Next Article in Journal
State and Prospects of Developing Nuclear–Physical Methods and Means for Monitoring the Ash Content of Coals
Previous Article in Journal
Effects of Deviatoric Stress on Macro- and Meso-Mechanical Behavior of Granite for Water-Sealed Caverns Under True Triaxial Loading
 
 
Font Type:
Arial Georgia Verdana
Font Size:
Aa Aa Aa
Line Spacing:
Column Width:
Background:
Article

A Study on the Displacement Mechanism of Nitrogen Injection to Enhance Recovery in Water-Drive Gas Reservoirs: A Collaborative Analysis of Experiment and Simulation

1
Tarim Oilfiled PetroChina, Korla 841000, China
2
R&D Center for Ultra-Deep Complex Reservoir Exploration and Development, CNPC, Korla 841000, China
3
Engineering Research Center for Ultra-Deep Complex Reservoir Exploration and Development, Korla 841000, China
4
Research Institute of Petroleum Exploration and Development PetroChina, No. 20 Xueyuan Road, Haidian District, Beijing 100083, China
*
Author to whom correspondence should be addressed.
Geosciences 2026, 16(2), 67; https://doi.org/10.3390/geosciences16020067
Submission received: 20 November 2025 / Revised: 8 January 2026 / Accepted: 29 January 2026 / Published: 3 February 2026

Abstract

The efficient extraction of natural gas from water-drive reservoirs is often hindered by premature water breakthrough and the consequent trapping of significant residual gas, which collectively result in suboptimal recovery and economic returns. Traditional production methods have proven inadequate in mitigating water influx and mobilizing this trapped gas, underscoring the need for advanced enhanced gas recovery (EGR) strategies. This research specifically examines the potential of nitrogen injection as a tertiary recovery technique in such reservoirs, with a focus on its mechanistic role and displacement efficiency. Utilizing high-pressure core flooding experiments and complementary numerical simulations, the process of nitrogen injection following water flooding was systematically investigated. Experimental findings at 30 MPa indicate that while water flooding left a substantial residual gas saturation of 28.1%, subsequent nitrogen injection reduced this to 20.8% at breakthrough and ultimately to 7.99%, achieving a final recovery of 88.9%. Simulation results further elucidate that in fractured systems, water preferentially channels through high-permeability fractures, while capillary imbibition leads to gas entrapment within the matrix. Nitrogen injection effectively targets and reduces this trapped gas saturation by 30–50%, demonstrating its efficacy as a viable EGR method. The study thus provides critical theoretical and practical insights for improving recovery in challenging water-drive gas reservoirs.

1. Introduction

Water invasion during the development of water-drive gas reservoirs represents a major technical challenge to efficient natural gas recovery, particularly in tight sandstone and fractured tight sandstone reservoirs widely distributed across the west of China [1,2,3,4]. As production proceeds, the encroachment of formation water leads to rapid productivity decline and significant loss of recoverable gas reserves. The formation of water-encroached gas has been identified as the primary factor constraining recovery enhancement. Field observations from major Chinese gas fields such as Kela-2 and Sulige demonstrate substantial recovery reduction due to water invasion, a phenomenon that is particularly pronounced in fractured reservoirs. Recent studies indicate that when the cumulative water invasion volume reaches 0.35–0.4 pore volumes, gas reservoirs enter a phase of rapid production decline, while substantial quantities of gas remain trapped in the form of water-encroached gas [5,6].

1.1. Mechanisms of Water-Encroached Gas Formation

The formation of water-encroached gas results from coupled physicochemical processes. The significant permeability contrast (typically ranging from 102 to 104) between fractures and the matrix promotes preferential water channeling through high-conductivity fracture networks, creating uneven water fronts and trapping substantial gas volumes within matrix pores as difficult-to-produce water-encroached gas [2,3,4]. This strong heterogeneity causes water to flow almost exclusively through fractures when the permeability contrast exceeds 1000 times, dynamically isolating gas in the matrix.
From a microscopic perspective, the formation of water-encroached gas involves multiple mechanisms: bypassed gas primarily occurs in vuggy reservoirs, formed when water phase flows from high-permeability pores and fractures into low-permeability regions; water-blocked gas mainly exists in porous media, generated by spontaneous water imbibition into the matrix; while snapped-off gas predominantly occurs in fractured-vuggy reservoirs, resulting from energy minimization at gas–water interfaces. Concurrently, capillary forces drive spontaneous water imbibition into matrix pores, while the back-production of displaced gas is further restricted by threshold pressure gradients, ultimately forming isolated residual gas bubbles.

1.2. Potential and Challenges of Nitrogen Flooding Technology

Gas injection is considered the most promising technique for mobilizing water-encroached gas. For example, CO2 flooding has been extensively studied for EOR in oil reservoirs, with a focus on miscible mechanisms and CCUS integration. Recent advances in microfluidic visualization and pore-scale simulation have deepened our understanding of displacement processes [6,7,8,9,10,11,12,13]. However, limited attention has been paid to the specific challenge of water-encroached gas in water-drive gas reservoirs after water breakthrough [3,10,14]. In addition, although CO2 flooding demonstrates considerable potential, its widespread application is constrained by source availability and the high cost [6,7,8,10,13,15,16]. This creates a clear practical need to investigate effective alternatives, such as nitrogen. Nitrogen flooding has gained attention due to its widespread availability, chemical inertness, and relative cost-effectiveness [17].
Gas injection is regarded as the most promising method for mobilizing water-encroached gas. Experimental studies in ultra-low-permeability reservoirs have shown that conventional nitrogen injection provides limited enhanced recovery (only 3.65% improvement) due to gas channeling through high-permeability pathways [3]. In comparison, water-alternating-gas (WAG) injection enhances oil recovery by 16.37% by increasing the dispersion of oil, water, and gas, creating capillary resistance in dominant flow channels and forcing nitrogen into tighter matrix regions. Pulsed gas injection achieves 15.94% enhanced recovery by utilizing the elastic energy and pressure perturbation effects of high-pressure nitrogen to redistribute pressures and fluids between high-permeability and compact zones [18]. Field practices in the Tahe fractured-vuggy carbonate reservoir similarly demonstrate that WAG injection improves recovery by 2.5% compared to continuous nitrogen injection, while nitrogen foam flooding enhances recovery by up to 5.1%.
However, these experiences primarily derive from oil reservoirs, where the mechanisms of nitrogen flooding differ fundamentally from those in gas reservoirs [11,18,19]. In oil reservoirs, gas injection mainly relies on miscible or immiscible displacement, whereas in gas reservoirs, nitrogen flooding emphasizes pressure maintenance and re-establishment of continuous gas flow. Particularly in fractured gas reservoirs, the dynamic mechanisms by which nitrogen injection overcomes capillary barriers to remobilize water-encroached gas in the matrix remain poorly understood, hindering the optimization of field development strategies. Furthermore, a substantial portion of existing N2 injection studies has investigated displacement mechanisms in depleted or dry gas reservoirs [14,20], leaving the challenge of water-encroached gas in late-life water-drive reservoirs underexplored.
To address these challenges, this study employs core-scale numerical simulation to investigate gas–water flow behavior and mobilization mechanisms of water-encroached gas during nitrogen flooding in representative water-drive gas reservoirs. By integrating both simulation and experiments, we aim to provide fundamental insights into the mechanical mechanisms affecting gas–water two-phase flow, including capillary imbibition and fracture–matrix interaction, thereby providing a theoretical foundation for optimizing field development strategies.

2. Experiments and Simulation Introduction

2.1. Core Flooding Experiment

The experimental investigation was carried out utilizing an RPS-800 high-temperature and high-pressure core flooding apparatus (Coretest Inc., Morgan Hill, CA, USA). The system is equipped with components including an injection pump, a confining pressure pump, a back-pressure regulator, a constant-temperature chamber, and a digital data acquisition unit. As illustrated in Figure 1, two distinct categories of core specimens were utilized in the study, which were extracted from two representative water-drive gas reservoirs in the Tarim Basin. These reservoirs are characterized by large-scale, E-W trending, elongate anticline structures with significant proven natural gas reserves.
  • Sample 1 (Homogeneous Plug Core): This 2.54 cm × 7.62 cm plug core represents a porous-type gas reservoir. The matrix of such reservoirs typically exhibits moderate porosity (generally >10%) and permeability (on the order of tens of millidarcys).
  • Sample 2 (Full-Diameter Fractured Core): This 12.4 cm × 25.5 cm full-diameter core represents a fracture-porous gas reservoir. The matrix in these reservoirs is typically tight, with low porosity (<10%) and very low permeability (<0.1 mD), falling within the typical range of tight sandstone. The formation is characterized by high structural fracture development and strong heterogeneity.
To accurately replicate the fractured nature of the second reservoir type, artificial fractures were induced in Sample 2 via triaxial compression tests. The artificial fracture was a sub-horizontal fracture oriented perpendicular to the core axis. The fracture aperture was estimated to be in the millimeter range (0.1–0.5 mm). The permeability of the full-diameter core was measured both before and after the creation of the artificial fracture network. The permeability contrast was significant, increasing from a pre-compression matrix permeability of 0.75 mD to a post-fracturing effective permeability of 12.8 mD. This process effectively created a system with distinct fracture–matrix properties for investigating gas–water flow dynamics. Key petrophysical properties are summarized in Table 1.
The experiment was systematically executed according to the following sequential phases:
(a)
Core Pretreatment: The core samples were first dried at 105 °C for 48 h, followed by vacuum saturation with synthetic formation water, with a salinity of 80,000 mg/L, conducted under a pressure of 30 MPa. The inlet and outlet pressures were 30.1 MPa and 30 MPa, respectively. This design aimed to replicate the in situ reservoir pressure of the reservoir and to replicate a steady-state flow regime representative of fluid movements.
(b)
System Initialization: Methane was continuously injected at a rate of 0.1 mL/min under reservoir conditions—30 MPa confining pressure and 80 °C. The system was stabilized over 24 h until the gas-to-water ratio at the outlet reached 99:1.
(c)
Water Flooding: Synthetic formation water was injected at a constant rate of 0.05 mL/min. The flooding process was terminated when the gas production rate dropped below 0.01 mL/min. This criterion indicates that the mobile free gas in the core has been effectively displaced by water, establishing a stable residual gas saturation and marking the completion of the water-flooding process. The injection rates were set at low values based on the principles commonly applied in core flooding studies. This promotes a stable displacement front, prevents rapid water channeling through fractures, and allows observation of key mechanisms that are central to our study on water-blocking in gas reservoirs.
(d)
Nitrogen Flooding: High-purity nitrogen (99.99% N2) was injected into the core assembly. The termination of the nitrogen flooding stage was determined by monitoring the compositional breakthrough at the core outlet. The injection continued until the nitrogen concentration in the effluent gas stream exceeded 90%. Continued injection beyond this point yielded diminishing returns in terms of additional residual gas displacement and thus was terminated as it met the primary objective of evaluating the gas mobilization potential. Monitoring compositional breakthrough to define the endpoint of a gas injection process is standard practice in related studies.
Measurement and Analysis: The setup incorporated multiple high-accuracy instruments, including pressure transducers (accuracy within ±0.1%), gas flow meters (accuracy within ±0.5%), and an online gas chromatograph for real-time composition analysis of produced fluids.

2.2. Numerical Simulation

A digital twin of the core flooding experiment was developed using structured grids (31 × 25 × 27, totaling 20,000 cells) to resolve core-scale gas–water flow dynamics (Figure 1b). The model parameters replicated field conditions. The permeability of the digital twin model was set to match the actual measured permeability of the homogeneous core sample and the fractured sample. The initial water saturation was 28%, the reservoir temperature was 80 °C and the initial pressure was 30 MPa. The simulations employed a two-phase (gas–water) black oil model using the CMG IMEX simulator. The equation-of-state (EOS) parameters were tuned to match the phase behavior and volumetric properties at the experimental temperature (80 °C) and pressure (30 MPa).
For the rock–fluid interaction functions, the core-scale flow dynamics were governed by experimentally derived relative permeability and capillary pressure curves, as shown in Figure 2. These curves were obtained from core flooding experiments on the same homogeneous core sample used in the physical study.
To ensure the robustness and reliability of our numerical results, we performed a comprehensive grid-sensitivity analysis. Starting from our baseline structured grid, we systematically refined the mesh by factors of 2, 4, and 8, as shown in Figure 3. The simulations were run to the same final injection volume under identical physical and operational parameters.
As shown in Figure 4, the predicted cumulative gas production and cumulative water production exhibited excellent convergence with increasing grid refinement. The maximum relative differences between the baseline and the most refined model were 4.92% for cumulative gas production, 6.14% for cumulative water production, 0.18% for average reservoir pressure, and 0.56% for methane mole production. The mean relative deviation across all metrics was 2.95%, which is well within an acceptable threshold for such studies and confirms the results are not sensitive to grid resolution. As expected, the simulation time increased with refinement, averaging 8.3 h for the finest grid, which we deem acceptable for the purpose of this mechanistic study. The sensitivity analysis confirmed that our numerical results are not dependent on grid resolution, and the original grid resolution is sufficient to capture the core-scale flow dynamics without significant discretization error.
The simulation framework reproduced residual gas formation during water invasion, evaluated N2 flooding potential for enhanced recovery and maintained strict consistency with experimental boundary conditions.

3. Results and Discussion

3.1. Analysis of Homogeneous Core Results

The experimental results demonstrate that with an initial water saturation of 28%, water flooding achieved a residual methane gas saturation of 38.6%. Subsequent nitrogen injection further reduced the final residual methane saturation to 6.3%, corresponding to a recovery factor of 91.3%. Numerical simulations replicated this process, showing waterflood residual gas saturation of 38% and post-nitrogen injection residual saturation of 7.99%, ultimately achieving 88.9% methane recovery—in excellent agreement with experimental data, as shown in Figure 5. This close match validates the model’s reliability.
Based on the comparative analysis presented in Figure 6, the numerical simulation demonstrated a strong capability in replicating the nitrogen breakthrough behavior observed in the physical experiment. The simulation results closely matched the experimental data across the entire injection process, beginning with an initial nitrogen concentration of 0% at the production outlet. As nitrogen injection continued, the model accurately captured the subsequent gradual increase in nitrogen content within the effluent stream. This consistent upward trend persisted until the experimental endpoint, which was defined by a nitrogen concentration exceeding 90% in the effluent. The close agreement between the simulated and measured production curves not only validates the predictive accuracy of the numerical model but also confirms its effectiveness in capturing the key displacement dynamics of nitrogen flooding in porous media.

3.2. Analysis of Fractured-Porous Core Results

For the fractured core system, a full-diameter numerical model was developed to evaluate the potential of nitrogen flooding in water-invaded zones and to analyze the mechanisms of gas entrapment due to water encroachment. The simulation results effectively captured the water-blocking phenomenon identified in the physical experiments, as illustrated in Figure 7.
The model accurately reproduced an initial phase of water-free gas production, followed by a significant decline in gas output after water breakthrough. Subsequent water injection of one pore volume yielded only a marginal recovery enhancement of 1.6%, indicating severe formation damage and persistent gas trapping. The overall production trends from the numerical simulations showed strong consistency with the experimental measurements, confirming the model’s capability to represent key aspects of post-water-flooding gas recovery behavior in fractured media.
The comparative analysis reveals a notable discrepancy in gas recovery predictions during the water-blocking phase, despite the close agreement in the nitrogen production profiles demonstrated in Figure 8. The simulated gas recovery was systematically lower than the experimentally observed values, which can be attributed to several modeling constraints. First, the numerical model incorporated a higher permeability contrast between fractures and the rock matrix than likely existed in the physical system. Second, whereas the experimental recovery accounted for produced gas from both fracture networks and matrix porosity, the simulated recovery was predominantly governed by fracture flow, with minimal contribution from matrix depletion. This conceptual simplification in the model led to an underestimation of total recoverable gas, particularly during the late-stage water-blocking period.

3.3. Fracture–Matrix Permeability Contrast Effects

Numerical simulations were conducted to examine fluid behavior under two distinct fracture–matrix permeability contrast conditions ( k f / k m = 100 and 6000). The results demonstrate a clear dependence of water invasion patterns on the permeability ratio.
Under the moderate contrast scenario ( k f / k m = 100, Figure 9a), the displacement process was characterized by a relatively homogeneous waterfront advancement, with a fracture-to-matrix invasion ratio of 8.2. The even water distribution within the matrix contributed to a later breakthrough time of 6.5 h.
In contrast, the high-permeability contrast case ( k f / k m = 6000, Figure 9b) exhibited significantly different behavior. Pronounced fingering phenomena were observed, accompanied by a substantially higher fracture–matrix invasion ratio of 15.6. Water preferentially channeled through the fracture network, leading to an early breakthrough at 3.4 h and resulting in the classical manifestation of water-encroached gas formation.
The permeability contrast between the fracture and matrix systems exerted a profound influence on ultimate gas recovery, as quantitatively demonstrated in Figure 10. After 2.5 days of production, the case with a moderate permeability contrast ( k f / k m = 100) achieved a recovery factor of 25.2%, whereas the high-contrast scenario ( k f / k m = 6000) yielded only 11.3%—representing a significant reduction of 13.9 percentage points. This substantial discrepancy in recovery performance originates from fundamentally different displacement mechanisms. Under lower contrast conditions, a relatively uniform, piston-like displacement pattern enabled more efficient sweep of matrix gas, thereby preventing the establishment of stable water-blocking zones. Conversely, the extreme permeability contrast promoted rapid, fracture-dominated flow, which led to early water breakthrough and consequent trapping of substantial gas volumes within the matrix system due to capillary and viscous forces.
This observed divergence originates from fundamentally distinct displacement mechanisms governing each scenario. Under conditions of lower permeability contrast, the displacement process is characterized by a piston-like frontal advance, which effectively prevents the development of stable water-blocking zones. Conversely, in the high-contrast system, the flow becomes predominantly channeled through fracture networks, resulting in substantial gas trapping within the matrix due to inefficient sweep efficiency and premature water breakthrough.

3.4. Capillary Pressure Effects

Numerical simulations reveal the dual role of capillary pressure in the formation and mobilization of water-encroached gas zones, as illustrated in Figure 11 When capillary forces are considered, water spontaneously imbibes into matrix pores, forming significant water-blocked gas regions. Although this process initially enhances gas production through improved sweep efficiency, it subsequently creates substantial flow resistance. In contrast, simulations neglecting capillary pressure show water flowing exclusively through fracture networks, failing to effectively trap gas in the matrix and thereby underestimating the complexity of gas–water distribution.
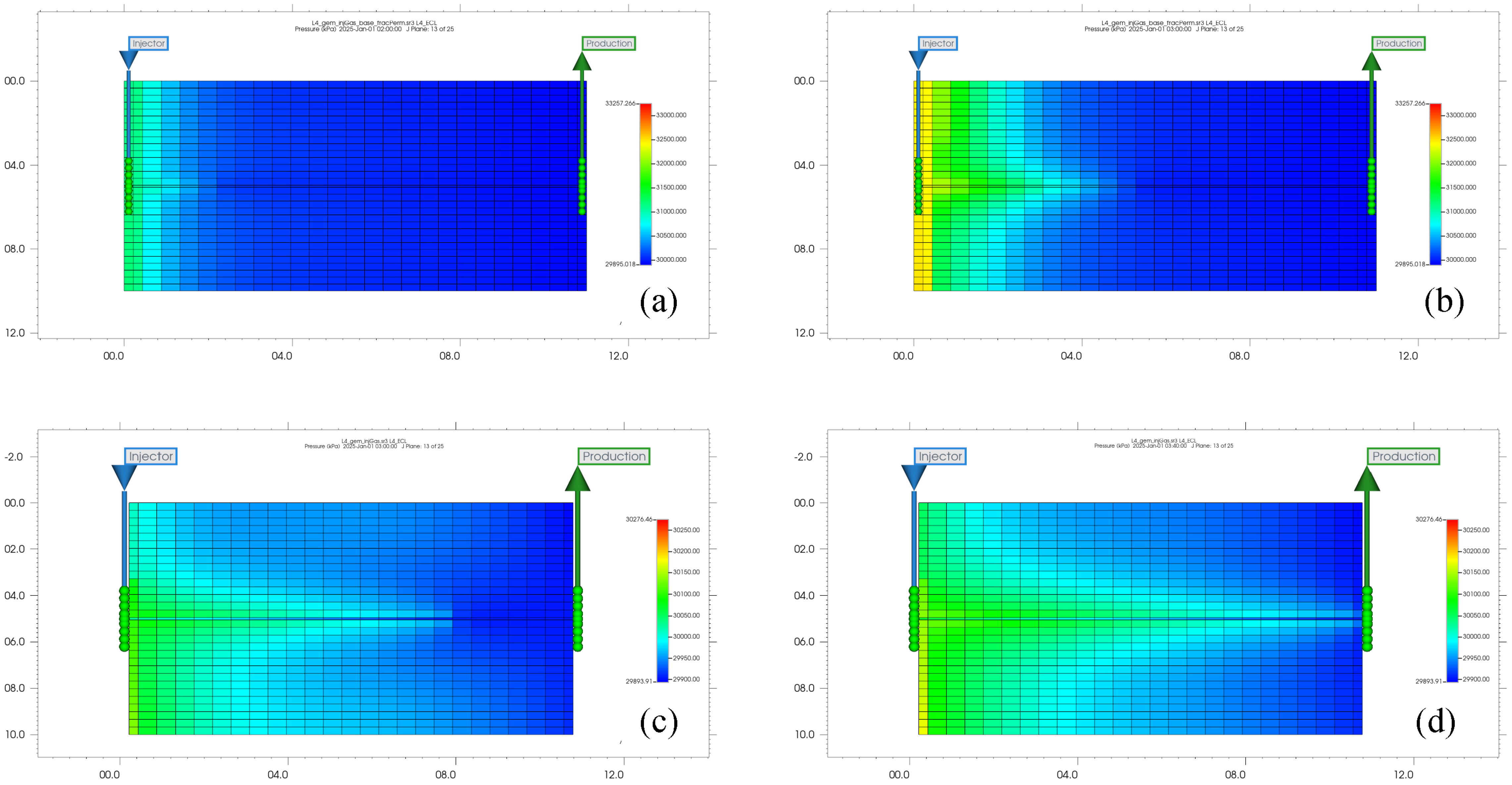
Pressure field analysis further elucidates the mobilization mechanism of blocked gas, as shown in Figure 12 During nitrogen injection, rapid pressure buildup occurs within fracture networks, creating a substantial pressure differential at the fracture–matrix interface. Once the injection pressure exceeds the capillary threshold pressure (0.3–0.8 MPa), the trapped gas initiates mobilization, accompanied by a gradual reduction in matrix water saturation. This mechanistic understanding suggests that cyclic injection represents an effective strategy for progressively overcoming capillary barriers through controlled pressure fluctuations, thereby enhancing gas recovery from water-invaded formations.

3.5. Uncertainty Analysis and Implications for Field Application

The primary experimental uncertainties originate from two sources: measurement inaccuracy and the intrinsic characteristics of the rock–fluid systems. Instrumentation errors, including an accuracy of ±0.1% full scale (FS) for pressure transducers and ±0.5% for gas flow meters, are inherent yet within the standard tolerance for such high-pressure core flooding studies. A more fundamental challenge to exact reproducibility is posed by the natural heterogeneity of the core samples and the difficulty in precisely replicating the geometry of artificially induced fractures across different experimental setups.
In addition, uncertainties in numerical modeling stem from input parameter scaling, conceptual simplifications, and grid discretization. A key source is the upscaling of core-scale petrophysical properties, such as relative permeability and capillary pressure curves, to the grid scale of the digital twin. While derived from experiments on representative core plugs, these functions represent spatially averaged properties. Furthermore, representing fractures as simplified, high-permeability zones within a structured grid, though validated against experimental results, does not capture the full complexity of natural fracture roughness and tortuosity. These simplifications collectively introduce uncertainty into the absolute quantitative predictions of the model.
Furthermore, the findings presented above establish the fundamental mechanistic feasibility of using nitrogen injection to mobilize water-encroached gas in heterogeneous, water-drive gas reservoirs. The study elucidates that the success of this process is primarily governed by intrinsic reservoir properties—notably, the fracture–matrix permeability contrast and the capillary pressure characteristics. Understanding these first-order controls is essential before field implementation, as they determine the physical possibility and efficiency limits of gas mobilization, regardless of operational choices.

4. Conclusions

This study presents an investigation into the formation mechanisms of water-encroached gas in water-drive gas reservoirs and evaluates the efficacy of nitrogen injection for gas mobilization, combining core flooding experiments with numerical simulations. The key findings are summarized as follows:
Nitrogen injection demonstrates significant potential in enhancing residual gas recovery following water flooding. In homogeneous cores, nitrogen flooding achieved a methane recovery factor of 91.3%, reducing residual gas saturation to 6.3%. Similar gas mobilization efficiency was observed in fractured-porous cores, confirming the technical viability of nitrogen injection as an enhanced recovery method.
The permeability contrast between fracture and matrix systems exerts a critical control on water-encroached gas formation. At a moderate permeability ratio ( k f / k m = 100 ), water invasion exhibited a relatively uniform front advancement, yielding a gas recovery of 25.2%. In contrast, under high-permeability contrast conditions ( k f / k m = 6000 ), rapid water channeling through fracture networks resulted in substantially lower recovery (11.3%) and pronounced water-encroached gas phenomena.
Capillary pressure has a dual role: it initially aids gas sweep by promoting water imbibition but subsequently forms barriers that trap gas. Numerical simulations show that N2 injection can overcome these barriers by establishing a pressure differential of 0.3–0.8 MPa, mobilizing the trapped gas.
The validated numerical model provides a reliable tool for understanding flow dynamics and designing field-scale N2 injection. Customizing injection parameters based on reservoir-specific permeability contrasts is essential for optimizing performance. While this study provides fundamental insights, we acknowledge its inherent limitations. The natural heterogeneity of rock cores and the simplified numerical representation of fractures introduce uncertainty in the absolute recovery values predicted. Additionally, economic factors critical for field application were not evaluated in this mechanistic study.
In addition, the application of this mechanistic understanding into an optimized field process requires further investigation. The crucial step involves a systematic study of key operational parameters, such as the injection timing (e.g., post-water breakthrough vs. late-life injection), volume and injection rate, injection location, well placement, etc. Future research will build upon the established mechanistic baseline presented here to develop comprehensive design that balance recovery factors with economic viability for nitrogen injection in water-drive gas reservoirs.

Author Contributions

Conceptualization, H.T. and F.Y.; methodology, F.Y., C.W., C.Z. and F.W.; software, F.Y., C.W. and F.W.; validation, L.D., C.Z., X.R. and J.L.; formal analysis, F.Y., C.W., C.Z. and F.W.; investigation, C.W. and F.W.; resources, H.T. and F.Y.; data curation, C.W. and F.W.; writing—original draft preparation, F.Y., C.W. and F.W.; writing—review and editing, C.W. and F.W.; visualization, X.R.; supervision, F.Y. and H.T.; project administration, H.T. and F.Y.; funding acquisition, H.T. and F.Y. All authors have read and agreed to the published version of the manuscript.

Funding

This research was supported by the Tarim Oilfield project “Static-Dynamic Iterative Modeling, Numerical Simulation, and Dynamic Tracking Evaluation for Keshen-2, Keshen-8, and Keshen-24 Blocks” (Project No. 041024110181).

Data Availability Statement

The datasets presented in this article are not readily available as due to confidentiality agreements, the raw data cannot be shared publicly.

Acknowledgments

During the preparation of this manuscript, the author(s) used Deepseek R1 for the purposes of proofreading. The authors have reviewed and edited the output and take full responsibility for the content of this publication.

Conflicts of Interest

The authors declare no conflicts of interest.

References

  1. He, D.; Jia, C.; Wei, Y.; Guo, J.; Ji, G.; Li, Y. Current situation and development trend of world natural gas industry. Nat. Gas Ind. 2022, 42, 1–12. [Google Scholar] [CrossRef]
  2. Jia, A.; Wei, Y.; Guo, Z.; Wang, G.; Meng, D.; Huang, S. Current status and prospects of tight sandstone gas development in China. Nat. Gas Ind. 2022, 42, 83–92. [Google Scholar] [CrossRef]
  3. Wang, J.; Wei, Y.; Cao, Z.; Chen, D.; Tang, H. Mechanisms of N2 injection in water drive fractured gas reservoirs to enhance gas recovery based on the phase permeability hysteresis effect. Nat. Gas Ind. 2025, 45, 96–111. [Google Scholar] [CrossRef]
  4. Xu, X.; Li, X.; Hu, Y.; Mei, Q.; Shi, Y.; Jiao, C. Physical simulation for water invasion and water control optimization in water drive gas reservoirs. Sci. Rep. 2021, 11, 6301. [Google Scholar] [CrossRef] [PubMed]
  5. Wang, L.; Dong, S.; Zhou, Y. The Understanding of Decline Law of Gas Reservoir with Edge or Bottom Water. Adv. Porous Flow 2021, 11, 1–8. [Google Scholar] [CrossRef]
  6. Peng, X.; Hu, Y.; Zhang, F.; Zhang, R.; Zhao, H. A Review on the Water Invasion Mechanism and Enhanced Gas Recovery Methods in Carbonate Bottom-Water Gas Reservoirs. Processes 2024, 12, 2748. [Google Scholar] [CrossRef]
  7. Deng, C.; Li, J.; Chai, X.; Chen, F.; Yang, X.; Wang, H. Early identification methods of water invasion in weak water drive gas reservoirs in Sebei gas field, Qaidam Basin. Lithol. Reserv. 2020, 32, 128–134. [Google Scholar] [CrossRef]
  8. Gao, S.; Yang, M.; Ye, L. Simulation experiment of water invasion performance in low-permeability bottom water gas reservoir and its influence on recovery factor. Nat. Gas Ind. 2022, 42, 61–70. [Google Scholar] [CrossRef]
  9. Lv, Y.; Mao, J.; Tian, Y.; Li, X.; Lv, J. Study on CO2 Injection Enhanced Oil Recovery Method and Buried Mechanism in Low Permeability Gas Reservoir. Chem. Technol. Fuels Oils 2024, 60, 1341–1355. [Google Scholar] [CrossRef]
  10. Lin, B.; Wei, Y.; Gao, S.; Ye, L.; Liu, H.; Zhu, W.; Zhang, J.; Han, D. Current Progress and Development Trend of Gas Injection to Enhance Gas Recovery in Gas Reservoirs. Energies 2024, 17, 1595. [Google Scholar] [CrossRef]
  11. Liang, B.; Chen, C.; Jia, C.; Wang, C.; Wang, X.; Zha, Y.; Wang, R.; Meng, Z.; Wang, H. Carbon capture, utilization and storage (CCUS) in oil and gas reservoirs in China: Status, opportunities and challenges. Fuel 2024, 375, 132353. [Google Scholar] [CrossRef]
  12. Chen, P.; Mao, Z.; Cheng, M.; Xing, Y.; Shi, H.; Li Xin Kuang, M.; Yang, X. Water Invasion Modeling and Development Strategies in Complex Naturally Fracture Bottom-Water-Drive Gas Reservoir. In Proceedings of the International Field Exploration and Development Conference 2020; Lin, J., Ed.; Springer: Singapore, 2021; pp. 885–901. [Google Scholar] [CrossRef]
  13. Liu, H.; Gao, S.; Ye, L.; Zhu, W.; An, W. Change laws of water invasion performance in fractured–porous water-bearing gas reservoirs and key parameter calculation methods. Nat. Gas Ind. B 2021, 8, 57–66. [Google Scholar] [CrossRef]
  14. Mohammed, N.; Abbas, A.J.; Enyi, G.C.; Edem, D.E.; Suleiman, S.M. Enhanced gas recovery by nitrogen injection: The effects of injection velocity during natural gas displacement in consolidated rocks. J. Nat. Gas Sci. Eng. 2020, 83, 103513. [Google Scholar] [CrossRef]
  15. Jiang, P.; Zha, Y.; Ye, Q.; Xiong, R.; Zhao, N.; Mo, F.; Sun, L.; Li, M.; Zeng, Y.; Liang, B. CO2-Enhanced Gas Recovery in Offshore Carbon-Rich Gas Reservoirs—Part 1: In Situ Gas Dispersion Behaviors. Processes 2024, 12, 2479. [Google Scholar] [CrossRef]
  16. Haq, B.; Muhammed, N.S.; Liu, J.; Chua, H.T. Enhanced natural gas production using CO2 injection: Application to sustainable hydrogen production. Fuel 2023, 347, 128474. [Google Scholar] [CrossRef]
  17. Bahrami, H.; Rezaee, R.; Clennell, B. Water blocking damage in hydraulically fractured tight sand gas reservoirs: An example from Perth Basin, Western Australia. J. Pet. Sci. Eng. 2012, 88–89, 100–106. [Google Scholar] [CrossRef]
  18. Tileuberdi, N.; Gussenov, I. Review on miscible, immiscible, and progressive nitrogen injection for enhanced oil recovery. Energy Rep. 2024, 12, 360–367. [Google Scholar] [CrossRef]
  19. Jia, Y.; Ouyang, J.; Xu, F.; Gao, X.; Zhang, J.; Liu, S.; Li, D. Evaluating Nitrogen Gas Injection Performance for Enhanced Oil Recovery in Fractured Basement Complex Reservoirs: Experiments and Modeling Approaches. Processes 2025, 13, 326. [Google Scholar] [CrossRef]
  20. Mohammed, N.; Abbas, A.J.; Enyi, G.C.; Suleiman, S.M.; Edem, D.E.; Abba, M.K. Alternating N2 gas injection as a potential technique for enhanced gas recovery and CO2 storage in consolidated rocks: An experimental study. J. Pet. Explor. Prod. Technol. 2020, 10, 3883–3903. [Google Scholar] [CrossRef]
Figure 1. The experimental core samples used in this research ((a): homogeneous core, (c): fractured core) and the corresponding numerical simulation models ((b): homogeneous core, (d): fractured core).
Figure 1. The experimental core samples used in this research ((a): homogeneous core, (c): fractured core) and the corresponding numerical simulation models ((b): homogeneous core, (d): fractured core).
Geosciences 16 00067 g001
Figure 2. Functions used in the numerical model: (a) relative permeability curves; (b) capillary pressure curve. The artificial fracture network in the full-diameter core was represented using the higher permeability grids and negligible capillary pressure to accurately capture the dominant flow pathways.
Figure 2. Functions used in the numerical model: (a) relative permeability curves; (b) capillary pressure curve. The artificial fracture network in the full-diameter core was represented using the higher permeability grids and negligible capillary pressure to accurately capture the dominant flow pathways.
Geosciences 16 00067 g002
Figure 3. Grid refinement strategy: (a) original grid; (b) refined by a factor of 2; (c) refined by a factor of 4; (d) refined by a factor of 8.
Figure 3. Grid refinement strategy: (a) original grid; (b) refined by a factor of 2; (c) refined by a factor of 4; (d) refined by a factor of 8.
Geosciences 16 00067 g003
Figure 4. Predicted results under different grid refinements: (a) cumulative gas production; (b) cumulative water production; (c) average reservoir pressure; (d) methane mole production.
Figure 4. Predicted results under different grid refinements: (a) cumulative gas production; (b) cumulative water production; (c) average reservoir pressure; (d) methane mole production.
Geosciences 16 00067 g004
Figure 5. Methane saturation profiles during water–gas flooding in homogeneous cores: (a) experimental and (b) numerical simulation results.
Figure 5. Methane saturation profiles during water–gas flooding in homogeneous cores: (a) experimental and (b) numerical simulation results.
Geosciences 16 00067 g005
Figure 6. Nitrogen content at production end during water–gas flooding in homogeneous cores: (a) experimental and (b) numerical simulation results.
Figure 6. Nitrogen content at production end during water–gas flooding in homogeneous cores: (a) experimental and (b) numerical simulation results.
Geosciences 16 00067 g006
Figure 7. Methane recovery factor and cumulative water production during water–gas flooding in fractured-porous cores: (a) experimental and (b) numerical simulation results.
Figure 7. Methane recovery factor and cumulative water production during water–gas flooding in fractured-porous cores: (a) experimental and (b) numerical simulation results.
Geosciences 16 00067 g007
Figure 8. Nitrogen content at production end during water–gas flooding in fractured-porous cores: (a) experimental and (b) numerical simulation results.
Figure 8. Nitrogen content at production end during water–gas flooding in fractured-porous cores: (a) experimental and (b) numerical simulation results.
Geosciences 16 00067 g008
Figure 9. Water saturation distribution for cases k f / k m = 100 (a) and k f / k m = 6000 (b).
Figure 9. Water saturation distribution for cases k f / k m = 100 (a) and k f / k m = 6000 (b).
Geosciences 16 00067 g009
Figure 10. Methane recovery under different permeability contrasts (dashed: k f / k m = 100; solid: k f / k m = 6000).
Figure 10. Methane recovery under different permeability contrasts (dashed: k f / k m = 100; solid: k f / k m = 6000).
Geosciences 16 00067 g010
Figure 11. Methane recovery (orange) and cumulative water production (blue) with (solid) and without (dashed) capillary pressure.
Figure 11. Methane recovery (orange) and cumulative water production (blue) with (solid) and without (dashed) capillary pressure.
Geosciences 16 00067 g011
Figure 12. Pressure fields during water invasion for the homogeneous core simulation (a,b) and the fractured core sample (c,d).
Figure 12. Pressure fields during water invasion for the homogeneous core simulation (a,b) and the fractured core sample (c,d).
Geosciences 16 00067 g012
Table 1. Petrophysical properties of core samples. (Note that the permeability for Core 2 is the matrix permeability prior to artificial fracturing. The post-fracturing effective permeability was 12.8 mD).
Table 1. Petrophysical properties of core samples. (Note that the permeability for Core 2 is the matrix permeability prior to artificial fracturing. The post-fracturing effective permeability was 12.8 mD).
#CoreDiameter (cm)Length (cm)Porosity (%)Permeability (mD)
12.547.6214.1%59
212.425.510.24%0.75
Disclaimer/Publisher’s Note: The statements, opinions and data contained in all publications are solely those of the individual author(s) and contributor(s) and not of MDPI and/or the editor(s). MDPI and/or the editor(s) disclaim responsibility for any injury to people or property resulting from any ideas, methods, instructions or products referred to in the content.

Share and Cite

MDPI and ACS Style

Yang, F.; Wang, C.; Wang, F.; Dai, L.; Tang, H.; Zhang, C.; Ren, X.; Li, J. A Study on the Displacement Mechanism of Nitrogen Injection to Enhance Recovery in Water-Drive Gas Reservoirs: A Collaborative Analysis of Experiment and Simulation. Geosciences 2026, 16, 67. https://doi.org/10.3390/geosciences16020067

AMA Style

Yang F, Wang C, Wang F, Dai L, Tang H, Zhang C, Ren X, Li J. A Study on the Displacement Mechanism of Nitrogen Injection to Enhance Recovery in Water-Drive Gas Reservoirs: A Collaborative Analysis of Experiment and Simulation. Geosciences. 2026; 16(2):67. https://doi.org/10.3390/geosciences16020067

Chicago/Turabian Style

Yang, Fenglai, Chenhui Wang, Furong Wang, Li Dai, Haifa Tang, Chen Zhang, Xingnan Ren, and Jian Li. 2026. "A Study on the Displacement Mechanism of Nitrogen Injection to Enhance Recovery in Water-Drive Gas Reservoirs: A Collaborative Analysis of Experiment and Simulation" Geosciences 16, no. 2: 67. https://doi.org/10.3390/geosciences16020067

APA Style

Yang, F., Wang, C., Wang, F., Dai, L., Tang, H., Zhang, C., Ren, X., & Li, J. (2026). A Study on the Displacement Mechanism of Nitrogen Injection to Enhance Recovery in Water-Drive Gas Reservoirs: A Collaborative Analysis of Experiment and Simulation. Geosciences, 16(2), 67. https://doi.org/10.3390/geosciences16020067

Note that from the first issue of 2016, this journal uses article numbers instead of page numbers. See further details here.

Article Metrics

Back to TopTop