The Impacts of the Presence of an Unfamiliar Dog on Emerging Adults’ Physiological and Behavioral Responses Following Social Exclusion
Abstract
1. Introduction
2. Materials and Methods
2.1. Participants
2.2. Experimental Manipulation Protocol
2.3. Hot Sauce Protocol
2.4. Recording of Cardiac Responses
2.5. Procedure
2.6. Statistical Analysis
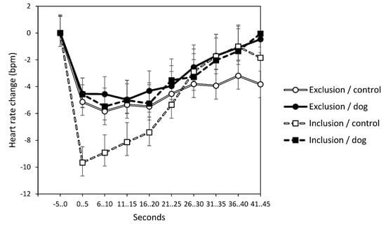
3. Results
4. Discussion
Author Contributions
Funding
Acknowledgments
Conflicts of Interest
References
- Baumeister, R.F.; Leary, M.R. The need to belong: Desire for interpersonal attachments as a fundamental human motivation. Psychol. Bull. 1995, 117, 497–529. [Google Scholar] [CrossRef] [PubMed]
- Baumeister, R.F.; Tice, D.M. Anxiety and social exclusion. J. Soc. Clin. Psychol. 1990, 9, 165–195. [Google Scholar] [CrossRef]
- Chen, Z.; Poon, K.-T.; DeWall, N.; Jiang, T. Life lacks meaning without acceptance: Ostracism triggers suicidal thoughts. J. Pers. Soc. Psychol. 2020. [Google Scholar] [CrossRef] [PubMed]
- Gerber, J.; Wheeler, L. On being rejected: A meta-analysis of experimental research on rejection. Perspect. Psychol. Sci. 2009, 4, 468–488. [Google Scholar] [CrossRef]
- Leary, M.R.; Tambor, E.S.; Terdal, S.J.; Downs, D.L. Self-esteem as an interpersonal monitor. The sociometer hypothesis. J. Pers. Soc. Psychol. 1995, 68, 518–530. [Google Scholar] [CrossRef]
- Warburton, W.A.; Williams, K.D.; Cairns, D.R. When ostracism leads to aggression: The moderating effects of control deprivation. J. Exp. Soc. Psychol. 2006, 42, 213–220. [Google Scholar] [CrossRef]
- Williams, K.D. Ostracism: A temporal need-threat model. Adv. Exp. Soc. Psychol. 2009, 41, 279–314. [Google Scholar] [CrossRef]
- Zadro, L.; Williams, K.D.; Richardson, R. How low can you go? Ostracism by a computer lowers belonging, control, self-esteem, and meaningful existence. J. Exp. Soc. Psychol. 2004, 40, 560–567. [Google Scholar] [CrossRef]
- DeWall, C.N.; Baumeister, R.F. Alone but feeling no pain. Effects of social exclusion on physical pain tolerance and pain threshold, affective forecasting, and interpersonal empathy. J. Pers. Soc. Psychol. 2006, 91, 1–15. [Google Scholar] [CrossRef]
- DeWall, C.N.; Maner, J.K.; Rouby, D.A. Social exclusion and early-stage interpersonal perception: Selective attention to signs of acceptance. J. Pers. Soc. Psychol. 2009, 96, 729–741. [Google Scholar] [CrossRef]
- Hopkins, Z.L.; Branigan, H.P. Children show selectively increased language imitation after experiencing ostracism. Dev. Psychol. 2020, 56, 897–911. [Google Scholar] [CrossRef] [PubMed]
- Gardner, W.L.; Pickett, C.L.; Brewer, M.B. Social exclusion and selective memory: How the need to belong influences memory for social events. Pers. Soc. Psychol. Bull. 2000, 26, 486–496. [Google Scholar] [CrossRef]
- Kirkpatrick, L.A.; Waugh, C.E.; Valencia, A.; Webster, G.D. The functional domain specificity of self-esteem and the differential prediction of aggression. J. Pers. Soc. Psychol. 2002, 82, 756–767. [Google Scholar] [CrossRef] [PubMed]
- Lakin, J.L.; Chartrand, T.L.; Arkin, R.M. Using nonconscious behavioural mimicry to create affiliation and rapport. I am too just like you: Nonconscious mimicry as an automatic behavioural response to social exclusion. Psychol. Sci. 2008, 19, 816–822. [Google Scholar] [CrossRef] [PubMed]
- Pickett, C.L.; Gardner, W.L.; Knowles, M. Getting a cue: The need to belong and enhanced sensitivity to social cues. Pers. Soc. Psychol. Bull. 2004, 30, 1095–1107. [Google Scholar] [CrossRef]
- Richman, L.; Leary, M.R. Reactions to discrimination, stigmatization, ostracism, and other forms of interpersonal rejection: A multimotive model. Psychol. Rev. 2009, 116, 365–383. [Google Scholar] [CrossRef]
- Riva, P.; Williams, K.D.; Torstrick, A.M.; Montali, L. Orders to shoot (a camera): Effect of ostracism on obedience. J. Soc. Psychol. 2014, 154, 208–216. [Google Scholar] [CrossRef]
- Twenge, J.M.; Baumeister, R.F.; Tice, D.M.; Stucke, T.S. If you can’t join them, beat them: Effects of social exclusion on aggressive behaviour. J. Pers. Soc. Psychol. 2001, 81, 1058–1069. [Google Scholar] [CrossRef]
- Twenge, J.M.; Baumeister, R.F.; DeWall, N.C.; Ciarocco, N.J.; Bartels, J.M. Social exclusion decreases prosocial behaviour. J. Pers. Soc. Psychol. 2007, 92, 56–66. [Google Scholar] [CrossRef]
- Wesselmann, E.D.; Ren, D.; Williams, K.D. Motivations for responses to ostracism. Front. Psychol. 2015, 6, 40. [Google Scholar] [CrossRef]
- Williams, K.D.; Cheung, C.K.T.; Choi, W. Cyberostracism: Effects of being ignored over the internet. J. Pers. Soc. Psychol. 2000, 79, 748–762. [Google Scholar] [CrossRef] [PubMed]
- Aydin, N.; Krueger, J.; Frey, D.; Kastenmüller, A.; Fischer, P. Social exclusion and xenophobia: Intolerant attitudes toward ethnic and religious minorities. Group Process. Intergroup Relat. 2014, 17, 371–387. [Google Scholar] [CrossRef]
- Aydin, N.; Agthe, M.; Pfundmair, M.; Frey, D.; DeWall, C.N. Safety in beauty. Social exclusion, antisocial responses, and the desire to reconnect. Soc. Psychol. 2017, 48, 208–225. [Google Scholar] [CrossRef]
- DeWall, C.N.; Richman, S.B. Social exclusion and the desire to reconnect. Soc. Pers. Psychol. Compass 2011, 5, 919–932. [Google Scholar] [CrossRef]
- Miao, X.-Y.; Chan, K.Q.; Gao, C.; Lv, S.S.; Zhu, Y.; Wang, Z.-J. Underdogs make an alliance: The co-experience of rejection promotes cooperation. Brit. J. Soc. Psychol. 2020, 59, 876–899. [Google Scholar] [CrossRef] [PubMed]
- Pillny, M.; Lincoln, T.M. The demotivating effect of social exclusion: An experimental test of a psychosocial model on the development of negative symptoms in psychosis. Schizophr. Res. 2020, 215, 330–336. [Google Scholar] [CrossRef]
- Wesselmann, E.D.; Butler, F.A.; Williams, K.D.; Pickett, C.L. Adding injury to insult: Unexpected rejection leads to more aggressive responses. Aggress. Behav. 2010, 36, 232–237. [Google Scholar] [CrossRef]
- Knowles, M.L.; Gardner, W.L. Benefits of membership: The activation and amplification of group identities in response to social rejection. Pers. Soc. Psychol. Bull. 2008, 34, 1200–1213. [Google Scholar] [CrossRef]
- Maner, J.K.; DeWall, C.N.; Baumeister, R.F.; Schaller, M. Does social exclusion motivate interpersonal reconnection? Resolving the “porcupine problem”. J. Pers. Soc. Psychol. 2007, 92, 42–55. [Google Scholar] [CrossRef]
- Aydin, N.; Fischer, P.; Frey, D. Turning to god in the face of ostracism: Effects of social exclusion on religiousness. Pers. Soc. Psychol. Bull. 2010, 36, 742–753. [Google Scholar] [CrossRef]
- Gardner, W.L.; Knowles, M.L. Love makes you real: Favorite television characters are perceived as “real” in a social facilitation paradigm. Soc. Cogn. 2008, 26, 156–168. [Google Scholar] [CrossRef]
- Hales, A.H.; Wesselmann, E.D.; Williams, K.D. Prayer, self-affirmation, and distraction improve recovery from short-term ostracism. J. Exp. Soc. Psychol. 2016, 64, 8–20. [Google Scholar] [CrossRef]
- Aydin, N.; Krueger, J.; Fischer, J.; Hahn, D.; Frey, D.; Kastenmüller, A.; Fischer, P. “Man’s best friend:” How the presence of a dog reduces mental distress after social exclusion. J. Exp. Soc. Psychol. 2012, 48, 446–449. [Google Scholar] [CrossRef]
- Meehan, M.; Massavelli, B.; Pachana, N. Using attachment theory and social support theory to examine and measure pets as sources of social support and attachment figures. Anthrozoös 2017, 30, 273–289. [Google Scholar] [CrossRef]
- Pachana, N.A.; Massavelli, B.M.; Robleda-Gomez, S. A developmental psychological perspective on the human-animal bond. In The Psychology of the Human-Animal Bond: A Resource for Clinicians and Researchers; Blazina, C., Boyraz, G., Shen-Miller, D.S., Eds.; Springer: New York, NY, USA, 2011; pp. 151–166. [Google Scholar]
- Reiter-Scheidl, K.; Papousek, I.; Lackner, H.K.; Paechter, M.; Weiss, E.M.; Aydin, N. Aggressive behavior after social exclusion is linked with the spontaneous initiation of more action-oriented coping immediately following the exclusion episode. Physiol. Behav. 2018, 195, 142–150. [Google Scholar] [CrossRef] [PubMed]
- Dekkers, L.M.S.; van der Molen, M.J.W.; Moor, B.G.; van der Veen, F.M.; van der Molen, M.W. Cardiac and electro-cortical concomitants of social feedback processing in women. Soc. Cogn. Affect. Neurosci. 2015, 10, 1506–1514. [Google Scholar] [CrossRef] [PubMed]
- Gunther Moor, B.G.; Crone, E.A.; van der Molen, M.W. The heartbrake of social rejection: Heart rate deceleration in response to unexpected peer rejection. Psychol. Sci. 2010, 21, 1326–1333. [Google Scholar] [CrossRef]
- Gunther Moor, B.G.; Bos, M.G.; Crone, E.A.; van der Molen, M.W. Peer rejection cues induce cardiac slowing after transition into adolescence. Dev. Psychol. 2014, 50, 947–955. [Google Scholar] [CrossRef]
- Papousek, I.; Aydin, N.; Lackner, H.K.; Weiss, E.M.; Bühner, M.; Schulter, G.; Charlesworth, C.; Freudenthaler, H.H. Laughter as a social rejection cue: Gelotophobia and transient cardiac responses to other persons’ laughter and insult. Psychophysiology 2014, 51, 1112–1121. [Google Scholar] [CrossRef]
- Van der Veen, F.M.; van der Molen, M.W.; Sahibdin, P.P.; Franken, I.H. The heart-brake of social rejection versus the brain wave of social acceptance. Soc. Cogn. Affect. Neurosci. 2014, 9, 1346–1351. [Google Scholar] [CrossRef]
- Van der Veen, F.M.; van der Molen, M.J.; van der Molen, M.W.; Franken, I.H. Thumbs up or thumbs down? Effects of neuroticism and depressive symptoms on psychophysiological responses to social evaluation in healthy subjects. Cogn. Affect. Behav. Neurosci. 2016, 16, 836–847. [Google Scholar] [CrossRef] [PubMed]
- Van der Veen, F.M.; Burdzina, A.; Langeslag, S.J.E. Don’t you want me, baby? Cardiac and electrocortical concomitants of romantic interest and rejection. Biol. Psychol. 2019, 146, 107707. [Google Scholar] [CrossRef] [PubMed]
- Lackner, H.; Reiter-Scheidl, K.; Aydin, N.; Perchtold, C.M.; Weiss, E.M.; Papousek, I. Laughter as a social rejection cue: Influence of prior explicit experience of social rejection on cardiac signs of ‘freezing’. Int. J. Psychophysiol. 2018, 128, 1–6. [Google Scholar] [CrossRef] [PubMed]
- Williams, K.D.; Hales, A.H.; Michels, C. Social ostracism as a factor motivating interest in extreme groups. In Current Directions in Ostracism, Social Exclusion, and Rejection Research; Rudert, S.C., Greifeneder, R., Williams, K.D., Eds.; Routledge: London, UK, 2019; pp. 18–31. [Google Scholar]
- Hartgerink, C.H.J.; van Beest, I.; Wicherts, J.M.; Williams, K.D. The ordinal effects of ostracism: A meta-analysis of 120 cyberball studies. PLoS ONE 2015, 10, e0127002. [Google Scholar] [CrossRef]
- Arnett, J.J. Emerging adulthood: A theory of development from the late teens through the twenties. Am. Psychol. 2000, 55, 469–480. [Google Scholar] [CrossRef]
- Arnett, J.J. Emerging adulthood: What is it, and what is it good for? Child Dev. Perspect. 2007, 1, 68–73. [Google Scholar] [CrossRef]
- Lapsley, D.; Woodbury, R.D. Social cognitive development in emerging adulthood. In The Oxford Handbook of Emerging Adulthood; Arnett, J.J., Ed.; Oxford University Press: New York, NY, USA, 2016; pp. 142–159. [Google Scholar]
- Schwartz, S.J.; Syed, M.; Yip, T.; Knight, G.P.; Umana-Taylor, A.J.; Rivas-Drake, D.; Lee, R.M. Methodological issues in ethnic and racial identity research with ethnic minority populations: Theoretical precision, measurement issues, and research designs. Child Dev. 2014, 85, 58–76. [Google Scholar] [CrossRef]
- Holterman, L.A.; Murray-Close, D.K.; Breslend, N.L. Relational victimization and depressive symptoms: The role of autonomic nervous system reactivity in emerging adults. Int. J. Psychophysiol. 2016, 110, 119–127. [Google Scholar] [CrossRef]
- Liddell, B.J.; Courtney, B.S. Attachment buffers the physiological impact of social exclusion. PLoS ONE 2018, 13, e0203287. [Google Scholar] [CrossRef]
- Benenson, J.F.; Markovits, H.; Hultgren, B.; Nguyen, T.; Bullock, G.; Wrangham, R. Social exclusion: More important to human females than males. PLoS ONE 2013, 8, e55851. [Google Scholar] [CrossRef]
- Pfundmair, M.; DeWall, C.N.; Fries, V.; Geiger, B.; Krämer, T.; Krug, S.; Frey, D.; Aydin, N. Sugar or spice: Using I3 metatheory to understand how and why glucose reduces rejection-related aggression. Aggressive Behav. 2015, 41, 537–543. [Google Scholar] [CrossRef] [PubMed]
- Pancani, L.; Riva, P.; Sacchi, S. Connecting with a slot machine: Social exclusion and anthropomorphization increase gambling. J. Gambl. Stud. 2019, 35, 689–707. [Google Scholar] [CrossRef] [PubMed]
- Ybarra, G.J.; Passman, R.; Eisenberg, C.S. The presence of security blankets or mothers (or both) affects distress during pediatric examinations. J. Consult. Clin. Psychcol. 2000, 68, 322–330. [Google Scholar] [CrossRef]
- Lieberman, J.D.; Solomon, S.; Greenberg, J.; McGregor, H.A. A hot new way to measure aggression: Hot sauce allocation. Aggress. Behav. 1999, 25, 331–348. [Google Scholar] [CrossRef]
- McCarthy, R.J.; Elson, A. A conceptual review of lab-based aggression paradigms. Collab. Psychol. 2018, 4, 4. [Google Scholar] [CrossRef]
- Parrott, P.J.; Giancola, P.R. Addressing ‘The criterion problem’ in the assessment of aggressive behavior: Development of a new taxonomic system. Aggress. Violent. Behav. 2007, 12, 280–299. [Google Scholar] [CrossRef]
- Ayduk, Ö.; Gyurak, A.; Luerssen, A. Individual differences in the rejection-aggression link in the hot sauce paradigm: The case of rejection sensitivity. J. Exp. Soc. Psychol. 2008, 44, 775–782. [Google Scholar] [CrossRef]
- Adenauer, H.; Catani, C.; Keil, J.; Aichinger, H.; Neuner, F. Is freezing an adaptive reaction to threat? Evidence from heart rate reactivity to emotional pictures in victims of war and torture. Psychophysiology 2010, 47, 315–322. [Google Scholar] [CrossRef]
- Campbell, B.A.; Wood, G.; McBride, T. Origins of orienting and defensive responses: An evolutionary perspective. In Attention and Orienting: Sensory and Motivational Processes; Lang, P.J., Simons, R.F., Balaban, M.T., Eds.; Lawrence Erlbaum Associates: Mahwah, NJ, USA, 1997; pp. 41–67. [Google Scholar]
- Hagenaars, M.A.; Stins, J.F.; Roelofs, K. Aversive life events enhance human freezing responses. J. Exp. Psychol. Gen. 2012, 141, 98–105. [Google Scholar] [CrossRef]
- Kreibig, S.D. Autonomic nervous system activity in emotion: A review. Biol. Psychol. 2010, 84, 394–421. [Google Scholar] [CrossRef]
- Lang, P.J.; Wangelin, B.C.; Bradley, M.M.; Versace, F.; Davenport, P.W.; Costa, V.D. Threat of suffocation and defensive reflex activation. Psychophysiology 2011, 48, 393–396. [Google Scholar] [CrossRef] [PubMed]
- Bradley, M.M.; Lang, P.J. Emotion and motivation. In Handbook of Psychophysiology; Cacioppo, J.T., Berntson, G., Eds.; Cambridge University Press: Cambridge, UK, 2007; pp. 581–608. [Google Scholar] [CrossRef]
- Graham, F.K.; Clifton, R.K. Heart-rate change as a component of the orienting response. Psychol. Bull. 1966, 65, 305–320. [Google Scholar] [CrossRef] [PubMed]
- Lehmann, A.; Ittel, A. Aggressive behavior and measurement of psychopathy in female inmates of German prisons—A preliminary study. Int. J. Law Psychiatry 2012, 35, 190–197. [Google Scholar] [CrossRef] [PubMed]
- Leary, M.R.; Twenge, J.M.; Quinlivan, E. Interpersonal rejection as a determinant of anger and aggression. Pers. Soc. Psychol. Rev. 2006, 10, 111–132. [Google Scholar] [CrossRef]
- Vögele, C.; Sorg, S.; Studtmann, M.; Weber, H. Cardiac autonomic regulation and anger coping in adolescents. Biol. Psychol. 2010, 85, 465–471. [Google Scholar] [CrossRef]
- Wesselmann, E.D.; Williams, K.D. Ostracism and stages of coping. In Oxford Library of Psychology. The Oxford Handbook of Social Exclusion; DeWall, C.N., Ed.; Oxford University Press: Oxford, UK, 2013; pp. 20–30. [Google Scholar]
- Williams, K.D. Ostracism. Annu. Rev. Psychol. 2007, 58, 425–452. [Google Scholar] [CrossRef]
- Wright, R.A.; Kirby, L.D. Cardiovascular response: An integrative analysis with applications in social psychology. Adv. Exp. Soc. Psychol. 2001, 33, 255–307. [Google Scholar] [CrossRef]
- Egloff, B.; Wilhelm, F.H.; Neubauer, D.H.; Mauss, I.B.; Gross, J.J. Implicit anxiety measure predicts cardiovascular reactivity to an evaluated speaking task. Emotion 2002, 2, 3–11. [Google Scholar] [CrossRef]
- Allen, N.B.; Kuppens, P.; Sheeber, L.B. Heart rate responses to parental behavior in depressed adolescents. Biol. Psychol. 2012, 90, 80–87. [Google Scholar] [CrossRef]
- Blascovich, J.; Seery, M.D.; Mugridge, C.A.; Norris, K.; Weisbuch, M. Predicting athletic performance from cardiovascular indexes of challenge and threat. J. Exp. Soc. Psychol. 2004, 40, 683–688. [Google Scholar] [CrossRef]
- Gerin, W.; Bovbjerg, D.H.; Glynn, L.; Davidson, K.; Sanders, M.; Sheffield, D.; Christenfeld, N. Comment on negative emotions and acute cardiovascular responses to laboratory challenges. Ann. Behav. Med. 1999, 21, 223–224. [Google Scholar] [CrossRef] [PubMed]
- Corsetti, S.; Ferrara, M.; Natoli, E. Evaluating stress in dogs involved in animal-assisted interventions. Animals 2019, 9, 833. [Google Scholar] [CrossRef] [PubMed]
- Glenk, L.M. Current perspectives on therapy dog welfare in animal-assisted interventions. Animals 2017, 7, 7. [Google Scholar] [CrossRef] [PubMed]
- Melco, A.L.; Goldman, L.; Fine, A.H.; Peralta, J.M. Investigation of physiological and behavioral responses in dogs participating in animal-assisted therapy with children diagnosed with attention-deficit hyperactivity disorder. J. Appl. Anim. Welf. Sci. 2020, 23, 10–28. [Google Scholar] [CrossRef]
- Lackner, H.; Feyaerts, K.; Rominger, C.; Oben, B.; Schwerdtfeger, A.; Papousek, I. Impact of humor-related communication elements in natural dyadic interactions on interpersonal physiological synchrony. Psychophysiology 2019, 56, e13320. [Google Scholar] [CrossRef]
- Palumbo, R.V.; Marraccini, M.E.; Weyandt, L.L.; Wilder-Smith, O.; McGee, H.A.; Liu, S.; Goodwin, M.S. Interpersonal autonomic physiology: A systematic review of the literature. Pers. Soc. Psychol. Rev. 2017, 21, 99–141. [Google Scholar] [CrossRef]
- Robinson, J.L.; Biringen, Z. Gender and emerging autonomy in development. Psychoanal. Inq. 1995, 15, 60–74. [Google Scholar] [CrossRef]
- Thibeault, M.A.; Stein, G.L.; Nelson-Gray, R.O. Ethnic identity in context of ethnic discrimination: When does gender and other-group orientation increase risk for depressive symptoms for immigrant-origin young adults. Cult. Divers. Ethn. Min. Psychol. 2018, 24, 196–208. [Google Scholar] [CrossRef]
- Polheber, J.P.; Matchock, R.L. The presence of a dog attenuates cortisol and heart rate in the Trier Social Stress Test compared to human friends. J. Behav. Med. 2014, 37, 860–867. [Google Scholar] [CrossRef]
- Beetz, A.; Julius, H.; Turner, D.; Kotrschal, K. Effects of social support by a dog on stress modulation in male children with insecure attachment. Front. Psychol. 2012, 3, 352. [Google Scholar] [CrossRef]
- Kertes, D.A.; Liu, J.; Hall, N.J.; Hadad, N.A.; Wynne, C.D.L.; Bhatt, S.S. Effect of pet dogs on children’s perceived stress and cortisol stress response. Soc. Dev. 2017, 26, 382–401. [Google Scholar] [CrossRef] [PubMed]



Publisher’s Note: MDPI stays neutral with regard to jurisdictional claims in published maps and institutional affiliations. |
© 2020 by the authors. Licensee MDPI, Basel, Switzerland. This article is an open access article distributed under the terms and conditions of the Creative Commons Attribution (CC BY) license (http://creativecommons.org/licenses/by/4.0/).
Share and Cite
Papousek, I.; Reiter-Scheidl, K.; Lackner, H.K.; Weiss, E.M.; Perchtold-Stefan, C.M.; Aydin, N. The Impacts of the Presence of an Unfamiliar Dog on Emerging Adults’ Physiological and Behavioral Responses Following Social Exclusion. Behav. Sci. 2020, 10, 191. https://doi.org/10.3390/bs10120191
Papousek I, Reiter-Scheidl K, Lackner HK, Weiss EM, Perchtold-Stefan CM, Aydin N. The Impacts of the Presence of an Unfamiliar Dog on Emerging Adults’ Physiological and Behavioral Responses Following Social Exclusion. Behavioral Sciences. 2020; 10(12):191. https://doi.org/10.3390/bs10120191
Chicago/Turabian StylePapousek, Ilona, Katharina Reiter-Scheidl, Helmut K. Lackner, Elisabeth M. Weiss, Corinna M. Perchtold-Stefan, and Nilüfer Aydin. 2020. "The Impacts of the Presence of an Unfamiliar Dog on Emerging Adults’ Physiological and Behavioral Responses Following Social Exclusion" Behavioral Sciences 10, no. 12: 191. https://doi.org/10.3390/bs10120191
APA StylePapousek, I., Reiter-Scheidl, K., Lackner, H. K., Weiss, E. M., Perchtold-Stefan, C. M., & Aydin, N. (2020). The Impacts of the Presence of an Unfamiliar Dog on Emerging Adults’ Physiological and Behavioral Responses Following Social Exclusion. Behavioral Sciences, 10(12), 191. https://doi.org/10.3390/bs10120191

