Mineralogical and Engineering Properties of Soils Derived from In Situ Weathering of Tuff in Central Java, Indonesia
Abstract
1. Introduction
2. Materials and Methods
3. Results and Discussion
3.1. Weathering Profile
3.2. Mineral Composition
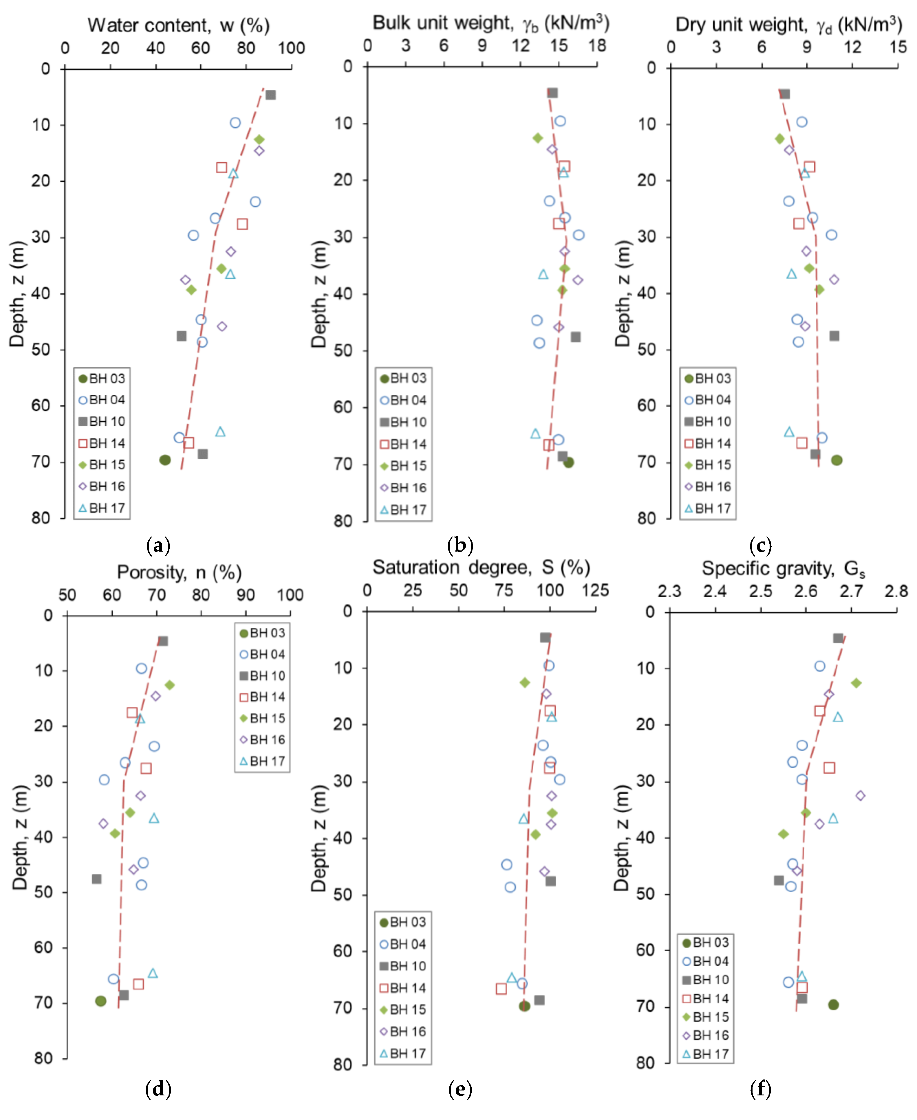
3.3. Index Properties
3.4. Penetration Resistance and Shear Strength
3.5. Correlation between Plasticity Index and Shear Strength Parameters
3.6. Correlation between Penetration Resistance and Shear Strength Parameters
4. Conclusions
Author Contributions
Funding
Data Availability Statement
Acknowledgments
Conflicts of Interest
References
- Little, A. The engineering classification of residual tropical soils. In Proceedings of the 7th International Conference on Soil Mechanics and Foundation Engineering, Mexico City, Mexico, 15–18 October 1969; pp. 1–10. [Google Scholar]
- Tamado, D. Evaluasi Kondisi Geologi Teknik dan Analisis Kestabilan Zona Portal Terowongan Jalan Tol Yogyakarta-Bawen Seksi 5 Jalur Temanggung-Ambarawa. Evaluation of Engineering Geological Conditions and Stability Analysis of the Portal Zone of the Yogyakarta-Bawen Toll Road Tunnel Section 5 Temanggung-Ambarawa Line. Master’s Thesis, Universitas Gadjah Mada, Yogyakarta, Indonesia, 2024. [Google Scholar]
- Younger, J.S.; Cook, J.R. The impact of characteristics of Indonesian tropical soils on construction. In Proceedings of the XIII ICSMFE, New Delhi, India, 5–10 January 1994; pp. 1493–1496. [Google Scholar]
- Liu, R.; Chi, Y.; Xie, Y.; Kang, C.; Sun, L.; Wu, P.; Wei, Z. Characteristics and influencing factors of the granite weathering profile: A case study of a high latitude area in Northeastern China. Minerals 2024, 14, 27. [Google Scholar] [CrossRef]
- Brenner, R.; Garga, V.; Blight, G. Shear strength behaviour and the measurement of shear strength in residual soils. In Mechanics of Residual Soils, 2nd ed.; Blight, G., Leong, E., Eds.; CRC Press: Boca Raton, FL, USA, 2012. [Google Scholar]
- Yokota, S.; Iwamatsu, A. Weathering distribution in a steep slope of soft pyroclastic rocks as an indicator of slope instability. Eng. Geol. 2000, 55, 57–68. [Google Scholar] [CrossRef]
- Dosseto, A.; Buss, H.L.; Suresh, P.O. Rapid regolith formation over volcanic bedrock and implications for landscape evolution. Earth Planet. Sci. Lett. 2012, 337–338, 47–55. [Google Scholar] [CrossRef]
- Hack, H.R.G.K. Weathering, erosion and susceptibility to weathering. In Soft Rock Mechanics and Engineering, 1st ed.; Kanji, M., He, M., Ribeira E Sousa, L., Eds.; Springer Nature Switzerland AG: Cham, Switzerland, 2020; ISBN 9783030294779. [Google Scholar] [CrossRef]
- Sandeep, C.S.; Todisco, M.C.; Senetakis, K. Tangential contact behaviour of a weathered volcanic landslide material from Hong Kong. Soils Found. 2017, 57, 1096–1102. [Google Scholar] [CrossRef]
- Sandeep, C.S.; Todisco, M.C.; Nardelli, V.; Senetakis, K.; Coop, M.R.; Lourenco, S.D.N. A micromechanical experimental study of highly/completely decomposed tuff granules. Acta Geotech. 2018, 13, 1355–1367. [Google Scholar]
- Wesley, L.D. Shear strength properties of halloysite and allophane clays in Java, Indonesia. Géotechnique 1977, 27, 125–136. [Google Scholar] [CrossRef]
- Moon, V.G. Halloysite behaving badly: Geomechanics and slope behaviour of halloysite-rich soils. Clay Miner. 2016, 51, 517–528. [Google Scholar] [CrossRef]
- Kirk, P.A.; Campbell, S.D.G.; Fletcher, C.J.N.; Merriman, R.J. The significance of primary volcanic fabrics and clay distribution in landslides in Hongkong. J. Geol. Soc. 1997, 154, 1009–1019. [Google Scholar]
- Kameda, J. Mineralogical and physico-chemical properties of halloysite-bearing slip surface material from a landslide during the 2018 Eastern Iburi earthquake, Hokkaido. Prog. Earth Planet. Sci. 2021, 8, 37. [Google Scholar] [CrossRef]
- Kluger, M.O.; Moon, V.G.; Lowe, D.J.; Chigira, M. Role of halloysite in causing flow-like landslides: Examples from New Zealand and Japan. In Proceedings of the Japan Geoscience Union Meeting, Chiba, Japan, 22–27 May 2022. [Google Scholar]
- Terzaghi, K.; Peck, R.B. Soil Mechanics in Engineering Practice; John Wiley: New York, NY, USA, 1967; 729p. [Google Scholar]
- Stroud, M.A. The standard penetration test in insensitive clays and soft rock. In Proceedings of the 1st European Symposium on Penetration Testing, Stockholm, Sweden, 5–7 June 1974; Volume 2, pp. 367–375. [Google Scholar]
- Sivrikaya, O.; Toğrol, E. Determination of undrained strength of fine-grained soils by means of SPT and its application in Turkey. Eng. Geol. 2006, 86, 52–69. [Google Scholar] [CrossRef]
- Clayton, C.R.I. The Standard Penetration Test (SPT): Methods and use. Construction Industry Research and Information Association Report 143; CIRIA: London, UK, 1995; 143p. [Google Scholar]
- Look, B.G. Geotechnical basics—Common practices to avoid. In Proceedings of the 13th Australia New Zealand Conference on Geomechanics, Perth, Australia, 1–3 April 2019; Perth, Australia, 1–3 April 2019, Acosta-Martínez, H., Lehane, B., Eds.; Australian Geomechanics Society: Sydney, Australia, 2019; pp. 1247–1252. [Google Scholar]
- Priddle, J.; Lacey, D.; Look, B.; Gallage, C. Residual soil properties of South East Queensland. Aust. Geomech. J. 2013, 48, 67–76. [Google Scholar]
- PT Jasamarga Jogja Bawen (PT JJB). Detailed Engineering Design of Yogyakarta-Bawen Tunnel; Report No. 066/TUNNEL/JJB/DED/2022/REV0; PT Jasamarga Jogja Bawen (PT JJB): Yogyakarta, Indonesia, 2022. [Google Scholar]
- Geospatial Information Agency of Indonesia (BIG). Digital Elevation Model Nasional (DEMNAS) 1408-52_v1.0. 2019. Available online: https://tanahair.indonesia.go.id/demnas/#/ (accessed on 17 May 2024).
- ASTM International. ASTM Volume 04.08 Soil and Rock (I): D420–D5876. In Annual Book of ASTM Standards; ASTM International: West Conshohocken, PA, USA, 2021. [Google Scholar]
- Abrar, M. Karakteristik Geologi Teknik pada Lokasi Proyek Pembangunan Terowongan Yogyakarta-Bawen pada Jalan Tol Yogyakarta-Bawen Seksi 5 Jalur Temanggung-Ambarawa. Characteristics of Engineering Geology at the Yogyakarta-Bawen Tunnel Construction Project Site on the Yogyakarta-Bawen Toll Road Section 5 Temanggung-Ambarawa Line. Bachelor’s Thesis, Universitas Gadjah Mada, Yogyakarta, Indonesia, 2023. [Google Scholar]
- ASTM International. ASTM Volume 04.09 Soil and Rock (II): D5878–latest. In Annual Book of ASTM Standards; ASTM International: West Conshohocken, PA, USA, 2021. [Google Scholar]
- Thanden, R.E.; Sumadirdja, H.; Richards, P.W.; Sutisna, K.; Amin, T.C. Geological Map of the Magelang and Semarang Sheets, Java. Scale 1:100,000; Geological Research and Development Centre: Bandung, Indonesia, 1996. [Google Scholar]
- Dearman, W.R. Engineering Geological Mapping; Butterworth-Heinemann Ltd.: Oxford, UK, 1991. [Google Scholar]
- Hencher, S.R.; Martin, R.P. The description and classification of weathered rocks in Hong Kong for engineering purposes. In Proceedings of the 7th Southeast Asian Geotechnical Society, Hong Kong, China, 21 November 1982; pp. 125–142. [Google Scholar]
- GEO. Guide to Rock and Soil Descriptions (Geoguide 3); (Continuously Updated E-Version released on 29 August 2017); Geotechnical Engineering Office, Civil Engineering and Development Department, HKSAR Government: Hong Kong, China, 2017; p. 171. [Google Scholar]
- Supriyo, H.; Matsue, N.; Yoshinaga, N. Chemical and mineralogical properties of volcanic ash soils from Java. J. Soil Sci. Plant Nutr. 1992, 38, 443–457. [Google Scholar] [CrossRef]
- Duzgoren-Aydin, N.S.; Aydin, A.; Malpas, J. Distribution of clay minerals along a weathered pyroclastic profile, Hong Kong. Catena 2002, 50, 17–41. [Google Scholar] [CrossRef]
- Wada, K. Minerals in Soil Environments; Soil Science Society of America: Madison, WI, USA, 1977; pp. 603–638. [Google Scholar]
- Parfitt, R.L.; Russell, M.; Orbell, G.E. Weathering sequence of soils from volcanic ash involving allophane and halloysite, New Zealand. Geoderma 1983, 41, 223–241. [Google Scholar] [CrossRef]
- Wesley, L.D. Volcanic soils. In Geotechnical Engineering in Residual Soils; Wiley: Hoboken, NJ, USA, 2010. [Google Scholar]
- Kuznetsova, E.; Motenko, R. Weathering of volcanic ash in the cryogenic zone of Kamchatka, eastern Russia. Clay Miner. 2014, 49, 195–212. [Google Scholar] [CrossRef]
- Moon, V.G.; Mills, P.R.; Kluger, M.O.; Lowe, D.J.; Churchman, G.J.; de Lange, W.P.; Hepp, D.A.; Kreiter, S.; Mörz, T. Sensitive pyroclastic soils in the Bay of Plenty, New Zealand: Microstructure to failure mechanisms. In Proceedings of the 20th NZGS Geotechnical Symposium, Napier, New Zealand, 24–26 November 2017; Alexander, G.J., Chin, C.Y., Eds.; University of Waikato: Hamilton, New Zealand, 2017. [Google Scholar]
- Bailey, S.W. Halloysite—A critical assessment. In Proceedings of the 9th International Clay Conference, Strasbourg, France, 2 September 1989; Volume II: Surface chemistry. Structure and mixed layering of clays; Institut de Géologie—Université Louis-Pasteur: Strasbourg, France, 1990; pp. 89–98. [Google Scholar]
- Joussein, E.; Petit, S.; Churchman, J.; Theng, B.; Righi, D.; Delvaux, B. Halloysite clay minerals-a review. Clay Miner. 2005, 40, 383–426. [Google Scholar] [CrossRef]
- Irfan, T.Y. Characterization of weathered volcanic rocks in Hong Kong. Q. J. Eng. Geol. 1999, 32, 317–348. [Google Scholar] [CrossRef]
- Wesley, L.D. Some basic engineering properties of halloysite and allophane clays in Java, Indonesia. Géotechnique 1973, 23, 471–494. [Google Scholar] [CrossRef]
- Simon, A.B.; Bidló, G.; Liautaud, G. On the black cotton soils of North Cameroon. Eng. Geol. 1975, 9, 351–357. [Google Scholar] [CrossRef]
- Smalley, L.J.; Ross, C.W.; Whitton, J.S. Clays from New Zealand support the inactive particle theory of soil sensitivity. Nature 1980, 288, 576–577. [Google Scholar] [CrossRef]
- González de Vallejo, L.I.; Jimenez Salas, J.A.; Leguey Jimenez, S. Engineering Geology of the tropical volcanic soils of La Laguna, Tenerife. Eng. Geol. 1981, 17, 1–17. [Google Scholar] [CrossRef]
- Ishihara, K.; Hsu, H.-L. Considerations for landslides in natural slopes triggered by earthquakes. Proc. Jpn. Soc. Civ. Eng. 1986, 376, 1–16. [Google Scholar] [CrossRef] [PubMed][Green Version]
- Jacquet, D. Sensitivity to remoulding of some volcanic ash soils in New Zealand. Eng. Geol. 1990, 28, 1–25. [Google Scholar] [CrossRef]
- Keam, M.J. Engineering Geology and Mass Movement on the Omokoroa Peninsula, Bay of Plenty, New Zealand. Master’s Thesis, University of Auckland, Auckland, New Zealand, 2008. [Google Scholar]
- Arthurs, J.M. The Nature of Sensitivity in Rhyolitic Pyroclastic Soils from New Zealand. Ph.D. Thesis, University of Auckland, Auckland, New Zealand, 2010. [Google Scholar]
- Moon, V.G.; Cunningham, M.J.; Wyatt, J.B.; Lowe, D.J.; Mörz, T.; Jorat, M.E. Landslides in sensitive soils, Tauranga, New Zealand. In Proceedings of the 19th NZGS Geotechnical Symposium, Queenstown, New Zealand, 21–22 November 2013; Chin, CY., Ed.; University of Waikato: Hamilton, New Zealand, 2013; pp. 537–544. [Google Scholar]
- Moon, V.G.; Lowe, D.J.; Cunningham, M.J.; Wyatt, J.B.; Churchman, G.J.; de Lange, W.P.; Mörz, T.; Kreiter, S.; Kluger, M.O.; Jorat, M.E. Sensitive pyroclastic- derived halloysitic soils in northern New Zealand: Interplay of microstructure, minerals, and geomechanics. In Volcanic Rocks and Soils, Proceedings of the International Workshop on Volcanic Rocks and Soils, Lacco Ameno, Ischia Island, Italy, 24–25 September 2016; Rotonda, T., Cecconi, M., Silvestri, F., Tommasi, P., Eds.; Taylor and Francis Group: London, UK, 2016; pp. 3–21. [Google Scholar]
- Wang, G.; Suemine, A.; Zhang, F.; Hata, Y.; Fukuoka, H.; Kamai, T. Some fluidized landslides triggered by the 2011 Tohoku Earthquake (Mw 9.0), Japan. Geomorphology 2014, 208, 11–21. [Google Scholar] [CrossRef]
- Holtz, R.D.; Kovacs, W.D.; Sheahan, T.C. An Introduction to Geotechnical Engineering, 3rd ed.; Pearson Education, Inc.: Upper Saddle River, NJ, USA, 2023. [Google Scholar]
- Howat, M.D. Completely weathered granite soil or rock? Q. J. Eng. Geol. 1985, 18, 199–206. [Google Scholar] [CrossRef]
- Huat, B.B.K.; Sew, G.S.; Ali, F.H. Tropical Residual Soils Engineering. In Proceedings of the Symposium on Tropical Residual Soils Engineering (Trse2004), University Putra Malaysia, Serdang, Selangor, Malaysia, 6–7 July 2004. [Google Scholar]
- Décourt, L. The standard penetration test -State-of-the-art. In Proceedings of the XII ICSMFE, Rio de Janeiro, Brazil, 13–18 August 1989; pp. 2405–2416. [Google Scholar]
- Wong, H.Y. Shear strength properties of Hong Kong soils for slope stability. HKIE Trans. 2020, 27, 48–54. [Google Scholar] [CrossRef]
- Rahardjo, H.; Aung, K.K.; Leong, E.C.; Rezaur, R.B. Characteristics of residual soils in Singapore as formed by weathering. Eng. Geol. 2004, 73, 157–169. [Google Scholar] [CrossRef]
- Sowers, G.F. Introductory Soil Mechanics and Foundations, 4th ed.; Macmillan: New York, NY, USA,, 1979. [Google Scholar]
- Terzaghi, K.; Peck, R.B.; Mesri, G. Soil Mechanics in Engineering Practice, 3rd ed.; Wiley: New York, NY, USA, 1996. [Google Scholar]
- Holtz, R.D.; Kovacs, W.D. An Introduction to Geotechnical Engineering; Prentice-Hall, Inc.: Hoboken, NJ, USA, 1981. [Google Scholar]
- Kulhawy, F.H.; Mayne, P.W. Manual on Estimating Soil Properties for Foundation Design; Report EL-6800 Research Project 1493-6; Electric Power Research Institute, Cornell University: Ithaca, NY, USA, 1990; 250p. [Google Scholar]
- Saran, S. Analysis and Design of Substructures; Balkema: Rotterdam, The Netherlands, 1996. [Google Scholar]
- McGregor, J.; Duncan, J.M. Performance and Use of the Standard Penetration Test in Geotechnical Engineering Practice; Report of CGPR; Virginia Polytechnic Institute and State University: Blacksburg, VA, USA, 1998. [Google Scholar]
- Hara, A.; Ohta, T.; Niwa, M.; Tanaka, S.; Banno, T. Shear modulus and shear strength of cohesive soils. Soils Found. 1974, 14, 1–12. [Google Scholar] [CrossRef]
- Sivrikaya, O.; Toğrol, E. Relations between SPT-N and qu. In Proceedings of the 5th International Congress on Advances in Civil Engineering, Istanbul, Turkey, 25–27 September 2002; pp. 943–952. [Google Scholar]














| Depth (m) | Material Weathering Degree | Core Description | + Index Properties | * SPT N60 | + Shear Strength | |||||||||||
|---|---|---|---|---|---|---|---|---|---|---|---|---|---|---|---|---|
| Gs | w | γb | γd | n | S | LL | PL | IP | IL | cu | ϕ | |||||
| 0–10 | RS | Typically brown to reddish brown in color, the upper 0.5 to 1 m layers are typically dark brown to yellowish gray due to humus content; parent rock-forming minerals were mostly altered to clay minerals, and parent rock texture is completely destroyed; easily crumbled by hand and finger pressure into constituent grains. | 2.63–2.67 | 75–91 | 14.5–15.1 | 7.5–8.6 | 66–71 | 97–99 | 80–86 | 29–30 | 51–56 | 0.9–1.1 | 2–6 | 16–17 | 28–33 | |
| 10–20 | CD | Intensely weathered | Typically brown to yellowish brown in color, may be mottled; minerals are completely decomposed, but the rock texture is still recognizable using hand lenses and in thin sections; contain weathered coarse lithic fragments and less weathered specimens of yellowish white, highly decomposed tuff (grade IV) and light gray, moderately decomposed tuff (grade III). Plagioclase minerals are hardly recognizable by the naked eye but may be identified in a few thin sections; typically easily crumbled by hand and finger pressure and classified as soft soils to extremely weak rocks; mostly slake in water. | 2.57–2.71 | 56–86 | 13.3–16.6 | 7.2–10.6 | 58–73 | 86–105 | 65–85 | 26–49 | 25–56 | 0.6–1.2 | 4–9 | 22–56 | 21–35 |
| 20–30 | Least weathered | 4–18 | ||||||||||||||
| 30–70 | HD | Intensely weathered | Mostly brown to brownish gray in color and mottled and often contain a significant proportion of lithic fragments and less weathered corestones of white to yellowish white, moderately decomposed (grade III) and light gray, slightly decomposed tuff (grade II); may be crumbled by hand and finger pressure and classified as very weak to weak rocks. | 2.46–2.72 | 44–73 | 13.2–16.5 | 7.8–10.9 | 56–69 | 73–108 | 51–88 | 26–50 | 11–46 | 0.3–1.1 | 7–69 | 32–140 | 30–42 |
| w | γd | n | S | PL | LL | IP | IL | Source |
|---|---|---|---|---|---|---|---|---|
| (%) | (kN/m3) | (%) | (%) | (%) | (%) | (%) | ||
| 31–51 | 100 | 55–75 | 70–110 | 20–45 | Wesley [11,41] | |||
| 18–29 | 34–77 | 16–48 | Simon et al. [42] | |||||
| 60–100 | 65–80 | 15–30 | Smalley et al. [43] | |||||
| 29 | 71 | 42 | González de Vallejo [44] | |||||
| 20–45 | Ishihara and Hsu [45] | |||||||
| 60–89 | 46–67 | 68–99 | 22–46 | 0.3–0.8 | Jacquet [46] | |||
| 76–106 | 7.8–9.5 | 59 | 39–48 | 55–72 | 10–33 | 1.0–2.1 | Keam [47] | |
| 54–101 | 6.7–10.6 | 33–70 | 29–66 | 42–98 | 11–40 | 0.5–2.4 | Arthurs [48] | |
| 64–109 | 6.7–10.1 | 61–71 | 91–109 | 35–49 | 52–89 | 15–44 | 1.1–2.2 | Moon et al. [49,50] |
| 94–160 | 4.7–6.5 | Wang et al. [51] | ||||||
| 44–86 | 7.2–10.9 | 56–73 | 73–105 | 26–50 | 51–88 | 11–56 | 0.3–1.2 | Present study |
| Reference | Su/N | cu/N60 | Soil type |
|---|---|---|---|
| Sowers [58] | 7.1–16.5 | High-plastic clay (CH) | |
| Stroud [17] | ≥ 6 | IP < 20 | |
| 4–5 | 35 < IP < 65 | ||
| Sivrikaya and Togrol [18] | 2–17.5 | Fine-grained soil | |
| 2.25–17.5 | High-plastic clay (CH) | ||
| 2–6.88 | High-plastic silt (MH) | ||
| Present study | 1.7–8.2 | Soils from in situ weathering of tuff |
| Reference | Relationship | Soil type |
|---|---|---|
| Terzaghi and Peck [16] | Su = 6.25N | Fine-grained soils |
| Hara et al. [64] | Su = 29.125N0.72 | Fine-grained soils |
| Stroud [17] | Su = 4.2N | High-plastic clays (CH) |
| Sivrikaya and Togrol [65] | Su = 6.82N60 | High-plastic clays (CH) |
| Sivrikaya and Togrol [18] | Su = 7.8N60 | High-plastic clays (CH) |
| Brenner et al. [5] | Su = 5N | Residual soils |
| Priddle et al. [21] | Su = 5.5N | Residual soils |
| Present study | cu = 11N600.6 | Soils from in situ weathering of tuff |
| cu = 5.18N60 | N60 < 20 (residual soils to completely decomposed tuff) | |
| cu = 1.25N60 + 46.6 | N60 > 20 (highly decomposed tuff) |
Disclaimer/Publisher’s Note: The statements, opinions and data contained in all publications are solely those of the individual author(s) and contributor(s) and not of MDPI and/or the editor(s). MDPI and/or the editor(s) disclaim responsibility for any injury to people or property resulting from any ideas, methods, instructions or products referred to in the content. |
© 2024 by the authors. Licensee MDPI, Basel, Switzerland. This article is an open access article distributed under the terms and conditions of the Creative Commons Attribution (CC BY) license (https://creativecommons.org/licenses/by/4.0/).
Share and Cite
Indrawan, I.G.B.; Tamado, D.; Abrar, M.; Warmada, I.W. Mineralogical and Engineering Properties of Soils Derived from In Situ Weathering of Tuff in Central Java, Indonesia. Geosciences 2024, 14, 213. https://doi.org/10.3390/geosciences14080213
Indrawan IGB, Tamado D, Abrar M, Warmada IW. Mineralogical and Engineering Properties of Soils Derived from In Situ Weathering of Tuff in Central Java, Indonesia. Geosciences. 2024; 14(8):213. https://doi.org/10.3390/geosciences14080213
Chicago/Turabian StyleIndrawan, I Gde Budi, Daniel Tamado, Mifthahul Abrar, and I Wayan Warmada. 2024. "Mineralogical and Engineering Properties of Soils Derived from In Situ Weathering of Tuff in Central Java, Indonesia" Geosciences 14, no. 8: 213. https://doi.org/10.3390/geosciences14080213
APA StyleIndrawan, I. G. B., Tamado, D., Abrar, M., & Warmada, I. W. (2024). Mineralogical and Engineering Properties of Soils Derived from In Situ Weathering of Tuff in Central Java, Indonesia. Geosciences, 14(8), 213. https://doi.org/10.3390/geosciences14080213

