Key Factors of Precipitation Stable Isotope Fractionation in Central-Eastern Africa and Central Mediterranean
Abstract
1. Introduction
2. Material and Methods
2.1. Study Areas’ Geographical, Hydrographical and Climatic Settings
2.2. Sampling and Analytical Techniques
3. Results and Discussion
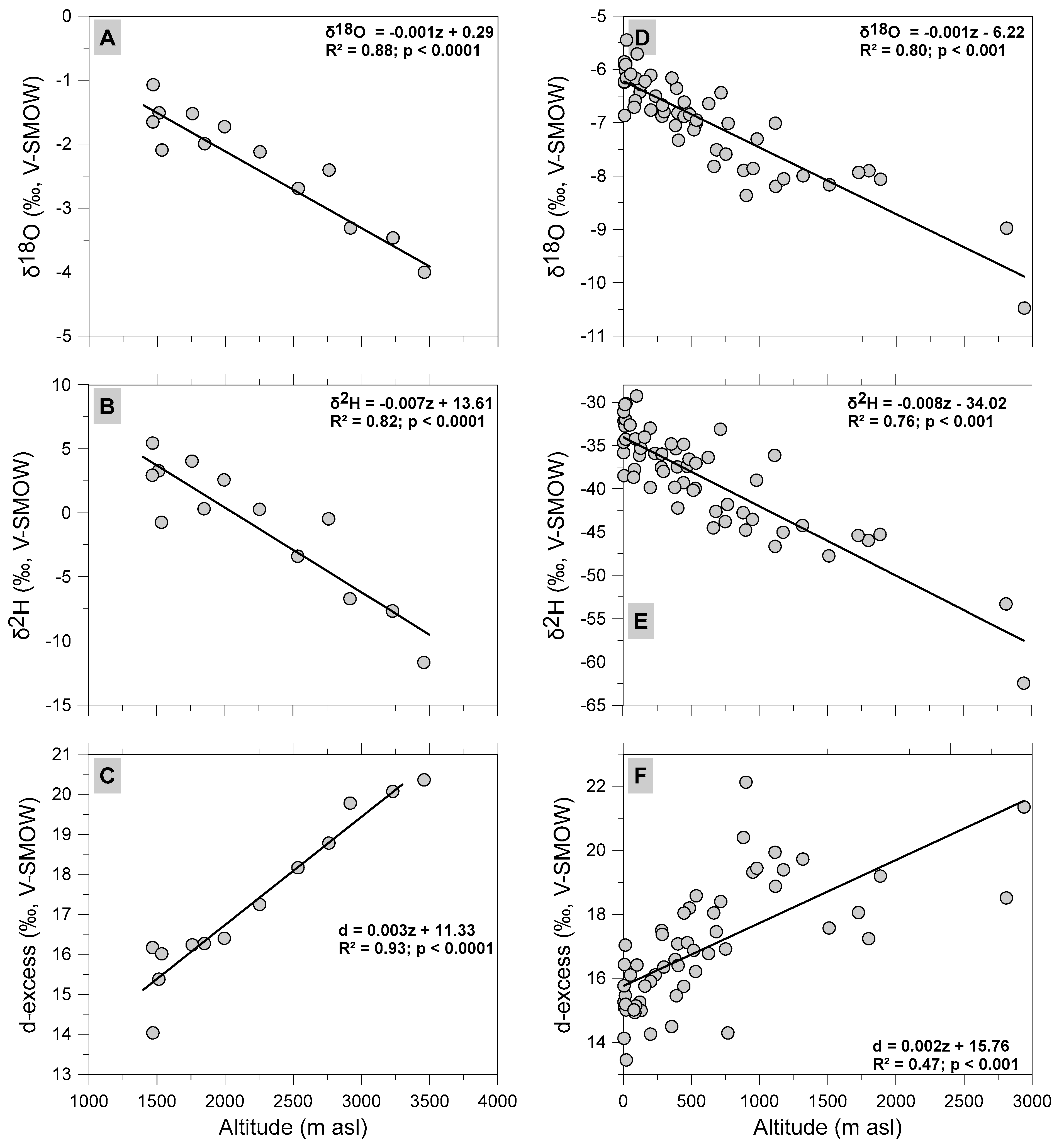
3.1. General Variabilities
3.2. Spatiotemporal Variabilities of δ18O, δ2H and D-Excess
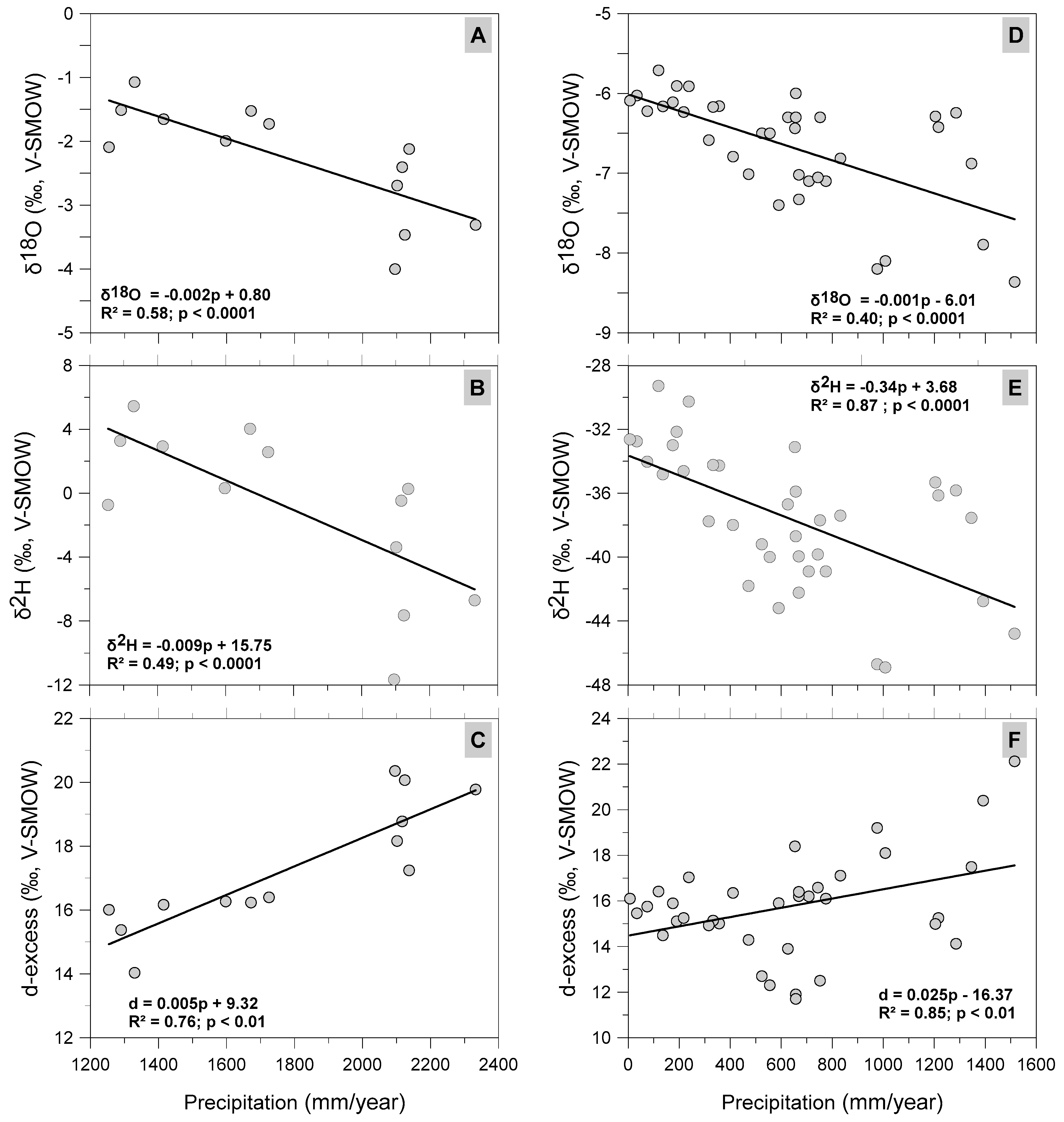
3.3. Meteorological Effects: Temperature and Precipitation Amount
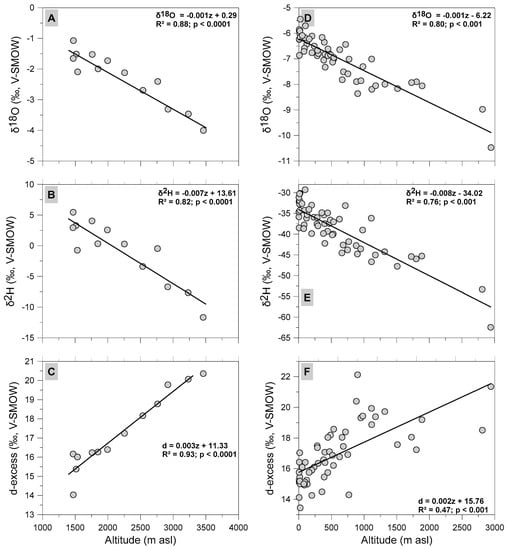
3.4. Precipitation Stable Isotope Fractionation in Virunga and in the Central Mediterranean
3.4.1. Stable Isotope Fractionation in Virunga
3.4.2. Stable Isotope Fractionation in the Central Mediterranean
4. Conclusions
Author Contributions
Funding
Acknowledgments
Conflicts of Interest
References
- Kendall, C.; Caldwell, E.A. Fundamentals of Isotope Geochemistry. In Isotope Tracers in Catchment Hydrology; Kendall, C., McDonnell, J.J., Eds.; Elsevier Science: Amsterdam, The Netherland, 1998; pp. 51–86. [Google Scholar]
- Environmental Isotopes in the Hydrological Cycle, Principles and Applications, Vol. 1; Mook, W.G., Ed.; IAEA/UNESCO: Paris, France; Vienna, Austria, 2000. [Google Scholar]
- Gat, J.R.; Mook, W.G.; Meijer, H.A. Environmental Isotopes in the Hydrological Cycle, Principles and Applications, Vol. 2: Atmospheric Water; UNESCO/IAEA Series; IAEA/UNESCO: Paris, France; Vienna, Austria, 2001. [Google Scholar]
- Hoefs, J. Stable Isotope Geochemistry, 6th ed.; Springer: Berlin/Heidelberg, Germany, 2009; 293p. [Google Scholar] [CrossRef]
- Gat, J.R. Isotope Hydrology: A Study of the Water Cycle; Imperial College Press: London, UK, 2010; 197p. [Google Scholar]
- Craig, H. Isotopic variations in meteoric waters. Science 1961, 133, 1702–1703. [Google Scholar] [CrossRef] [PubMed]
- Gonfiantini, R. Standards for stable isotope measurements in natural compounds. Nature 1978, 271, 534–536. [Google Scholar] [CrossRef]
- Dansgaard, W. Stable isotopes in precipitation. Tellus 1964, 16, 438–468. [Google Scholar] [CrossRef]
- Craig, H.; Gordon, L. Deuterium and oxygen-18 variations in the ocean and marine atmosphere. In Stable Isotopes in Oceanographic Studies and Paleotemperatures; Tongiorgi, E., Ed.; Consiglio Nazionale delle Richerche, Laboratorio de Geologia Nucleare: Pisa, Italy, 1965. [Google Scholar]
- Ehhalt, D.; Knott, K.; Nagel, J.F.; Vogel, J.C. Deuterium and oxygen-I 8 in rain water. J. Geophys. Res. 1963, 68, 3775–3780. [Google Scholar] [CrossRef]
- Yurtsever, Y. World Survey of Stable Isotopes in Precipitation; IAEA Internal Report; IAEA: Vienna, Austria, 1975. [Google Scholar]
- Gonfiantini, R.; Roche, M.A.; Olivry, J.C.; Fontes, J.C.; Zuppi, G.M. The altitude effect on the isotopic composition of tropical rains. Chem. Geol. 2001, 181, 147–167. [Google Scholar] [CrossRef]
- Gat, J.R.; Carmi, I. Evolution of the isotopic composition of atmospheric waters in the Mediterranean Sea area. J. Geophys. Res. 1970, 75, 3039–3048. [Google Scholar] [CrossRef]
- Merlivat, L.; Jouzel, J. Global climatic interpretation of the deuterium-oxygen 18 relationship for precipitation. J. Geophys. Res. 1979, 84, 5029–5033. [Google Scholar] [CrossRef]
- Froehlich, K.; Gibson, J.J.; Aggarwal, P.K. Deuterium excess in precipitation and its climatological significance. In Study of Environmental Change Using Isotope Techniques; International Atomic Energy Agency: Vienna, Austria, 2002; pp. 54–65. [Google Scholar]
- Gat, J.R.; Klein, B.; Kushnir, Y.; Roether, W.; Wernli, H.; Yam, R.; Shemesh, A. Isotope composition of air moisture over the Mediterranean Sea: An index of the air–sea Interaction pattern. Tellus 2003, 55B, 953–965. [Google Scholar] [CrossRef]
- Dansgaard, W.; Johnsen, S.; Møller, J.; Langway, C., Jr. One thousand centuries of climatic record from Camp Century on the Greenland ice sheet. Science (New York, NY) 1969, 166, 377. [Google Scholar] [CrossRef]
- Fisher, D.A. Remarks on the deuterium excess in precipitation in cold regions. Tellus 1991, 43B, 401–407. [Google Scholar] [CrossRef]
- Augustin, L.; EPICA Community Members. Eight glacial cycles from an Antarctic ice core. Nature 2004, 429, 623–628. [Google Scholar] [CrossRef] [PubMed]
- Hanna, E. Surface Temperature Reconstructions for the Last 2000 Years; The National Academies Press: Washington, DC, USA, 2006; ISBN 0 30 9102 251. [Google Scholar]
- Werner, M.; Jouzel, J.; Masson-Delmotte, V.; Lohmann, G. Reconciling glacial Antarctic water stable isotopes with ice sheet topography and the isotopic paleothermometer. Nature 2018, 9, 3537. [Google Scholar] [CrossRef] [PubMed]
- Balagizi, M.C.; Darchambeau, F.; Yalire, M.M.; Bouillon, S.; Borges, V.A. River geochemistry, chemical weathering, and atmospheric CO2 consumption rates in the Virunga Volcanic Province (East Africa). Geochem. Geophys. Geosyst. 2015, 16, 2637–2660. [Google Scholar] [CrossRef]
- Cuoco, E.; Tedesco, D.; Poreda, R.J.; Williams, J.C.; De Francesco, S.; Balagizi, M.C.; Darrah, T.H. Impact of volcanic plume emissions on rain water chemistry during the January 2010 Nyamulagira eruptive event: Implications for essential potable water resources. J. Hazard. Mater. 2012, 244, 570–584. [Google Scholar] [CrossRef] [PubMed]
- Cuoco, E.; Spagnuolo, A.; Balagizi, M.C.; De Francesco, S.; Tassi, F.; Vaselli, O.; Tedesco, D. Impact of volcanic emissions on rainwater chemistry: The case of Mt. Nyiragongo in the Virunga volcanic region (DRC). J. Geochem. Explor. 2012, 125, 69–79. [Google Scholar] [CrossRef]
- Coppola, D.; Campion, R.; Laiolo, M.; Cuoco, E.; Balagizi, M.C.; Ripepe, M.; Cigolini, C.; Tedesco, D. Birth of a lava lake: Nyamulagira volcano 2012–2015. Bull. Volcanol. 2016, 78, 20. [Google Scholar] [CrossRef]
- Bobrowski, N.; Giuffrida, G.B.; Yalire, M.; Lübcke, P.; Arellano, S.; Balagizi, C.; Calabrese, S.; Galle, B.; Tedesco, D. Multi-component gas emission measurements of the active lava lake of Nyiragongo, DR Congo. J. Afr. Earth Sci. 2016, 134, 856–865. [Google Scholar] [CrossRef]
- Balagizi, M.C.; Yalire, M.M.; Ciraba, M.H.; Vicky, B.K.; Minani, S.A.; Kinja, K.A. Kasereka MMCO2 and SO2 emissions, temperature variations and field observations before and after the February 29, 2016 new vent inside Nyiragongo crater. Bull. Volcanol. 2016, 78, 64. [Google Scholar] [CrossRef]
- Balagizi, M.C.; Kies, A.; Kasereka, M.M.; Tedesco, D.; Yalire, M.M.; McCausland, W.A. Natural hazards in Goma and the surrounding villages, East African Rift System. Nat. Hazards 2018, 93, 31–66. [Google Scholar] [CrossRef]
- Balagizi, M.C.; Kasereka, M.M.; Cuoco, E.; Liotta, M. Rain-plume interactions at Nyiragongo and Nyamulagira volcanoes and associated rainwater hazards, East Africa. Appl. Geochem. 2017, 81, 76–89. [Google Scholar] [CrossRef]
- Balagizi, M.C.; Kasereka, M.M.; Cuoco, E.; Liotta, M. Influence of moisture source dynamics and weather patterns on stable isotopes ratios of precipitation in Central-Eastern Africa. Sci. Total Environ. 2018, 628, 1058–1078. [Google Scholar] [CrossRef] [PubMed]
- Catalano, R.; Di Stefano, P.; Sulli, A.; Vitale, F.P. Paleogeography and structure of the central Mediterranean: Sicily and its offshore area. Tectonophysics 1996, 260, 291–323. [Google Scholar] [CrossRef]
- Liotta, M.; Brusca, L.; Grassa, F.; Inguaggiato, S.; Longo, M.; Madonia, P. Geochemistry of rainfall at Stromboli volcano (Aeolian Islands): Isotopic composition and plume–rain interaction. Geochem. Geophys. Geosyst. 2006, 7. [Google Scholar] [CrossRef]
- Liotta, M.; Favara, R.; Valenza, M. Isotopic composition of the precipitations in the central Mediterranean: Origin marks and orographic precipitation effects. J. Geophys. Res. 2006, 111. [Google Scholar] [CrossRef]
- Bolle, H.-J. Mediterranean Climate: Variability and Trends; Springer: Berlin, Germany, 2003. [Google Scholar]
- Buzzi, A.; Tibaldi, S. Cyclogenesis in the lee of the Alps- a case study. Q. J. R. Meteorol. Soc. 1978, 104, 271–287. [Google Scholar] [CrossRef]
- Buzzi, U.H.; Stergiou, N.; Kurz, M.J.; Hageman, P.A.; Heidel, J. Nonlinear dynamics indicates aging affects variability during gait. Clin. Biomech. 2003, 18, 435–443. [Google Scholar] [CrossRef]
- Lionello, P.; Sanna, A. Mediterranean wave climate variability and its links with NAO and Indian Monsoon. Clim. Dyn. 2006, 25, 611–623. [Google Scholar] [CrossRef]
- Chaboureau, J.-P.; Claud, C. Satellite-based climatology of Mediterranean cloud systems and their association with large-scale circulation. J. Geophys. Res. 2006, 111, D01102. [Google Scholar] [CrossRef]
- Gaertner, M.A.; Jacob, D.; Gil, V.; Domínguez, M.; Padorno, E.; Sánchez, E.; Castro, M. Tropical cyclones over the Mediterranean Sea in climate change simulations. Geophys. Res. Lett. 2007, 34, L14711. [Google Scholar] [CrossRef]
- Mariotti, A.; Struglia, M.V.; Zeng, N.; Lau, K.M. The hydrological cycle in the Mediterranean region and implications for the water budget of the Mediterranean Sea. J. Clim. 2002, 15, 1674–1690. [Google Scholar] [CrossRef]
- Liotta, M.; Bellissimo, S.; Favara, R.; Valenza, M. Isotopic composition of single rain events in the central Mediterranean. J. Geophys. Res. 2008, 113, D16304. [Google Scholar] [CrossRef]
- Liotta, M.; Grassa, F.; D’Alessandro, W.; Favara, R.; Gagliano Candela, E.; Pisciotta, A.; Scaletta, C. Isotopic composition of precipitation and groundwater in Sicily, Italy. Appl. Geochem. 2013, 34, 199–206. [Google Scholar] [CrossRef]
- Wassenaar, L.I.; Coplen, T.B.; Pradeep, K.A. Approaches for achieving long-term accuracy and precision of δ18O and δ2H for waters analyzed using laser absorption spectrometers. Sci. Technol. 2014, 48, 1123–1131. [Google Scholar] [CrossRef] [PubMed]
- Coplen, T.B.; Wildman, J.D.; Chen, J. Improvements in the gaseous hydrogen-water equilibration technique for hydrogen isotope-ratio analysis. Anal. Chem. 1991, 63, 910–912. [Google Scholar] [CrossRef]
- Hauser, S.; Dongarra, G.; Favara, R.; Longinelli, A. Composizione isotopica delle pioggie in Sicilia. Riferimenti di base per studi idrogeologici e relazione con altre aree mediterranee. Rend. Soc. Ital. Miner. Pet. 1980, 36, 671–680. [Google Scholar]
- Favara, R.; Grassa, F.; Ingaggiato, S.; D’Amore, F. Geochemical and hydrogeological characterization of thermal springs in western Sicily, Italy. J. Volcanol. Geotherm. Res. 1998, 84, 125–141. [Google Scholar] [CrossRef]
- Poage, M.A.; Chamberlain, C.P. Empirical relationships between elevation and the stable isotope composition of precipitation and surface waters: Considerations for studies of paleoelevation change. Am. J. Sci. 2001, 301, 1–15. [Google Scholar] [CrossRef]
- Zomer, R.J.; Bossio, D.A.; Trabucco, A.; Yuanjie, L.; Gupta, D.C.; Singh, V.P. Trees and Water: Smallholder Agroforestry on Irrigated Lands in Northern India; IWMI Research Report 122; International Water Management Institute: Colombo, Sri Lanka, 2007; p. 45. [Google Scholar]
- Zomer, R.J.; Trabucco, A.; Bossio, D.A.; van Straaten, O.; Verchot, L.V. Climate Change Mitigation: A Spatial Analysis of Global Land Suitability for Clean Development Mechanism Afforestation and Reforestation. Agric. Ecosyst. Environ. 2008, 126, 67–80. [Google Scholar] [CrossRef]
- Trabucco, A.; Zomer, R.J. Global Aridity Index (Global-Aridity) and Global Potential Evapotranspiration (Global-PET) Geospatial Database. CGIAR Consortium for Spatial Information. 2009. Available online: http://www.csi.cgiar.org (accessed on 25 July 2019).
- Rozanski, K.; Araguaś-Araguaś, L.; Gonfiantini, R. Isotopic patterns inmodern global precipitation. In Climate Change in Continental Isotopic Records; Swart, P.K., Lohmann, K.C., Mckenzie, J., Savin, S., Eds.; American Geophysical Union: Washington, DC, USA, 1993; Volume 78, pp. 1–35. [Google Scholar] [CrossRef]
- Bowen, G. Spatial analysis of the intra-annual variation of precipitation isotope ratios and its climatological corollaries. J. Geophys. Res. 2008, 113, D05113. [Google Scholar] [CrossRef]
- Fontes, J.C.; Olivry, J.C. Gradient Isotopique Entre 0 et 4000 m Dans les Précipitations du Mont Cameroun; Quatrième. Réunion Annuelle des Sciences de la Terre, Société Géologique de France.: Paris, France, 1976. [Google Scholar]
- Munyaneza, O.; Wenninger, J.; Uhlenbrook, S. Identification of runoff generation processes using hydrometric and tracer methods in a meso-scale catchment in Rwanda. Hydrol. Earth Syst. Sci. 2012, 16, 1991–2004. [Google Scholar] [CrossRef]
- Wirmvem, M.J.; Ohba, T.; Kamtchueng, B.T.; Taylor, E.T.; Fantong, W.Y.; Ako, A.A. Variation in stable isotope ratios of monthly rainfall in the Douala and Yaounde cities, Cameroon: Local meteoric lines and relationship to regional precipitation cycle. Appl. Water Sci. 2016, 1–14. [Google Scholar] [CrossRef]
- Pfahl, S.; Sodemann, H. What controls deuterium excess in global precipitation? Clim. Past 2014, 10, 771–781. [Google Scholar] [CrossRef]
- Stewart, M.K. Stable isotope fractionation due to evaporation and isotopic-exchange of falling water drops: Applications to atmospheric processes and evaporation of lakes. J. Geophys. Res. 1975, 80, 1133–1146. [Google Scholar] [CrossRef]
- Craig, H. Lake Tanganyika Geochemical and Hydrographic Study: 1973 Expedition; Report 75-5; Scripps Institute of Oceanography: La Jolla, CA, USA, 1975; 83p. [Google Scholar]
- Gonfiantini, R.; Zuppi, G.M.; Eccles, D.H.; Ferro, W. Isotope investigation of Lake Malawi. In Proceedings of the International Symposium International Atomic Energy Agency, Vienna, Austria, 14–18 May 1979. [Google Scholar]
- Cerling, T.E.; Bowman, J.R.; O’Neil, J.R. An isotopic study of a fluvial lacustrine sequence: The Plio-Pleistocene Koobi Fora sequence, East Africa. Palaeogeogr. Palaeoclimatol. Palaeoecol. 1988, 63, 335–356. [Google Scholar] [CrossRef]
- Odada, E. Stable isotopic composition of East African lake waters. In Use of Isotope Techniques in Lake Dynamics Investigations; Gourcy, L., Ed.; IAEA: Vienna, Austria, 2001; pp. 43–48. [Google Scholar]
- Bahati, G.; Pang, Z.; Armannsson, H.; Isabirye, E.M.; Kato, V. Hydrology and reservoir characteristics of three geothermal systems in Western Uganda. Geothermics 2005, 34, 568–591. [Google Scholar] [CrossRef]
- Cockerton, H.E.; Street-Perrott, F.A.; Leng, M.J.; Barker, P.A.; Horstwood, M.S.A.; Pashley, V. Stable-isotope (H, O, and Si) evidence for seasonal variations in hydrology and Si cycling from modern waters in the Nile Basin: Implications for interpreting the Quaternary record. Quat. Sci. Rev. 2013, 66, 4–21. [Google Scholar] [CrossRef]
- Jasechko, S.; Sharp, Z.D.; Gibson, J.J.; Birks, S.J.; Yi, Y.; Fawcett, P.J. Terrestrial water fluxes dominated by transpiration. Nature 2013, 496, 347–350. [Google Scholar] [CrossRef] [PubMed]
- Balagizi, M.C.; Kasereka, M.M.; Terzer, S.; Cuoco, E.; Liotta, M. Identifying Hydrological Pathways in the North Basin of Lake Kivu Using Stable Isotope Ratios of Meteoric Recharge and Surface Water; Geophysical Research Abstracts Vol. 18, EGU2016-9720-1; EGU General Assembly: Vienna, Austria, 2016. [Google Scholar]
- Harwood, K.G.; Gillon, J.S.; Griffiths, H.; Broadmeadow, M.S.J. Diurnal variation of D13CO2, D.C.18O16O and evaporative site enrichment of dH218O in Piper aduncum under field conditions in Trinidad. Plant Cell Environ. 1998, 21, 269–283. [Google Scholar] [CrossRef]
- Wang, L.; Good, S.; Caylor, K.; Cernusak, L.A. Direct quantification of leaf transpiration isotopic composition. Agric. For. Meteorol. 2012, 154, 127–135. [Google Scholar] [CrossRef]
- Nicholson, S.E. A review of climate dynamics and climate variability in eastern Africa. In The Limnology, Climatology and Paleoclimatology of the East African Lakes; Johnson, T.C., Odada, E.O., Eds.; Gordon and Breach: Amsterdam, The Netherland, 1996; pp. 25–56. [Google Scholar]
- Cappa, C.D.; Hendricks, M.B.; De Paolo, D.J.; Cohen, R.C. Isotopic fractionation of water during evaporation. J. Geophys. Res. 2003, 108, 4525. [Google Scholar] [CrossRef]






| Site Name | Elevation (m a.s.l.) | UTM Coordinates | Precipitation (mm/month) | δ2H (‰) | δ18O (‰) | d−excess (‰) | Number of Samples | Sapling Periode | Region | |||||||||
|---|---|---|---|---|---|---|---|---|---|---|---|---|---|---|---|---|---|---|
| Easting | Northing | Min | Average | Max | Min | Average | Max | Min | Average | Max | Min | Average | Max | |||||
| FRT | 282 | 519804 | 4294449 | 2.829054 | 112.1399 | 219.959 | −48 | −30.5455 | −3 | −8.4 | −5.90455 | −2.15 | 11.6 | 16.69091 | 20.8 | 11 | 2003–2005 | Stromboli (Italy), Central Mediterranean |
| GNV | 5 | 520890 | 4294699 | 2.121791 | 107.099 | 234.1043 | −49 | −28.2727 | −6 | −7.9 | −5.17273 | −1.5 | 6 | 13.10909 | 16.6 | 11 | 2003–2005 | Stromboli (Italy), Central Mediterranean |
| LBR | 121 | 518743 | 4295681 | 3.88995 | 101.3573 | 196.2656 | −46 | −28.9091 | −3 | −7.9 | −5.37273 | −1.7 | 10.6 | 14.07273 | 19 | 11 | 2003–2005 | Stromboli (Italy), Central Mediterranean |
| PSF 1 | 881 | 518695 | 4293865 | 66.48278 | 115.9677 | 211.4718 | −48 | −41.8333 | −35 | −8.7 | −7.71667 | −6.8 | 16 | 19.9 | 21.8 | 6 | 2003–2005 | Stromboli (Italy), Central Mediterranean |
| PSF 2 | 900 | 518600 | 4293724 | 61.95629 | 126.2466 | 170.4505 | −51 | −44.1667 | −34 | −9.4 | −8.26667 | −6.8 | 20.2 | 21.96667 | 25.2 | 6 | 2003–2005 | Stromboli (Italy), Central Mediterranean |
| TMP | 130 | 516708 | 4293638 | 2.829054 | 66.90714 | 145.4134 | −48 | −28.1111 | −8 | −8 | −5.24444 | −2.2 | 9.4 | 13.84444 | 18 | 9 | 2003–2005 | Stromboli (Italy), Central Mediterranean |
| S. Ninfa | 470 | 313600 | 4182900 | 4.950845 | 53.44892 | 141.1698 | −74.2 | −30.6769 | 4.8 | −11.4 | −5.62308 | 1.4 | −6.4 | 13.28571 | 23.2 | 14 | 2002–2003 | Palermo (Italy), Central Mediterranean |
| Triscina | 13 | 306000 | 4162000 | 8.487163 | 49.21039 | 154.4664 | −67.7 | −26 | 4.3 | −10.1 | −4.43571 | 0.6 | −0.5 | 9.485714 | 16.1 | 14 | 2002–2003 | Palermo (Italy), Central Mediterranean |
| Spagnuola | 15 | 278200 | 4190500 | 2.829054 | 46.33587 | 118.3959 | −62.1 | −29.1846 | −10.8 | −9.4 | −5.1 | −2.8 | 4.1 | 11.61538 | 20.1 | 14 | 2002–2003 | Palermo (Italy), Central Mediterranean |
| Trapati | 12 | 283925 | 4212400 | 4.243582 | 38.46504 | 113.4451 | −58 | −29.2929 | 2.8 | −8.7 | −5.07857 | −1.1 | 1.8 | 11.33571 | 20.1 | 14 | 2002–2003 | Palermo (Italy), Central Mediterranean |
| Sparagio | 1100 | 304900 | 4214550 | 4.243582 | 77.05132 | 193.2244 | −63 | −40.1429 | −18.3 | −10.2 | −7.18571 | −4.5 | 3 | 17.34286 | 24.1 | 14 | 2002–2003 | Palermo (Italy), Central Mediterranean |
| Linici | 980 | 312000 | 4208775 | 7.7799 | 76.11167 | 187.2834 | −64.9 | −42.6857 | −23.5 | −10.6 | −7.47143 | −5.4 | 7.8 | 17.08571 | 21.8 | 14 | 2002–2003 | Palermo (Italy), Central Mediterranean |
| M. Grande | 675 | 302050 | 4196300 | 5.941014 | 45.85089 | 135.7946 | −72.2 | −33.5929 | −10.4 | −11.6 | −6.04286 | −3.7 | 6 | 14.75 | 21.1 | 14 | 2002–2003 | Palermo (Italy), Central Mediterranean |
| Calatafimi | 400 | 312825 | 4197750 | 7.355541 | 57.77333 | 147.6766 | −62.3 | −33.8786 | −16.4 | −9.7 | −5.99286 | −4.1 | 5.9 | 14.06429 | 21 | 14 | 2002–2003 | Palermo (Italy), Central Mediterranean |
| San Vito | 15 | 301550 | 4228000 | 5.658109 | 43.93739 | 99.58271 | −55 | −33.0077 | −4.9 | −8.5 | −5.45385 | −2.2 | 1 | 10.62308 | 17.4 | 13 | 2002–2003 | Palermo (Italy), Central Mediterranean |
| Scopello | 60 | 312075 | 4213325 | 3.536318 | 59.97595 | 152.7689 | −56.2 | −32.1 | −12.1 | −8.5 | −5.40833 | −2.9 | 3.5 | 11.16667 | 18.4 | 12 | 2002–2003 | Palermo (Italy), Central Mediterranean |
| INGV−Palermo | 85 | 351950 | 4225700 | 10.32605 | 52.01108 | 127.0245 | −60 | −35.7154 | −22.1 | −8.8 | −5.82308 | −4 | 0.5 | 10.86923 | 18 | 13 | 2002–2003 | Palermo (Italy), Central Mediterranean |
| Calatafimi | 399 | 312795 | 4199058 | 8.346793 | 70.1107 | 239.369 | −53 | −31.2917 | 7 | −9.16 | −5.7314 | 0.6 | 2.2 | 14.55954 | 25.28 | 24 | 2004–2006 | Palermo (Italy), Central Mediterranean |
| Santa Ninfa | 470 | 313611 | 4182790 | 11.31768 | 72.60233 | 252.9503 | −60 | −30.5217 | 6 | −9.95 | −5.65887 | 0.46 | −2.32 | 14.74921 | 24.6 | 22 | 2004–2006 | Palermo (Italy), Central Mediterranean |
| Triscina | 7 | 305439 | 4161952 | 1.414711 | 63.32438 | 263.7021 | −63 | −25.2273 | −2 | −9.37 | −4.68546 | −0.82592 | 4.451713 | 12.2564 | 19.44 | 22 | 2004–2006 | Palermo (Italy), Central Mediterranean |
| Spagnuola | 5 | 278092 | 4190520 | 5.941785 | 55.0876 | 209.6601 | −52 | −26.5652 | 4 | −8.43 | −4.87347 | −0.38 | −6.76 | 12.42254 | 20.84 | 22 | 2004–2006 | Palermo (Italy), Central Mediterranean |
| S. Vito | 8 | 301597 | 4227994 | 6.507669 | 59.78921 | 200.1816 | −53 | −28.0417 | 3 | −9.07 | −5.13661 | 0.19 | 0.48 | 13.05121 | 20.56 | 22 | 2004–2006 | Palermo (Italy), Central Mediterranean |
| M.te Sparagio | 1113 | 304910 | 4214514 | 9.902974 | 66.57462 | 254.9309 | −55 | −29.1176 | −2 | −9.58 | −5.64497 | −0.75 | 4 | 16.04212 | 26.92 | 17 | 2004–2006 | Palermo (Italy), Central Mediterranean |
| Palazzo Adriano | 682 | 357534 | 4171989 | 3.395305 | 96.86052 | 374.3324 | −60 | −35.3333 | 0 | −10.1 | −6.14078 | −1 | −18.76 | 13.7929 | 22.8 | 24 | 2004–2006 | Palermo (Italy), Central Mediterranean |
| Cefalù | 200 | 417515 | 4207190 | 10.18592 | 77.16603 | 169.1994 | −56 | −35 | −6 | −9.3 | −5.89516 | −1.42 | −13.36 | 12.16132 | 25.08 | 22 | 2004–2006 | Palermo (Italy), Central Mediterranean |
| Milena | 4444 | 388505 | 4148246 | 8.488264 | 63.20066 | 180.5171 | −62 | −33.6522 | −10 | −9.86 | −5.86296 | −1.37068 | −0.44 | 13.25152 | 23.92 | 23 | 2004–2006 | Palermo (Italy), Central Mediterranean |
| Lucca Sicula | 531 | 350567 | 4160443 | 8.488264 | 93.67956 | 282.0933 | −64 | −34.0909 | −10 | −10.82 | −6.17144 | −2.65 | 1.04 | 15.28064 | 23.36 | 22 | 2004–2006 | Palermo (Italy), Central Mediterranean |
| Biviere di Gela | 15 | 441340 | 4098335 | 1.839124 | 51.41653 | 161.5098 | −46 | −24.7222 | 0 | −7.38 | −4.35556 | 0.01 | −8.6 | 10.12222 | 19.6 | 18 | 2004–2006 | Palermo (Italy), Central Mediterranean |
| Sant’Agata di Militello | 18 | 467973 | 4213944 | 8.488264 | 64.76427 | 136.3781 | −52 | −31.1667 | 9 | −8.63 | −5.58133 | 1.16 | −0.56 | 13.48394 | 21.56 | 24 | 2004–2006 | Palermo (Italy), Central Mediterranean |
| Capo Calavà | 236 | 494846 | 4224085 | 9.902974 | 83.32056 | 227.2025 | −53 | −33.5417 | −12 | −8.93 | −5.98902 | −2.3 | −9.6 | 14.37051 | 26.44 | 24 | 2004–2006 | Palermo (Italy), Central Mediterranean |
| S. Basilio | 737 | 480777 | 4207739 | 34.236 | 108.2069 | 272.7562 | −70 | −41.6957 | −23 | −10.24 | −7.16729 | −3.85 | −3.2 | 15.64269 | 22.48 | 24 | 2004–2006 | Palermo (Italy), Central Mediterranean |
| S. Stefano di Camastra | 102 | 442871 | 4208031 | 5.092958 | 64.78759 | 142.8858 | −56 | −31.6087 | −2 | −8.78 | −5.6577 | −0.13728 | −0.90175 | 13.65287 | 21.08 | 24 | 2004–2006 | Palermo (Italy), Central Mediterranean |
| M.te Soro | 1853 | 473236 | 4198435 | 27.72833 | 133.9289 | 424.4132 | −53 | −41.6875 | −16 | −9.44 | −7.66438 | −3.96 | 15.16 | 19.6275 | 25.6 | 16 | 2004–2006 | Palermo (Italy), Central Mediterranean |
| Alcara Li Fusi | 391 | 473815 | 4208401 | 22.35243 | 97.96228 | 218.1484 | −61 | −36.6818 | −9 | −9.22 | −6.56375 | −2.93 | 8.6 | 15.82815 | 22.64 | 22 | 2004–2006 | Palermo (Italy), Central Mediterranean |
| Cesarò | 1112 | 474378 | 4188851 | 6.224727 | 69.09939 | 162.6917 | −70 | −40.0435 | 6 | −11 | −7.15508 | 0.39 | 2.88 | 17.19712 | 24.56 | 23 | 2004–2006 | Palermo (Italy), Central Mediterranean |
| Novara di Sicilia | 620 | 511434 | 4207778 | 4.244132 | 97.56787 | 336.7011 | −61 | −32.3333 | −7 | −9.75 | −5.89777 | −1.38842 | 3.705681 | 14.84885 | 24.12 | 24 | 2004–2006 | Palermo (Italy), Central Mediterranean |
| Villa Miraglia | 1525 | 469777 | 4196801 | 27.16244 | 169.9318 | 526.7516 | −67 | −43.88 | −14 | −10.52 | −7.7932 | −3.95 | 9.4 | 18.4656 | 27.36 | 23 | 2004–2006 | Palermo (Italy), Central Mediterranean |
| Agrigento | 297 | 378795 | 4132044 | 0 | 62.98157 | 242.7643 | −58 | −31.0952 | −2 | −9 | −5.53821 | −0.39844 | 1.187557 | 13.21044 | 21.96 | 23 | 2004–2006 | Palermo (Italy), Central Mediterranean |
| INGV−Palermo | 90 | 351989 | 4225546 | 6.507669 | 71.02462 | 159.2964 | −57 | −30.9565 | 8 | −8.99 | −5.44079 | 1.25 | −2 | 12.56981 | 22.96 | 21 | 2004–2006 | Palermo (Italy), Central Mediterranean |
| Alì Terme | 22 | 537113 | 4206322 | 2.829421 | 79.69536 | 219.846 | −58 | −28.5238 | −7 | −8.24 | −5.01734 | −0.39243 | −3.86056 | 11.6149 | 19.96 | 21 | 2004–2006 | Palermo (Italy), Central Mediterranean |
| Capo Peloro | 21 | 557072 | 4235966 | 12.16651 | 60.17236 | 123.3628 | −56 | −29.0952 | 0 | −8.6 | −5.43903 | −1.2337 | 9.16 | 14.41701 | 27.4 | 21 | 2004–2006 | Palermo (Italy), Central Mediterranean |
| Termini Imerese | 78 | 385118 | 4204971 | 3.253834 | 48.86141 | 121.3822 | −66 | −32.1429 | 0 | −10.1 | −5.61231 | −0.18071 | 1.44569 | 12.75561 | 22.68 | 21 | 2004–2006 | Palermo (Italy), Central Mediterranean |
| Cerasella | 1175 | 421471 | 4185235 | 6.790611 | 61.26876 | 204.2842 | −61 | −37.0417 | −14 | −10.41 | −6.85633 | −3.28 | 10.04 | 17.809 | 24.2 | 24 | 2004–2006 | Palermo (Italy), Central Mediterranean |
| Giacalone | 402 | 346427 | 4212842 | 16.26917 | 119.6306 | 346.6041 | −54 | −34.381 | 9 | −9.28 | −6.0331 | 1.33 | −1.64 | 13.88381 | 23.2 | 21 | 2004–2006 | Palermo (Italy), Central Mediterranean |
| San Cono | 485 | 446152 | 4125344 | 2.405008 | 73.8286 | 207.9625 | −53 | −31.7727 | −11 | −8.96 | −6.05175 | −2.54078 | 9.326234 | 16.64126 | 21.72 | 21 | 2004–2006 | Palermo (Italy), Central Mediterranean |
| Ramacca | 285 | 473149 | 4137764 | 3.112363 | 66.7676 | 307.1337 | −69 | −29.4286 | 3 | −10.72 | −5.66524 | −0.43 | 6.44 | 15.89333 | 27.12 | 21 | 2004–2006 | Palermo (Italy), Central Mediterranean |
| Alpe Cucco | 950 | 360257 | 4192698 | 4.244132 | 86.2384 | 254.082 | −62 | −37.375 | 9 | −9.91 | −6.84458 | 0.83 | 2.36 | 17.38167 | 25.76 | 24 | 2004–2006 | Palermo (Italy), Central Mediterranean |
| Assoro | 389 | 449341 | 4161303 | 9.620032 | 77.37722 | 314.2072 | −52 | −30.8333 | −14 | −8.58 | −5.68556 | −2.49 | 2.92 | 14.65111 | 23.72 | 19 | 2004–2006 | Palermo (Italy), Central Mediterranean |
| Ist. Radioastr. Noto | 100 | 499100 | 4081357 | 2.970892 | 68.39483 | 228.9002 | −48 | −26 | −11 | −8.04 | −5.01762 | −2.68 | 6.36 | 14.14095 | 22.4 | 22 | 2004–2006 | Palermo (Italy), Central Mediterranean |
| Alia | 663 | 386487 | 4181833 | 9.33709 | 66.96297 | 159.2964 | −62 | −36.1429 | 0 | −10.01 | −6.52286 | −0.41 | 3.28 | 16.04 | 23.84 | 21 | 2004–2006 | Palermo (Italy), Central Mediterranean |
| Mussomeli | 516 | 389373 | 4158418 | 6.790611 | 61.97719 | 158.7305 | −59 | −34.0909 | −3 | −9.84 | −6.14227 | −1.23 | 6.84 | 15.04727 | 23.84 | 21 | 2004–2006 | Palermo (Italy), Central Mediterranean |
| Montagna del Vento | 767 | 335693 | 4162523 | 4.244132 | 96.79315 | 280.9615 | −63 | −38.7778 | −17 | −10.25 | −6.92389 | −3 | 7 | 16.61333 | 22.2 | 18 | 2004–2006 | Palermo (Italy), Central Mediterranean |
| Zafferana | 715 | 508496 | 4171902 | 9.195619 | 136.6257 | 342.36 | −51 | −22.3158 | 0 | −8.47 | −4.69947 | −1.66 | 3.64 | 15.28 | 24 | 19 | 2004–2006 | Palermo (Italy), Central Mediterranean |
| Catania | 200 | 506411 | 4153726 | 4.244132 | 73.00651 | 232.0125 | −44 | −25.5714 | 1 | −7.25 | −4.86929 | −0.64 | 6 | 13.38286 | 20.8 | 14 | 2004–2006 | Palermo (Italy), Central Mediterranean |
| Acqua Rossa | 355 | 494777 | 4153726 | 4.951487 | 67.23917 | 249.1305 | −47 | −24.6875 | −1 | −7.79 | −4.6875 | −1.53 | 4.88 | 12.8125 | 19.6 | 16 | 2004–2006 | Palermo (Italy), Central Mediterranean |
| Intraleo | 1510 | 492349 | 4175399 | 0 | 92.30397 | 364.288 | −65 | −37.75 | 3 | −10.52 | −6.72 | −0.41 | 1.88 | 16.01 | 22.96 | 19 | 2004–2006 | Palermo (Italy), Central Mediterranean |
| Pizzi de Neri | 2810 | 501512 | 4180052 | 4.951487 | 74.34304 | 392.5822 | −59 | −44.6923 | −20 | −9.71 | −7.99692 | −4.92 | 15.88 | 19.28308 | 25.08 | 13 | 2004–2006 | Palermo (Italy), Central Mediterranean |
| Torre del Filosofo | 2940 | 500106 | 4176734 | 13.43975 | 58.82838 | 198.0595 | −64 | −44.4167 | −28 | −10.84 | −8.0725 | −5.65 | 15.76 | 20.16333 | 23.6 | 12 | 2004–2006 | Palermo (Italy), Central Mediterranean |
| Provenzana | 1800 | 503224 | 4183140 | 3.536777 | 125.1274 | 396.119 | −59 | −38.1053 | −4 | −9.89 | −6.74105 | −2.61 | 12.12 | 15.82316 | 21.12 | 19 | 2004–2006 | Palermo (Italy), Central Mediterranean |
| Serra la Nave | 1725 | 497906 | 4171934 | 7.780908 | 102.3147 | 361.1756 | −63 | −35.1905 | −1 | −10.08 | −6.50714 | −0.68 | 2.44 | 16.86667 | 28.16 | 20 | 2004–2006 | Palermo (Italy), Central Mediterranean |
| Scordia | 158 | 485847 | 4127555 | 6.224727 | 73.70642 | 337.4085 | −57 | −29.5455 | −5 | −9.22 | −5.36727 | −1.67 | 4 | 13.39273 | 23.36 | 22 | 2004–2006 | Palermo (Italy), Central Mediterranean |
| Monte Lauro | 980 | 484140 | 4108024 | 5.3759 | 89.63114 | 295.816 | −56 | −33.3913 | −9 | −9.43 | −6.32565 | −2.67 | 5.36 | 17.21391 | 27.6 | 23 | 2004–2006 | Palermo (Italy), Central Mediterranean |
| Sortino | 445 | 502202 | 4114957 | 9.620032 | 91.96293 | 381.9719 | −67 | −28.381 | −6 | −10.58 | −5.57095 | −1.98 | 6.4 | 16.18667 | 25.84 | 21 | 2004–2006 | Palermo (Italy), Central Mediterranean |
| Ragusa | 535 | 475984 | 4086105 | 6.507669 | 69.10524 | 227.344 | −50 | −32.35 | −16 | −8.79 | −6.051 | −2.5 | 4 | 16.058 | 25.08 | 20 | 2004–2006 | Palermo (Italy), Central Mediterranean |
| Marina di Ragusa | 5 | 460317 | 4071408 | 6.224727 | 68.12303 | 251.8185 | −45 | −29.0714 | −13 | −7.18 | −5.31643 | −2.34 | 2.72 | 13.46 | 21.28 | 14 | 2004–2006 | Palermo (Italy), Central Mediterranean |
| Siracusa | 15 | 524219 | 4106403 | 5.800313 | 66.54641 | 257.4773 | −42 | −28.0588 | −6 | −7.12 | −5.20059 | −1.83 | −22.4 | 13.54588 | 21.72 | 17 | 2004–2006 | Palermo (Italy), Central Mediterranean |
| Licata | 52 | 405442 | 4106611 | 0.565884 | 75.85345 | 271.9074 | −48 | −26.7143 | 2 | −7.53 | −5.08714 | 1.1 | −6.8 | 13.98286 | 21 | 14 | 2004–2006 | Palermo (Italy), Central Mediterranean |
| Bweremana | 1470 | 724496.5 | 9813727 | 9.866716 | 110.7962 | 218.1063 | −12.22 | 10.84478 | 58.89 | −3.42 | −0.27187 | 5.981 | −3.582 | 13.01974 | 20.2 | 23 | 2013–2015 | Virunga (RD Congo), Central−Eastern Africa |
| Sake | 1514 | 728715.6 | 9826678 | 4.258267 | 107.4899 | 206.474 | −18.1 | 8.953478 | 41.74 | −4.151 | −0.80604 | 4.037 | 5.544 | 15.40183 | 19.69 | 23 | 2013–2015 | Virunga (RD Congo), Central−Eastern Africa |
| Kingi | 1848 | 730385.9 | 9835498 | 14.12498 | 139.4496 | 283.1228 | −17.91 | 3.301111 | 29.46 | −4.215 | −1.61806 | 1.44 | 13.418 | 16.24556 | 19.198 | 18 | 2013–2015 | Virunga (RD Congo), Central−Eastern Africa |
| Buhimba | 1468 | 739267.8 | 9819303 | 5.712309 | 119.8702 | 223.6109 | −21.47 | 7.099 | 37.44 | −4.74 | −1.1742 | 2.44 | 11.11 | 16.4926 | 20.49 | 20 | 2013–2015 | Virunga (RD Congo), Central−Eastern Africa |
| OVG | 1535 | 747783.8 | 9813927 | 7.270212 | 104.513 | 214.7828 | −17.73 | 4.538571 | 32.87 | −3.989 | −1.37557 | 2.51 | 6.47 | 15.54314 | 20.37 | 21 | 2013–2015 | Virunga (RD Congo), Central−Eastern Africa |
| Kanyaruchinya | 1759 | 750928 | 9821494 | 7.477932 | 139.3237 | 320.3047 | −18.47 | 8.913182 | 56.02 | −4.604 | −0.88568 | 6.16 | 6.74 | 15.99864 | 22.03 | 22 | 2013–2015 | Virunga (RD Congo), Central−Eastern Africa |
| Kibati | 1994 | 753477.1 | 9826430 | 5.400729 | 143.7377 | 263.8048 | −23.7 | 5.287273 | 34.11 | −4.869 | −1.41464 | 1.856 | 11.24 | 16.60436 | 19.48 | 22 | 2013–2015 | Virunga (RD Congo), Central−Eastern Africa |
| Rest 1 | 2254 | 752329.4 | 9828449 | 12.04778 | 194.1072 | 372.4425 | −24.61 | 4.413571 | 46.8 | −4.914 | −1.62593 | 3.66 | 14.694 | 17.421 | 20.816 | 14 | 2013–2015 | Virunga (RD Congo), Central−Eastern Africa |
| Rest 2 | 2535 | 751531.9 | 9829124 | 15.3713 | 188.3133 | 376.597 | −25.84 | 0.899286 | 41.5 | −5.416 | −2.18807 | 2.49 | 15.922 | 18.40386 | 21.58 | 14 | 2013–2015 | Virunga (RD Congo), Central−Eastern Africa |
| Shaheru | 2761 | 750846.7 | 9829631 | 53.1764 | 176.3632 | 339.2073 | −27.27 | 2.9925 | 39.75 | −5.657 | −2.01108 | 2.53 | 17.41 | 19.08117 | 20.862 | 12 | 2013–2015 | Virunga (RD Congo), Central−Eastern Africa |
| Biraro | 2918 | 750760.4 | 9830145 | 35.7279 | 194.3483 | 357.279 | −30.54 | −2.02 | 34.51 | −5.989 | −2.75958 | 1.66 | 17.372 | 20.05667 | 21.834 | 12 | 2013–2015 | Virunga (RD Congo), Central−Eastern Africa |
| Cabanes | 3230 | 750386.9 | 9830663 | 47.9834 | 177.0123 | 338.9996 | −32.3 | −3.7275 | 29.08 | −6.358 | −3.01342 | 0.95 | 18.564 | 20.37983 | 23.476 | 12 | 2013–2015 | Virunga (RD Congo), Central−Eastern Africa |
| Summit | 3460 | 749852 | 9831197 | 23.26468 | 174.5993 | 274.3986 | −32.53 | −7.192 | 32.64 | −6.435 | −3.4971 | 1.28 | 18.74 | 20.7848 | 22.918 | 10 | 2013–2015 | Virunga (RD Congo), Central−Eastern Africa |
© 2019 by the authors. Licensee MDPI, Basel, Switzerland. This article is an open access article distributed under the terms and conditions of the Creative Commons Attribution (CC BY) license (http://creativecommons.org/licenses/by/4.0/).
Share and Cite
Balagizi, C.M.; Liotta, M. Key Factors of Precipitation Stable Isotope Fractionation in Central-Eastern Africa and Central Mediterranean. Geosciences 2019, 9, 337. https://doi.org/10.3390/geosciences9080337
Balagizi CM, Liotta M. Key Factors of Precipitation Stable Isotope Fractionation in Central-Eastern Africa and Central Mediterranean. Geosciences. 2019; 9(8):337. https://doi.org/10.3390/geosciences9080337
Chicago/Turabian StyleBalagizi, Charles M., and Marcello Liotta. 2019. "Key Factors of Precipitation Stable Isotope Fractionation in Central-Eastern Africa and Central Mediterranean" Geosciences 9, no. 8: 337. https://doi.org/10.3390/geosciences9080337
APA StyleBalagizi, C. M., & Liotta, M. (2019). Key Factors of Precipitation Stable Isotope Fractionation in Central-Eastern Africa and Central Mediterranean. Geosciences, 9(8), 337. https://doi.org/10.3390/geosciences9080337
