Abstract
Protective structures play a vital role in mitigating the risks associated with debris flows, yet assessing their performance poses crucial challenges for their real-world effectiveness. This study proposes a comprehensive procedure for evaluating the performance of protective structures exposed to impacts from media transported by large debris flow events. The method combines numerical modelling with site conditions for existing structures along the Hobart Rivulet in Tasmania, Australia. The Coupled Eulerian Lagrangian (CEL) model was validated by comparing simulation results with experimental data, demonstrating high agreement. Utilising three-dimensional modelling of debris flow–boulder interactions over the Hobart Rivulet terrain, boulder velocities were estimated for subsequent finite element analyses. Importantly, a model of interaction between boulders and I-beam posts was established, facilitating a comparative assessment of five distinct I-beam barrier systems defined as Type A to E, which are currently in use at the site. Simulation results reveal larger boulders display a slower increase in their velocities over the 3D terrain. Introducing a key metric, the failure ratio, enable a mechanism for comparative assessments of these barrier systems. Notably, the Type E barriers demonstrate superior performance due to fewer weak points within the structure. The combined CEL and FE assessments allow for multiple aspects of the interactions between debris flows, boulders, and structures to be considered, including structural failure and deformability, to enhance the understanding of debris flow risk mitigation in Tasmania.
1. Introduction
Debris flows pose significant threats to communities, infrastructure, and the environment, especially when combined with large transported media such as boulders and wood [1]. The mitigation of debris flow risk often involves the implementation of protective structures, each designed to address specific challenges associated with such natural hazards. Various methods have been employed globally, from traditional measures such as retaining walls and open, rigid barriers to more sophisticated solutions including flexible netting systems [2,3,4]. Rigid barriers, such as concrete or steel baffles, are specialised structures that intercept and contain falling debris to mitigate damage downstream, which is particularly effective in mountainous regions. I-beam barriers, as one type of rigid barrier, are chosen for their adaptability and cost effectivity [5]. The effectiveness of these structures is contingent on their ability to mitigate impact forces, kinetic energy, and the overall dynamic forces exerted by debris flows and transported media materials. However, assessing the performance of protective structures for debris flow and landslide mitigation presents several challenges, most notably due to the lack of standardised testing protocols, complex interactions between natural forces and structures, scale discrepancies, and environmental considerations. The significance of assessing the performance of protective structures lies in the optimisation of structural designs and mitigation measures. Therefore, establishing a set of assessment procedures and understanding the weak points of these structures enables engineers and researchers to refine existing designs, develop innovative solutions, and enhance the overall effectiveness of debris flow and landslide mitigation strategies.
Numerical approaches have become essential for studying the performance of protective structures for debris flow risk mitigation [6,7,8]. Several studies have used Finite lement nalysis (FEA) and Computational Fluid Dynamics (CFD) to analyse how protective structures respond to varying loads, aiding in the development of more robust and effective protective measures [9,10,11,12]. For instance, Chen et al. [9] developed a model using Smoothed Particle Hydrodynamics (SPH) and Finite Element (FE) methods to investigate the interactions between debris flow and check dam, showing that it was more effective to reduce the debris flow velocity if check dams were constructed downstream. Jakob et al. [13] proposed a finite difference model for debris flows, obtaining flow depths and velocities for risk assessments. Similarly, Shen et al. [10] extended a finite difference model to assess the efficiency of check dams, considering bed entrainment and the impeding effect of check dams. The results indicated that the existing check dam was insufficient for larger debris flows, suggesting the need for higher dams and highlighting the superior performance of check dams located upstream in controlling bed entrainment and discharge. These methods have also been applied to exploring the fluid mechanics of debris flow through coupled numerical analyses [14,15] and in modelling real-world scenarios featuring intricate three-dimensional topographies [16,17,18].
Additional studies have focused on the interaction between debris flow and structure, considering the transportation dynamics of rock-dominant materials [19,20,21], thereby providing valuable insights into debris dynamics and its impact on protective structures. For example, Zhao et al. [19] introduced a two-stage coupled modelling technique using the Arbitrary Lagrangian Eulerian (ALE) method to analyse the interaction between flexible barriers and debris flows with boulders. The findings show that flexible barriers cannot intercept debris flows with 2 m diameter boulders and that 1 m boulders cause plastic hinging within the barrier, indicating a need for additional protective measures. Chehade et al. [20] developed a numerical model to evaluate impact pressures of debris flows, emphasising the influence of transported block size on structural damage. The model, combining a discrete element method for granular flow and a fluid dynamics code for the fluid phase, revealed that impact pressure increases with block size, highlighting the need to integrate additional parameters into vulnerability assessments of structures exposed to debris flows. These applications demonstrate that numerical simulation methods are a powerful and reliable tool for the performance analysis of large protective structures, especially those subjected to complex natural disasters such as debris flows and rockfalls.
In Australia, Tasmania has a diverse geological and topographical landscape that is susceptible to a variety of natural hazards, including debris flows. These occurrences pose significant risks, creating a pressing need for comprehensive research to understand and mitigate their impacts [22]. Historical events such as the 2007 Philps Peak and 2018 Kunanyi debris flows wreaked havoc on the local environment and caused disruptions to transportation networks, highlighting the vulnerability of communities and the importance of understanding and mitigating these occurrences [22,23,24].
This research seeks to address the complexities of debris flow risk mitigation in Tasmania through a case study, with greater applicability to generalized debris flow–boulder-structural behaviour. Accordingly, this study introduces a set of procedures that focuses on the assessment of protective structures against debris materials for future formulation of sustainable engineering solutions. To achieve this, existing protective I-beam post structures constructed along the Hobart Rivulet were studied as real-world cases. The proposed procedure incorporated large-scale experiment validation, field data collection, and failure ratio analysis to evaluate the effectiveness of various protective measures. This was used to identify the weak points of individual existing protective structures and compare the performance of these structures under the same loading conditions. By utilising real-world cases, the outcomes of this performance assessment aim to bridge the gap between theoretical models and practical applications in southern Australia, informing recommendations for future designs, maintenance practices, and overall improvements in risk reduction strategies.
2. Background
2.1. Coupled Eulerian Lagrangian Method (CEL)
In the domain of computational methods for fluid dynamics, the Coupled Eulerian Lagrangian (CEL) approach is widely leveraged to simulate fluid–structure interactions. This numerical technique integrates both Eulerian and Lagrangian reference frames, demonstrating its versatility in handling intricate scenarios with large deformations, especially within geotechnical applications such as the analysis of debris flow dynamics [25,26,27]. Extensive investigations in preceding studies have shed light on both the strengths and limitations of the CEL method [28] and highlighted its effectiveness in simulating fluid–solid–structure interactions for hazard mitigation [12,21].
In the CEL method, the dynamic evolution of volumetric element sets over time is described through two distinct perspectives: the Lagrangian and Eulerian descriptions. On one hand, the Lagrangian description characterises motion as a function of material coordinates and time. This formulation ensures precision in defining interfaces between Lagrangian parts, where nodes of the mesh move with the material. However, a drawback emerges in cases of significant material deformation, leading to mesh and element distortion. The expressions for mass, momentum, and energy conservation in Lagrangian equations are presented below:
Here, represents the material density, denotes the material velocity, stands for the total stress, is the body force, signifies the internal energy per unit volume, and denotes the strain rate tensor.
On the other hand, the Eulerian formulation, defined as a function of spatial coordinates and time, is commonly employed in modelling fluid materials. This approach maintains an undistorted reference mesh, with the motion of objects traced through a fixed Eulerian domain. Unlike Lagrangian methods, Eulerian formulations exhibit minimal element distortion. However, challenges may arise in the form of numerical diffusion when dealing with multiple materials within the domain. The relationship between material and spatial time descriptions in an arbitrary field is governed by the chain rule, expressed as follows:
Here, represents a tensor filed with spatial coordinates and time , denotes the material time derivative, and shows the spatial time derivative. Equation (4) illustrates the total rate of change of as the sum of the local and convective rate of changes. Based on it, Equations (1)–(3) can be converted to the Eulerian formulation as follows:
A general conservation form to express the governing equations of the Eulerian formulation is given below:
Here, denotes the flux function, and represents the source term. However, directly solving such spatial–time coupling equations can pose computational challenges. Therefore, in the CEL analysis, Equation (8) is solved sequentially in two steps:
- The Lagrangian step, including the following source term:
- 2.
- The Eulerian step, containing the following convective term:
Typically, the Eulerian technique is utilised to mesh elements experiencing significant deformations, while the Lagrangian approach is employed for the remaining elements. The movement of a Eulerian material through the mesh is monitored using an Eulerian Volume Fraction (EVF), indicating the proportion of material within each element. Throughout each time step of the CEL analysis, mesh nodes retain material information, facilitating updates to velocity, displacement, and acceleration during the solution of Equation (9). The spatial convective term without time variation is subsequently computed by solving Equation (10). In the Lagrangian step, the deformed mesh is mapped back to the original fixed mesh in the Eulerian step, with the EVF of each element determined based on the volume of material transported between adjacent elements. Strains and stresses are assessed through the adopted constitutive model.
The interaction between Eulerian and Lagrangian materials is enforced via a penalty contact method, enabling Lagrangian elements to move through the Eulerian domain until encountering an Eulerian element with a non-zero EVF. Such a contact algorithm accommodates slight penetration of Eulerian material into Lagrangian elements and automatically tracks the interface during simulations [15,19]. However, additional exploration of the principles and governing equations of the CEL method offers further insight into its applicability in fluid flow scenarios [21,26,28,29].
2.2. Debris Flow Hazard in Tasmania, Australia
Tasmania, an island state nestled in the southern reaches of Australia, is renowned for its unique ecosystems, rugged landscapes, and diverse geological formations. Its steep terrains and diverse geological formations have witnessed numerous natural events, with debris flows emerging as a significant geological phenomenon in this region.
One such major event occurred in 1872, when a significant debris flow event occurred on the northwestern slopes of Mt Arthur, flowing through the township of Glenorchy. The significant magnitude of the debris flow, triggered by extremely heavy rainfall, resulted in substantial debris material displacement and posed considerable damage and destruction to local communities [23], as shown in Figure 1a. Following heavy rainfall in 2007 near Philps Peak in western Tasmania, the aftermath of a debris flow occurred. The flow, initiated by the intense rain, proceeded along an existing stream channel, transporting logs, mud, and rocks across several hundred meters, as shown in Figure 1b. In January 2011 and June 2016, the Westmorland Stream alluvial system near Caveside, Tasmania, bore witness to two episodes of intense flooding that caused at least seven major landslides down the north face of the Great Western Tiers. These occurrences not only impacted the physical characteristics of the Westmorland Stream alluvial system but also had broader implications for the ecosystems within the region [24]. In 2018, another severe flash flooding and debris flow event unfolded in the Kunanyi/Mt Wellington region in Tasmania, as shown in Figure 1c, showcasing the vulnerability of Tasmania’s terrain to these natural phenomena. The event caused widespread destruction, amounting to over AUD 137 million in damages [30]. These events stand as a stark reminder of the potential ramifications of debris flows in Tasmania, necessitating a deeper understanding of their behaviours and underscoring the need for proactive research on debris flow mitigation.
Figure 1.
Examples of debris flow events in Tasmania, Australia. (a) The 1872 Glenorchy debris flow event [23], (b) 2007 Philps Peak debris flow event [31], and (c) 2018 the Kunanyi/Mt Wellington debris flow event.
Understanding the context of debris flow events in Tasmania is paramount for devising effective mitigation measures. Tasmania’s topography, marked by steep slopes and a variety of soil types, creates a conducive environment for debris flow initiation and propagation [22]. Factors such as rainfall patterns, geological composition, and land-use practices further amplify the complexity of debris flow dynamics in the region. The Tasmanian state government has conducted investigations on historical debris flows in Tasmania [22,23,31], contributing significantly to informing land-use planning and infrastructure development. By analysing past events, patterns and key indicators can be identified that may aid in modelling their impacts and implementing mitigation strategies to minimise the risk and potential consequences associated with these events.
2.3. Study Area and Current Protective Structures
The Hobart Rivulet, situated in Hobart, the capital city of Tasmania, Australia, serves a crucial role in managing stormwater and floodwaters. Originating at an elevation of 700 m within Kunanyi (Mount Wellington) Park, the rivulet embarks on a journey that spans from the Strickland Falls to the heart of South Hobart, meandering through the city centre and ultimately contributing its waters to the River Derwent. One particular area in the middle of the rivulet, highlighted in red colour in Figure 2, spans 195 m in length and 90 m in width, acting as a point of constriction. This specific location has garnered attention due to its strategic importance in the existing debris flow protection framework. As one of the current locations equipped with protective barriers, it stands as a pivotal site in mitigating the risk of hazardous debris flows and safeguarding surrounding areas against potential damage.
Figure 2.
Topographic map highlighting study area (red area) along the Hobart Rivulet (blue lines) (top); elevation profile with previous landslide locations (bottom left) [22]; isometric view of the study area (bottom right).
I-beam posts play a crucial role in debris flow mitigation, providing an effective solution to withstand the impacts associated with such debris flow events. The primary purpose of I-beam posts is to act as a barrier against debris materials, involving the rapid movements of rock, wood, and other materials down a slope. These posts are typically constructed using high-strength materials such as steel, ensuring durability and resilience in challenging conditions. The I-shape structure provides a balance between strength and weight, allowing the barriers to absorb and transfer the energy from the debris materials effectively. Consequently, during interactions, such barriers can redirect, slow down, or even stop the flow of debris, preventing it from causing significant damage to structures and infrastructure downstream. However, regular inspection and maintenance are essential to ensure the ongoing effectiveness of the debris flow mitigation system, and any damaged or corroded I-beam posts should be promptly replaced to maintain the overall integrity of the structure.
Despite evidence suggesting the inadequate effectiveness of I-beams for debris flow mitigation [32], on-site inspections along the Hobart Rivulet have revealed the widespread utilisation of these protective structures. Figure 3 illustrates the current protections of I-beam posts, forming part of the protective structures implemented along the Hobart Rivulet. Typically, these posts are engineered with configurations tailored to the specific site conditions, ensuring optimal functionality. Therefore, the dimensions of I-beam posts vary depending on the specific requirements of the mitigation project, but such posts generally have a distinctive I-shaped cross-section. The vertical sections, known as the webs or posts, provide crucial support and enhance their ability to resist the lateral forces exerted by the debris flow, while the horizontal sections, known as flanges, contribute to the overall stability of the structure. However, in some designs of current I-beam structures for the Hobart Rivulet, the flange was not used, as shown in Figure 3c, or not fully installed, as depicted in Figure 3d.
Figure 3.
Examples of the existing protective measures along the Hobart Rivulet. (a) Type A: two rows of vertical posts, both with cross flanges; (b) type B: single row of vertical posts with a cross flange; (c) type C: Two rows of vertical posts, no cross flanges; (d) type D: two rows of vertical posts, with a cross flange in the front row only.
Given the critical role of these protective measures, it is imperative to conduct a comprehensive performance assessment to gauge their efficacy in mitigating debris flow. The ongoing assessment of protective structures along the Hobart Rivulet will inform future strategies, ensuring their resilience against evolving threats. Therefore, to fortify the city’s resilience against future risks, there is a pressing need to enhance our comprehension of the intricate interactions between debris flow and transported materials, including elements like rocks and driftwood. This understanding, coupled with an analysis of their impacts on protective structures, forms a crucial component in devising comprehensive risk mitigation measures for Hobart, Tasmania.
2.4. Rheological Model of Debris Flow
Debris flow materials commonly exhibit elastoplastic or viscoplastic constitutive behaviour [33]. Various rheological models have been developed and extensively employed in debris flow modelling, including the Herschel–Bulkley model [34,35], the Bingham model [36,37], and the Voellmy–Salm model [38,39]. Several researchers have investigated the complexities of debris flow behaviour, analysing both its solid-like and fluid-like phases to uncover dynamic characteristics across various flow pathways [40,41]. However, since this study primarily focuses on simulating interactions among debris flow, boulders, and barriers, the solid-like phase characteristic of debris flow modelling was not integrated into our simulations. In addressing the fluid-like nature of debris flow, the common approach involves simulating it as a non-Newtonian fluid, utilising methods such as the Bingham or Herschel–Bulkley models. Therefore, we chose the Bingham model in this study due to its previous applications in simulating such interactions [28,42] and also utilised back-analyses conducted on regional debris flow events [22].
Defined by a linear correlation between the shearing resistance force and the shear strain rate, the Bingham model can be expressed by the Equation [43]:
Here, represents the shear stress; denotes the yield stress; corresponds to the second invariant of the tensor of deformation; signifies the dynamic viscosity; stands for the tensor of strain rates.
The tensor of strain rates and the second invariant of the tensor of deformation are provided as follows:
In the Bingham model, shear stress rises proportionally with the shear strain rate once beyond the yield shearing resistance force. The yield stress represents the minimum stress required for continuous fluid movement, signifying the initiation of debris flow movement when exceeding the yield stress (). In the ABAQUS modelling environment, the Bingham model can be reformulated into the Herschel–Bulkley model with an equivalent fluid viscosity, which is expressed as follows:
where denotes the viscosity of the flow material at low shear rates, represents the fluid consistency index, and is the flow behaviour index setting for the shear-thinning fluid, for the Bingham fluid behaviour, and for the shear-thickening fluid.
3. Performance Assessment and Comparison
In this section, the performance assessment for existing protections against debris materials is explored, focusing on the specific case of I-beam posts based on on-site inspections conducted at the Hobart Rivulet. First, the accuracy of the proposed CEL method is validated by replicating a debris flow experimental test [44]. Subsequently, a numerical CEL model tailored to the specific area of the Hobart Rivulet is introduced, designed to simulate debris flow dynamics and interactions with boulders, thereby enabling the estimation of boulder velocities. Leveraging the outcome of these investigations, a series of simulations was undertaken to model I-beam posts subjected to boulder impact and evaluate their performance. Figure 4 illustrates an overview of the performance assessment process for each barrier system. Subsequent sections delve into the specifics of each component of the process, providing detailed explanations along with the presentation and discussion of simulation results.
Figure 4.
The overview of the proposed performance assessment process.
3.1. Model Validation
The effectiveness and applicability of incorporating boulders into the CEL model for debris flow simulations was verified by comparing the large-scale debris flow experiment conducted by Ng et al. [44]. The CEL model setup comprises a rigid slope featuring two channel walls, a door segment, a debris flow segment, ten boulders, and a barrier designed to measure impact force, as depicted in Figure 5. The total length of the slope spans 25 m, divided into three sections with lengths of 5 m, 15 m, and 5 m, each having slope angles of 30°, 20°, and 0°, respectively. The width of the channel is fixed at 2 m, while the barrier has a height of 1.8 m, a width of 1.9 m, and a thickness of 0.3 m. The dimensions of the debris flow (2 m × 1.25 m × 1 m) result in a total volume of 2.5 m3. The diameter of each boulder is set at 0.2 m. In test DB10, ten boulders were positioned 16.4 m behind the door section on the upper part of the slope. The simulation duration was 15 s in total, with the door section removed at 5 s to stabilise both the debris flow and boulders before their release towards the barrier. In contrast, test D excluded all boulders from the model.
Figure 5.
Model configuration for simulating the boulder-enriched debris flow tests [21].
In Figure 6a, the temporal evolution of the impact force obtained from test D is presented alongside the experimental results reported by Ng et al. [44]. The total impact force is normalised using the empirical hydrodynamic equation [44,45,46,47] expressed as follows:
where represents the dynamic impact coefficient, is the bulk density of flow, denotes the flow velocity, and and correspond to the flow depth and width of the channel, respectively.
Figure 6.
Comparison of experimental and CEL simulation results. (a) Time history of impact force for test D; (b) velocities of debris front and first arrival boulder.
In practical design applications, the parameter assumes a pivotal role in capturing the dynamic interaction between flowing debris and barriers. For rigid structures, a recommended value of is 2.5, specifically designed to address the impact loading resulting from boulders with diameters up to 0.5 m [45]. Flexible barriers should use an value of 2.0, extending their applicability to boulders with diameters up to 2.0 m [46]. In our validation tests, the dynamic impact coefficient of the maximum impact force for test DB10 was 2.46, closely aligning with the recommended value of 2.5. Additionally, Figure 6b presents the comparisons of the debris frontal and first arrival boulder velocities between the CEL simulations and physical experiments. These CEL simulation results exhibit a strong agreement with experimental test outcomes, particularly considering the boulder effects. The key parameters used in these tests are provided in Table 1. A comprehensive validation analysis was detailed in Sha et al. [21].
Table 1.
Key parameters for the validation tests [28,44].
3.2. Estimation of Boulder Velocity on Hobart Rivulet Terrain
Focused on the study area described in Section 2.2, a 3D model of the Hobart Rivulet was established using CEL. The primary objective was to estimate boulder velocities after their intricate interactions with debris flow. This estimation served as a crucial component for the subsequent assessment of structural performance. The simulation employed EC3D8R 8-node linear Eulerian brick elements with reduced integration and hourglass control to model the debris flow behaviour, utilising the Bingham viscoplastic material outlined in Section 2.4.
To ensure a precise representation of fluid dynamics, adjustments were made to the top and bottom surfaces of the Eulerian domain to match the terrain of the Hobart Rivulet, maintaining a 5 m height differential. The initial debris flow, with a cross-sectional area of 1 m2, was defined within the entire Eulerian domain, as illustrated in Figure 7. Material parameters for the debris flow, as reported in the authors’ previous studies [21,28], were applied, while the terrain of the Hobart Rivulet and the boulders were simulated as rigid bodies using R3D4 4-node 3D bilinear rigid quadrilateral elements.
Figure 7.
The CEL model of the Hobart Rivulet. (a) The model configuration (using the model with 1 m cylindrical boulders as an example); (b) Eulerian domain and initial debris flow.
Incorporating a funnel with a square lid into the Hobart Rivulet model served as the mechanism for depositing boulders into the Bingham fluid. These components, treated as rigid bodies, were positioned 5 m above the ground and 95 m from the terminal edge of the Hobart Rivulet model. The optimal timing for releasing boulders into the debris was determined through a flow velocity test, which involved placing a test point above the terrain and below the funnel. Simulation results indicated that the flow velocity peaked at 21 m/s at 7 s, stabilising at approximately 12 m/s after 20 s. Subsequently, the lid was removed at 25 s to allow sufficient time for the flow to attain a steady state beneath the funnel.
The funnel was set to vibrate at 0.2 Hz in the Y-direction and 0.03 Hz in the Z-axis to prevent boulder entrapment and unrealistic kinetic energy generation during the descent of boulders. Ten boulders, labelled from B1 to B10, were initially positioned above the lid and dropped randomly onto the funnel as the simulation commenced. A contact penalty definition with a friction coefficient of 0.15 was chosen for interactions between boulders, debris flow, and the terrain. The model was subjected to a gravity load of 10 m/s2, and a continuous initial flow velocity of 3 m/s was maintained throughout the 60 s simulation. Thus, this study primarily examined the impact of the entire debris flow body on boulders after achieving a steady flow beneath the boulder drop point. Table 2 presents the essential parameters employed in the Hobart Rivulet model. For an in-depth understanding of the model configuration, refer to the detailed description provided by Sha et al. [21].
Table 2.
Hobart Rivulet model parameters [28].
Numerous research endeavours have underscored the importance of scrutinising the size distributions of debris material, deeming it a pivotal parameter for understanding the force or pressure exerted on exposed structures during such events [20,48,49]. Despite this recognition, the impact of boulder size on its velocity remains uncertain. The velocity of boulders during debris flow events directly impacts the kinetic energy that can be generated, exerting a profound influence on the resultant impact force during such occurrences. Higher velocity inherently engenders greater kinetic energy, resulting in a more substantial impact force upon collision with other objects or the ground surface. Consequently, it is necessary to estimate boulder velocity on the Hobart Rivulet terrain for precise simulations of boulder–structure interactions.
The investigation into boulder velocities after impact by debris flow on rivulet terrain involved a comprehensive assessment of diverse boulder sizes. Drawing upon insights from the authors’ prior research [21], it was discerned that the arrival time of the first boulder varied contingent on its shape, with cylindrical boulders exhibiting the highest velocities. A reference size (SR) was employed to standardise the boulder size. Consequently, simulations were conducted utilising cylindrical shapes in six distinct sizes: 0.5 m, 1 m, 1.5 m, 2 m, 2.5 m, and 3 m. The boulder properties for each case are outlined in Table 3, encompassing specific details such as size, volume, and other pertinent parameters.
Table 3.
Boulder geometries.
In the specific context of this investigation, our focus centres on the initial boulder that reaches the terminal edge of the rivulet model in the shortest time for each case, with a detailed examination of its velocity states during displacement in the x-direction. The velocity of the first boulder in each case increased after the commencement of debris flow transportation, as depicted in Figure 8a. Subsequently, the velocity patterns for each size exhibit fluctuations due to the irregular surface of the terrain. Upon reaching the edge of the terrain at a displacement of 105 m in x-direction, a general trend is that the larger the size of the boulder, the slower it moves along the travel distance.
Figure 8.
The estimation of boulder velocities on the Hobart Rivulet terrain. (a) Variations in velocities of the first boulder for each case with displacement in the x-direction; (b) comparison of the first boulder’s arrival time and boulder speed at the arrival time.
A more visual comparison is presented in Figure 8b, illustrating the relationship between boulder size, the time taken for the first boulder to reach the edge, and the boulder speed upon arrival. As anticipated, larger boulders displayed a slower increase in their velocities, leading to a more prolonged duration to complete the travel. This phenomenon can be further elucidated by referencing Figure 9, which depicts variations in accelerations of the first boulder for each case relative to displacement in the x-direction. These figures reveal that smaller boulders experienced larger accelerations upon impact with the debris flow due to their lesser mass. Subsequently, similar acceleration patterns emerge for each size, falling within a range of −10 m/s2 to 10 m/s2. This underscores the significant impact of the boulder size and the initial contact between the flow and the boulder on the boulder’s velocity and travel time. Moreover, as expected, with increasing boulder size, acceleration positively correlated with velocity and inversely correlated with travel time. It is worth noting that the simulation considered boulder sizes within the range of 0.5 to 3 m, aligning with the expected spectrum of boulders found in the rivulet and potential initiation zones on Kunanyi [50].
Figure 9.
Variations in accelerations of the first boulder for each case with displacement in x-direction on the Hobart Rivulet terrain: (a) C1; (b) C2; (c) C3; (d) C4; (e) C5; (f) C6.
Based on the findings, and in an effort to prevent full structural failure caused by larger boulders while facilitating meaningful comparisons, a boulder size of 0.5 m with a velocity of 16 m/s was selected for subsequent assessment. This selection also ensured that the simulation parameters closely mirror real-world scenarios and contribute to a more accurate evaluation of the potential impact of debris flow events on structures in the Hobart Rivulet terrain.
3.3. Dimensions of I-Beam Post Barriers
The specifications of I-beam posts for debris flow mitigation take into account factors such as the velocity and volume of potential debris flows in a given area [21]. The local topography, soil conditions, and the potential force exerted by the debris need to be considered to determine the appropriate size and spacing of the I-beam posts. Following an on-site inspection, two types of beams, namely I- and C-beams, are used for debris mitigation systems surrounding the Hobart Rivulet. The dimension of the I-beam employed in this study adheres to the standards outlined in AS-NZS 3679.1-2016 Structural steel Part 1: Hot-rolled bars and sections [51], with classifications and specifications outlined in Table 4. Additionally, five types of I-beam mitigation systems are currently constructed along the rivulet, varying in I-beam post heights, flange lengths, number of posts and flanges, beam classification, and configuration. Based on these, the barriers were categorised into type A, B, C, D, and E, as detailed in Figure 10, Figure 11, Figure 12, Figure 13 and Figure 14 and Table 5. It is worth mentioning that in this study, C-beams are used exclusively for flanges, as shown in Figure 14 and Figure 15, while I-beams are used for both posts and flanges.
Table 4.
Specifications of beams used in the simulations [51].
Figure 10.
The model of type A barrier and beam number for the performance analysis.
Figure 11.
The model of type B barrier and beam number for the performance analysis.
Figure 12.
The model of type C barrier and beam number for the performance analysis.
Figure 13.
The model of type D barrier and beam number for the performance analysis.
Figure 14.
The model of type E barrier and beam number for the performance analysis.
Table 5.
Model configuration dimensions for each type of I-beam barrier.
Figure 15.
The model of boulder–structure interaction—centroid indicated in red (rest AN1 was used as an example): the geometry of the model (top) and side view of the model for one I-beam post (bottom).
3.4. Modelling of Boulder–Barrier Interactions
To enhance the understanding of the effectiveness of I-beam posts, a model of boulder–structure interaction was developed for performance analysis. The simulation accounts for real-world scenarios based on on-site data gathered from the Hobart Rivulet, considering the impact of the dynamic nature of debris flows on boulders and the configuration of existing I-beam posts. A feature of this model is the incorporation of failure elements by introducing a damage characteristic of ductile steel beam sections, which simulates the vulnerabilities of the protective structure when subjected to boulder impacts, allowing for the identification of weak points of the protective system.
The model consists of two parts: one boulder and one I-beam mitigation system. The model setup involves a consideration of various parameters, including boulder size, velocity, and the structural characteristics of the I-beam posts, which were discussed in Section 3.2 and Section 3.3. Accordingly, the boulder is modelled with a diameter of 0.5 m as a rigid body, while the steel I-beam barriers are considered linear elastic with ABAQUS Explicit type B31 2-node linear beam elements with a mesh size of 0.01 m. In ABAQUS, these beam elements are conceptualised as one-dimensional entities operating within three-dimensional space. They possess stiffness related to the deformation along the beam’s axis while simultaneously allowing for transverse shear deformation between the axis and its cross-section directions. Consequently, beams employing such elements are often termed shear flexible beams. The primary rationale for employing such beam elements in this study lies in their geometric simplicity and their aptness for scenarios involving contact and dynamic impact [52]. In the simulations, the boulder is titled at an angle of 45 degrees, and the distance between the centre of the boulder, the beam post, and the ground is 0.354 m. Moreover, the boulder is set to move in the x direction with an initial speed of 16 m/s, while the barrier has a fixed base for each post, as described in Figure 15.
In order to pinpoint the weakest post within each type of the I-beam protective system, the simulation was carried out systematically, with each I-beam post being individually subjected to boulder impacts. The test number corresponds to the beam number of each protective system, as illustrated in Figure 10, Figure 11, Figure 12, Figure 13 and Figure 14. Since the boulder is considered a rigid body in this analysis, this study neglected the damping effects or deformation of the boulder. However, a contact penalty definition with a friction coefficient of 0.15 was adopted for the interaction between the boulder and the I-beam post. The model was subjected to a gravity load of 10 m/s2, and each case was simulated for a duration of 0.5 s.
3.5. Results and Comparison
In assessing the efficacy of I-beam posts against boulder impacts, a key metric introduced is the failure ratio. This ratio quantifies the proportion of elements within the barrier that fail during impact compared to the total number of elements present. Using case EFN9 as an illustration, Figure 16 presents a visualisation depicting how failed elements vary over with simulation time. Upon impact with a boulder at t = 0.01 s, the beam experienced localised failure initiation primarily at the lower and upper sections, while elements within the central region remained intact initially. This observed failure pattern can be attributed to the fixed boundary conditions at the bottom and partial fixation at the top of the beam, which induced concentrated stresses at these regions upon impact. However, at t = 0.02 s, the failure propagation intensified, leading to the subsequent failure of all elements across the entire beam. By t = 0.03 s, the boulder completed its impact and began to break away from the beam. From this point until the termination of the simulation at t = 0.5 s, the number of failed elements remained constant.
Figure 16.
Visualisation of variations in failed elements with simulation time for case EFN9.
Figure 17, Figure 18, Figure 19, Figure 20 and Figure 21 offer an overview of the failure ratio attributed to boulder impacts on each post, spotlighting the greatest failure ratio with red bars for each row across various types of I-beam barriers. For instance, Figure 17 showcases that the post of AFN8 in the front row has the greatest failure ratio with a value of 5.57%, whereas for the back row, it stands at 5.76% for the post of ABN8, thus signifying the weakest post within the type A barrier as ABN8. Likewise, Figure 19, Figure 20 and Figure 21 indicate that the posts of CFN3 for the type C barrier, DFN6 for the type D barrier, and EFN9 for the type E barrier emerge as the weakest links within their respective protective systems, registering failure ratio values of 6.88%, 7.62%, and 5.14%, respectively. Notably, the simulation results revealed a single weakest post for each type of barrier except for type B, where Figure 18 illustrates multiple weakest posts. These include the posts of BFN7 and BFN9 in the front row and BDN4 and BDN6 in the 45-degree bevelled row, all sharing the same failure ratio value of 5.14%.
Figure 17.
The failure ratio of each test for type A barrier.
Figure 18.
The failure ratio of each test for type B barrier.
Figure 19.
The failure ratio of each test for type C barrier.
Figure 20.
The failure ratio of each test for type D barrier.
Figure 21.
The failure ratio of each test for type E barrier.
A systematic simulation was conducted to further compare the performance of each type of I-beam protective system, as depicted in Figure 22. The findings indicated that type B and type E barriers exhibit the lowest maximum failure ratios compared to the other three types of barriers, both showing a value of 5.14%. However, considering the stochastic nature of boulder impacts in real-world scenarios, a higher number of weak points within a barrier implies an increased likelihood of boulders striking these points, thereby heightening the risk of structural failure. In light of this, while type B appears to have the same lowest maximum failure ratio as type E barrier, the latter appears to have fewer weak points, demonstrating its superior performance among the four types of barriers in the simulation tests.
Figure 22.
Comparison of the maximum failure ratio for five types of I-beam barriers.
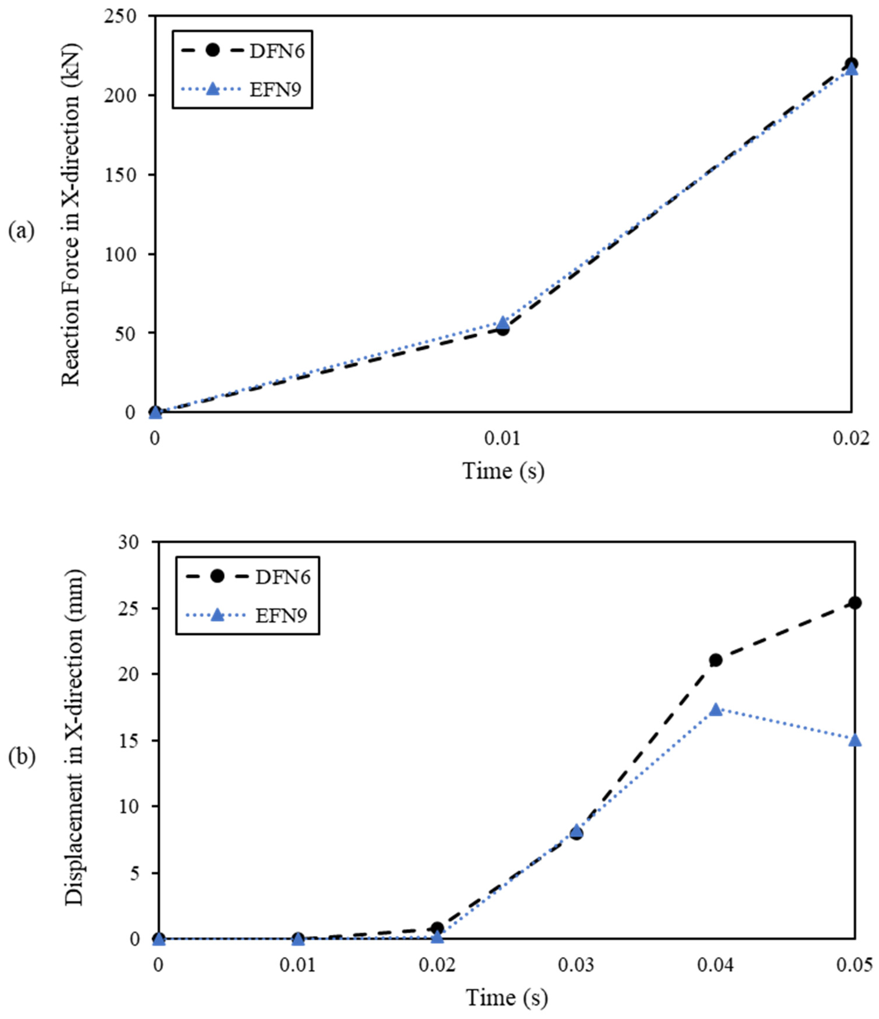
Additionally, the type D barrier exhibits the highest maximum failure ratio of 7.62%, as observed in case DFN6. However, despite employing the same type of post and flange beams, the type E barrier demonstrates a lower maximum ratio compared to the type D barrier, as seen in case EFN9. Figure 23 presents a comparison of the variation in reaction force and displacement in the x-direction between these two cases over the simulation time. The reaction force and displacement data were collected from the bottom and the top of the post, respectively. In Figure 23a, it can be observed that the reaction forces in the x-direction for both cases peaked at approximately 220 kN at 0.02 s. However, as depicted in Figure 23b, the maximum displacement in the x-direction for case DFN6 surpassed that of case EFN9, measuring 25.5 mm at 0.05 s and 17.4 mm at 0.04 s, respectively.
Figure 23.
Comparison of the reaction force and displacement in X-direction between the I-beams DFN6 and EFN9; (a) variations in reaction force with simulation time; (b) variations in displacement with simulation time.
Table 4 and Table 5 offer insights into potential explanations for the low failure ratio observed in type E I-beam posts, pointing towards factors such as beam thickness and structural design characteristics. These features may enhance the ability of these posts to withstand boulder impacts and effectively distribute resultant forces. Furthermore, considerations such as the arrangement of supporting flanges, the number of I-beam posts, and the materials utilised may also contribute to the resilience of such a type of barrier against debris materials.
The findings of this study have significant implications for the design and implementation of such protective barriers against boulder impacts, particularly in regions prone to debris flow hazards. By identifying the weakest posts in various types of I-beam barriers, the study offers insights to enhance the structural integrity and reliability of these systems. The demonstrated superior performance of type E barriers, attributed to factors such as beam thickness and structural design characteristics, underscores the importance of meticulous design considerations in improving the resilience of protective structures. However, the performance assessment of I-beam post barriers for debris mitigation is a multifaceted endeavour that requires a thorough understanding of structural mechanics, site-specific factors, and dynamic interactions between debris and protective systems. While type E I-beam posts demonstrate promising performance based on the simulation results, it is essential to acknowledge the limitations of the study and identify areas for future research. The simulation provides valuable insights; however, it is based on specific site conditions and may not fully capture the variability of debris materials in debris flow events. Additionally, the model’s assumptions and simplifications may influence the accuracy of the results. Comparative analyses of various barrier designs and their performance under different environmental conditions could provide valuable guidance for policymakers and engineers tasked with mitigating debris flow risks.
The applicability of the simulation model to different geographical and site conditions depends on several factors. While the fundamental principles governing boulder impacts are generally applicable, variations in terrain features, debris material properties, and climatic variables such as rainfall patterns and precipitation rates can significantly influence barrier performance. For instance, regions characterised by steep terrain or frequent heavy rainfall may face more frequent and intense debris flows, necessitating adjustments in barrier design and material choices. Furthermore, the model’s effectiveness across diverse environments hinges on its adaptation to local environmental dynamics. This includes adjusting assumptions about boulder size, velocity, impact height, and angles to accurately reflect regional conditions. The case study presented indicates a procedure that can be readily used in assessing barrier performance based on additional locations, which is an expected focus of future research.
4. Conclusions
Assessing the performance of protective structures for debris flow and landslide mitigation presents several challenges. These challenges are crucial to address, as they directly impact the effectiveness and reliability of these structures in real-world scenarios. This research provides a procedure for evaluating the performance of protective structures against debris materials, incorporating numerical modelling on the basis of field data collection for the existing I-beam post structures along the Hobart Rivulet. Along the rivulet, five types of I-beam mitigation systems have been installed, which vary in I-beam post heights, flange lengths, number of posts and flanges, beam classification, and configuration, thereby leading to the categorisation of barriers into type A, B, C, D, and E. In this study, a three-dimensional CEL model tailored to the specific area of the Hobart Rivulet was established to estimate the boulder velocity after impact with debris flow. The accuracy and reliability of the CEL model were demonstrated through the replication of experimental debris scenarios. Subsequently, a numerical model was developed to analyse the interaction between boulder and I-beam posts through a comparative study to evaluate the performance of the five different types of I-beam mitigation systems. The following conclusions were drawn:
- To validate the CEL model, the Bingham model was employed to simulate experimental debris flow tests as conducted by Ng et al. [44]. The simulation results, encompassing impact force and velocities of the debris front and first arrival boulder, exhibited a good agreement with the experimental data. These findings affirm that the CEL model can effectively provide precise estimations of boulder velocities post impact with debris flow;
- Analysis of simulation tests conducted with various boulder sizes on the Hobart Rivulet terrain revealed that larger boulders exhibit slower velocities and longer travel durations compared to smaller boulders due to their greater mass. Fluctuations in velocity patterns across various boulder sizes highlight the influence of irregular terrain surfaces on boulder dynamics. Notably, the initial contact between the flow and the boulder significantly affects velocity and travel time, with smaller boulders experiencing higher accelerations upon impact;
- The assessment of I-beam post efficacy against boulder impacts introduces a critical metric, the failure ratio, which quantifies the proportion of elements within the barrier that fail during impact. Based on systematic simulation and analysis, the results highlight the weakest posts within each type of I-beam barrier, underscoring the importance of identifying vulnerabilities in protective systems. While type B and type E barriers exhibit the lowest maximum failure ratios with a value of 5.14%, type E barriers demonstrate a fewer number of weakest posts, suggesting superior resilience compared to the other four types of barriers in simulation tests. Factors such as beam thickness, design characteristics, arrangement of supporting flanges, and material properties contribute to the efficacy of type E barriers. Nonetheless, it is constrained by specific site conditions and simplifications, highlighting the need for future research to refine models and consider diverse environmental factors.
In conclusion, this research seeks to contribute to the body of knowledge surrounding debris flow risk mitigation in Tasmania, emphasising the significance of understanding past occurrences and assessing current protective structures. The findings from this study provide valuable insights that will aid in the development of effective strategies for mitigating the impacts of debris flows in Hobart, Tasmania. To enhance the effectiveness of protective structures against debris flows, future research should focus on refining numerical models to account for diverse environmental conditions and site-specific factors. Expanding field data collection and numerical testing across various terrains and debris flow scenarios will improve model accuracy and reliability. Investigating the influence of different boulder sizes and shapes as well as more complex terrain interactions will provide deeper insights into boulder dynamics. For practical applications, it is recommended to prioritise the development and testing of type E barriers due to their demonstrated resilience while also exploring advanced materials and design innovations to further reduce failure ratios.
Author Contributions
Conceptualisation, S.S., A.P.D., G.K. and A.T.; methodology, S.S., A.P.D., G.K. and A.T.; software, A.T.; validation, S.S.; formal analysis, S.S.; investigation, S.S., A.P.D., G.K. and A.T.; resources, A.T.; data curation, S.S.; writing—original draft preparation, S.S.; writing—review and editing, S.S., A.P.D., G.K. and A.T.; visualisation, S.S.; supervision, A.P.D., G.K. and A.T.; project administration, A.P.D., G.K. and A.T.; funding acquisition, A.T. All authors have read and agreed to the published version of the manuscript.
Funding
Financial support for this research has been provided by the Natural Disaster Risk Reduction Grants Program (NDRRGP) as part of the Australian Government National Disaster Risk Reduction Framework (NDRRF) and the Tasmanian Government Disaster Resilience Strategy, in partnership with the Tasmanian State Emergency Services (TSES). The first author is funded by the Australian Government Research Training Program (RTP).
Data Availability Statement
Specific data can be provided on request by the corresponding author.
Conflicts of Interest
The authors declare no conflict of interest.
References
- Thouret, J.-C.; Antoine, S.; Magill, C.; Ollier, C. Lahars and debris flows: Characteristics and impacts. Earth Sci. Rev. 2020, 201, 103003. [Google Scholar] [CrossRef]
- Volkwein, A.; Schellenberg, K.; Labiouse, V.; Agliardi, F.; Berger, F.; Bourrier, F.; Dorren, L.K.; Gerber, W.; Jaboyedoff, M. Rockfall characterisation and structural protection—A review. Nat. Hazards Earth Syst. Sci. 2011, 11, 2617–2651. [Google Scholar] [CrossRef]
- Li, X.; Zhao, J.; Kwan, J.S. Assessing debris flow impact on flexible ring net barrier: A coupled CFD-DEM study. Comput. Geotech. 2020, 128, 103850. [Google Scholar] [CrossRef]
- Kefayati, G.; Tolooiyan, A.; Dyson, A.P. Finite difference lattice Boltzmann method for modeling dam break debris flows. Phys. Fluids 2023, 35, 013102. [Google Scholar] [CrossRef]
- Ramachandran, V. Failure Analysis of Engineering Structures: Methodology and Case Histories; ASM International: Almere, The Netherlands, 2005. [Google Scholar]
- Li, X.P.; Yan, Q.W.; Zhao, S.X.; Luo, Y.; Wu, Y.; Wang, D.P. Investigation of influence of baffles on landslide debris mobility by 3D material point method. Landslides 2020, 17, 1129–1143. [Google Scholar] [CrossRef]
- Ng, C.W.W.; Wang, C.; Choi, C.E.; De Silva, W.; Poudyal, S. Effects of barrier deformability on load reduction and energy dissipation of granular flow impact. Comput. Geotech. 2020, 121, 103445. [Google Scholar] [CrossRef]
- Shi, H.; Huang, Y.; Feng, D.L. Numerical investigation on the role of check dams with bottom outlets in debris flow mobility by 2D SPH. Sci. Rep. 2022, 12, 20456. [Google Scholar] [CrossRef]
- Chen, H.X.; Li, J.; Feng, S.J.; Gao, H.Y.; Zhang, D.M. Simulation of interactions between debris flow and check dams on three-dimensional terrain. Eng. Geol. 2019, 251, 48–62. [Google Scholar] [CrossRef]
- Shen, W.; Li, T.L.; Li, P.; Lei, Y.L. Numerical assessment for the efficiencies of check dams in debris flow gullies: A case study. Comput. Geotech. 2020, 122, 103541. [Google Scholar] [CrossRef]
- Si, G.W.; Chen, X.Q.; Chen, J.G.; Tang, J.B.; Zhao, W.Y.; Jin, K. The Impact Force of Large Boulders with Irregular Shape in Flash Flood and Debris Flow. KSCE J. Civ. Eng. 2022, 26, 4276–4289. [Google Scholar] [CrossRef]
- Sha, S.; Dyson, A.P.; Kefayati, G.; Tolooiyan, A. An Equivalent Stiffness Flexible Barrier for Protection against Boulders Transported by Debris Flow. Int. J. Civ. Eng. 2023, 22, 705–722. [Google Scholar] [CrossRef]
- Jakob, M.; McDougall, S.; Weatherly, H.; Ripley, N. Debris-flow simulations on cheekye river, british columbia. Landslides 2013, 10, 685–699. [Google Scholar] [CrossRef]
- Luo, G.; Zhao, Y.; Shen, W.; Wu, M. Dynamics of bouldery debris flow impacting onto rigid barrier by a coupled SPH-DEM-FEM method. Comput. Geotech. 2022, 150, 104936. [Google Scholar] [CrossRef]
- Liang, Z.; Choi, C.E.; Zhao, Y.; Jiang, Y.; Choo, J. Revealing the role of forests in the mobility of geophysical flows. Comput. Geotech. 2023, 155, 105194. [Google Scholar] [CrossRef]
- Han, Z.; Su, B.; Li, Y.G.; Wang, W.; Wang, W.D.; Huang, J.L.; Chen, G.Q. Numerical simulation of debris-flow behavior based on the SPH method incorporating the Herschel-Bulkley-Papanastasiou rheology model. Eng. Geol. 2019, 255, 26–36. [Google Scholar] [CrossRef]
- Liu, C.; Yu, Z.; Zhao, S. A coupled SPH-DEM-FEM model for fluid-particle-structure interaction and a case study of Wenjia gully debris flow impact estimation. Landslides 2021, 18, 2403–2425. [Google Scholar] [CrossRef]
- Guo, J.; Cui, Y.F.; Xu, W.J.; Yin, Y.Z.; Li, Y.; Jin, W. Numerical investigation of the landslide-debris flow transformation process considering topographic and entrainment effects: A case study. Landslides 2022, 19, 773–788. [Google Scholar] [CrossRef]
- Zhao, L.; He, J.W.; Yu, Z.X.; Liu, Y.P.; Zhou, Z.H.; Chan, S.L. Coupled numerical simulation of a flexible barrier impacted by debris flow with boulders in front. Landslides 2020, 17, 2723–2736. [Google Scholar] [CrossRef]
- Chehade, R.; Chevalier, B.; Dedecker, F.; Breul, P.; Thouret, J.-C. Effect of Boulder Size on Debris Flow Impact Pressure Using a CFD-DEM Numerical Model. Geosciences 2022, 12, 188. [Google Scholar] [CrossRef]
- Sha, S.; Dyson, A.P.; Kefayati, G.; Tolooiyan, A. Modelling of debris flow-boulder-barrier interactions using the Coupled Eulerian Lagrangian method. Appl. Math. Modell. 2024, 127, 143–171. [Google Scholar] [CrossRef]
- Mazengarb, C.; Rigby, T.; Stevenson, M. Geological Survey Technical Report 37: Kunanyi/Mount Wellington Debris Flow Susceptibility and Hazard Assessment; Mineral Resources Tasmania: Rosny Park, Australia, 2023. Available online: https://www.mrt.tas.gov.au/mrtdoc/dominfo/download/TR37/ (accessed on 22 July 2024).
- Stevenson, M.; Mazengarb, C.; Woolley, R. Historical Assessment of the 1872 Glenorchy Debris Flow: A Basis for Modelling the Large Debris Flow Hazard from the Wellington Range, Hobart; Mineral Resources Tasmania: Rosny Park, Australia, 2016. Available online: https://www.researchgate.net/publication/297549846 (accessed on 22 July 2024).
- Kain, C.L.; Rigby, E.H.; Mazengarb, C. A combined morphometric, sedimentary, GIS and modelling analysis of flooding and debris flow hazard on a composite alluvial fan, Caveside, Tasmania. Sediment. Geol. 2018, 364, 286–301. [Google Scholar] [CrossRef]
- Chen, X.Y.; Zhang, L.L.; Chen, L.H.; Li, X.; Liu, D.S. Slope stability analysis based on the Coupled Eulerian-Lagrangian finite element method. Bull. Eng. Geol. Environ. 2019, 78, 4451–4463. [Google Scholar] [CrossRef]
- Lin, C.H.; Hung, C.; Hsu, T.Y. Investigations of granular material behaviors using coupled Eulerian-Lagrangian technique: From granular collapse to fluid-structure interaction. Comput. Geotech. 2020, 121, 103485. [Google Scholar] [CrossRef]
- Tatnell, L.; Dyson, A.P.; Tolooiyan, A. Coupled Eulerian-Lagrangian simulation of a modified direct shear apparatus for the measurement of residual shear strengths. J. Rock Mech. Geotech. Eng. 2021, 13, 1113–1123. [Google Scholar] [CrossRef]
- Sha, S.; Dyson, A.P.; Kefayati, G.; Tolooiyan, A. Simulation of debris flow-barrier interaction using the smoothed particle hydrodynamics and coupled Eulerian Lagrangian methods. Finite Elem. Anal. Des. 2023, 214, 103864. [Google Scholar] [CrossRef]
- Wang, P.Y.; Lian, C.C.; Yue, C.X.; Wu, X.Y.; Zhang, J.M.; Zhang, K.; Yue, Z.F. Experimental and numerical study of tire debris impact on fuel tank cover based on coupled Eulerian-Lagrangian method. Int. J. Impact Eng. 2021, 157, 103968. [Google Scholar] [CrossRef]
- Major Incidents Report 2017–18, Australian Institute for Disaster Resilience, Australian Institute for Disaster Resilience. 2018. Available online: https://knowledge.aidr.org.au/media/6196/major-incidents-report-1718.pdf (accessed on 22 July 2024).
- Mazengarb, C.; Stevenson, M. Tasmanian Landslide Map Series: User Guide and Technical Methodology; Tasmanian Geological Survey; Mineral Resources Tasmania: Rosny Park, Australia, 2010. Available online: https://www.stategrowth.tas.gov.au/mrt/geoscience/engineering_geology/geological_hazards_in_tasmania/landslides/maps/tasmanian_landslide_map_series_user_guide_and_technical_methodology (accessed on 22 July 2024).
- Leonardi, A.; Pirulli, M. Analysis of the load exerted by debris flows on filter barriers: Comparison between numerical results and field measurements. Comput. Geotech. 2020, 118, 103311. [Google Scholar] [CrossRef]
- Yang, E.; Bui, H.H.; Nguyen, G.D.; Choi, C.E.; Ng, C.W.; De Sterck, H.; Bouazza, A. Numerical investigation of the mechanism of granular flow impact on rigid control structures. Acta Geotech. 2021, 16, 2505–2527. [Google Scholar] [CrossRef]
- Kang, D.H.; Hong, M.; Jeong, S. A simplified depth-averaged debris flow model with Herschel-Bulkley rheology for tracking density evolution: A finite volume formulation. Bull. Eng. Geol. Environ. 2021, 80, 5331–5346. [Google Scholar] [CrossRef]
- Chen, Y.; Zhang, L.; Wei, X.; Jiang, M.; Liao, C.; Kou, H. Simulation of runout behavior of submarine debris flows over regional natural terrain considering material softening. Mar. Georesour. Geotechnol. 2023, 41, 175–194. [Google Scholar] [CrossRef]
- Huang, Y.; Zhu, C. Simulation of flow slides in municipal solid waste dumps using a modified MPS method. Nat. Hazards 2014, 74, 491–508. [Google Scholar] [CrossRef]
- Zhu, C.; Huang, Y.; Zhan, L.-T. SPH-based simulation of flow process of a landslide at Hongao landfill in China. Nat. Hazards 2018, 93, 1113–1126. [Google Scholar] [CrossRef]
- Hussin, H.; Quan Luna, B.; Van Westen, C.; Christen, M.; Malet, J.-P.; Van Asch, T.W. Parameterization of a numerical 2-D debris flow model with entrainment: A case study of the Faucon catchment, Southern French Alps. Nat. Hazards Earth Syst. Sci. 2012, 12, 3075–3090. [Google Scholar] [CrossRef]
- Tang, J.; Cui, P.; Wang, H.; Li, Y. A numerical model of debris flows with the Voellmy model over a real terrain. Landslides 2023, 20, 719–734. [Google Scholar] [CrossRef]
- Kafle, J.; Kattel, P.; Mergili, M.; Fischer, J.-T.; Pudasaini, S.P. Dynamic response of submarine obstacles to two-phase landslide and tsunami impact on reservoirs. Acta Mech. 2019, 230, 3143–3169. [Google Scholar] [CrossRef]
- Zhu, C.; Huang, Y.; Sun, J. A granular energy-controlled boundary condition for discrete element simulations of granular flows on erodible surfaces. Comput. Geotech. 2023, 154, 105115. [Google Scholar] [CrossRef]
- Wang, F.; Wang, J.D.; Chen, X.Q.; Zhang, S.X.; Qiu, H.J.; Lou, C.Y. Numerical Simulation of Boulder Fluid–Solid Coupling in Debris Flow: A Case Study in Zhouqu County, Gansu Province, China. Water 2022, 14, 3884. [Google Scholar] [CrossRef]
- Dai, Z.L.; Huang, Y.; Cheng, H.L.; Xu, Q. 3D numerical modeling using smoothed particle hydrodynamics of flow-like landslide propagation triggered by the 2008 Wenchuan earthquake. Eng. Geol. 2014, 180, 21–33. [Google Scholar] [CrossRef]
- Ng, C.W.; Liu, H.; Choi, C.E.; Kwan, J.S.; Pun, W.K. Impact dynamics of boulder-enriched debris flow on a rigid barrier. J. Geotech. Geoenviron. Eng. 2021, 147, 04021004. [Google Scholar] [CrossRef]
- Kwan, J. Supplementary Technical Guidance on Design of Rigid Debris-Resisting Barriers; GEO Report; Geotechnical Engineering Office, HKSAR: Hong Kong, China, 2012; Volume 270.
- Song, D.; Choi, C.E.; Ng, C.W.W.; Zhou, G.G.; Kwan, J.S.; Sze, H.; Zheng, Y. Load-attenuation mechanisms of flexible barrier subjected to bouldery debris flow impact. Landslides 2019, 16, 2321–2334. [Google Scholar] [CrossRef]
- Wendeler, C.; Volkwein, A.; McArdell, B.W.; Bartelt, P. Load model for designing flexible steel barriers for debris flow mitigation. Can. Geotech. J. 2019, 56, 893–910. [Google Scholar] [CrossRef]
- Papathoma Köhle, M.; Gems, B.; Sturm, M.; Fuchs, S. Matrices, curves and indicators: A review of approaches to assess physical vulnerability to debris flows. Earth Sci. Rev. 2017, 171, 272–288. [Google Scholar] [CrossRef]
- Cui, Y.F.; Choi, C.E.; Liu, L.H.; Ng, C.W. Effects of particle size of mono-disperse granular flows impacting a rigid barrier. Nat. Hazards 2018, 91, 1179–1201. [Google Scholar] [CrossRef]
- Mazengarb, C.; Stevenso, M.D.; Knight, K. The Mt Wellington rock fall event of 8 July 2014 described: With implications for regional scale rock fall modelling in Tasmania. In Tasmanian Geological Survey Record 2015/02; Mineral Resources Tasmania: Rosny Park, Australia, 2015. Available online: https://www.researchgate.net/publication/297549847 (accessed on 22 July 2024).
- Australian Steel Institution. AS/NZS 3679. 1: 2016 Structural Steel. Part 1: Hot-Rolled Bars and Sections; Standards Australia: Sydney, Australia, 2015; Available online: https://www.steel.org.au/resources/elibrary/library/as-nzs-3679-1-2016-structural-steel-part-1-hot-rolled-bars-and-sections/ (accessed on 22 July 2024).
- ABAQUS. Abaqus Analysis User’s Guide, Version 6.14; Dassault Systèmes Simulia Corp.: Providence, RI, USA, 2014; Available online: http://62.108.178.35:2080/v6.14/books/usb/default.htm (accessed on 22 July 2024).
Disclaimer/Publisher’s Note: The statements, opinions and data contained in all publications are solely those of the individual author(s) and contributor(s) and not of MDPI and/or the editor(s). MDPI and/or the editor(s) disclaim responsibility for any injury to people or property resulting from any ideas, methods, instructions or products referred to in the content. |
© 2024 by the authors. Licensee MDPI, Basel, Switzerland. This article is an open access article distributed under the terms and conditions of the Creative Commons Attribution (CC BY) license (https://creativecommons.org/licenses/by/4.0/).

























