance of Postgraduate Students: The Moderating Role of Academic Self-Efficacy; Library Philosophy and Practice: Lincoln, NE, USA, 2021; p. 1A-22. [Google Scholar]
- Carr, M. Being a learner: Five learning dispositions for early childhood. Early Child. Pract. 1999, 1, 82–99. [Google Scholar]
- Claxton, G. Wise-Up: The Challenge of Lifelong Learning; Bloomsbury: London, UK, 1999. [Google Scholar]
- Duckworth, A.L.; Yeager, D.S. Measurement matters: Assessing personal qualities other than cognitive ability for educational purposes. Educ. Res. 2015, 44, 237–251. [Google Scholar] [CrossRef] [PubMed]
- Cooper, C.; Boyd, J. Mindful Learning; Global Learning Communities: Launceston, Australia, 1996. [Google Scholar]
- Langer, E.J. The Power of Mindful Learning; Da Capo Lifelong Books: Boston, MA, USA, 2016. [Google Scholar]
- Langer, E.J. Mindful learning. Curr. Dir. Psychol. Sci. A J. Am. Psychol. Soc. 2000, 9, 220–223. [Google Scholar] [CrossRef]
- Lin, Y.T. The interrelationship among psychological capital, mindful learning, and English learning engagement of university students in Taiwan. SAGE Open 2020, 10, 2158244020901603. [Google Scholar] [CrossRef]
- Anglin, L.P.; Pirson, M.; Langer, E. Mindful learning: A moderator of gender differences in mathematics performance. J. Adult Dev. 2008, 15, 132–139. [Google Scholar] [CrossRef]
- Wang, Y.; Liu, C. Cultivate Mindfulness: A Case Study of Mindful Learning in an English as a Foreign Language Classroom. IAFOR J. Educ. 2016, 4, 141–155. [Google Scholar] [CrossRef]
- Haller, C.S.; Bosman, C.M.; Kapur, K.; Zafonte, R.; Langer, E.J. Mindful creativity matters: Trajectories of reported functioning after severe traumatic brain injury as a function of mindful creativity in patients’ relatives: A Multilevel analysis. Qual. Life Res. 2017, 26, 893–902. [Google Scholar] [CrossRef] [PubMed]
- Saputra, M.J.; Piscayanti, K.S.; Agustini, D.A.E. The Effect of Mindful Learning on Students’ Writing Competency. J. Pendidik. Indones. 2020, 9, 553–564. [Google Scholar] [CrossRef]
- Yeh, Y.C.; Chen, S.Y.; Rega, E.M.; Lin, C.S. Mindful learning experience facilitates mastery experience through heightened flow and self-efficacy in game-based creativity learning. Front. Psychol. 2019, 10, 1593. [Google Scholar] [CrossRef]
- Yanko, M.; Yap, P. A symbiotic link between music, movement, and social emotional learning: Mindful learning in early learners. LEARNing Landsc. 2020, 13, 249–264. [Google Scholar] [CrossRef]
- Hassed, C.; Chambers, R. Mindful Learning: Reduce Stress and Improve Brain Performance for Effective Learning; Exisle Publishing: Gosford, Australia, 2014; Volume 3. [Google Scholar]
- Langer, E.J. Minding matters: The consequences of mindlessness-mindfulness. Adv. Exp. Soc. Psychol. 1989, 22, 137–173. [Google Scholar]
- Langer, E.J. Mindfulness; Da Capo Lifelong Books: Boston, MA, USA, 2014. [Google Scholar]
- Langer, E.J.; Moldoveanu, M. The construct of mindfulness. J. Soc. Issues 2000, 56, 1–9. [Google Scholar] [CrossRef]
- Piscayanti, K.S. The power of mindful learning in professional development course. In SHS Web of Conferences; EDP Sciences: Les Ulis, France, 2018; Volume 42, p. 00100. [Google Scholar]
- Davenport, C.; Pagnini, F. Mindful learning: A case study of Langerian mindfulness in schools. Front. Psychol. 2016, 7, 1372. [Google Scholar] [CrossRef] [PubMed]
- Yeh, Y.C.; Chang, H.L.; Chen, S.Y. Mindful learning: A mediator of mastery experience during digital creativity game-based learning among elementary school students. Comput. Educ. 2019, 132, 63–75. [Google Scholar] [CrossRef]
- Yeh, Y.C.; Chang, C.Y.; Ting, Y.S.; Chen, S.Y. Effects of Mindful Learning Using a Smartphone Lens in Everyday Life and Beliefs toward Mobile based Learning on Creativity Enhancement. Educ. Technol. Soc. 2020, 23, 45–58. [Google Scholar]
- Bakosh, L.S.; Snow, R.M.; Tobias, J.M.; Houlihan, J.L.; Barbosa-Leiker, C. Maximizing mindful learning: Mindful awareness intervention improves elementary school students’ quarterly grades. Mindfulness 2016, 7, 59–67. [Google Scholar] [CrossRef]
- Joshanloo, M. Investigating the relationships between subjective well-being and psychological well-being over two decades. Emotion 2018, 19, 183–187. [Google Scholar] [CrossRef]
- Ryan, R.M.; Deci, E.L. On happiness and human potentials: A review of research on hedonic and eudaimonic well-being. Annu. Rev. Psychol. 2001, 52, 141–166. [Google Scholar] [CrossRef]
- Diener, E. Subjective well-being. Psychol. Bull. 1984, 95, 542–575. [Google Scholar] [CrossRef] [PubMed]
- Diener, E. Introduction to the special section on the structure of emotion. J. Personal. Soc. Psychol. 1999, 76, 803–804. [Google Scholar] [CrossRef] [PubMed]
- Kahneman, D.; Diener, E.; Schwarz, N. (Eds.) Well-Being: The Foundations of Hedonic Psychology; Russell Sage: New York, NY, USA, 1999. [Google Scholar]
- Lyubomirsky, S.; Lepper, H.S. A measure of subjective happiness: Preliminary reliability and construct validation. Soc. Indic. Res. 1999, 46, 137–155. [Google Scholar] [CrossRef]
- Keyes, C.L.M.; Shmotkin, D.; Ryff, C.D. Optimizing well-being: The empirical encounter of two traditions. J. Personal. Soc. Psychol. 2002, 82, 1007–1022. [Google Scholar] [CrossRef]
- Ryff, C.D. Happiness is everything, or is it? Explorations on the meaning of psychological well-being. J. Personal. Soc. Psychol. 1989, 57, 1069–1081. [Google Scholar] [CrossRef]
- Ryff, C.D.; Keyes, C.L.M. The structure of psychological well-being revisited. J. Personal. Soc. Psychol. 1995, 69, 719–727. [Google Scholar] [CrossRef]
- Waterman, A.S. Two conceptions of happiness: Contrasts of personal expressiveness (eudaimonia) and hedonic enjoyment. J. Personal. Soc. Psychol. 1993, 64, 678–691. [Google Scholar] [CrossRef]
- Linley, P.A.; Maltby, J.; Wood, A.M.; Osborne, G.; Hurling, R. Measuring happiness: The higher order factor structure of subjective and psychological well-being measures. Personal. Individ. Differ. 2009, 47, 878–884. [Google Scholar] [CrossRef]
- Nave, C.S.; Sherman, R.A.; Funder, D.C. Beyond self-report in the study of hedonic and eudaimonic well-being: Correlations with acquaintance reports, clinician judgments and directly. J. Res. Personal. 2008, 42, 643–659. [Google Scholar] [CrossRef][Green Version]
- Ryan, R.M.; Deci, E.L. Self-determination theory and the facilitation of intrinsic motivation, social development, and well-being. Am. Psychol. 2000, 55, 68–78. [Google Scholar] [CrossRef] [PubMed]
- Li, Y.; Lan, J.; Ju, C. Achievement motivation and attributional style as mediators between perfectionism and subjective well-being in Chinese university students. Personal. Individ. Differ. 2015, 79, 146–151. [Google Scholar] [CrossRef]
- Malinauskas, R.; Malinauskiene, V. The relationship between emotional intelligence and psychological well-being among Male University Students: The mediating role of perceived social support and perceived stress. Int. J. Environ. Res. Public Health 2020, 17, 1605. [Google Scholar] [CrossRef] [PubMed]
- Xiang, Z.; Tan, S.; Kang, Q.; Zhang, B.; Zhu, L. Longitudinal effects of examination stress on psychological well-being and a possible mediating role of self-esteem in Chinese high school students. J. Happiness Stud. 2019, 20, 283–305. [Google Scholar] [CrossRef]
- Yang, Q.; Tian, L.; Huebner, E.S.; Zhu, X. Relations among academic achievement, self-esteem, and subjective well-being in school among elementary school students: A longitudinal mediation model. Sch. Psychol. 2019, 34, 328–340. [Google Scholar] [CrossRef] [PubMed]
- Zach, S.; Inglis, V. The Relationships between Personality Traits, Subjective Well-Being, and Academic Achievements among Physical Education Teacher Education Students. J. Cogn. Educ. Psychol. 2019, 18, 52–66. [Google Scholar] [CrossRef]
- Kabat-Zinn, J. Full Castastrophe Living: The Program of the Stress Reduction Clinic at the University of Massachusetts Medical Center; Dell Publishing: New York, NY, USA, 1990. [Google Scholar]
- Pagnini, F.; Philips, D. Being mindful about mindfulness. Lancet Psychiatry 2015, 2, 288–289. [Google Scholar] [CrossRef]
- Hassed, C. Mindful learning: Why attention matters in education. Int. J. Sch. Educ. Psychol. 2016, 4, 52–60. [Google Scholar] [CrossRef]
- Greenberg, J.; Reiner, K.; Meiran, N. “Mind the Trap”: Mindfulness Practice Reduces Cognitive Rigidity. PLoS ONE 2012, 7, e36206. [Google Scholar] [CrossRef]
- Chambers, R.; Gullone, E.; Hassed, C.; Knight, W.; Garvin, T.; Allen, N. Mindful emotion regulation predicts recovery in depressed youth. Mindfulness 2015, 6, 523–534. [Google Scholar] [CrossRef]
- McConville, J.; McAleer, R.; Hahne, A. Mindfulness training for health profession students-the effect of mindfulness training on psychological well-being, learning and clinical performance of health professional students: A systematic review of randomized and non-randomized controlled trials. Explore 2017, 13, 26–45. [Google Scholar] [CrossRef] [PubMed]
- Hanley, A.; Warner, A.; Garland, E. Associations between mindfulness, psychological well-being, and subjective well-being with respect to contemplative practice. J. Happiness Stud. 2015, 16, 1423–1436. [Google Scholar] [CrossRef]
- Keng, S.-L.; Smoski, M.J.; Robins, C.J. Effects of mindfulness on psychological health: A review of empirical studies. Clin. Psychol. Rev. 2011, 31, 1041–1056. [Google Scholar] [CrossRef] [PubMed]
- Parto, M.A.; Besharat, M. Mindfulness, psychological well-being and psychological distress in adolescents: Assessing the mediating variables and mechanisms of autonomy and self-regulation. Soc. Behav. Sci. 2011, 30, 578–582. [Google Scholar] [CrossRef]
- Weare, K. Developing mindfulness with children and young people: A review of the evidence and policy context. J. Child. Serv. 2013, 8, 141–153. [Google Scholar] [CrossRef]
- Chang, J.H.; Huang, C.L.; Lin, Y.C. Mindfulness, basic psychological needs fulfillment, and well-being. J. Happiness Stud. 2015, 16, 1149–1162. [Google Scholar] [CrossRef]
- Gootjes, L.; Rassin, E. Perceived thought control mediates positive effects of meditation experience on affective functioning. Mindfulness 2014, 5, 1–9. [Google Scholar] [CrossRef]
- West, C.P.; Dyrbye, L.N.; Rabatin, J.T.; Call, T.G.; Davidson, J.H.; Multari, A.; Romanski, S.A.; Hellyer, J.M.H.; Sloan, J.A.; Shanafelt, T.D. Intervention to promote physician well-being, job satisfaction, and professionalism: A randomized clinical trial. JAMA Intern. Med. 2014, 174, 527–533. [Google Scholar] [CrossRef]
- de Vibe, M.; Solhaug, I.; Tyssen, R.; Friborg, O.; Rosenvinge, J.H.; Sørlie, T.; Bjørndal, A. Mindfulness training for stress management: A randomised controlled study of medical and psychology students. BMC Med. Educ. 2013, 13, 107. [Google Scholar] [CrossRef]
- Kuyken, W.; Weare, K.; Ukoumunne, O.C.; Vicary, R.; Motton, N.; Burnett, R.; Cullen, C.; Hennelly, S.; Huppert, F. Effectiveness of the Mindfulness in Schools Programme: Non-randomised controlled feasibility study. Br. J. Psychiatry J. Ment. Sci. 2013, 203, 126–131. [Google Scholar] [CrossRef]
- Huppert, F.A.; Johnson, D.M. A controlled trial of mindfulness training in schools: The importance of practice for an impact on well-being. J. Posit. Psychol. 2010, 5, 264–274. [Google Scholar] [CrossRef]
- Meiklejohn, J.; Phillips, C.; Freedman, M.L.; Griffin, M.L.; Biegel, G.; Roach, A.; Frank, J.; Burke, C.; Pinger, L.; Soloway, G.; et al. Integrating mindfulness training into k-12 education: Fostering the resilience of teachers and students. Mindfulness 2012, 3, 291–307. [Google Scholar] [CrossRef]
- Deci, E.L.; Ryan, R.M. Intrinsic Motivation and Self-Determination in Human Behavior; Plenum Press: New York, NY, USA, 1985. [Google Scholar]
- Deci, E.L.; Ryan, R.M. The “what” and “why” of goal pursuits: Human needs and the self-determination of behavior. Psychol. Inq. 2000, 11, 227–268. [Google Scholar] [CrossRef]
- Wang, Q.; Peng, Y. The development of Mindful Agency Scale for college students (Chinese). J. East China Norm. Univ. (Educ. Sci.) 2017, 5, 146–154. [Google Scholar]
- Davids, E.L.; Roman, N.V.; Kerchhoff, L.J. Adolescent goals and aspirations in search of psychological well-being: From the perspective of self-determination theory. South Afr. J. Psychol. 2017, 47, 121–132. [Google Scholar] [CrossRef]
- Vansteenkiste, M.; Zhou, M.M.; Lens, W.; Soenens, B. Experiences of autonomy and control among Chinese learners: Vitalizing or immobilizing? J. Educ. Psychol. 2005, 97, 468–483. [Google Scholar] [CrossRef]
- Blanchard, C.M.; Amiot, C.E.; Perreault, S.; Vallerand, R.J.; Provencher, P. Cohesiveness, coach’s interpersonal style and psychological needs: Their effects on self-determination and athletes’ subjective well-being. Psychol. Sport Exerc. 2009, 10, 545–551. [Google Scholar] [CrossRef]
- Weinstein, N.; Ryan, R.M. When helping helps: Autonomous motivation for prosocial behavior and its influence on well-being for the helper and recipient. J. Personal. Soc. Psychol. 2010, 98, 222–244. [Google Scholar] [CrossRef]
- Gebauer, J.E.; Riketta, M.; Broemer, P.; Maio, G.R. Pleasure and pressure based prosocial motivation: Divergent relations to subjective well-being. J. Res. Personal. 2008, 42, 399–420. [Google Scholar] [CrossRef]
- Kwok, Y.; Chui, W.; Wong, L. Need Satisfaction Mechanism Linking Volunteer Motivation and Life Satisfaction: A Mediation Study of Volunteers Subjective Well-Being. Soc. Indic. Res. 2013, 114, 1315–1329. [Google Scholar] [CrossRef]
- Arnold, J. Mindful learning and coaching in alpine skiing. In Mindful Heroes: Stories of Journeys that Changed Lives; Barrett, T., Harris, V., Nixon, G., Eds.; Inspired By Learning: Aberdeen, UK, 2019; pp. 175–188. [Google Scholar]
- Corti, L.; Gelati, C. Mindfulness and coaching to improve learning abilities in university students: A pilot study. Int. J. Environ. Res. Public Health 2020, 17, 1935. [Google Scholar] [CrossRef]
- Grant, A.M. A personal perspective on professional coaching and the development of coaching psychology. Int. Coach. Psychol. Rev. 2006, 1, 12–22. [Google Scholar] [CrossRef]
- Grant, A.M.; Cavanagh, M.J. The goal-focused coaching skill questionnaire: Preliminarily findings. Soc. Behav. Personal. Int. J. 2007, 35, 751–760. [Google Scholar] [CrossRef]
- Palmer, S.; Whybrow, A. The proposal to establish a special group in coaching psychology. Coach. Psychol. 2005, 1, 5–12. [Google Scholar] [CrossRef]
- Adams, M. Coaching psychology: An approach to practice for educational psychologists. Educ. Psychol. Pract. 2016, 32, 231–244. [Google Scholar] [CrossRef]
- Wang, Q. Art-based narrative interviewing as a dual methodological process: A participatory research method and an approach to coaching in secondary education. Int. Coach. Psychol. Rev. 2016, 11, 39–56. [Google Scholar] [CrossRef]
- Wang, Q. Coaching Psychology: The Art of Facilitating Growth; East China Normal University Press: Shanghai, China, 2017. (In Chinese) [Google Scholar]
- Wang, Q. Educational coaching: The application of coaching science to enhance student learning, performance and growth at schools. Int. J. Coach. Psychol. 2021, 2, 1–6. [Google Scholar]
- Wang, Q.; Millward, I. Developing a unified psychological model of coaching and mentoring in supporting the learning and development of adolescents. Int. J. Evid. Based Coach. Mentor. 2014, 12, 91–108. [Google Scholar]
- Peng, Y.; Wang, Q. The impact of mindful agency coaching and motivational interviewing on the development of positive learning dispositions in undergraduate students: A quasi-experimental intervention study. J. Educ. Psychol. Consult. 2019, 30, 63–89. [Google Scholar] [CrossRef]
- Wang, Q.; Lu, Y. Coaching college students in the development of positive learning dispositions: A randomized control trial embedded mixed-methods study. Psychol. Sch. 2020, 57, 1417–1438. [Google Scholar] [CrossRef]
- Elderton, A.; Clarke, S.; Jones, C.; Stacey, J. Telling our story: A narrative therapy approach to helping lesbian, gay, bisexual and transgender people with a learning disability identify and strengthen positive self-identity stories. Br. J. Learn. Disabil. 2014, 42, 301–307. [Google Scholar] [CrossRef]
- McParland, J. Narrative therapy in a learning disability context: A review. Tizard Learn. Disabil. Rev. 2015, 20, 121–129. [Google Scholar] [CrossRef]
- Sin, N.L.; Lyubomirsky, S. Enhancing well-being and alleviating depressive symptoms with positive psychology interventions: A practice-friendly meta-analysis. J. Clin. Psychol. 2009, 65, 467–487. [Google Scholar] [CrossRef] [PubMed]
- Peterson, C.; Seligman, M.E.P. Character Strengths and Virtues: A Handbook and Classification; American Psychological Association: Worcester, MA, USA, 2004. [Google Scholar]
- Seligman, M.E.P.; Rashid, T.; Parks, A.C. Positive psychotherapy. Am. Psychol. 2006, 61, 774–788. [Google Scholar] [CrossRef] [PubMed]
- Kabat-Zinn, J. Mindfulness-based interventions in context: Past, present, and future. Clin. Psychol. Sci. Pract. 2003, 10, 144–156. [Google Scholar] [CrossRef]
- Segal, Z.V.; Williams, J.M.G.; Teasdale, J.D. Mindfulness-Based Cognitive Therapy for Depression, 2nd ed.; Guilford Press: New York, NY, USA, 2012. [Google Scholar]
- Faul, F.; Erdfelder, E.; Buchner, A.; Lang, A.G. Statistical power analyses using G* Power 3.1: Tests for correlation and regression analyses. Behav. Res. Methods 2009, 41, 1149–1160. [Google Scholar] [CrossRef]
- Deakin Crick, R.; Huang, S.; Ahmed Shafi, A.; Goldspink, C. Developing resilient agency in learning: The internal structure of learning power. Br. J. Educ. Stud. 2015, 63, 121–160. [Google Scholar] [CrossRef]
- Wang, Q.; Peng, Y. The construction of psychometric tool for assessing mindful agency in undergraduate students. Acad. Rep. ECNU Edu. Sci. 2017, 5, 156–164. [Google Scholar]
- Zhang, J.; Miao, D.; Sun, Y.; Xiao, R.; Ren, L.; Xiao, W.; Peng, J. The impacts of attributional styles and dispositional optimism on subject well-being: A structural equation modelling analysis. Soc. Indic. Res. 2014, 119, 757–769. [Google Scholar] [CrossRef]
- Pu, J.; Hou, H.; Ma, R. The mediating effects of self-esteem and trait anxiety mediate on the impact of locus of control on subjective well-being. Curr. Psychol. 2017, 36, 167–173. [Google Scholar] [CrossRef]
- Yao, S.; Chen, J.; Yu, X.; Sang, J. Mediator roles of interpersonal forgiveness and self-forgiveness between self-esteem and subjective well-being. Curr. Psychol. 2017, 36, 585–592. [Google Scholar] [CrossRef]
- Diener, E.; Emmons, R.A.; Larsen, R.J.; Griffin, S. The satisfaction with life scale. J. Personal. Assess. 1985, 49, 71. [Google Scholar] [CrossRef]
- Diener, E. Subjective well-being: The science of happiness and a proposal for a national index. Am. Psychol. 2000, 55, 34–43. [Google Scholar] [CrossRef] [PubMed]
- Clarke, P.J.; Marshall, V.W.; Ryff, C.D.; Wheaton, B. Measuring psychological well-being in the Canadian study of health and aging. Int. Psychogeriatr. 2001, 13 (Suppl. S1), 79–90. [Google Scholar] [CrossRef] [PubMed]
- Li, R.; Yu, M. Reliability, validity, and measurement invariance of the brief Chinese version of psychological well-being scale among college students. Chin. J. Guid. Couns. 2016, 46, 127–154. [Google Scholar]
- Sala, G.; Gobet, F. Does chess instruction improve mathematical problem-solving ability? Two experimental studies with an active control group. Learn. Behav. 2017, 45, 414–421. [Google Scholar] [CrossRef] [PubMed]
- Hayes, A.F. PROCESS: A Versatile Computational Tool for Observed Variable Mediation, Moderation, and Conditional Process Modeling [White Paper]. 2012. Available online: http://www.afhayes.com/public/process2012.pdf (accessed on 10 December 2022).
- Deci, E.L.; Ryan, R.M. Self-determination theory: A macrotheory of human motivation, development, and health. Can. Psychol./Psychol. Can. 2008, 49, 182. [Google Scholar] [CrossRef]
- Agustina, L. Enhancing the Students’ Positive Attitude in Learning Business English by Using Technology. Adv. Lang. Lit. Stud. 2017, 8, 51–57. [Google Scholar] [CrossRef][Green Version]
- Lujan, H.L.; DiCarlo, S.E. A Personal Connection: Promoting Positive Attitudes towards Teaching and Learning. Anat. Sci. Educ. 2017, 10, 503–507. [Google Scholar] [CrossRef] [PubMed]
- Bradburn, N.M. The Structure of Psychological Well-Being; Aldine: Chicago, IL, USA, 1969. [Google Scholar]
- Ma, Y.; Wei, X. The analysis of two orientations of happiness. J. Shaoguan Univ. 2019, 40, 28–32. [Google Scholar]
- Fernet, C.; Guay, F.; Senécal, C. Adjusting to job demands: The role of work self-determination and job control in predicting burnout. J. Vocat. Behav. 2004, 65, 39–56. [Google Scholar] [CrossRef]
- Miquelon, P.; Vallerand, R. Goal Motives, Well-Being, and Physical Health: Happiness and Self-Realization as Psychological Resources Under Challenge. Motiv. Emot. 2006, 30, 259–272. [Google Scholar] [CrossRef]
- Carr, M.; Claxton, G. Tracking the development of learning dispositions. Assess. Educ. Princ. Policy Pract. 2002, 9, 9–37. [Google Scholar] [CrossRef]
- Aspinwall, L.G.; Taylor, S.E. A stitch in time: Self-regulation and proactive coping. Psychol. Bull. 1997, 121, 417–436. [Google Scholar] [CrossRef]
- Greenglass, E.R.; Fiksenbaum, L. Proactive coping, positive affect, and well-being: Testing for mediation using path analysis. Eur. Psychol. 2009, 14, 29–39. [Google Scholar] [CrossRef]
- Grant, A.M. The impact of life coaching on goal attainment, metacognition and mental health. Soc. Behav. Personal. Int. J. 2003, 31, 253–264. [Google Scholar] [CrossRef]
- Spence, G.B. New Directions in Evidence-Based Coaching: Investigation into the Impact of Mindfulness Training on Goal Attainment and Well-Being; Verlag Dr Muller: Saarbrucken, Germany, 2008. [Google Scholar]
- Spence, G.B.; Cavanagh, M.J. The impact of three forms of mindfulness training on mindfulness, wellbeing and goal attainment: Findings from a randomised controlled trial and implications for coaching. Int. Coach. Psychol. Rev. 2019, 14, 24–43. [Google Scholar] [CrossRef]
- Niemiec, R.M. Mindfulness and Character Strengths: A Practical Guide to Flourishing; Hogrefe Publishing: Göttingen, Germany, 2014. [Google Scholar]
- Schaufeli, W.B.; Martínez, I.M.; Marques Pinto, A.; Salanova, M.; Bakker, A.B. Burnout and engagement in university students: A cross-national study. J. Cross-Cult. Psychol. 2002, 33, 464–481. [Google Scholar] [CrossRef]
- Stelter, R.; Law, H. Coaching-narrative-collaborative practice. Int. Coach. Psychol. Rev. 2010, 5, 152–164. [Google Scholar] [CrossRef]
- Messersmith, E.E.; Schulenberg, J.E. Goal attainment, goal striving, and well-being during the transition to adulthood: A ten-year US national longitudinal study. New Dir. Child Adolesc. Dev. 2010, 130, 27–40. [Google Scholar] [CrossRef]
- Gomez-Baya, D.; Lucia-Casademunt, A.M. A self-determination theory approach to health and well-being in the workplace: Results from the sixth European working conditions survey in Spain. J. Appl. Soc. Psychol. 2018, 48, 269–283. [Google Scholar] [CrossRef]
- Lianos, P.G. Parenting and social competence in school: The role of preadolescents’ personality traits. J. Adolesc. 2015, 41, 109–120. [Google Scholar] [CrossRef] [PubMed]
- Nahyun, K.; Hana, S. Personality, traits, gender and information competency among college students. Malays. J. Libr. Inf. Sci. 2011, 16, 87–107. [Google Scholar]
- Munir, T.; Shafiq, S.; Ahmad, Z.; Khan, S. Impact of loneliness and academic stress on psychological well-being among college students. Acad. Res. Int. 2015, 6, 343. [Google Scholar]






| Cronbach’s Alpha | Male (n = 80) | Female (n = 156) | t | Meditation Experience (n = 104) | No Meditation Experience (n = 132) | t | |||||
|---|---|---|---|---|---|---|---|---|---|---|---|
| Mean | SD | Mean | SD | Mean | SD | Mean | SD | ||||
| 1.Mindful learning | 0.85 | 70.63 | 11.78 | 69.71 | 9.12 | 0.61 | 70.24 | 10.05 | 69.85 | 10.15 | 0.30 |
| 1.1 Learning methods | 0.72 | 14.48 | 3.06 | 14.07 | 2.26 | 1.04 | 14.16 | 2.53 | 14.24 | 2.60 | −0.23 |
| 1.2 Emotion regulation | 0.66 | 8.10 | 2.28 | 7.81 | 2.15 | 0.95 | 7.94 | 2.06 | 7.89 | 2.31 | 0.19 |
| 1.3 Awareness of planning | 0.66 | 13.19 | 3.01 | 13.02 | 2.33 | 0.44 | 13.16 | 2.47 | 13.01 | 2.67 | 0.46 |
| 1.4 Openness to experience | 0.68 | 21.64 | 3.99 | 21.79 | 3.52 | −0.30 | 21.77 | 3.91 | 21.71 | 3.49 | 0.12 |
| 1.5 Learning engagement | 0.60 | 13.23 | 2.99 | 13.02 | 2.38 | 0.53 | 13.20 | 2.50 | 13.00 | 2.68 | 0.59 |
| 2.Subjective well-being | |||||||||||
| 2.1 Life satisfaction | 0.84 | 4.21 | 1.38 | 4.05 | 1.15 | 0.87 | 4.18 | 1.29 | 4.05 | 1.18 | 0.76 |
| 2.2 Positive affect | 0.88 | 4.64 | 1.34 | 4.37 | 1.28 | 1.53 | 4.74 | 1.21 | 4.24 | 1.34 | 2.93 ** |
| 2.3 Negative affect | 0.86 | 3.11 | 1.34 | 3.21 | 1.18 | −0.57 | 3.24 | 1.28 | 3.12 | 1.20 | 0.74 |
| 3.Psychological well-being | 0.82 | 75.65 | 11.47 | 74.12 | 9.93 | 1.06 | 74.97 | 10.45 | 74.38 | 10.52 | 0.43 |
| 3.1 Autonomy | 0.36 | 12.23 | 2.32 | 11.18 | 2.09 | 3.50 ** | 11.71 | 2.20 | 11.39 | 2.24 | 1.09 |
| 3.2 Environmental mastery | 0.55 | 12.99 | 2.63 | 12.64 | 2.22 | 1.07 | 12.64 | 2.39 | 12.85 | 2.35 | −0.66 |
| 3.3 Self-acceptance | 0.49 | 11.68 | 2.59 | 11.13 | 2.37 | 1.61 | 11.44 | 2.42 | 11.22 | 2.49 | 0.69 |
| 3.4 Personal growth | 0.49 | 14.00 | 2.68 | 13.99 | 2.24 | 0.02 | 14.02 | 2.24 | 13.98 | 2.51 | 0.13 |
| 3.5 Positive relations | 0.55 | 11.70 | 3.05 | 12.18 | 2.67 | −1.24 | 12.26 | 2.85 | 11.83 | 2.77 | 1.18 |
| 3.6 Purpose in life | 0.52 | 13.06 | 2.92 | 12.99 | 2.72 | 0.18 | 12.89 | 2.76 | 13.11 | 2.81 | −0.60 |
| 1 | 1.1 | 1.2 | 1.3 | 1.4 | 1.5 | 2.1 | 2.2 | 2.3 | 3 | |
|---|---|---|---|---|---|---|---|---|---|---|
| 1.Mindful learning | ||||||||||
| 1.1 Learning methods | 0.72 ** | |||||||||
| 1.2 Emotion regulation | 0.60 ** | 0.27 ** | ||||||||
| 1.3 Awareness of planning | 0.80 ** | 0.47 ** | 0.55 ** | |||||||
| 1.4 Openness to experience | 0.81 ** | 0.50 ** | 0.29 ** | 0.49 ** | ||||||
| 1.5 Learning engagement | 0.73 ** | 0.40 ** | 0.24 ** | 0.49 ** | 0.52 ** | |||||
| 2.Subjective well-being | ||||||||||
| 2.1 Life satisfaction | 0.40 ** | 0.25 ** | 0.39 ** | 0.34 ** | 0.29 ** | 0.24 ** | ||||
| 2.2 Positive affect | 0.42 ** | 0.35 ** | 0.26 ** | 0.33 ** | 0.31 ** | 0.30 ** | 0.54 ** | |||
| 2.3 Negative affect | −0.28 ** | −0.29 ** | −0.09 | −0.20 ** | −0.23 ** | −0.19 ** | −0.27 ** | −0.38 ** | ||
| 3.Psychological well-being | 0.49 ** | 0.47 ** | 0.23 ** | 0.38 ** | 0.39 ** | 0.31 ** | 0.31 ** | 0.40 ** | −0.41 ** | |
| Mean | 70.02 | 14.21 | 7.91 | 13.08 | 21.74 | 13.09 | 4.11 | 4.46 | 74.64 | 11.53 |
| SD | 10.09 | 2.56 | 2.20 | 2.58 | 3.68 | 2.60 | 1.23 | 1.30 | 10.47 | 2.22 |
| (a) | |||||||||
| Outcome Variable | Predictor Variable | B | SE | β | F | R² | f² | Adjusted R² | t |
| PWB | 42.742 | 9.283 | 18.217 *** | 0.240 | 0.32 | 0.227 | 4.604 *** | ||
| Mindful learning | 0.502 | 0.060 | 0.484 | 8.423 *** | |||||
| Gender | −1.166 | 1.291 | −0.053 | −0.903 | |||||
| Meditation experience | −0.564 | 1.224 | −0.027 | −0.461 | |||||
| Age | −0.020 | 0.308 | −0.004 | −0.064 | |||||
| PWB | 41.818 | 9.221 | 10.570 *** | 0.271 | 0.37 | 0.246 | 4.535 *** | ||
| Learning methods | 1.278 | 0.283 | 0.313 | 4.520 *** | |||||
| Emotion regulation | 0.101 | 0.325 | 0.021 | 0.309 | |||||
| Awareness of planning | 0.553 | 0.327 | 0.136 | 1.689 | |||||
| Openness to experience | 0.382 | 0.210 | 0.134 | 1.823 | |||||
| Learning engagement | 0.163 | 0.283 | 0.040 | 0.575 | |||||
| Gender | −1.042 | 1.282 | −0.047 | −0.813 | |||||
| Meditation experience | −0.701 | 1.210 | −0.033 | −0.580 | |||||
| Age | −0.041 | 0.306 | −0.008 | −0.135 | |||||
| (b) | |||||||||
| Outcome Variable | Predictor Variable | B | SE | β | F | R² | f² | Adjusted R² | t |
| Life satisfaction | −0.239 | 1.136 | 12.03 *** | 0.17 | 0.21 | 0.16 | −0.210 | ||
| Mindful learning | 0.048 | 0.007 | 0.396 | 6.605 *** | |||||
| Gender | −0.104 | 0.158 | −0.040 | −0.658 | |||||
| Meditation experience | −0.109 | 0.150 | −0.044 | −0.726 | |||||
| Age | 0.055 | 0.038 | 0.088 | 1.465 | |||||
| Positive affect | 0.348 | 1.161 | 17.41 *** | 0.23 | 0.30 | 0.22 | 0.299 | ||
| Mindful learning | 0.053 | 0.007 | 0.410 | 7.094 *** | |||||
| Gender | −0.272 | 0.161 | −0.099 | −1.686 | |||||
| Meditation experience | −0.498 | 0.153 | −0.190 | −3.257 ** | |||||
| Age | 0.069 | 0.039 | 0.104 | 1.790 | |||||
| Negative affect | 5.630 | 1.205 | 4.93 ** | 0.08 | 0.09 | 0.06 | 4.672 *** | ||
| Mindful learning | −0.034 | 0.008 | −0.275 | −4.348 *** | |||||
| Gender | 0.047 | 0.168 | 0.018 | 0.283 | |||||
| Meditation experience | −0.126 | 0.159 | −0.051 | −0.795 | |||||
| Age | 0.001 | 0.040 | 0.002 | 0.024 | |||||
| Life satisfaction | 0.019 | 1.130 | 7.31 *** | 0.21 | 0.27 | 0.18 | 0.017 | ||
| Learning methods | 0.027 | 0.035 | 0.057 | 0.791 | |||||
| Emotion regulation | 0.156 | 0.040 | 0.280 | 3.921 *** | |||||
| Awareness of planning | 0.032 | 0.040 | 0.067 | 0.792 | |||||
| Openness to experience | 0.043 | 0.026 | 0.128 | 1.664 | |||||
| Learning engagement | 0.020 | 0.035 | 0.043 | 0.589 | |||||
| Gender | −0.092 | 0.157 | −0.035 | −0.584 | |||||
| Meditation experience | −0.109 | 0.148 | −0.044 | −0.733 | |||||
| Age | 0.049 | 0.037 | 0.079 | 1.319 | |||||
| Positive affect | 0.318 | 1.173 | 8.87 *** | 0.24 | 0.32 | 0.21 | 0.271 | ||
| Learning methods | 0.099 | 0.036 | 0.195 | 2.760 ** | |||||
| Emotion regulation | 0.063 | 0.041 | 0.107 | 1.532 | |||||
| Awareness of planning | 0.034 | 0.042 | 0.068 | 0.822 | |||||
| Openness to experience | 0.033 | 0.027 | 0.092 | 1.224 | |||||
| Learning engagement | 0.053 | 0.036 | 0.107 | 1.484 | |||||
| Gender | −0.252 | 0.163 | −0.092 | −1.547 | |||||
| Meditation experience | −0.503 | 0.154 | −0.192 | −3.267 ** | |||||
| Age | 0.066 | 0.039 | 0.100 | 1.710 | |||||
| Negative affect | 5.801 | 1.208 | 3.15 ** | 0.10 | 0.11 | 0.07 | 4.800 *** | ||
| Learning methods | −0.105 | 0.037 | −0.217 | −2.829 ** | |||||
| Emotion regulation | 0.018 | 0.043 | 0.032 | 0.424 | |||||
| Awareness of planning | −0.026 | 0.043 | −0.053 | −0.597 | |||||
| Openness to experience | −0.026 | 0.027 | −0.078 | −0.958 | |||||
| Learning engagement | −0.021 | 0.037 | −0.044 | −0.561 | |||||
| Gender | 0.038 | 0.168 | 0.015 | 0.226 | |||||
| Meditation experience | −0.115 | 0.159 | −0.046 | −0.724 | |||||
| Age | 0.001 | 0.040 | 0.001 | 0.019 | |||||
| Gender | Experimental Group | Active Control Group | Blank Control Group | F | p | |||
|---|---|---|---|---|---|---|---|---|
| n = 15 | Proportion | n = 15 | Proportion | n = 18 | Proportion | |||
| Male | 6 | 40.00% | 7 | 46.67% | 6 | 33.33% | 0.290 | 0.750 |
| Female | 9 | 60.00% | 8 | 53.33% | 12 | 66.67% | ||
| Cronbach’s α in Pre-Test | Cronbach’s α in Post-Test | |
|---|---|---|
| Mindful learning | 0.856 | 0.880 |
| Life satisfaction | 0.784 | 0.842 |
| Positive affect | 0.896 | 0.903 |
| Negative affect | 0.799 | 0.868 |
| Psychological well-being | 0.668 | 0.648 |
| Session | Main Activities | Aims |
|---|---|---|
| Session 1 (1 h) | ·Getting to know each other and building group spirit ·Introducing the concept of mindful learning ·Explaining mindfulness and experiencing being in the present ·Exploring students’ values, recourses, reasons, and motivation in learning | ·Foster a sense of agency in learning ·Enhance intrinsic motivation in learning |
| Session 2 (1 h) | ·Preparing the attitudes of mindfulness practice ·Experiencing mindful breathing and mindful eating ·Introducing 4D cycle in appreciative inquiry and sharing in pairs | ·Develop self-awareness ·Deepen reflexivity ·Cultivate self-management and self-discipline |
| Session 3 (1 h) | ·Experiencing mindful body scanning ·Discussing narrative psychology ·Personal narrative: Writing a letter for yourself in 10 years ·Narrative in pairs: Reconstruction of stories ·Group narrative: A journey to the West | ·Develop learning engagement ·Cultivate a sense of goal, aspiration, and hope ·Develop self-directed and collaborative learning ability |
| Session 4 (1 h) | ·Experiencing loving-kindness meditation on learning ·Exploring generative moments in learning ·Revealing character strengths ·Reviewing, sharing, and reflecting on the coaching ·Self-evaluation of growth as a learner | ·Foster self-knowledge and self-awareness ·Cultivate the ability of emotion regulation in learning ·Track the progress of learners’ identities |
| Assignment | Daily mindfulness practice (5–10 min) | ·Foster reflexivity, cultivate openness to experience, and non-judgmental attitudes ·Develop learning attention in the present moment |
| Session | Main Activities | Aims |
|---|---|---|
| Session 1 (1 h) | ·Getting to know each other and building group spirit ·Introducing relaxation training and practicing abdominal breathing ·Game: Grabbing Fingers; Nerve Conduction | ·Form a harmonious group atmosphere ·Help participants relax |
| Session 2 (1 h) | ·Reviewing abdominal breathing; practicing progressive muscle relaxation training ·Game: Team up for relay drawing ·Watching short cartoon | ·Develop a sense of cooperation ·Ease participants’ moods |
| Session 3 (1 h) | ·Practicing count-breathing relaxation and eye relaxation ·Game: Numbering off without communication; leaf drawing | ·Establish trust with peers ·Relieve anxiety |
| Session 4 (1 h) | ·Practicing pure release relaxation ·Game: Team up for building model with A4 paper ·Reviewing, sharing, and ending | ·Promote communication with others ·Track the progress of participants’ relaxation experiences |
| Assignment | Daily relaxation practice (5–10 min) | ·Develop a sense of relaxation and relieve anxiety |
| Experimental Group (n = 15) | Active Control Group (n = 15) | Blank Control Group (n = 18) | Time × Group | ||||||
|---|---|---|---|---|---|---|---|---|---|
| T1 | T2 | T1 | T2 | T1 | T2 | F | p | η2 | |
| Mindful learning | 68.93 ± 9.77 | 72.87 ± 9.65 | 65.53 ± 11.40 | 66.00 ± 11.72 | 70.17 ± 9.51 | 67.89 ± 9.23 | 5.049 | 0.011 | 0.194 |
| Life satisfaction | 3.92 ± 1.10 | 4.20 ± 1.03 | 3.76 ± 1.40 | 3.77 ± 1.37 | 4.13 ± 0.71 | 4.09 ± 0.87 | 0.905 | 0.412 | 0.041 |
| Positive affect | 3.86 ± 1.27 | 4.57 ± 1.21 | 3.89 ± 1.33 | 3.97 ± 1.37 | 4.03 ± 1.26 | 4.10 ± 1.28 | 3.072 | 0.057 | 0.128 |
| Negative affect | 3.74 ± 0.89 | 3.58 ± 0.92 | 3.33 ± 1.11 | 3.49 ± 1.28 | 3.00 ± 0.88 | 3.07 ± 1.03 | 0.702 | 0.501 | 0.032 |
| PWB | 73.00 ± 8.72 | 75.80 ± 7.68 | 78.20 ± 13.69 | 72.40 ± 12.72 | 80.50 ± 8.30 | 75.27 ± 10.10 | 6.566 | 0.003 | 0.238 |
| 1 | 1.1 | 1.2 | 1.3 | 1.4 | 1.5 | 2.1 | 2.2 | 2.3 | |
|---|---|---|---|---|---|---|---|---|---|
| 1. ΔMindful learning | |||||||||
| 1.1 Δ Learning methods | 0.61 * | ||||||||
| 1.2 Δ Emotion regulation | 0.61 * | 0.19 | |||||||
| 1.3 Δ Awareness of planning | 0.57 * | 0.15 | 0.36 | ||||||
| 1.4 Δ Openness to experience | 0.70 ** | 0.63 * | 0.26 | −0.03 | |||||
| 1.5 Δ Learning engagement | 0.46 | 0.01 | 0.03 | 0.36 | 0.11 | ||||
| 2. ΔSubjective well-being | |||||||||
| 2.1 Δ Life satisfaction | −0.04 | 0.06 | −0.42 | −0.10 | −0.11 | 0.67 ** | |||
| 2.2 Δ Positive affect | 0.55 * | 0.46 | 0.23 | −0.15 | 0.63 * | 0.14 | 0.09 | ||
| 2.3 Δ Negative affect | −0.08 | −0.43 | −0.09 | 0.40 | −0.21 | 0.10 | −0.27 | −0.46 | |
| 3.ΔPsychological well-being | 0.72 ** | 0.57 * | 0.35 | 0.17 | 0.69 ** | 0.32 | 0.20 | 0.47 | −0.47 |
Disclaimer/Publisher’s Note: The statements, opinions and data contained in all publications are solely those of the individual author(s) and contributor(s) and not of MDPI and/or the editor(s). MDPI and/or the editor(s) disclaim responsibility for any injury to people or property resulting from any ideas, methods, instructions or products referred to in the content. |
© 2023 by the authors. Licensee MDPI, Basel, Switzerland. This article is an open access article distributed under the terms and conditions of the Creative Commons Attribution (CC BY) license (https://creativecommons.org/licenses/by/4.0/).
Share and Cite
Wang, Q.; Zhang, Y.; Zhang, Y.; Chen, T. The Impact of Mindful Learning on Subjective and Psychological Well-Being in Postgraduate Students. Behav. Sci. 2023, 13, 1009. https://doi.org/10.3390/bs13121009
Wang Q, Zhang Y, Zhang Y, Chen T. The Impact of Mindful Learning on Subjective and Psychological Well-Being in Postgraduate Students. Behavioral Sciences. 2023; 13(12):1009. https://doi.org/10.3390/bs13121009
Chicago/Turabian StyleWang, Qing, Yuanyuan Zhang, Ying Zhang, and Tingwei Chen. 2023. "The Impact of Mindful Learning on Subjective and Psychological Well-Being in Postgraduate Students" Behavioral Sciences 13, no. 12: 1009. https://doi.org/10.3390/bs13121009
APA StyleWang, Q., Zhang, Y., Zhang, Y., & Chen, T. (2023). The Impact of Mindful Learning on Subjective and Psychological Well-Being in Postgraduate Students. Behavioral Sciences, 13(12), 1009. https://doi.org/10.3390/bs13121009

