First Macro-Colonizers and Survivors Around Tagoro Submarine Volcano, Canary Islands, Spain
Abstract
1. Introduction
2. Materials and Methods
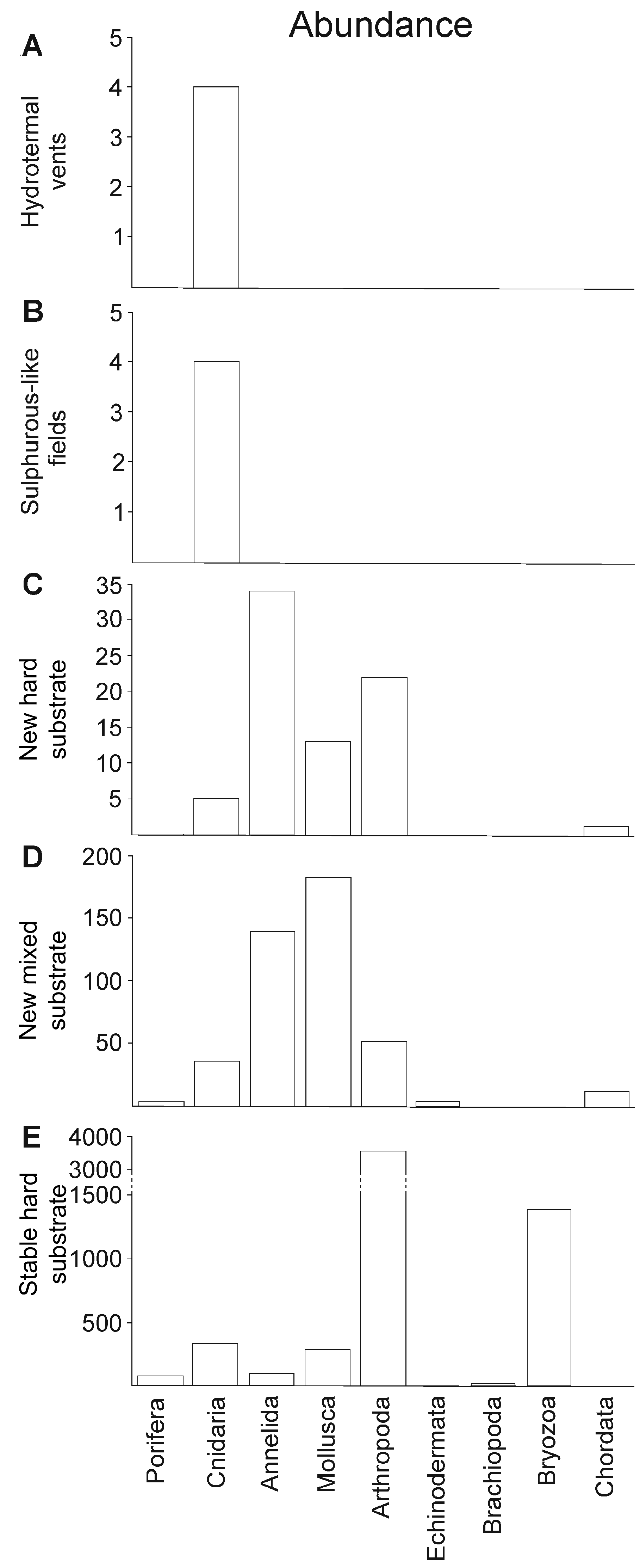
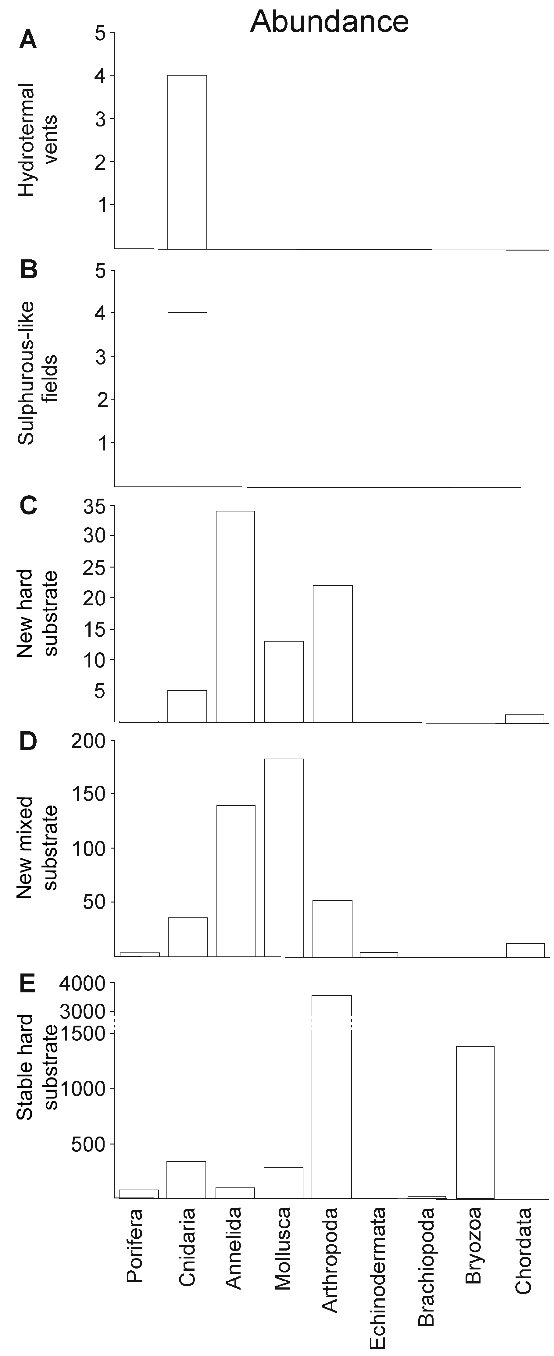
3. Results
4. Discussion
5. Conclusions
Author Contributions
Funding
Acknowledgments
Conflicts of Interest
References
- Carey, S.; Sigurdsson, H. Exploring submarine arc volcanoes. Oceanography 2007, 20, 80–89. [Google Scholar] [CrossRef]
- Rubin, K.H.; Soule, S.A.; Chadwick, W.W.; Fornari, D.J.; Clague, D.A.; Embley, R.W.; Beker, E.T.; Perfit, M.R.; Caress, D.W.; Dziak, R.P. Volcanic eruptions in the deep sea. Oceanography 2012, 25, 142–157. [Google Scholar] [CrossRef]
- Carracedo, J.C. The Canary Islands: An example of structural control on the growth of large oceanic-island volcanoes. J. Volcanol. Geotherm. Res. 1994, 60, 225–241. [Google Scholar] [CrossRef]
- Zaczek, K.; Troll, V.R.; Cachao, M.; Ferreira, J.; Deegan, F.M.; Carracedo, J.C.; Soler, V.; Meade, F.C.; Burchardt, S. Nannofossils in 2011 El Hierro eruptive products reinstate plume model for Canary Islands. Sci. Rep. 2015, 5, 7945. [Google Scholar] [CrossRef] [PubMed]
- Meletlidis, S.; Di Roberto, A.; Pompilio, M.; Bertagnini, A.; Iribarren, I.; Felpeto, A.; Torres, P.A.; D’Oriano, C. Xenopumices from the 2011–2012 submarine eruption of El Hierro (Canary Islands, Spain): Constraints on the plumbing system and magma ascent. Geophys. Res. Lett. 2012, 39, 17. [Google Scholar] [CrossRef]
- Fraile-Nuez, E.; González-Dávila, M.; Santana-Casiano, J.M.; Arístegui, J.; Alonso-González, I.J.; Hernández-León, S.; Blanco, M.L.; Rodríguez-Santana, A.; Hernandez-Guerra, A.; Gelado-Caballero, M.D.; et al. The submarine volcano eruption at the island of El Hierro: Physical-chemical perturbation and biological response. Sci. Rep. 2012, 2, 486. [Google Scholar] [CrossRef] [PubMed]
- Rivera, J.; Lastras, G.; Canals, M.; Acosta, J.; Arrese, B.; Hermida, N.; Micallef, A.; Tello, O.; Amblas, D. Construction of an oceanic island: Insights from the El Hierro (Canary Islands) 2011–2012 submarine volcanic eruption. Geology 2013, 41, 355–358. [Google Scholar] [CrossRef]
- Danovaro, R.; Canals, M.; Tangherlini, M.; Dell’Anno, A.; Gambi, C.; Lastras, G.; Amblas, D.; Sanchez-Vidal, A.; Frigola, J.; Calafat, A.M.; et al. A submarine volcanic eruption leads to a novel microbial habitat. Nat. Ecol. Evol. 2017, 1, 0144. [Google Scholar] [CrossRef]
- Fraile-Nuez, E.; Santana-Casiano, J.M.; González-Dávila, M.; Vázquez, J.T.; Fernández-Salas, L.M.; Sánchez-Guillamón, O.; Palomino, P.; Presas-Navarro, C. Cyclic behavior associated with the degassing process at the shallow submarine volcano Tagoro, Canary Islands, Spain. Geoscience 2018, 8, 457. [Google Scholar] [CrossRef]
- Santana-Casiano, J.M.; González-Dávila, M.; Fraile-Nuez, E.; De Armas, D.; González, A.G.; Domínguez-Yanes, J.F.; Escánez, J. The natural ocean acidification and fertilization event caused by the submarine eruption of El Hierro. Sci. Rep. 2013, 3, 1140. [Google Scholar] [CrossRef]
- Eugenio, F.; Martin, J.; Marcello, J.; Fraile-Nuez, E. Environmental monitoring of El Hierro Island submarine volcano, by combining low and high resolution satellite imagery. Int. J. Appl. Earth Obs. Geoinf. 2014, 29, 53–66. [Google Scholar] [CrossRef]
- Santana-Casiano, J.M.; Fraile-Nuez, E.; González-Dávila, M.; Baker, E.T.; Resing, J.A.; Walker, S.L. Significant discharge of CO2 from hydrothermalism associated with the submarine volcano of El Hierro Island. Sci. Rep. 2016, 6, 25686. [Google Scholar] [CrossRef] [PubMed]
- Acosta, J.; Uchupi, E.; Muñoz, A.; Herranz, P.; Palomo, C.; Ballesteros, M.; ZEE Working Group. Geologic evolution of the Canarian Islands of Lanzarote, Fuerteventura, Gran Canaria and La Gomera and comparison of landslides at these islands with those at Tenerife, La Palma and El Hierro. Geophys. Canary Isl. 2005, 1–38. [Google Scholar] [CrossRef]
- IEO. Caracterizacióndel Bancode La Concepción. Informedel Instituto Españolde Oceanografía-Centro Oceanográficode Canarias; Proyecto LIFE + INDEMARES (LIFE07/NAT/E/000732); Fundación Biodiversidad: Madrid, Spain, 2013; 278p, Available online: https://www.indemares.es/sites/default/files/informe_final_concepcion_ieo.pdf (accessed on 13 April 2018).
- IEO. Caracterizacióndel Surde Fuerteventura. Informedel Instituto Españolde Oceanografía-Centro Oceanográficode Canarias; Proyecto LIFE + INDEMARES (LIFE07/NAT/E/000732); Fundación Biodiversidad: Madrid, Spain, 2013; 320p, Available online: https://www.indemares.es/sites/default/files/informe_final_ieo_en_el_sur_de_fuerteventura.pdf (accessed on 13 April 2018).
- Shank, T.M. Seamounts: Deep-ocean laboratories of faunal connectivity, evolution, and endemism. Oceanography 2010, 23, 108–122. [Google Scholar] [CrossRef]
- Thomson, R.E.; Mihály, S.F.; Rabinovich, A.B.; McDuff, R.E.; Veirs, S.R.; Stahr, F.R. Constrained circulation at Endeavour ridge facilitates colonization by vent larvae. Nature 2003, 424, 545–549. [Google Scholar] [CrossRef] [PubMed]
- Thorrold, S.R.; Zacherl, D.C.; Levin, L.A. Population connectivity and larval dispersal: Using geochemical signatures in calcified structures. Oceanography 2007, 20, 80–89. [Google Scholar] [CrossRef]
- Mullineaux, L.S.; Adams, D.K.; Mills, S.W.; Beaulieu, S.E. Larvae from afar colonize deep-sea hydrothermal vents after a catastrophic eruption. Proc. Natl. Acad. Sci. USA 2010, 107, 7829–7834. [Google Scholar] [CrossRef]
- Bayer, S.R.; Mullineaux, L.S.; Waller, R.G.; Solow, A.R. Reproductive traits of pioneer gastropod species colonizing deep-sea hydrothermal vents after an eruption. Mar. Biol. 2011, 158, 181–192. [Google Scholar] [CrossRef]
- Won, Y.; Young, C.R.; Lutz, R.A.; Vrijenhoek, R.C. Dispersal barriers and isolation among deep-sea mussel populations (Mytilidae: Bathymodiolus) from eastern Pacific hydrothermal vents. Mol. Ecol. 2003, 12, 169–184. [Google Scholar] [CrossRef]
- Young, C.R.; Fujio, S.; Vrijenhoek, R.C. Directional dispersal between mid-ocean ridges: Deep-ocean circulation and gene flow in Ridgeia piscesae. Mol. Ecol. 2008, 17, 1718–1731. [Google Scholar] [CrossRef]
- Ávila, S.P.; Cardigos, F.; Santos, R.S.D. João de Castro Bank, a shallow water hydrothermal-vent in the Azores: Checklist of the marine molluscs. Arquipélago Life Mar. Sci. 2004, 21, 75–80. [Google Scholar]
- Fricke, H.; Giere, O.; Stetter, K.; Alfredsson, G.A.; Kristjansson, J.K.; Stoffers, P.; Svavarsson, J. Hydrothermal vent communities at the shallow subpolar Mid-Atlantic ridge. Mar. Biol. 1989, 102, 425–429. [Google Scholar] [CrossRef]
- Wishner, K.F.; Sigurdsson, H.; Carey, S.; Smith, D.C.; Staroscik, A.; Shepherd, J.B.; Wilson, W.D.; Lundin, S. Biology of hydrothermal vents on Kick’em Jenny Volcano in the Caribbean. Oceanography 2003, 28, 38–49. [Google Scholar]
- Sotomayor-Garcia, A.; Rueda, J.L.; Sánchez-Guillamón, O.; Vázquez, J.T.; Palomino, D.; Fernández-Salas, L.M.; López-González, N.; González-Porto, M.; Urra, J.; Santana-Casiano, M.; et al. Geomophic features, main habitats and associated biota on and around the newly formed Tagoro submarine volcano, Canary Islands. In GeoHab Atlas, 2nd ed.; Elsevier Inc.: Amsterdam, The Netherlands, 2019. [Google Scholar]
- Somoza, L.; González, F.J.; Barker, S.J.; Madureira, P.; Medialdea, T.; De Ignacio, C.; Lourenzo, N.; León, R.; Vázquez, J.T.; Palomino, D. Evolution of submarine eruptive activity during the 2011–2012 El Hierro event as documented by hydroacoustic images and remotely operated vehicle observations. Geochem. Geophys. Geosyst. 2017, 18, 3109–3137. [Google Scholar] [CrossRef]
- Tomascik, T.; Van Woesik, R.; Mah, A.J. Rapid coral colonization of a recent lava flow following a volcanic eruption, Banda Islands, Indonesia. Coral Reefs 1996, 15, 169–175. [Google Scholar] [CrossRef]
- Jewett, S.C.; Bodkin, J.L.; Cheelot, H.; Esslinger, G.G.; Hoberg, M.K. The nearshore benthic community of Kasatochi Island, one year after the 2008 volcanic eruption. Arct. Antarct. Alp. Res. 2010, 42, 315–324. [Google Scholar] [CrossRef]
- Bollard, S.; Pinault, M.; Quod, J.P.; Boissin, E.; Hemery, L.; Conand, C. Biodiversity of echinoderms on underwater lava flows with different ages, from the Piton de La Fournaise (Reunion Island, Indian Ocean). Cah. Biol. Mar. 2013, 54, 491–497. [Google Scholar]
- Resing, J.A.; Rubin, K.H.; Embley, R.W.; Lupton, J.E.; Baker, E.T.; Dziak, R.P.; Baymberger, T.; Lilley, M.D.; Huber, J.A.; Shank, T.M.; et al. Active submarine eruption of boninite in the northeastern Lau Basin. Nat. Geosci. 2011, 4, 799–806. [Google Scholar] [CrossRef]
- Baumberger, T.; Lilley, M.D.; Resing, J.A.; Lupton, J.E.; Baker, E.T.; Butterfield, D.A.; Olson, E.J.; Früh-Green, G.L. Understanding a submarine eruption through time series hydrothermal plume sampling of dissolved and particulate constituents: West Mata, 2008–2012. Geochem. Geophys. Geosyst. 2014, 15, 4631–4650. [Google Scholar] [CrossRef]
- Resing, J.A.; Lebon, G.; Baker, E.T.; Lupton, J.E.; Embley, R.W.; Massoth, G.J.; Chadwick, W.W.; De Ronde, C.E.J. Venting of acid-sulfate fluids in a high-sulfidation setting at NW Rota-1 submarine volcano on the Mariana Arc. Econ. Geol. 2007, 102, 1047–1061. [Google Scholar] [CrossRef]
- Kritzer, J.P.; Sale, P.F. Marine Metapopulations, 1st ed.; Elsevier Academic Press: Burlington, NJ, USA, 2006; ISBN 9780120887811. [Google Scholar]
- Cowen, R.K.; Gawarkiewicz, G.; Pineda, J.; Thorrold, S.R.; Werner, F.E. Population connectivity in marine systems an overview. Oceanography 2007, 20, 14–21. [Google Scholar] [CrossRef]
- Hastings, A.; Botsford, L.W. Persistence of spatial populations depends on returning home. Proc. Natl. Acad. Sci. USA 2006, 103, 6067–6072. [Google Scholar] [CrossRef] [PubMed]
- Álvarez-Valero, A.M.; Burgess, R.; Recio, C.; de Matos, V.; Sánchez-Guillamón, O.; Gómez-Ballesteros, M.; Recio, G.; Fraile-Nuez, E.; Sumino, H.; Flores, J.A.; et al. Noble gas signals in corals predict submarine volcanic eruptions. Chem. Geol. 2017, 480, 28–34. [Google Scholar] [CrossRef]
- Wagner, D.; Luck, D.G.; Toonen, R.J. The biology and ecology of black corals (Cnidaria: Anthozoa: Hexacorallia: Antipatharia). Adv. Mar. Biol. 2012, 63, 67–132. [Google Scholar] [CrossRef] [PubMed]
- Cardigos, F.; Colaço, A.; Dando, P.R.; Ávila, S.P.; Sarradin, P.M.; Tempera, F.; Conceição, P.; Pascoal, A.; Santos, R.S. Shallow water hydrothermal vent field fluids and communities of the D. João de Castro Seamount (Azores). Chem. Geol. 2005, 224, 153–168. [Google Scholar] [CrossRef]
- Couto, R.P.; Rodrigues, A.S.; Neto, A.I. Shallow-water hydrothermal vents in the Azores (Portugal). J. Int. Coast. Z Man 2015, 15, 495–505. [Google Scholar] [CrossRef]
- Ávila, S.P.; Cardigos, F.; Santos, R.S. Comparison of the community structure of the marine molluscs of the “Banco D. João de Castro” seamount (Azores, Portugal) with that of typical inshore habitats on the Azores archipelago. Helgol. Mar. Res. 2007, 61, 43–53. [Google Scholar] [CrossRef]
- Cowen, R.K.; Sponaugle, S. Larval dispersal and marine population connectivity. Annu. Rev. Mar. Sci. 2009, 1, 443–466. [Google Scholar] [CrossRef]
- Cowen, R.K.; Lwiza, K.M.M.; Sponaugle, S.; Paris, C.B.; Olson, D.B. Connectivity of marine populations: Open or closed? Science 2000, 287, 857–859. [Google Scholar] [CrossRef]
- Shanks, A.L. Pelagic larval duration and dispersal distance revisited. Biol. Bull. 2009, 216, 373–385. [Google Scholar] [CrossRef]
- Steneck, R.; Paris, C.; Arnold, S.; Ablan-Lagman, M.; Alcala, A.; Butler, M.; McCook, L.; Russ, G.; Sale, P. Thinking and managing outside the box: Coalescing connectivity networks to build region-wide resilience in coral reef ecosystems. Coral Reefs 2009, 28, 367–378. [Google Scholar] [CrossRef]
- Treml, E.A.; Roberts, J.J.; Chao, Y.; Halpin, P.N.; Possingham, H.P.; Riginos, C. Reproductive output and duration of the pelagic larval stage determine seascape-wide connectivity of marine populations. Integr. Comp. Biol. 2012, 52, 525–537. [Google Scholar] [CrossRef] [PubMed]
- Bradbury, I.R.; Laurel, B.; Snelgrove, P.V.R.; Bentzen, P.; Campana, S.E. Global patterns in marine dispersal estimates: The influence of geography, taxonomic category and life history. Proc. R. Soc. Lond. Ser. B 2008, 275, 1803–1809. [Google Scholar] [CrossRef] [PubMed]
- Riginos, C.; Douglas, K.E.; Jin, Y.; Shanahan, D.F.; Treml, E.A. Effects of geography and life history traits on genetic differentiation in benthic marine fishes. Ecography 2011, 34, 566–575. [Google Scholar] [CrossRef]
- Gaines, S.; Roughgarden, J. Larval settlement rate: A leading determinant of structure in an ecological community of the marine intertidal zone. Proc. Natl. Acad. Sci. USA 1985, 82, 3707–3711. [Google Scholar] [CrossRef]
- Dunstan, P.K.; Johnson, C.R. Spatio-temporal variation in coral recruitment at different scales on Heron Reef, southern Great Barrier Reef. Coral Reefs 1998, 17, 71–81. [Google Scholar] [CrossRef]
- Hernandez, J.M.; Rolán, E.; Swinnen, F.; Gómez, R.; Pérez, J.M. Moluscos y conchas marinas de Canarias: Solenogastres, Caudofoveata, Polyplacophora, Gastropoda, Bivalvia, Cephalopoda y Scaphopoda; ConchBooks: Hackenheim, Germay, 2011; ISBN 978-3-939767-36-7. [Google Scholar]
- Sousa, R.; Henriques, P.; Biscoito, M.; Pinto, A.R.; Delgado, J.; Dellinger, T.; Gouveia, L.; Pinho, M.R. Considerations on the Biology of Plesionika narval (Fabricius, 1787) in the Northeastern Atlantic. Turk. J. Fish. Aquat. Sci. 2014, 14, 727–737. [Google Scholar] [CrossRef]
- Sousa, R.; Pinho, M.R.; Delgado, J.; Pinto, A.R.; Biscoito, M.; Dellinger, T.; Henriques, P. Abundance and population structure of Plesionika narval (Fabricius, 1787) in the Northeastern Atlantic. Braz. J. Biol. 2018. [Google Scholar] [CrossRef]
- Snelgrove, P.V.R. Getting to the Bottom of Marine Biodiversity: Sedimentary Habitats: Ocean bottoms are the most widespread habitat on Earth and support high biodiversity and key ecosystem services. BioScience 1999, 49, 129–138. [Google Scholar] [CrossRef]
- Rouse, G.W.; Pleijel, F. Polychaetes; Oxford University Press: Oxford, UK, 2001; p. 354. [Google Scholar]
- Universidad de las Palmas de Gran Canaria, Biblioteca Universitaria. Available online: https://mdc.ulpgc.es/cdm/ref/collection/MDC/id/113158 (accessed on 5 April 2018).
- Lawrence, M.J.; Jangoux, M. Cidaroids. Developments in Aquaculture and Fisheries Science. In Sea Urchins: Biology and Ecology; Lawrence, J.M., Ed.; Elsevier: Amsterdam, The Netherlands, 2013; Volume 38, pp. 225–242. ISBN 9780080465586. [Google Scholar]
- Jones, C.G.; Lawton, J.H.; Shachak, M. Organisms as ecosystem engineers. Oikos 1994, 69, 373–386. [Google Scholar] [CrossRef]
- Collie, J.S.; Escanero, G.A.; Valentine, P.C. Effects of bottom fishing on the benthic megafauna of Georges Bank. Mar. Ecol. Prog. Ser. 1997, 155, 159–172. [Google Scholar] [CrossRef]
- Kaiser, M.J.; Cheney, K.; Spence, F.E.; Edwards, D.B.; Radford, K. Fishing effects in northeast Atlantic shelf seas: Patterns in fishing effort, diversity and community structure VII. The effects of trawling disturbance on the fauna associated with the tubeheads of serpulid worms. Fish. Res. 1999, 40, 195–205. [Google Scholar] [CrossRef]
- Rowe, G.T.; Menzies, R.J. Zonation of large benthic invertebrates in the deep-sea off the Carolinas. Deep Sea Res. Oceanogr. Abstr. 1969, 16, 531–537. [Google Scholar] [CrossRef]
- Young, C.M.; Tyler, P.A.; Gage, J.D. Vertical distribution correlates with pressure tolerances of early embryos in the deep-sea asteroid Plutonaster bifrons. J. Mar. Biol. Assoc. UK 1996, 76, 749–757. [Google Scholar] [CrossRef]
- Lampitt, R.S.; Billett, D.S.M.; Rice, A.L. Biomass of the invertebrate megabenthos from 500 to 4100 m in the northeast Atlantic Ocean. Mar. Biol. 1986, 93, 69–81. [Google Scholar] [CrossRef]
- Rice, A.L.; Thurston, M.H.; New, A.L. Dense aggregations of a hexactinellid sponge, Pheronema carpenteri, in the Porcupine Seabight (northeast Atlantic Ocean), and possible causes. Prog. Oceanogr. 1990, 24, 179–196. [Google Scholar] [CrossRef]
- Aedrich, R.L.; Rowe, G.T.; Polloni, P.T. Zonation and faunal composition of epibenthic populations on the continental slope south of New England. J. Mar. Res. 1975, 33, 191–212. [Google Scholar]
- Cartes, J.E.; Carrassón, M. Influence of trophic variables on the depth-range distributions and zonation rates of deep-sea megafauna: The case of the Western Mediterranean assemblages. Deep Sea Res. Part I Oceanogr. Res. Pap. 2004, 51, 263–279. [Google Scholar] [CrossRef]
- Bergmann, M.; Dannheim, J.; Bauerfeind, E.; Klages, M. Trophic relationships along a bathymetric gradient at the deep-sea observatory HAUSGARTEN. Deep Sea Res. Part I Oceanogr. Res. Pap. 2009, 56, 408–424. [Google Scholar] [CrossRef]
- Gori, A.; Rossi, S.; Berganzo, E.; Pretus, J.L.; Dale, M.R.; Gili, J.M. Spatial distribution patterns of the gorgonians Eunicella singularis, Paramuricea clavata, and Leptogorgia sarmentosa (Cape of Creus, Northwestern Mediterranean Sea). Mar. Biol. 2011, 158, 143–158. [Google Scholar] [CrossRef]
- Billett, D.S.M. Deep-sea holothurians. Oceanogr. Mar. Biol. 1991, 29, 259–317. [Google Scholar]
- Illian, J.; Penttinen, A.; Stoyan, H.; Stoyan, D. Statistical Analysis and Modelling of Spatial Point Patterns; Wiley: Chichester, UK, 2008; p. 560. ISBN 9780470014912. [Google Scholar]








| Inside TVC | Outside TVC | |||||
|---|---|---|---|---|---|---|
| Hydrothermal Vents with Bacterial Mats | Sulfurous-Like Fields | New Hard Substrate | New Mixed Substrate | Stable Hard Substrate | ||
| Porifera | Geodia sp. | - | - | - | - | 3 |
| Pachastrella sp. | - | - | - | - | 2 | |
| Axinella sp. | - | - | - | X | 3 | |
| Aplysina sp. | - | - | - | - | 3 | |
| Ircinia sp. | - | - | - | - | 2 | |
| Heteroscleromorpha 1 | - | - | - | 2 | - | |
| Demospongiae 1 | - | - | - | - | 2 | |
| Demospongiae 2 | - | - | - | - | 2 | |
| Demospongiae 3 | - | - | - | - | 1 | |
| Demospongiae 4 | - | - | - | - | 2 | |
| Demospongiae 5 | - | - | - | - | 24 | |
| Demospongiae 6 | - | - | - | - | 3 | |
| Demospongiae 7 | - | - | - | - | 7 | |
| Demospongiae 8 | - | - | - | - | 10 | |
| Demospongiae 9 | - | - | - | X | X | |
| Demospongiae 10 | - | - | - | - | X | |
| Demospongiae 11 | - | - | - | - | X | |
| Demospongiae 12 | - | - | - | - | X | |
| Demospongiae 13 | - | - | X | - | - | |
| Euplectellidae 1 | - | - | - | 1 | - | |
| Porifera 1 | - | - | - | - | X | |
| Cnidaria | Aglaophenia sp. 1 | - | - | 1 | - | 12 |
| Aglaophenia sp. 2 | - | - | - | - | 208 | |
| Obelia sp. | - | - | - | - | 1 | |
| Sertularella cf. gayi (Lamouroux, 1821) | - | - | 1 | - | 6 | |
| Sertularella cf. polyzonias (Linnaeus, 1758) | - | - | - | 2 | - | |
| Sertularella cf. tenella (Alder, 1857) | 4 | 4 | 3 | 18 | 12 | |
| Sertularella sp. | - | - | X | X | 3 | |
| Lafoeidae 1 | - | - | - | 3 | 21 | |
| Lafoeidae 2 | - | - | - | - | 1 | |
| Plumulariidae 1 | - | - | X | 2 | 3 | |
| Hydrozoa 1 | X | - | X | 8 | - | |
| Hydrozoa 2 | - | - | X | - | - | |
| Ceriantharia 1 | - | - | - | X | - | |
| Antipathes furcata Gray, 1857 | - | - | - | - | 7 | |
| Stichopathes cf. setacea Gray, 1860 | - | - | X | 2 | 40 | |
| Tanacetipathes cf. cavernicola Opresko, 2001 | - | - | - | - | 10 | |
| Corallimorpharia 1 | - | - | - | X | - | |
| Anomocora fecunda (Pourtalès, 1871) | - | - | - | - | 1 | |
| Caryophyllia smithii Stokes & Broderip, 1828 | - | - | - | - | 1 | |
| Caryophyllia sp. | - | - | - | - | 2 | |
| Cladocora debilis Milne Edwards & Haime, 1849 | - | - | - | - | 1 | |
| Madracis sp. | - | - | - | - | 1 | |
| Zoantharia 1 | - | - | - | - | 2 | |
| Bebryce mollis Philippi, 1842 | - | - | - | - | 1 | |
| Callogorgia verticillata (Pallas, 1766) | - | - | - | - | X | |
| Paralcyonium cf. spinulosum (Delle Chiaje, 1822) | - | - | - | - | X | |
| Villogorgia bebrycoides (Koch, 1887) | - | - | - | - | 1 | |
| Viminella flagellum (Johnson, 1863) | - | - | X | - | X | |
| Alcyonacea 1 | - | - | X | - | 6 | |
| Annelida | Chloeia cf. venusta Quatrefages, 1866 | - | - | 8 | 63 | - |
| Eunice sp. | - | - | - | - | 1 | |
| Glycera sp. | - | - | 4 | 8 | - | |
| Hyalinoecia sp. | - | - | - | 1 | - | |
| Leocrates atlanticus (McIntosh, 1885) | - | - | - | 1 | - | |
| Lumbrineris sp. | - | - | - | - | 1 | |
| Nereis sp. | - | - | - | 4 | 3 | |
| Onuphis sp. | - | - | 5 | 3 | 1 | |
| Syllidae 1 | - | - | - | 2 | 1 | |
| Hyalopomatus sp. | - | - | 9 | 33 | - | |
| Placostegus sp. | - | - | 2 | - | - | |
| Protula sp. | - | - | 3 | 3 | 5 | |
| Semivermilia cf. torulosa (Delle Chiaje, 1822) | - | - | - | 4 | 30 | |
| Serpula vermicularis Linnaeus, 1767 | - | - | - | - | 1 | |
| Spio sp. | - | - | - | 1 | - | |
| Spiochaetopterus sp. | - | - | 2 | 6 | - | |
| Vermiliopsis sp. | - | - | 1 | - | - | |
| Sabellidae 1 | - | - | - | - | 1 | |
| Serpulidae 1 | X | X | X | 8 | 50 | |
| Terebellidae 1 | - | - | - | 2 | 1 | |
| Mollusca | Mitrella sp. | - | - | - | 1 | - |
| Onoba sp. | - | - | - | 2 | - | |
| Tritia denticulata (A. Adams, 1852) | - | - | - | X | - | |
| Nudibranchia 1 | - | - | X | X | - | |
| Asperarca nodulosa (O. F. Müller, 1776) | - | - | - | - | 1 | |
| Neopycnodonte cochlear (Poli, 1795) | - | - | 13 | 178 | 245 | |
| Pteria hirundo (Linnaeus, 1758) | - | - | - | - | 41 | |
| Arcidae 1 | - | - | - | 1 | - | |
| Octopus vulgaris Cuvier, 1797 | X | - | - | - | - | |
| Cephalopoda 1 | - | - | X | - | - | |
| Arthropoda | Heteralepas cornuta (Darwin, 1851) | - | - | - | - | 3560 |
| Megabalanus tulipiformis (Ellis, 1758) | - | - | - | 3 | - | |
| Acanthephyra eximia Smith, 1884 | - | - | - | 2 | - | |
| Alpheus macrocheles (Hailstone, 1835) | - | - | 1 | 1 | - | |
| Alpheus sp. | - | - | 8 | 12 | - | |
| Homola barbata (Fabricius, 1793) | - | - | - | 1 | - | |
| Macropodia sp. | - | - | - | - | 2 | |
| Monodaeus couchii (Couch, 1851) | - | - | 10 | 21 | - | |
| Munida sp. | - | - | 1 | 1 | - | |
| Munidopsis sp. | - | - | - | 1 | - | |
| Plesionika edwardsii (Brandt, 1851) | - | - | - | X | - | |
| Plesionika martia (A. Milne-Edwards, 1883) | - | - | 1 | - | - | |
| Plesionika narval (Fabricius, 1787) | - | - | X | 4 | - | |
| Plesionika sp. | - | - | 1 | - | - | |
| Velolambrus cf. expansus (Miers, 1879) | - | - | - | 5 | - | |
| Decapoda 1 | - | - | X | X | - | |
| Echinodermata | Ophiuroidea 1 | - | - | - | - | 6 |
| Centrostephanus longispinus (Philippi, 1845) | - | - | - | - | 1 | |
| Coelopleurus floridanus A. Agassiz, 1872 | - | - | - | 1 | - | |
| Stylocidaris affinis (Philippi, 1845) | - | - | X | 1 | - | |
| Diadematoidae 1 | - | - | - | 1 | - | |
| Brachiopoda | Megerlia truncata (Linnaeus, 1767) | - | - | - | - | 9 |
| Pajaudina atlantica Logan, 1988 | - | - | - | - | 25 | |
| Bryozoa | Hornera sp. | - | - | - | - | 8 |
| Reteporella sp. | - | - | - | - | 15 | |
| Frondiporidae 1 | - | - | - | - | 1362 | |
| Bryozoa 1 | - | - | - | - | X | |
| Chordata | Clavelinidae 1 | - | - | - | - | X |
| Ascidiacea 1 | - | - | - | - | X | |
| Anthias antias (Linnaeus, 1758) | X | X | 1 | 11 | X | |
| Conger conger (Linnaeus, 1758) | - | - | X | X | - | |
| Scorpaena sp. | - | - | - | X | - | |
| Seriola sp. | X | X | - | - | - | |
| Serranus atricauda Günther, 1874 | X | X | X | X | - | |
| Perciformes 1 | - | - | X | X | - | |
© 2019 by the authors. Licensee MDPI, Basel, Switzerland. This article is an open access article distributed under the terms and conditions of the Creative Commons Attribution (CC BY) license (http://creativecommons.org/licenses/by/4.0/).
Share and Cite
Sotomayor-García, A.; Rueda, J.L.; Sánchez-Guillamón, O.; Urra, J.; Vázquez, J.T.; Palomino, D.; Fernández-Salas, L.M.; López-González, N.; González-Porto, M.; Santana-Casiano, J.M.; et al. First Macro-Colonizers and Survivors Around Tagoro Submarine Volcano, Canary Islands, Spain. Geosciences 2019, 9, 52. https://doi.org/10.3390/geosciences9010052
Sotomayor-García A, Rueda JL, Sánchez-Guillamón O, Urra J, Vázquez JT, Palomino D, Fernández-Salas LM, López-González N, González-Porto M, Santana-Casiano JM, et al. First Macro-Colonizers and Survivors Around Tagoro Submarine Volcano, Canary Islands, Spain. Geosciences. 2019; 9(1):52. https://doi.org/10.3390/geosciences9010052
Chicago/Turabian StyleSotomayor-García, Ana, José L. Rueda, Olga Sánchez-Guillamón, Javier Urra, Juan T. Vázquez, Desirée Palomino, Luis M. Fernández-Salas, Nieves López-González, Marcos González-Porto, J. Magdalena Santana-Casiano, and et al. 2019. "First Macro-Colonizers and Survivors Around Tagoro Submarine Volcano, Canary Islands, Spain" Geosciences 9, no. 1: 52. https://doi.org/10.3390/geosciences9010052
APA StyleSotomayor-García, A., Rueda, J. L., Sánchez-Guillamón, O., Urra, J., Vázquez, J. T., Palomino, D., Fernández-Salas, L. M., López-González, N., González-Porto, M., Santana-Casiano, J. M., González-Dávila, M., Presas-Navarro, C., & Fraile-Nuez, E. (2019). First Macro-Colonizers and Survivors Around Tagoro Submarine Volcano, Canary Islands, Spain. Geosciences, 9(1), 52. https://doi.org/10.3390/geosciences9010052

