Pockmark Distribution and Genesis in the Mediterranean and Black Seas: A Regional Synthesis
Abstract
1. Introduction
1.1. Definition and Morphological Characteristics of Pockmarks
1.2. Potential Factors Driving the Formation of Pockmarks
1.2.1. Geological
1.2.2. Alternative Hypothesis
1.3. Importance and Scientific Objectives of the Review
- (i)
- To investigate the spatial distribution of pockmarks in relation to key controlling factors, including:
- Physical environmental parameters (e.g., water depth range, slope gradients, and sediment lithology),
- Geological features and processes (e.g., faulting, sediment thickness, and salt diapirism).
- (ii)
- To highlight the implications of pockmarks in terms of geohazards, influence on benthic ecosystems and their relevance to past and present climate processes.
2. Geological Framework
3. Data and Methods
3.1. Dataset
Limitations
4. Current State of Knowledge and Case Studies
4.1. Western Mediterranean Sea
4.1.1. The Gulf of Lion and Northeast Iberian Margins
4.1.2. The Southeast Iberia Margin
4.1.3. The Balearic Promontory
4.1.4. The Alboran Sea

4.2. Central Mediterranean Sea
4.2.1. Tyrrhenian Sea

4.2.2. Adriatic Sea
4.2.3. Strait of Sicily
4.3. Eastern Mediterranean Sea
4.3.1. Inner Ionian Sea and Interconnected Gulfs
4.3.2. NW Mediterranean Ridge to Eratosthenes Seamount
4.3.3. Aegean Sea
4.3.4. Nile Delta Deep-Sea Fan Region
4.4. Black Sea
5. Results and Discussion
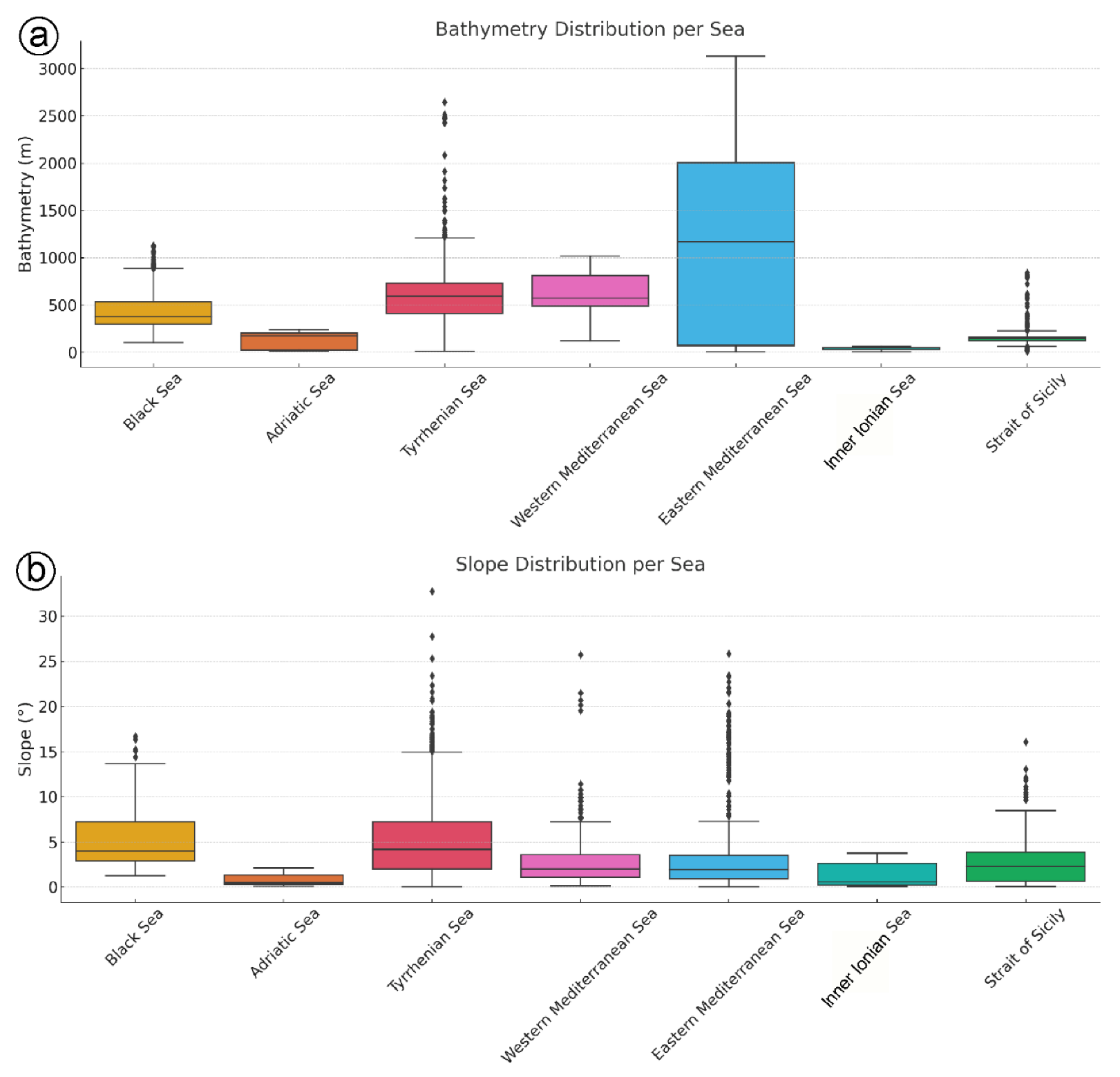
5.1. Statistical Analysis of Mediterranean Pockmark Dataset
5.2. Analysis of Pockmark Activity States VS to Geomorphological and Stratigraphic Variables
5.3. Comparative Analysis of Pockmark Morphology, Activity, and Fluid Source Across the Mediterranean
5.4. General Implications for Pockmarks
5.4.1. Sedimentary Instabilities
5.4.2. Pockmarks as Earthquake Precursors?
5.4.3. Biota
5.4.4. Climate Change
5.4.5. Economic Implications
5.4.6. Future Research
6. Conclusions
Supplementary Materials
Author Contributions
Funding
Data Availability Statement
Acknowledgments
Conflicts of Interest
References
- Bünz, S.; Polyanov, S.; Vadakkepuliyambatta, S.; Consolaro, C.; Mienert, J. Active gas venting through hydrate-bearing sediments on the Vestnesa Ridge, offshore W-Svalbard. Mar. Geol. 2012, 332–334, 189–197. [Google Scholar] [CrossRef]
- Zhang, Z.; Shan, H.; Feng, X.; Jia, Z.; Jiang, L.; Wang, S.; Zhu, C. Review of Research Progress on the Impact of Submarine Groundwater Discharge on Pockmark Formation and Evolution. J. Mar. Sci. Eng. 2025, 13, 1070. [Google Scholar] [CrossRef]
- Claypool, G.E.; Kaplan, I.R. The Origin and Distribution of Methane in Marine Sediments. Nat. Gases Mar. Sediments 1974, 3, 99–139. [Google Scholar] [CrossRef]
- Whiticar, M.J. Carbon and hydrogen isotope systematics of bacterial formation and oxidation of methane. Chem. Geol. 1999, 161, 291–314. [Google Scholar] [CrossRef]
- Davis, A.M. Shallow gas: An overview. Cont. Shelf Res. 1992, 12, 1077–1079. [Google Scholar] [CrossRef]
- Etiope, G.; Klusman, R.W. Geologic emissions of methane to the atmosphere. Chemosphere 2002, 49, 777–789. [Google Scholar] [CrossRef]
- Etiope, G.; Milkov, A.V. A new estimate of global methane flux from onshore and shallow submarine mud volcanoes to the atmosphere. Environ. Geol. 2004, 46, 997–1002. [Google Scholar] [CrossRef]
- Etiope, G.; Schoell, M.; Hosgörmez, H. Abiotic methane flux from the Chimaera seep and Tekirova ophiolites (Turkey): Understanding gas exhalation from low temperature serpentinization and implications for Mars. Earth Planet. Sci. Lett. 2011, 310, 96–104. [Google Scholar] [CrossRef]
- Motyka, R.J.; Poreda, R.J.; Jeffrey, A.W. Geochemistry, isotopic composition, and origin of fluids emanating from mud volcanoes in the Copper River basin, Alaska. Geochim. Cosmochim. Acta 1989, 53, 29–41. [Google Scholar] [CrossRef]
- Rovere, M.; Mercorella, A.; Gamberi, F.; Zgur, F. Hydrothermal Vent Complexes Control Seepage and Hydrocarbon Release on the Overriding Plate of the Tyrrhenian-Ionian Subduction System (Paola Basin). Front. Earth Sci. 2022, 10, 852786. [Google Scholar] [CrossRef]
- Napoli, S.; Spatola, D.; Casalbore, D.; Lombardo, L.; Tanyas, H.; Chiocci, F.L. Comprehensive global inventory of submarine mud volcanoes. Sci. Data 2025, 12, 382. [Google Scholar] [CrossRef] [PubMed]
- Kopf, A.J. Significance of mud volcanism. Rev. Geophys. 2002, 40, 2-1–2-52. [Google Scholar] [CrossRef]
- Milkov, A.V. Worldwide distribution of submarine mud volcanoes and associated gas hydrates. Mar. Geol. 2000, 167, 29–42. [Google Scholar] [CrossRef]
- Herut, B.; Rubin-Blum, M.; Sisma-Ventura, G.; Jacobson, Y.; Bialik, O.M.; Ozer, T.; Lawal, M.A.; Giladi, A.; Kanari, M.; Antler, G. Discovery and chemical composition of the eastmost deep-sea anoxic brine pools in the Eastern Mediterranean Sea. Front. Mar. Sci. 2022, 9, 1040681. [Google Scholar] [CrossRef]
- Ryan, W.B.F. Decoding the mediterranean salinity crisis. Sedimentology 2009, 56, 95–136. [Google Scholar] [CrossRef]
- Hovland, M. The formation of pockmarks and their potential influence on offshore construction. Q. J. Eng. Geol. Hydrogeol. 1989, 22, 131–138. [Google Scholar] [CrossRef]
- Spatola, D.; Rovere, M.; Casalbore, D.; Chiocci, F.L. Pockmarks of the Mediterranean and Black Sea. Zenodo 2025. [Google Scholar] [CrossRef]
- Judd, A.; Hovland, M. Seabed Fluid Flow: The Impact on Geology, Biology and the Marine Environment; Cambridge University Press: Cambridge, UK, 2007. [Google Scholar]
- Spatola, D.; Rovere, M.; Casalbore, D.; Chiocci, F.L. Pockmarks of the Mediterranean region seas: A Comprehensive Geodatabase for Marine Geomorphological Analysis. Sci. Data 2025, 12, 1049. [Google Scholar] [CrossRef]
- Hovland, M.; Gardner, J.V.; Judd, A.G. The significance of pockmarks to understanding fluid flow processes and geohazards. Geofluids 2002, 2, 127–136. [Google Scholar] [CrossRef]
- Sun, X.; Yang, J.; Zheng, M.; Zhang, X. Artificial construction of the biocoenosis of deep-sea ecosystem via seeping methane. Environ. Microbiol. 2020, 23, 1186–1198. [Google Scholar] [CrossRef]
- Ma, G.; Zhan, L.; Lu, H.; Hou, G. Structures in Shallow Marine Sediments Associated with Gas and Fluid Migration. J. Mar. Sci. Eng. 2021, 9, 396. [Google Scholar] [CrossRef]
- King, L.H.; MacLean, B. Pockmarks on the Scotian Shelf. Bull. Geol. Soc. Am. 1970, 81, 3142–3148. [Google Scholar] [CrossRef]
- Pilcher, R.; Argent, J. Mega-pockmarks and linear pockmark trains on the West African continental margin. Mar. Geol. 2007, 244, 15–32. [Google Scholar] [CrossRef]
- Wang, L.; Zhao, F.; Miramontes, E. Origin and evolution of widespread crescentic pockmarks on the western South China Sea margin. Mar. Pet. Geol. 2024, 170, 107091. [Google Scholar] [CrossRef]
- Yu, K.; Miramontes, E.; Alves, T.M.; Li, W.; Liang, L.; Li, S.; Zhan, W.; Wu, S. Incision of submarine channels over pockmark trains in the South China Sea. Geophys. Res. Lett. 2021, 48, e2021GL092861. [Google Scholar] [CrossRef]
- Tsoukala, V.; Kiousi, D.; Sartampakos, P. Seabed Morphology Assessment and Pockmark Detection for Port Construction and Maintenance, Using a Multibeam Echo-sounder: A Case study in Katakolo Port, Western Peloponnese, Greece. Tech. Ann. 2024, 1. [Google Scholar] [CrossRef]
- Li, X.; Guo, X.; Tian, F.; Fang, X. The Effects of Controlling Gas Escape and Bottom Current Activity on the Evolution of Pockmarks in the Northwest of the Xisha Uplift, South China Sea. J. Mar. Sci. Eng. 2024, 12, 1505. [Google Scholar] [CrossRef]
- Birdsell, D.T.; Rajaram, H.; Dempsey, D.; Viswanathan, H.S. Hydraulic fracturing fluid migration in the subsurface: A review and expanded modeling results. Water Resour. Res. 2015, 51, 7159–7188. [Google Scholar] [CrossRef]
- Xie, X.; Li, S.; He, H.; Liu, X. Seismic evidence for fluid migration pathways from an overpressured system in the South China Sea. Geofluids 2003, 3, 245–253. [Google Scholar] [CrossRef]
- Marcon, Y.; Ondréas, H.; Sahling, H.; Bohrmann, G.; Olu, K. Fluid flow regimes and growth of a giant pockmark. Geology 2014, 42, 63–66. [Google Scholar] [CrossRef]
- Pennino, V.; Sulli, A.; Caracausi, A.; Grassa, F.; Interbartolo, F. Fluid escape structures in the north Sicily continental margin. Mar. Pet. Geol. 2014, 55, 202–213. [Google Scholar] [CrossRef]
- Ingrassia, M.; Martorelli, E.; Bosman, A.; Macelloni, L.; Sposato, A.; Chiocci, F.L. The Zannone Giant Pockmark: First evidence of a giant complex seeping structure in shallow-water, central Mediterranean Sea, Italy. Mar. Geol. 2015, 363, 38–51. [Google Scholar] [CrossRef]
- Foland, S.S.; Maher, N.; Yun, J.W. Pockmarks along the Californian Continental Margin: Implications for fluid flow. AAPG Bull. 1999, 83, 681–706. [Google Scholar]
- Cole, D.; Stewart, S.A.; Cartwright, J.A. Giant irregular pockmark craters in the Palaeogene of the outer Moray Firth basin, UK North Sea. Mar. Pet. Geol. 2000, 17, 563–577. [Google Scholar] [CrossRef]
- Sun, Q.; Wu, S.; Hovland, M.; Luo, P.; Lu, Y.; Qu, T. The morphologies and genesis of mega-pockmarks near the Xisha Uplift, South China Sea. Mar. Pet. Geol. 2011, 28, 1146–1156. [Google Scholar] [CrossRef]
- Collins, J.A.; Molnar, P.; Sheehan, A.F. Multibeam bathymetric surveys of submarine volcanoes and mega-pockmarks on the Chatham Rise, New Zealand. N. Z. J. Geol. Geophys. 2011, 54, 329–339. [Google Scholar] [CrossRef]
- Lawal, M.A.; Bialik, O.M.; Lazar, M.; Waldmann, N.D.; Foubert, A.; Makovsky, Y. Modes of gas migration and seepage on the salt-rooted Palmahim Disturbance, southeastern Mediterranean. Mar. Pet. Geol. 2023, 153, 106256. [Google Scholar] [CrossRef]
- Dupré, S.; Woodside, J.; Klaucke, I.; Mascle, J.; Foucher, J.-P. Widespread active seepage activity on the Nile Deep Sea Fan (offshore Egypt) revealed by high-definition geophysical imagery. Mar. Geol. 2010, 275, 1–19. [Google Scholar] [CrossRef]
- Krämer, K.; Holler, P.; Herbst, G.; Bratek, A.; Ahmerkamp, S.; Neumann, A.; Bartholomä, A.; van Beusekom, J.E.E.; Holtappels, M.; Winter, C. Abrupt emergence of a large pockmark field in the German Bight, southeastern North Sea. Sci. Rep. 2017, 7, 5150. [Google Scholar] [CrossRef]
- Hartwig, A.; Anka, Z.; di Primio, R. Evidence of a widespread paleo-pockmarked field in the Orange Basin: An indication of an early Eocene massive fluid escape event offshore South Africa. Mar. Geol. 2012, 332, 222–234. [Google Scholar] [CrossRef]
- Baltzer, A.; Tessier, B.; Bates, R.; Moore, C.; Menier, D.; Morbihan, G.; Missiaen, T. Seistec Seismic Profiles: A Tool To Differenciate Gas Signatures and To Determine Their Origin. Mar. Geophys. Res. 2002, 12, 235–245. [Google Scholar]
- Bünz, S.; Mienert, J. Acoustic imaging of gas hydrate and free gas at the Storegga Slide. J. Geophys. Res. Solid Earth 2004, 109. [Google Scholar] [CrossRef]
- Riedel, M.; Bellefleur, G.; Mair, S.; Brent, T.A.; Dallimore, S.R. Acoustic impedance inversion and seismic reflection continuity analysis for delineating gas hydrate resources near the Mallik research sites, Mackenzie Delta, Northwest Territories, Canada. Geophysics 2009, 74, B125–B137. [Google Scholar] [CrossRef]
- Aloisi, G.; Drews, M.; Wallmann, K.; Bohrmann, G. Fluid expulsion from the Dvurechenskii mud volcano (Black Sea). Part I. Fluid sources and relevance to Li, B, Sr, I and dissolved inorganic nitrogen cycles. Earth Planet. Sci. Lett. 2004, 225, 347–363. [Google Scholar] [CrossRef]
- Dupré, S.; Berger, L.; Le Bouffant, N.; Scalabrin, C.; Bourillet, J.-F. Fluid emissions at the Aquitaine Shelf (Bay of Biscay, France): A biogenic origin or the expression of hydrocarbon leakage? Cont. Shelf Res. 2014, 88, 24–33. [Google Scholar] [CrossRef]
- Colbo, K.; Ross, T.; Brown, C.; Weber, T. A review of oceanographic applications of water column data from multibeam echosounders. Estuar. Coast. Shelf Sci. 2014, 145, 41–56. [Google Scholar] [CrossRef]
- Schurmeier, L.R.; Brouwer, G.E.; Fagents, S.A. Formation of the Siberian Yamal gas emission crater via accumulation and explosive release of gas within permafrost. Permafr. Periglac. Process. 2024, 35, 33–45. [Google Scholar] [CrossRef]
- Lafuerza, S.; Sultan, N.; Canals, M.; Frigola, J.; Berné, S.; Jouet, G.; Galavazi, M.; Sierro, F.J. Overpressure within upper continental slope sediments from CPTU data, Gulf of Lion, NW Mediterranean Sea. Int. J. Earth Sci. 2009, 98, 751–768. [Google Scholar] [CrossRef]
- Sultan, N.; Marsset, B.; Ker, S.; Marsset, T.; Voisset, M.; Vernant, A.M.; Bayon, G.; Cauquil, E.; Adamy, J.; Colliat, J.L.; et al. Hydrate dissolution as a potential mechanism for pockmark formation in the Niger delta. J. Geophys. Res. Solid Earth 2010, 115. [Google Scholar] [CrossRef]
- Böttner, C.; Berndt, C.; Reinardy, B.T.I.; Geersen, J.; Karstens, J.; Bull, J.M.; Callow, B.J.; Lichtschlag, A.; Schmidt, M.; Elger, J. Pockmarks in the witch ground basin, central North Sea. Geochem. Geophys. Geosyst. 2019, 20, 1698–1719. [Google Scholar] [CrossRef]
- Josenhans, H.W.; King, L.H.; Fader, G.B. A side-scan sonar mosaic of pockmarks on the Scotian Shelf. J. Can. J. Earth Sci. 1978, 15, 831–840. [Google Scholar] [CrossRef]
- Andresen, K.J.; Huuse, M.; Clausen, O.R. Morphology and distribution of Oligocene and Miocene pockmarks in the Danish North Sea—Implications for bottom current activity and fluid migration. Basin Res. 2008, 20, 445–466. [Google Scholar] [CrossRef]
- Vaknin, I.; Aharonov, E.; Holtzman, R.; Katz, O. Gas seepage and pockmark formation from subsurface reservoirs: Insights from table-top experiments. J. Geophys. Res. Solid Earth 2024, 129, e2023JB028255. [Google Scholar] [CrossRef]
- Chand, S.; Rise, L.; Ottesen, D.; Dolan, M.F.J.; Bellec, V.; Bøe, R. Pockmark-like depressions near the Goliat hydrocarbon field, Barents Sea: Morphology and genesis. Mar. Pet. Geol. 2009, 26, 1035–1042. [Google Scholar] [CrossRef]
- Micallef, A.; Spatola, D.; Caracausi, A.; Italiano, F.; Barreca, G.; D’Amico, S.; Petronio, L.; Coren, F.; Facchin, L.; Blanos, R.; et al. Active degassing across the Maltese Islands (Mediterranean Sea) and implications for its neotectonics. Mar. Pet. Geol. 2019, 104, 361–374. [Google Scholar] [CrossRef]
- Serié, C.; Huuse, M.; Schødt, N.H.; Brooks, J.M.; Williams, A. Subsurface fluid flow in the deep-water Kwanza Basin, offshore Angola. Basin Res. 2017, 29, 149–179. [Google Scholar] [CrossRef]
- Praeg, D.; Migeon, S.; Mascle, J.; Unnithan, V.; Wardell, N.; Geletti, R.; Ketzer, J. Geophysical evidence of gas hydrates associated with widespread gas venting on the central Nile Deep-Sea Fan, offshore Egypt. In Proceedings of the 9th International Conference on Gas Hydrates-ICGH9 2017, Denver, CO, USA, 25–30 June 2017. [Google Scholar]
- Kumar, A.; Cook, A.E.; Lawal, M.A.; Portnov, A.; Lecours, V. Pockmark occurrence in the northern Gulf of Mexico influenced by glacial cycles and hydrate stability. Geochem. Geophys. Geosyst. 2025, 26, e2024GC011781. [Google Scholar] [CrossRef]
- Bayrakci, G.; Bull, J.M.; Minshull, T.A.; Robinson, A.H.; Lavayssiere, A.; Illsley-Kemp, F.; Henstock, T.J.; Macdonald, C.; Chapman, M. Short-Duration Events Associated With Active Seabed Methane Venting: Scanner Pockmark, North Sea. Noisy Ocean. Monit. Seism. Acoust. Signals Mar. Environ. 2024, 9, 143–159. [Google Scholar]
- Miramontes, E.; Cattaneo, A.; Jouet, G.; Théreau, E.; Thomas, Y.; Rovere, M.; Cauquil, E.; Trincardi, F. The Pianosa Contourite Depositional System (Northern Tyrrhenian Sea): Drift morphology and Plio-Quaternary stratigraphic evolution. Mar. Geol. 2016, 378, 20–42. [Google Scholar] [CrossRef]
- Spatola, D.; Sulli, A.; Casalbore, D.; Chiocci, F.L. First Evidence of Contourite Drifts in the North-Western Sicilian Active Continental Margin (Southern Tyrrhenian Sea). J. Mar. Sci. Eng. 2021, 9, 1043. [Google Scholar] [CrossRef]
- Micallef, A.; Averes, T.; Hoffmann, J.; Crutchley, G.; Mountjoy, J.J.; Person, M.; Cohen, D.; Woelz, S.; Bury, S.J.; Ahaneku, C.V.; et al. Multiple drivers and controls of pockmark formation across the Canterbury Margin, New Zealand. Basin Res. 2022, 34, 1374–1399. [Google Scholar] [CrossRef]
- Zhu, S.; Li, X.; Zhang, H.; Sha, Z.; Sun, Z. Types, characteristics, distribution, and genesis of pockmarks in the South China Sea: Insights from high-resolution multibeam bathymetric and multichannel seismic data. Int. Geol. Rev. 2020, 63, 1682–1702. [Google Scholar] [CrossRef]
- Hammer, Ø.; Webb, K.E. Piston coring of Inner Oslofjord pockmarks, Norway: Constraints on age and mechanism. Nor. J. Geol./Nor. Geol. Foren. 2010, 90, 79–91. [Google Scholar]
- Plaza-Faverola, A.; Bünz, S.; Mienert, J. Repeated fluid expulsion through sub-seabed chimneys offshore Norway in response to glacial cycles. Earth Planet. Sci. Lett. 2011, 305, 297–308. [Google Scholar] [CrossRef]
- Hovland, M.; Judd, A.G.; Burke, R.A., Jr. The global flux of methane from shallow submarine sediments. Chemosphere 1993, 26, 559–578. [Google Scholar] [CrossRef]
- Lazar, M.; Schattner, U.; Reshef, M. The great escape: An intra-Messinian gas system in the eastern Mediterranean. Geophys. Res. Lett. 2012, 39. [Google Scholar] [CrossRef]
- Garcia-Castellanos, D.; Villaseñor, A. Messinian salinity crisis regulated by competing tectonics and erosion at the Gibraltar arc. Nature 2011, 480, 359–363. [Google Scholar] [CrossRef]
- León, R.; Somoza, L.; Medialdea, T.; González, F.J.; Gimenez-Moreno, C.J.; Pérez-López, R. Pockmarks on either side of the Strait of Gibraltar: Formation from overpressured shallow contourite gas reservoirs and internal wave action during the last glacial sea-level lowstand? Geo-Mar. Lett. 2014, 34, 131–151. [Google Scholar] [CrossRef]
- Micallef, A.; Berndt, C.; Debono, G. Fluid flow systems of the Malta Plateau, Central Mediterranean Sea. Mar. Geol. 2011, 284, 74–85. [Google Scholar] [CrossRef]
- Gay, A.; Lopez, M.; Berndt, C.; Séranne, M. Geological controls on focused fluid flow associated with seafloor seeps in the Lower Congo Basin. Mar. Geol. 2007, 244, 68–92. [Google Scholar] [CrossRef]
- Wilson, R.M.; Macelloni, L.; Simonetti, A.; Lapham, L.; Lutken, C.; Sleeper, K.; D’Emidio, M.; Pizzi, M.; Knapp, J.; Chanton, J. Subsurface methane sources and migration pathways within a gas hydrate mound system, Gulf of Mexico. Geochem. Geophys. Geosyst. 2014, 15, 89–107. [Google Scholar] [CrossRef]
- Dewey, J.F.; Helman, M.L.; Knott, S.D.; Turco, E.; Hutton, D.H.W. Kinematics of the western Mediterranean. Geol. Soc. Lond. Spec. Publ. 1989, 45, 265–283. [Google Scholar] [CrossRef]
- Knott, S.D.; Beach, A.; Brockbank, P.J.; Brown, J.L.; McCallum, J.E.; Welbon, A.I. Spatial and mechanical controls on normal fault populations. J. Struct. Geol. 1996, 18, 359–372. [Google Scholar] [CrossRef]
- Burnard, P.; Bourlange, S.; Henry, P.; Geli, L.; Tryon, M.D.; Natal’in, B.; Sengör, A.M.C.; Özeren, M.S.; Çagatay, M.N. Constraints on fluid origins and migration velocities along the Marmara Main Fault (Sea of Marmara, Turkey) using helium isotopes. Earth Planet. Sci. Lett. 2012, 341, 68–78. [Google Scholar] [CrossRef]
- Dogan, T.; Mori, T.; Tsunomori, F.; Notsu, K. Soil H2 and CO2 surveys at several active faults in Japan. Pure Appl. Geophys. 2007, 164, 2449–2463. [Google Scholar] [CrossRef]
- Saffer, D.M. The permeability of active subduction plate boundary faults. Geofluids 2015, 15, 193–215. [Google Scholar] [CrossRef]
- Fisher, Q.J.; Knipe, R.J. Fault sealing processes in siliciclastic sediments. Geol. Soc. Lond. Spec. Publ. 1998, 147, 117–134. [Google Scholar] [CrossRef]
- Lawal, M.A.; Cook, A.E. Gas migration phenomena and pockmark evolution in a Gulf of Mexico minibasin. Mar. Pet. Geol. 2025, 173, 107270. [Google Scholar] [CrossRef]
- Yu, K.; Lefebvre, A.; Li, W.; Zhan, W.; Miramontes, E. Channel inception through bottom-current erosion of pockmarks revealed by numerical simulation. Earth Surf. Process. Landf. 2023, 48, 2246–2259. [Google Scholar] [CrossRef]
- Cattaneo, A.; Miramontes, E.; Samalens, K.; Garreau, P.; Caillaud, M.; Marsset, B.; Corradi, N.; Migeon, S. Contourite identification along Italian margins: The case of the Portofino drift (Ligurian Sea). Mar. Pet. Geol. 2017, 87, 137–147. [Google Scholar] [CrossRef]
- Eruteya, O.E.; Reshef, M.; Ben-Avraham, Z.; Waldmann, N. Gas escape along the Palmachim disturbance in the Levant Basin, offshore Israel. Mar. Pet. Geol. 2018, 92, 868–879. [Google Scholar] [CrossRef]
- Hasiotis, T.; Papatheodorou, G.; Kastanos, N.; Ferentinos, G. A pockmark field in the Patras Gulf (Greece) and its activation during the 14/7/93 seismic event. Mar. Geol. 1996, 130, 333–344. [Google Scholar] [CrossRef]
- Broster, B.E.; Legere, C.L. Seafloor pockmarks and gas seepages, northwestern Bay of Fundy, New Brunswick, Canada. Atl. Geol. 2018, 54, 1–20. [Google Scholar] [CrossRef]
- Field, M.E.; Jennings, A.E. Seafloor gas seeps triggered by a northern California earthquake. Mar. Geol. 1987, 77, 39–51. [Google Scholar] [CrossRef]
- Fischer, D.; Mogollón, J.M.; Strasser, M.; Pape, T.; Bohrmann, G.; Fekete, N.; Spiess, V.; Kasten, S.J.N.G. Subduction zone earthquake as potential trigger of submarine hydrocarbon seepage. Nat. Geosci. 2013, 6, 647–651. [Google Scholar] [CrossRef]
- Abdelmaksoud, A.; Al-Suwaidi, A.H.; Ali, M.; Shah, A.; Almehairbi, S.S.; Al Ali, L.M.; Ali, M.Y. Evidence of pockmarks and seafloor gas venting in the northwestern Arabian Sea. Commun. Earth Environ. 2025, 6, 41. [Google Scholar] [CrossRef]
- Schneider von Deimling, J.; Hoffmann, J.; Geersen, J.; Koschinski, S.; Lohrberg, A.; Gilles, A.; Belkin, I.; Böttner, C.; Papenmeier, S.; Krastel, S. Millions of seafloor pits, not pockmarks, induced by vertebrates in the North Sea. Commun. Earth Environ. 2023, 4, 478. [Google Scholar] [CrossRef]
- Johnson, K.R.; Nelson, C.H. Side-scan sonar assessment of gray whale feeding in the Bering Sea. Science 1984, 225, 1150–1152. [Google Scholar] [CrossRef]
- Bertoni, C.; Kirkham, C.; Cartwright, J.; Hodgson, N.; Rodriguez, K. Seismic indicators of focused fluid flow and cross-evaporitic seepage in the Eastern Mediterranean. Mar. Pet. Geol. 2017, 88, 472–488. [Google Scholar] [CrossRef]
- Spatola, D.; Dahal, A.; Lombardo, L.; Casalbore, D.; Chiocci, F.L. First Pockmark susceptibility map of the Italian continental margins. Mar. Pet. Geol. 2025, 176, 107337. [Google Scholar] [CrossRef]
- Zeppilli, D.; Canals, M.; Danovaro, R. Pockmarks enhance deep-sea benthic biodiversity: A case study in the western Mediterranean Sea. Divers. Distrib. 2012, 18, 832–846. [Google Scholar] [CrossRef]
- Dalla Valle, G.; Gamberi, F. Pockmarks and seafloor instability in the Olbia continental slope (northeastern Sardinian margin, Tyrrhenian Sea). Mar. Geophys. Res. 2011, 32, 193–205. [Google Scholar] [CrossRef]
- Liu, Z.; Wu, Z.; Liu, Y.; Shang, J.; Zhou, J.; Zhang, J. Effects of slope instability on pockmark deformation on the continental slope in the southern South China Sea. Front. Mar. Sci. 2025, 12, 1605830. [Google Scholar] [CrossRef]
- Martínez-Vázquez, R.M.; Milán-García, J.; de Pablo Valenciano, J. Challenges of the Blue Economy: Evidence and research trends. Environ. Sci. Eur. 2021, 33, 61. [Google Scholar] [CrossRef]
- Stampfli, G.M.; Borel, G. A plate tectonic model for the Paleozoic and Mesozoic constrained by dynamic plate boundaries and restored synthetic oceanic isochrons. Earth Planet. Sci. Lett. 2002, 196, 17–33. [Google Scholar] [CrossRef]
- Cita, M. Anoxic basins of the eastern Mediterranean: An overview. Paleoceanography 1991, 6, 133–141. [Google Scholar] [CrossRef]
- Hsü, K.J.; Ryan, W.B.F.; Cita, M.B. Late miocene desiccation of the mediterranean. Nature 1973, 242, 240–244. [Google Scholar] [CrossRef]
- Catalano, R.; Di Stefano, P.; Sulli, A.; Vitale, F.P. Paleogeography and structure of the central Mediterranean: Sicily and its offshore area. Tectonophysics 1996, 260, 291–323. [Google Scholar] [CrossRef]
- Roveri, M.; Flecker, R.; Krijgsman, W.; Lofi, J.; Lugli, S.; Manzi, V.; Sierro, F.J.; Bertini, A.; Camerlenghi, A.; De Lange, G.; et al. The Messinian Salinity Crisis: Past and future of a great challenge for marine sciences. Mar. Geol. 2014, 352, 25–58. [Google Scholar] [CrossRef]
- Flecker, R.; Krijgsman, W.; Capella, W.; de Castro Martíns, C.; Dmitrieva, E.; Mayser, J.P.; Marzocchi, A.; Modestu, S.; Ochoa, D.; Simon, D.; et al. Evolution of the Late Miocene Mediterranean-Atlantic gateways and their impact on regional and global environmental change. Earth-Sci. Rev. 2015, 150, 365–392. [Google Scholar] [CrossRef]
- Carminati, E.; Wortel, M.J.R.; Spakman, W.; Sabadini, R. The role of slab detachment processes in the opening of the western–central Mediterranean basins: Some geological and geophysical evidence. Earth Planet. Sci. Lett. 1998, 160, 651–665. [Google Scholar] [CrossRef]
- Faccenna, C.; Piromallo, C.; Crespo-Blanc, A.; Jolivet, L.; Rossetti, F. Lateral slab deformation and the origin of the western Mediterranean arcs. Tectonics 2004, 23. [Google Scholar] [CrossRef]
- Rosenbaum, G.; Lister, G.S.; Duboz, C. Relative motions of Africa, Iberia and Europe during Alpine orogeny. Tectonophysics 2002, 359, 117–129. [Google Scholar] [CrossRef]
- Jolivet, L.; Faccenna, C. Mediterranean extension and the Africa-Eurasia collision. Tectonics 2000, 19, 1095–1106. [Google Scholar] [CrossRef]
- Séranne, M.; Benedicto, A.; Labaum, P.; Truffert, C.; Pascal, G. Structural style and evolution of the Gulf of Lion Oligo-Miocene rifting: Role of the Pyrenean orogeny. Mar. Pet. Geol. 1995, 12, 809–820. [Google Scholar] [CrossRef]
- Gay, A.; Cavailhès, T.; Grauls, D.; Marsset, B.; Marsset, T. Repeated fluid expulsions during events of rapid sea-level rise in the Gulf of Lion, western Mediterranean Sea. BSGF-Earth Sci. Bull. 2017, 188, 24. [Google Scholar] [CrossRef]
- Acosta, J.; Fontán, A.; Muñoz, A.; Muñoz-Martín, A.; Rivera, J.; Uchupi, E. The morpho-tectonic setting of the Southeast margin of Iberia and the adjacent oceanic Algero-Balearic Basin. Mar. Pet. Geol. 2013, 45, 17–41. [Google Scholar] [CrossRef]
- Pepe, F.; Sulli, A.; Bertotti, G.; Catalano, R. Structural highs formation and their relationship to sedimentary basins in the north Sicily continental margin (southern Tyrrhenian Sea): Implication for the Drepano Thrust Front. Tectonophysics 2005, 409, 1–18. [Google Scholar] [CrossRef]
- Carminati, E.; Doglioni, C. Alps vs. Apennines: The paradigm of a tectonically asymmetric Earth. Earth-Sci. Rev. 2012, 112, 67–96. [Google Scholar] [CrossRef]
- Catalano, R.; Doglioni, C.; Merlini, S. On the Mesozoic Ionian Basin. Geophys. J. Int. 2000, 143, 49–64. [Google Scholar] [CrossRef]
- Loreto, M.F.; Zitellini, N.; Ranero, C.R.; Palmiotto, C.; Prada, M. Extensional tectonics during the Tyrrhenian back-arc basin formation and a new morpho-tectonic map. Basin Res. 2021, 33, 138–158. [Google Scholar] [CrossRef]
- Argnani, A. Subduction evolution of the Dinarides and the Cretaceous orogeny in the Eastern Alps: Hints from a new paleotectonic interpretation. Tectonics 2018, 37, 621–635. [Google Scholar] [CrossRef]
- Maiorana, M.; Artoni, A.; Le Breton, E.; Sulli, A.; Chizzini, N.; Torelli, L. Is the Sicily Channel a simple Rifting Zone? New evidence from seismic analysis with geodynamic implications. Tectonophysics 2023, 864, 230019. [Google Scholar] [CrossRef]
- Corti, G.; Cuffaro, M.; Doglioni, C.; Innocenti, F.; Manetti, P. Coexisting geodynamic processes in the Sicily Channel. Spec. Pap.-Geol. Soc. Am. 2006, 409, 83. [Google Scholar]
- Robertson, A.H.; Parlak, O.; Ustaömer, T. Overview of the Palaeozoic–Neogene evolution of neotethys in the Eastern Mediterranean region (southern turkey, cyprus, Syria). Pet. Geosci. 2012, 18, 381–404. [Google Scholar] [CrossRef]
- Gardosh, M.A.; Garfunkel, Z.; Druckman, Y.; Buchbinder, B. Tethyan rifting in the Levant Region and its role in Early Mesozoic crustal evolution. In Evolution of the Levant Margin and Western Arabia Platform Since the Mesozoic; Geological Society of London: London, UK, 2010. [Google Scholar]
- Tassy, A.; Crouzy, E.; Gorini, C.; Rubino, J.-L.; Bouroullec, J.-L.; Sapin, F. Egyptian Tethyan margin in the Mesozoic: Evolution of a mixed carbonate-siliciclastic shelf edge (from Western Desert to Sinai). Mar. Pet. Geol. 2015, 68, 565–581. [Google Scholar] [CrossRef]
- Rouchy, J.M.; Caruso, A. The Messinian salinity crisis in the Mediterranean basin: A reassessment of the data and an integrated scenario. Sediment. Geol. 2006, 188–189, 35–67. [Google Scholar] [CrossRef]
- Caméra, L.; Ribodetti, A.; Mascle, J. Deep structures and seismic stratigraphy of the Egyptian continental margin from multichannel seismic data. In Evolution of the Levant Margin and Western Arabia Platform Since the Mesozoic; Geological Society of London: London, UK, 2010. [Google Scholar]
- Bosworth, W.; El-Hawat, A.S.; Helgeson, D.E.; Burke, K. Cyrenaican “shock absorber” and associated inversion strain shadow in the collision zone of northeast Africa. Geology 2008, 36, 695–698. [Google Scholar] [CrossRef]
- Gardosh, M.; Weimer, P.; Flexer, A. The sequence stratigraphy of Mesozoic successions in the Levant margin, southwestern Israel: A model for the evolution of southern Tethys margins. AAPG Bull. 2011, 95, 1763–1793. [Google Scholar] [CrossRef]
- Dolson, J.; Boucher, P.; Shann, M.V. Exploration Potential in the Offshore Mediterranean, Egypt-Perspectives from the Context of Egypt’s Future Resources and Business Challenges. In Proceedings of the EAGE Conference on Geology and Petroleum Geology of the Mediterranean and Circum-Mediterranean Basins, 2000, St. Julians, Malta, 1 October 2000; p. cp-109-00044. [Google Scholar]
- Jolivet, L.; Faccenna, C.; Huet, B.; Labrousse, L.; Le Pourhiet, L.; Lacombe, O.; Lecomte, E.; Burov, E.; Denèle, Y.; Brun, J.-P. Aegean tectonics: Strain localisation, slab tearing and trench retreat. Tectonophysics 2013, 597, 1–33. [Google Scholar] [CrossRef]
- Robinson, A.; Rudat, J.; Banks, C.; Wiles, R.J.M.; Geology, P. Petroleum geology of the Black Sea. Mar. Pet. Geol. 1996, 13, 195–223. [Google Scholar] [CrossRef]
- Thierry, S.; Dick, S.; George, S.; Benoit, L.; Cyrille, P. EMODnet Bathymetry a Compilation of Bathymetric Data in the European Waters; IEEE: New York, NY, USA, 2019; pp. 1–7. [Google Scholar]
- Sampietro, D.; Capponi, M.; Thébault, E.; Gailler, L. An enhanced view on the Mediterranean Sea crust from potential fields data. Sci. Rep. 2023, 13, 8298. [Google Scholar] [CrossRef]
- Bigi, G.; Cosentino, D.; Parotto, M.; Sartori, R.; Scandone, P. Structural model of Italy 1:500,000. CNR Progett. Final. Geodin. 1992. [Google Scholar]
- Garcia-Garcia, A.; Orange, D.; Lorenson, T.; Radakovitch, O.; Tesi, T.; Miserocchi, S.; Berne, S.; Friend, P.L.; Nittrouer, C.; Normand, A. Shallow gas off the Rhône prodelta, Gulf of Lions. Mar. Geol. 2006, 234, 215–231. [Google Scholar] [CrossRef]
- Spatola, D.; Micallef, A.; Sulli, A.; Basilone, L.; Basilone, G. Evidence of active fluid seepage (AFS) in the southern region of the central Mediterranean Sea. Measurement 2018, 128, 247–253. [Google Scholar] [CrossRef]
- Loncke, L.; Mascle, J. Mud volcanoes, gas chimneys, pockmarks and mounds in the Nile deep-sea fan (Eastern Mediterranean): Geophysical evidences. Mar. Pet. Geol. 2004, 21, 669–689. [Google Scholar] [CrossRef]
- Rovere, M.; Gamberi, F.; Mercorella, A.; Rashed, H.; Gallerani, A.; Leidi, E.; Marani, M.; Funari, V.; Pini, G.A. Venting and seepage systems associated with mud volcanoes and mud diapirs in the southern Tyrrhenian Sea. Mar. Geol. 2014, 347, 153–171. [Google Scholar] [CrossRef]
- Aloisi, G.; Pierre, C.; Rouchy, J.M.; Foucher, J.P.; Woodside, J. Methane-related authigenic carbonates of eastern Mediterranean Sea mud volcanoes and their possible relation to gas hydrate destabilisation. Earth Planet. Sci. Lett. 2000, 184, 321–338. [Google Scholar] [CrossRef]
- Ercilla, G.; Díaz, J.I.; Alonso, B.; Farran, M. Late Pleistocene-Holocene sedimentary evolution of the northern Catalonia continental shelf (northwestern Mediterranean Sea). Cont. Shelf Res. 1995, 15, 1435–1451. [Google Scholar] [CrossRef]
- García-Gil, S.; Durán, R.; Ramírez-Pérez, A.M. Gas somero en el margen continental Ibérico. Bol. Geol. Min. 2015, 126, 575–608. [Google Scholar]
- Riboulot, V.; Thomas, Y.; Berné, S.; Jouet, G.; Cattaneo, A. Control of Quaternary sea-level changes on gas seeps. Geophys. Res. Lett. 2014, 41, 4970–4977. [Google Scholar] [CrossRef]
- Sansoucy, M. Recent sedimentary processes in the Cap de Creus canyon head and adjacent continental shelf, NE Spain: Evidence from multibeam bathymetry, sub-bottom profiles and coring. Sediments Morphol. Sediment. Process. Cont. Shelves Adv. Technol. Res. Appl. 2012, 44, 71–98. [Google Scholar]
- Muñoz, A.; Lastras, G.; Ballesteros, M.; Canals, M.; Acosta, J.; Uchupi, E. Sea floor morphology of the Ebro Shelf in the region of the Columbretes Islands, Western Mediterranean. Geomorphology 2005, 72, 1–18. [Google Scholar] [CrossRef]
- Frey-Martínez, J.; Bertoni, C.; Gerard, J.; Matías, H. Processes of submarine slope failure and fluid migration on the Ebro continental margin: Implications for offshore exploration and development. SEPM Spec. Publ. 2011, 96, 181–198. [Google Scholar]
- Maestro González, A.; Bohoyo, F.; Acosta Rivera, J.J.; Gomez-Ballesteros, M.; Llave, E.; Muñoz Cubillo, Á.; Terrinha, P.; Domínguez Morales, M.; Fernández Sáez, F.; López Martínez, J. Influencia de los procesos tectónicos y volcánicos en la morfología de los márgenes continentales ibéricos. Bol. Geol. Min. 2015, 126, 427–482. [Google Scholar]
- Acosta, J.; Muñoz, A.; Herranz, P.; Palomo, C.; Ballesteros, M.; Vaquero, M.; Uchupi, E. Pockmarks in the Ibiza Channel and western end of the Balearic Promontory (western Mediterranean) revealed by multibeam mapping. Geo-Mar. Lett. 2001, 21, 123–130. [Google Scholar]
- Lastras, G.; Canals, M.; Urgeles, R.; Hughes-Clarke, J.E.; Acosta, J. Shallow slides and pockmark swarms in the Eivissa Channel, western Mediterranean Sea. Sedimentology 2004, 51, 837–850. [Google Scholar] [CrossRef]
- Somoza, L.; Medialdea, T.; León, R.; Ercilla, G.; Vázquez, J.T.; Hernández-Molina, J.; González, J.; Juan, C.; Fernández-Puga, M.C. Structure of mud volcano systems and pockmarks in the region of the Ceuta Contourite Depositional System (Western Alborán Sea). Mar. Geol. 2012, 332, 4–26. [Google Scholar] [CrossRef]
- Ercilla, G.; Vázquez, J.-T.; Alonso, B.; Bárcenas, P.; Casas, D.; d’Acremont, E.; Estrada, F.; Fernández-Salas, L.M.; Galindo-Zaldívar, J.; Juan, C. Seafloor morphology and processes in the Alboran Sea. In Alboran Sea-Ecosystems and Marine Resources; Springer: Berlin/Heidelberg, Germany, 2021; pp. 157–205. [Google Scholar]
- Ercilla, G.; Casas, D.; Iglesias, J.; Vázquez, J.T.; Somoza, L.; León, R.; Medialdea, T.; Juan, C.; García, M. Contourites in the Galicia Bank region (NW Iberian Atlantic). GeoTemas 2010, 11, 33–34. [Google Scholar]
- Miramontes, E.; Garreau, P.; Caillaud, M.; Jouet, G.; Pellen, R.; Hernández-Molina, F.J.; Clare, M.A.; Cattaneo, A. Contourite distribution and bottom currents in the NW Mediterranean Sea: Coupling seafloor geomorphology and hydrodynamic modelling. Geomorphology 2019, 333, 43–60. [Google Scholar] [CrossRef]
- Spatola, D.; Casalbore, D.; Pierdomenico, M.; Conti, A.; Bigi, S.; Ingrassia, M.; Ivaldi, R.; Demarte, M.; Napoli, S.; Chiocci, F. Seafloor characterisation of the offshore sector around Scoglio d’Affrica islet (Tuscan Archipelago, northern Tyrrhenian Sea). J. Maps 2023, 19, 2120836. [Google Scholar] [CrossRef]
- Saroni, A.; Maurantonio, F.; Casalbore, D.; Chiocci, F.L.; Cimenti, E.; Coltorti, M.; Demarte, M.; Pierdomenico, M.; Spatola, D.; Ivaldi, R. Seafloor morphology and recent dynamics in the Scoglio d’Affrica (Northern Tyrrhenian Sea). Mar. Geol. 2025, 484, 107518. [Google Scholar] [CrossRef]
- Saroni, A.; Sciarra, A.; Grassa, F.; Eich, A.; Weber, M.; Lott, C.; Ferretti, G.; Ivaldi, R.; Coltorti, M. Shallow submarine mud volcano in the northern Tyrrhenian sea, Italy. Appl. Geochem. 2020, 122, 104722. [Google Scholar] [CrossRef]
- Nardelli, B.B.; Budillon, F.; Watteaux, R.; Ciccone, F.; Conforti, A.; De Falco, G.; Di Martino, G.; Innangi, S.; Tonielli, R.; Iudicone, D. Pockmark morphology and turbulent buoyant plumes at a submarine spring. Cont. Shelf Res. 2017, 148, 19–36. [Google Scholar] [CrossRef]
- Rovere, M.; Rashed, H.; Pecchioni, E.; Ceregato, A.; Gamberi, F.; Vaselli, O. Normal faults control fluid flow structures and cold seep habitats at the rear of the Calabrian Arc (Paola Ridge, southeastern Tyrrhenian Sea). Geophysical Research. In Geophysical Reserach Abstract; EGU: Munich, Germany, 2014; p. 1. [Google Scholar]
- Hovland, M.; Curzi, P.V. Gas seepage and assumed mud diapirism in the Italian central Adriatic Sea. Mar. Pet. Geol. 1989, 6, 161–169. [Google Scholar] [CrossRef]
- Donda, F.; Tinivella, U.; Gordini, E.; Panieri, G.; Volpi, V.; Civile, D.; Forlin, E.; Facchin, L.; Burca, M.; Cova, A. The origin of gas seeps in the Northern Adriatic Sea. Ital. J. Geosci. 2019, 138, 171–183. [Google Scholar] [CrossRef]
- Donda, F.; Forlin, E.; Gordini, E.; Panieri, G.; Buenz, S.; Volpi, V.; Civile, D.; De Santis, L. Deep-sourced gas seepage and methane-derived carbonates in the Northern Adriatic Sea. Basin Res. 2015, 27, 531–545. [Google Scholar] [CrossRef]
- Taviani, M.; Franchi, F.; Angeletti, L.; Correggiari, A.; López-Correa, M.; Maselli, V.; Mazzoli, C.; Peckmann, J. Biodetrital carbonates on the Adriatic continental shelf imprinted by oxidation of seeping hydrocarbons. Mar. Pet. Geol. 2015, 66, 511–531. [Google Scholar] [CrossRef]
- Rovere, M.; Mercorella, A.; Frapiccini, E.; Funari, V.; Spagnoli, F.; Pellegrini, C.; Bonetti, A.S.; Veneruso, T.; Tassetti, A.N.; Dell’Orso, M. Geochemical and Geophysical Monitoring of Hydrocarbon Seepage in the Adriatic Sea. Sensors 2020, 20, 1504. [Google Scholar] [CrossRef]
- Pikelj, K.; Hernitz-Kučenjak, M.; Aščić, Š.; Juračić, M. Surface sediment around the Jabuka Islet and the Jabuka Shoal: Evidence of Miocene tectonics in the Central Adriatic Sea. Mar. Geol. 2015, 359, 120–133. [Google Scholar] [CrossRef]
- Holland, C.W.; Etiope, G.; Milkov, A.V.; Michelozzi, E.; Favali, P. Mud volcanoes discovered offshore Sicily. Mar. Geol. 2003, 199, 1–6. [Google Scholar] [CrossRef]
- Maiorana, M.; Spatola, D.; Todaro, S.; Caldareri, F.; Parente, F.; Severini, A.; Sulli, A. Seismo-stratigraphic and morpho-bathymetric analysis revealing recent fluid-rising phenomena on the Adventure Plateau (northwestern Sicily Channel). Mar. Geophys. Res. 2024, 45, 15. [Google Scholar] [CrossRef]
- Spatola, D.; Sulli, A.; Basilone, L.; Casalbore, D.; Napoli, S.; Basilone, G.; Chiocci, F.L. Morphology of the submerged Ferdinandea Island, the ‘Neverland’of the Sicily Channel (central Mediterranean Sea). J. Maps 2023, 19, 2243305. [Google Scholar] [CrossRef]
- Coltelli, M.; Cavallaro, D.; D’Anna, G.; D’Alessandro, A.; Grassa, F.; Mangano, G.; Patanè, D.; Gresta, S. Exploring the submarine graham bank in the sicily channel. Ann. Geophys. 2016, 59, S0208. [Google Scholar] [CrossRef]
- Innangi, S.; Tonielli, R.; Romagnoli, C.; Budillon, F.; Di Martino, G.; Innangi, M.; Laterza, R.; Le Bas, T.; Iacono, C.L. Seabed mapping in the Pelagie Islands marine protected area (Sicily Channel, Southern Mediterranean) using Remote Sensing object based image analysis (RSOBIA). Mar. Geophys. Res. 2019, 40, 333–355. [Google Scholar] [CrossRef]
- Tonielli, R.; Innangi, S.; Di Martino, G.; Romagnoli, C. New bathymetry of the Linosa volcanic complex from multibeam systems (Sicily Channel, Mediterranean Sea). J. Maps 2019, 15, 611–618. [Google Scholar] [CrossRef]
- Papatheodorou, G.; Geraga, M.; Christodoulou, D.; Sergiou, S.; Fakiris, E.; Pagoulatos, A.; Oikonomopoulos, I.; Sotiropoulos, S.; Tripsanas, E.; Stathopoulou, A. Deep-Water Pockmarks in the Kyparissiakos Gulf (S. Ionian Sea) and Geochemical Evidence for Methane Seepage. In Proceedings of the Fourth EAGE Eastern Mediterranean Workshop, 2023, Athens, Greece, 4–6 December 2023; pp. 1–3. [Google Scholar]
- Papatheodorou, G.; Hasiotis, T.; Ferentinos, G.M.G. Gas-charged sediments in the Aegean and Ionian Seas, Greece. Mar. Geol. 1993, 112, 171–184. [Google Scholar] [CrossRef]
- Kordella, S.; Christodoulou, D.; Fakiris, E.; Geraga, M.; Kokkalas, S.; Marinaro, G.; Iatrou, M.; Ferentinos, G.; Papatheodorou, G. Gas seepage-induced features in the hypoxic/anoxic, shallow, marine environment of amfilochia bay, amvrakikos gulf (Western Greece). Geosciences 2021, 11, 27. [Google Scholar] [CrossRef]
- Christodoulou, D.; Papatheodorou, G.; Geraga, M.; Etiope, G.; Giannopoulos, N.; Kokkalas, S.; Dimas, X.; Fakiris, E.; Sergiou, S.; Georgiou, N. Geophysical and geochemical exploration of the pockmark field in the Gulf of Patras: New insights on formation, growth and activity. Appl. Sci. 2023, 13, 10449. [Google Scholar] [CrossRef]
- Fakiris, E.; Papatheodorou, G.; Christodoulou, D.; Roumelioti, Z.; Sokos, E.; Geraga, M.; Giannakopoulos, V.; Dimas, X.; Ferentinos, G. Using Distributed Temperature Sensing for Long-Term Monitoring of Pockmark Activity in the Gulf of Patras (Greece): Data Processing Hints and Preliminary Findings. Sensors 2023, 23, 8520. [Google Scholar] [CrossRef]
- Dimitrov, L.; Woodside, J. Deep sea pockmark environments in the eastern Mediterranean. Mar. Geol. 2003, 195, 263–276. [Google Scholar] [CrossRef]
- Ivanov, M.K.; Limonov, A.F.; van Weering, T.C.E. Comparative characteristics of the Black Sea and Mediterranean Ridge mud volcanoes. Mar. Geol. 1996, 132, 253–271. [Google Scholar] [CrossRef]
- Newton, R.; Smith, J.; Windley, B. Carbonic metamorphism, granulites and crustal growth. Nature 1980, 288, 45–50. [Google Scholar] [CrossRef]
- Bayon, G.; Loncke, L.; Dupré, S.; Caprais, J.C.; Ducassou, E.; Duperron, S.; Etoubleau, J.; Foucher, J.P.; Fouquet, Y.; Gontharet, S. Multi-disciplinary investigation of fluid seepage on an unstable margin: The case of the Central Nile deep sea fan. Mar. Geol. 2009, 261, 92–104. [Google Scholar] [CrossRef]
- Moss, J.L.; Cartwright, J.; Moore, R. Evidence for fluid migration following pockmark formation: Examples from the Nile Deep Sea Fan. Mar. Geol. 2012, 303, 1–13. [Google Scholar] [CrossRef]
- Sisma-Ventura, G.; Bialik, O.M.; Makovsky, Y.; Rahav, E.; Ozer, T.; Kanari, M.; Marmen, S.; Belkin, N.; Guy-Haim, T.; Antler, G. Cold seeps alter the near-bottom biogeochemistry in the ultraoligotrophic Southeastern Mediterranean Sea. Deep. Sea Res. Part I Oceanogr. Res. Pap. 2022, 183, 103744. [Google Scholar] [CrossRef]
- Korsakov, O.D.; Byakov, Y.A.; Stupak, S.N. Gas hydrates in the Black Sea basin. Int. Geol. Rev. 1989, 31, 1251–1257. [Google Scholar] [CrossRef]
- Dimitrov, L.; Dontcheva, V. Seabed pockmarks in the southern Bulgarian Black Sea zone. Bull. Geol. Soc. Den. 1994, 41, 24–33. [Google Scholar] [CrossRef]
- Riedel, M.; Hähnel, L.; Bialas, J.; Bachmann, A.K.; Gaide, S.; Wintersteller, P.; Klaucke, I.; Bohrmann, G. Controls on Gas Emission Distribution on the Continental Slope of the Western Black Sea. Front. Earth Sci. 2021, 8, 601254. [Google Scholar] [CrossRef]
- Ker, S.; Thomas, Y.; Riboulot, V.; Sultan, N.; Bernard, C.; Scalabrin, C.; Ion, G.; Marsset, B. Anomalously deep BSR related to a transient state of the gas hydrate system in the western Black Sea. Geochem. Geophys. Geosyst. 2019, 20, 442–459. [Google Scholar] [CrossRef]
- Panin, N.; Jipa, D. Danube River sediment input and its interaction with the north-western Black Sea. Estuar. Coast. Shelf Sci. 2002, 54, 551–562. [Google Scholar] [CrossRef]
- Hillman, J.I.; Klaucke, I.; Bialas, J.; Feldman, H.; Drexler, T.; Awwiller, D.; Atgin, O.; Cifci, G.; Badhani, S. Gas migration pathways and slope failures in the Danube Fan, Black Sea. Mar. Pet. Geol. 2018, 92, 1069–1084. [Google Scholar] [CrossRef]
- Riboulot, V.; Cattaneo, A.; Scalabrin, C.; Gaillot, A.; Jouet, G.; Ballas, G.; Marsset, T.; Garziglia, S.; Ker, S. Control of the geomorphology and gas hydrate extent on widespread gas emissions offshore Romania. Bull. Soc. Geol. Fr. 2017, 188, 26. [Google Scholar] [CrossRef]
- Pape, T.; Ruffine, L.; Hong, W.L.; Sultan, N.; Riboulot, V.; Peters, C.A.; Kölling, M.; Zabel, M.; Garziglia, S.; Bohrmann, G. Shallow gas hydrate accumulations at a Nigerian deepwater pockmark—Quantities and dynamics. J. Geophys. Res. Solid Earth 2020, 125, e2019JB018283. [Google Scholar] [CrossRef]
- Cifci, G.; Kruglyakov, V.; Ergun, M.; Pomomoryov, I. Acoustic anomalies in gas saturated-shallow sediments in the Eastern Black Sea. In Proceedings of the Proceedings of the 12th International Petroleum Congress and Exhibition of Turkey, Istanbul, Turkey, 12–15 October 1998; pp. 400–411. [Google Scholar]
- Limonov, A.F.; Woodside, J.M.; Cita, M.B.; Ivanov, M.K. The Mediterranean Ridge and related mud diapirism: A background. Mar. Geol. 1996, 132, 7–19. [Google Scholar] [CrossRef]
- Dupré, S.; Loubrieu, B.; Pierre, C.; Scalabrin, C.; Guérin, C.; Ehrhold, A.; Ogor, A.; Gautier, E.; Ruffine, L.; Biville, R. The Aquitaine Shelf edge (Bay of Biscay): A primary outlet for microbial methane release. Geophys. Res. Lett. 2020, 47, e2019GL084561. [Google Scholar] [CrossRef]
- Hampton, M.A.; Lee, H.J.; Locat, J. Submarine landslides. Rev. Geophys. 1996, 34, 33–59. [Google Scholar] [CrossRef]
- Bertoni, C.; Cartwright, J.; Hermanrud, C. Evidence for large-scale methane venting due to rapid drawdown of sea level during the Messinian Salinity Crisis. Geology 2013, 41, 371–374. [Google Scholar] [CrossRef]
- Mascle, J.; Mary, F.; Praeg, D.; Brosolo, L.; Camera, L.; Ceramicola, S.; Dupré, S. Distribution and geological control of mud volcanoes and other fluid/free gas seepage features in the Mediterranean Sea and nearby Gulf of Cadiz. Geo-Mar. Lett. 2014, 34, 89–110. [Google Scholar] [CrossRef]
- Napoli, S.; Spatola, D.; Casalbore, D.; Chiocci, F.L. Geomorphometric Analysis of Submarine Mud Volcanoes: Variability, Evolutionary Trends, and Geohazard Implications. J. Mar. Sci. Eng. 2025, 13, 622. [Google Scholar] [CrossRef]
- Sibson, R.H. Structural permeability of fluid-driven fault-fracture meshes. J. Struct. Geol. 1996, 18, 1031–1042. [Google Scholar] [CrossRef]
- Bonini, M. Seismic loading of fault-controlled fluid seepage systems by great subduction earthquakes. Sci. Rep. 2019, 9, 11332. [Google Scholar] [CrossRef]
- Lo Iacono, C.L.; Sulli, A.; Agate, M.; Lo Presti, V.; Pepe, F.; Catalano, R. Submarine canyon morphologies in the Gulf of Palermo (Southern Tyrrhenian Sea) and possible implications for geo-hazard. Mar. Geophys. Res. 2011, 32, 127–138. [Google Scholar] [CrossRef]
- Savini, A. Side-scan sonar as a tool for seafloor imagery: Examples from the Mediterranean Continental Margin. Sonar Syst. 2011, 14, 299–322. [Google Scholar]
- Savini, A.; Malinverno, E.; Etiope, G.; Tessarolo, C.; Corselli, C. Shallow seep-related seafloor features along the Malta plateau (Sicily channel—Mediterranean Sea): Morphologies and geo-environmental control of their distribution. Mar. Pet. Geol. 2009, 26, 1831–1848. [Google Scholar] [CrossRef]
- Spatola, D.; Micallef, A.; Sulli, A.; Basilone, L.; Ferreri, R.; Basilone, G.; Bonanno, A.; Pulizzi, M.; Mangano, S. The Graham Bank (Sicily Channel, central Mediterranean Sea): Seafloor signatures of volcanic and tectonic controls. Geomorphology 2018, 318, 375–389. [Google Scholar] [CrossRef]
- Naudts, L.; Greinert, J.; Artemov, Y.; Staelens, P.; Poort, J.; Van Rensbergen, P.; De Batist, M. Geological and morphological setting of 2778 methane seeps in the Dnepr paleo-delta, northwestern Black Sea. Mar. Geol. 2006, 227, 177–199. [Google Scholar] [CrossRef]
- Daskalopoulou, K.; D’Alessandro, W.; Longo, M.; Pecoraino, G.; Calabrese, S. Shallow Sea Gas Manifestations in the Aegean Sea (Greece) as Natural Analogs to Study Ocean Acidification: First Catalog and Geochemical Characterization. Front. Mar. Sci. 2022, 8, 775247. [Google Scholar] [CrossRef]
- Jatiault, R.; Henry, P.; Loncke, L.; Sadaoui, M.; Sakellariou, D. Natural oil seep systems in the Aegean Sea. Mar. Pet. Geol. 2024, 163, 106754. [Google Scholar] [CrossRef]
- Christodoulou, D.; Papatheodorou, G.; Ferentinos, G.; Masson, M. Active seepage in two contrasting pockmark fields in the Patras and Corinth gulfs, Greece. Geo-Mar. Lett. 2003, 23, 194–199. [Google Scholar] [CrossRef]
- Gold, T.; Soter, S. Fluid ascent through the solid lithosphere and its relation to earthquakes. Pure Appl. Geophys. 1984, 122, 492–530. [Google Scholar] [CrossRef]
- Soter, S. Macroscopic seismic anomalies and submarine pockmarks in the Corinth–Patras rift, Greece. Tectonophysics 1999, 308, 275–290. [Google Scholar] [CrossRef]
- Dupré, S.; Scalabrin, C.; Grall, C.; Augustin, J.M.; Henry, P.; Şengör, A.M.C.; Görür, N.; Çağatay, M.N.; Géli, L. Tectonic and sedimentary controls on widespread gas emissions in the Sea of Marmara: Results from systematic, shipborne multibeam echo sounder water column imaging. J. Geophys. Res. Solid Earth 2015, 120, 2891–2912. [Google Scholar] [CrossRef]
- Di Bella, L.; Pierdomenico, M.; Conte, A.M.; Cornacchia, I.; Ruspandini, T.; Spatola, D.; Beaubien, S.E.; Bigi, S.; Conti, A.; Gaglianone, G. The influence of shallow-water methane emissions on foraminiferal assemblages: The case of Scoglio d’Affrica (Northern Tyrrhenian Sea, Mediterranean Sea). Mar. Pet. Geol. 2024, 170, 107130. [Google Scholar] [CrossRef]
- Sumida, P.Y.G.; Yoshinaga, M.Y.; Madureira, L.A.S.-P.; Hovland, M. Seabed pockmarks associated with deepwater corals off SE Brazilian continental slope, Santos Basin. Mar. Geol. 2004, 207, 159–167. [Google Scholar] [CrossRef]
- Webb, K.E.; Barnes, D.K.A.; Plankea, S. Pockmarks: Refuges for marine benthic biodiversity. Limnol. Oceanogr. 2009, 54, 1776–1788. [Google Scholar] [CrossRef]
- Webb, K.E.; Barnes, D.K.; Gray, J.S. Benthic ecology of pockmarks in the Inner Oslofjord, Norway. Mar. Ecol. Prog. Ser. 2009, 387, 15–25. [Google Scholar]
- Brodecka-Goluch, A.; Łukawska-Matuszewska, K.; Idczak, J.; Borkowski, A.; Rzepa, G.; Manecki, M. Laboratory of the Biogeochemical Cycle of Elements. In How Can Activity of Deepwater Pockmarks Modify Benthic Environmental Conditions? A Case Study from the Gulf of Gdańsk; Laboratory of the Biogeochemical Cycle of Elements: Philadelphia, PA, USA, 2025. [Google Scholar]
- Dickens, G.R. Rethinking the global carbon cycle with a large, dynamic and microbially mediated gas hydrate capacitor. Earth Planet. Sci. Lett. 2003, 213, 169–183. [Google Scholar] [CrossRef]
- Saunois, M.; Bousquet, P.; Poulter, B.; Peregon, A.; Ciais, P.; Canadell, J.G.; Dlugokencky, E.J.; Etiope, G.; Bastviken, D.; Houweling, S. The global methane budget 2000–2012. Earth Syst. Sci. Data 2016, 8, 697–751. [Google Scholar] [CrossRef]
- Coll, M.; Piroddi, C.; Steenbeek, J.; Kaschner, K.; Ben Rais Lasram, F.; Aguzzi, J.; Ballesteros, E.; Bianchi, C.N.; Corbera, J.; Dailianis, T. The biodiversity of the Mediterranean Sea: Estimates, patterns, and threats. PLoS ONE 2010, 5, e11842. [Google Scholar] [CrossRef]
- Cambon-Bonavita, M.-A.; Nadalig, T.; Roussel, E.; Delage, E.; Duperron, S.; Caprais, J.-C.; Boetius, A.; Sibuet, M. Diversity and distribution of methane-oxidizing microbial communities associated with different faunal assemblages in a giant pockmark of the Gabon continental margin. Deep. Sea Res. Part II Top. Stud. Oceanogr. 2009, 56, 2248–2258. [Google Scholar] [CrossRef][Green Version]
- Zvi-Kedem, T.; Martinez, S.; Shemesh, E.; Lalzar, M.; Guy-Haim, T.; Sisma-Ventura, G.; Makovsky, Y.; Tchernov, D.; Rubin-Blum, M. Shark eggs contribute to the trophic ecology of a cold-seep chemosynthetic ecosystem. Mar. Ecol. Prog. Ser. 2025, 756, 71–81. [Google Scholar] [CrossRef]
- Wang, H.; Jiang, J.; Ali, M.; Liu, X.; Wang, K.; Liu, J. Multi-parameter coupling effects on plume morphology and pockmark development induced by submarine shallow gas leakage. Front. Mar. Sci. 2025, 12, 1645893. [Google Scholar] [CrossRef]
- Stott, L.; Davy, B.; Shao, J.; Coffin, R.; Pecher, I.; Neil, H.; Rose, P.; Bialas, J. CO2 release from pockmarks on the Chatham Rise-Bounty Trough at the glacial termination. Paleoceanogr. Paleoclimatol. 2019, 34, 1726–1743. [Google Scholar] [CrossRef]
- Prabhakaran, N.; Gupta, G.V.M.; Kumar, B.S.K. A critical review on ocean acidification driven by disinfection by-products discharge from ships’ ballast water management systems: Impacts on carbon chemistry. Mar. Pollut. Bull. 2025, 217, 118029. [Google Scholar] [CrossRef]
- Böttner, C.; Hoffmann, J.J.L.; Unverricht, D.; Schmidt, M.; Spiegel, T.; Geersen, J.; Müller, T.H.; Karstens, J.; Andresen, K.J.; Sander, L. The enigmatic pockmarks of the sandy southeastern North Sea. Geochem. Geophys. Geosyst. 2024, 25, e2024GC011837. [Google Scholar] [CrossRef]
- Rise, L.; Sættem, J.; Fanavoll, S.; Thorsnes, T.; Ottesen, D.; Bøe, R. Sea-bed pockmarks related to fluid migration from Mesozoic bedrock strata in the Skagerrak offshore Norway. Mar. Pet. Geol. 1999, 16, 619–631. [Google Scholar] [CrossRef]
















| Type | Diameter | Internal Depth | Typical Distribution |
|---|---|---|---|
| Unit Pockmarks | 1–10 m | Up to 0.6 m | Isolated or grouped; often associated with larger pockmarks |
| Normal Pockmarks | 10–250 m | Up to 45 m | Often aligned in strings along sedimentary weakness zones (e.g., faults and fractures) |
| Giant Pockmarks | >250 m (commonly 300–500 m) | 1–16 m (commonly 3–12 m) | Continental margins; organized as cluster or isolated |
| Mega Pockmarks | >1000 m | Up to ~126 m | Continental margins; organized as cluster or isolated (e.g., Northern South China Sea) |
| Seas | Bathymetry (m)_Mean | Bathymetry (m)_Min | Bathymetry (m)_Max | Slope (°)_Mean | Slope (°)_Min | Slope (°)_Max | Distance from Faults (m)_Mean | Distance from Faults (m)_Min | Distance from Faults (m)_Max | Thickness of the Pre-Messinian Sediments (m)_Mean | Thickness Of The Pre-Messinian Sediments (M)_Min | Thickness of the Pre-Messinian Sediments (m)_Max | Thickness of Messinian Sediments (m)_Mean | Thickness of Messinian Sediments (m)_Min | Thickness of Messinian Sediments (m)_Max | Thickness of Plio-Quaternary Sediments (m)_Mean | Thickness of Plio-Quaternary sediments (m)_Min | Thickness of Plio-Quaternary Sediments (m)_Max |
|---|---|---|---|---|---|---|---|---|---|---|---|---|---|---|---|---|---|---|
| Adriatic Sea | 29 | 22 | 39 | 1 | 1 | 2 | 17,387 | 15,763 | 17,931 | 1197 | 1178 | 1400 | 600 | 600 | 600 | 0 | 0 | 0 |
| Black Sea | 459 | 103 | 1133 | 5 | 1 | 17 | 102,352 | 74 | 237,369 | 8070 | 5222 | 8600 | 1133 | 622 | 1600 | 621 | 136 | 1205 |
| Central Adriatic Sea | 200 | 163 | 242 | 0 | 0 | 1 | 45,644 | 21,748 | 66,678 | 1663 | 1489 | 1933 | 1435 | 1200 | 1556 | 683 | 438 | 782 |
| Central Tyrrhenian Sea | 313 | 48 | 647 | 4 | 0 | 18 | 7572 | 2332 | 13,927 | 3346 | 2733 | 3667 | 1214 | 1022 | 1356 | 420 | 212 | 548 |
| Eastern Mediterranean Sea | 1165 | 4 | 3134 | 4 | 0 | 26 | 131,564 | 2395 | 294,308 | 9731 | 1800 | 16,533 | 3173 | 1000 | 6556 | 2083 | 176 | 4528 |
| Inner Ionian Sea | 500 | 8 | 1050 | 1 | 0 | 2 | 400 | 0 | 1000 | - | - | - | - | - | - | 50 | 1500 | |
| Italian Seas | 488 | 12 | 813 | 5 | 0 | 22 | 42,900 | 32 | 236,461 | 3588 | 1178 | 4511 | 1721 | 600 | 3244 | 807 | 0 | 1913 |
| Northern Adriatic Sea | 17 | 16 | 18 | 0 | 0 | 0 | 1097 | 954 | 1240 | 1256 | 1178 | 1333 | 911 | 800 | 1022 | 202 | 133 | 272 |
| Northern Tyrrhenian Sea | 661 | 125 | 1188 | 5 | 0 | 19 | 2547 | 14 | 9136 | 1744 | 1311 | 2733 | 1333 | 978 | 1711 | 566 | 283 | 974 |
| Southern Tyrrhenian Sea | 663 | 15 | 2649 | 5 | 0 | 33 | 28,612 | 31 | 131,554 | 3263 | 1756 | 4556 | 2184 | 911 | 3844 | 1381 | 253 | 2468 |
| Strait of Gibraltar | 618 | 393 | 914 | 2 | 0 | 10 | 16,037 | 421 | 35,897 | 2131 | 1867 | 2600 | 1796 | 1378 | 2378 | 1011 | 583 | 1684 |
| Strait of Sicily | 139 | 14 | 842 | 2 | 0 | 16 | 29,898 | 5 | 59,382 | 4744 | 3222 | 6111 | 1061 | 822 | 2667 | 316 | 182 | 1959 |
| Western Mediterranean Sea | 647 | 123 | 1023 | 5 | 0 | 26 | 10,931 | 231 | 27,087 | 1840 | 1489 | 2244 | 1459 | 933 | 1800 | 715 | 276 | 1147 |
| Western Sea of Marmara | 686 | 576 | 824 | 5 | 1 | 8 | 89,220 | 84,750 | 92,622 | 1667 | 1667 | 1667 | 925 | 911 | 956 | 383 | 375 | 400 |
Disclaimer/Publisher’s Note: The statements, opinions and data contained in all publications are solely those of the individual author(s) and contributor(s) and not of MDPI and/or the editor(s). MDPI and/or the editor(s) disclaim responsibility for any injury to people or property resulting from any ideas, methods, instructions or products referred to in the content. |
© 2025 by the authors. Licensee MDPI, Basel, Switzerland. This article is an open access article distributed under the terms and conditions of the Creative Commons Attribution (CC BY) license (https://creativecommons.org/licenses/by/4.0/).
Share and Cite
Spatola, D.; Hovland, M.T.; Casalbore, D.; Rovere, M.; Chiocci, F.L.; Dupré, S.; Ercilla, G.; Micallef, A.; Papatheodorou, G.; Sulli, A.; et al. Pockmark Distribution and Genesis in the Mediterranean and Black Seas: A Regional Synthesis. Geosciences 2025, 15, 448. https://doi.org/10.3390/geosciences15120448
Spatola D, Hovland MT, Casalbore D, Rovere M, Chiocci FL, Dupré S, Ercilla G, Micallef A, Papatheodorou G, Sulli A, et al. Pockmark Distribution and Genesis in the Mediterranean and Black Seas: A Regional Synthesis. Geosciences. 2025; 15(12):448. https://doi.org/10.3390/geosciences15120448
Chicago/Turabian StyleSpatola, Daniele, Martin Torvald Hovland, Daniele Casalbore, Marzia Rovere, Francesco Latino Chiocci, Stéphanie Dupré, Gemma Ercilla, Aaron Micallef, George Papatheodorou, Attilio Sulli, and et al. 2025. "Pockmark Distribution and Genesis in the Mediterranean and Black Seas: A Regional Synthesis" Geosciences 15, no. 12: 448. https://doi.org/10.3390/geosciences15120448
APA StyleSpatola, D., Hovland, M. T., Casalbore, D., Rovere, M., Chiocci, F. L., Dupré, S., Ercilla, G., Micallef, A., Papatheodorou, G., Sulli, A., & Vázquez, J. T. (2025). Pockmark Distribution and Genesis in the Mediterranean and Black Seas: A Regional Synthesis. Geosciences, 15(12), 448. https://doi.org/10.3390/geosciences15120448

