Next Article in Journal
On the Impact of Geospace Weather on the Occurrence of M7.8/M7.5 Earthquakes on 6 February 2023 (Turkey), Possibly Associated with the Geomagnetic Storm of 7 November 2022
Next Article in Special Issue
Seismotectonic Setting of the Andes along the Nazca Ridge Subduction Transect: New Insights from Thermal and Finite Element Modelling
Previous Article in Journal
Dipping Tidal Notch (DTN): Exposed vs. Sheltered Morphometry
Previous Article in Special Issue
Correction Factors to Account for Seismic Directionality Effects: Case Study of the Costa Rican Strong Motion Database
 
 
Font Type:
Arial Georgia Verdana
Font Size:
Aa Aa Aa
Line Spacing:
Column Width:
Background:
Article

Conservative Evaluation of Fault Displacement Hazard for a Nuclear Site in Case of Insufficient Data on the Fault Activity

by
Tamás János Katona
Faculty of Engineering and Information Technology, University of Pécs, 7622 Pécs, Hungary
Geosciences 2024, 14(6), 158; https://doi.org/10.3390/geosciences14060158
Submission received: 11 April 2024 / Revised: 24 May 2024 / Accepted: 4 June 2024 / Published: 7 June 2024
(This article belongs to the Special Issue New Trends in Earthquake Engineering and Seismotectonics)

Abstract

The safety regulations require periodic reviews of the site hazards when operating nuclear power plants. If any indications of Quaternary fault activity are revealed, the fault displacement hazard should be evaluated. Signs of paleo-liquefaction were recently found at the nuclear site of Paks, Hungary, indicating the late-Pleistocene activity of the fault crossing the site. Except for this, there are no historical or instrumental records of earthquakes at the fault, and the micro-seismic and GPS monitoring results do not indicate activity either. Despite a thorough site investigation of over 40 years, the indications are uncertain and insufficient for defining the fault activity, as required for a probabilistic fault displacement hazard analysis. This paper develops and applies a simplified conservative hazard evaluation method of average fault displacement that allows an in-time decision regarding the safety relevance of the hazard. Geometrical simplification is possible since the fault crosses the site. The fault’s activity is evaluated using magnitude–frequency relations of the area sources developed for probabilistic seismic hazard analysis. The total probability theorem is applied, and different strike-slip fault scaling relations are considered while calculating the probability of non-zero surface displacement, fault rupture length, and average displacement. The fault displacement hazard curve is defined and compared with earlier studies for the same site. Since the late recognition of active faults cannot be excluded at several operating plant sites, the methodology can be applied in the future beyond a single application for the Paks site in Hungary.

1. Introduction

Natural hazards at operating nuclear power plant sites should be regularly reviewed to account for operational experiences and new scientific evidence. The novel scientific evidence on the hazard phenomena could radically differ from the hazard characterisation considered in nuclear power plants’ design and may question plant safety. For example, there are cases where the faults near or at nuclear sites of operating power plants are revealed to be active in the recent tectonic regime. The first examples of the closure of a plant because of the discovery of an active fault were the Vallecitos BWR (1977) and the Humboldt Bay BWR (1979) in the U.S. [1]. Operation of the Tsuruga 2 Nuclear Power Plant [2] has been suspended since 2011 because the activity and capability of the fault beneath the site have yet to be cleared. At Paks Nuclear Power Plant, Hungary, the fault displacement hazard should be evaluated for faults at the site, the Quaternary reactivation of which was revealed recently [3]. This should be performed according to the International Atomic Energy Agency’s (IAEA) SSR-1 [4] requirements and safety guide SSG-9 [5]. The question to be answered is whether the hazard can be neglected based on the “principle of practical elimination”, as defined by the IAEA SSR-2/1 [6] requirements and by the WENRA guidance [7]. This means that either the annual probability of non-zero surface displacement should be on the order of magnitude of 10−7/a, or the measure of the surface displacement at the 10−7/a hazard level should be insignificant from the point of view of plant safety. The rule of thumb for the safety significance is that a 0.1 m displacement at a 10−7/a level should not challenge the plant safety [8,9]. If the hazard cannot be screened out this way, the plant’s safety should be justified, which is required to continue operations. The plant’s response to the ground displacement should be analysed using probabilistic safety analysis to determine the consequences of the fault displacements [10]. If the safety cannot be justified, the operation should be terminated, since implementing protective measures is practically impossible in operating nuclear power plants. However, the new foundation design concepts against fault displacements and lifeline protective materials could be implemented in advanced small reactor designs, e.g., [11,12].
The procedure for probabilistic fault displacement hazard analysis was set by Youngs et al. in [13] and by the standard ANSI-ANS-2.30-2015 [14]. Guidance is provided by the IAEA TECDOC-1987 [15]. There are two basic options for characterising the fault displacement hazard for a site: displacement-based and earthquake-based approaches. The latter applies the logic of the probabilistic seismic hazard analysis. In particular, for the strike-slip fault, a methodology has been developed in [16,17]. A comprehensive study on strike-slip fault displacement modelling has been recently published in [18]. The method provides the annual rate at which the displacement d on the fault exceeds a specified amount of D at the site, based on the earthquake rate at the fault, α m . For the characterisation of displacement hazard, the probability that the surface rupture will be non-zero and the probability that the surface scarp of fault rupture will hit the site should be calculated. The conditional probability that the surface displacement will exceed a given value should be evaluated according to the magnitude and position of the rupture relative to the fault and the site. Naturally, the empirical certainty for all these probabilities is insufficient. The epistemic uncertainty is usually treated via expert elicitation and the logic tree method.
For a consequent application of the probabilistic fault displacement methodology—as proposed by the International Atomic Energy Agency’s safety guide SSG-9 [5] and the IAEA TECDOC-1987 [15] and shown by the case studies published (see, e.g., the International Atomic Energy Agency (IAEA) benchmark study [19] and Krško site in Slovenia [20])—essential empirical data are needed first of all, including the fault geometry, activity, slip-rate etc. The IAEA benchmark study [19] was performed for a site in Japan, where sufficient information was available regarding faults and their activity. The Krško study [20] is a more relevant example for the Paks site since the Krško site is in the border region of the Pannonian Basin, in the centre of which lies the Paks site. In the Krško study, uncertainties in the lengths of faults, their slip rates and maximum magnitudes, and the models used to predict on-fault and off-fault displacement were assessed and included in the logic tree. The slip rates were evaluated based on the age and offset of marker horizons. The logic tree framework was used to represent the fault slip rates and their uncertainties. The maximum magnitudes were calculated using an empirical formula based on the rupture length and area.
In the case of the Paks site in Hungary, the possibility of the Quaternary reactivation of the faults at the site and in its vicinity has been disputed for nearly 100 years. In 2016, full-scope site investigations were performed for a new plant at the same site, including accurate mapping of the faults, extensive paleo-seismic investigations, and trenching over the mapped fault that crosses the site. The trenching at the site area provided evidence for some liquefaction-induced ground failure of the soil profile, which happened about 20 ka ago and was repeated with a time gap of about 1 ka [21,22]. Unfortunately, this information is insufficient for quantitatively evaluating fault activity. Moreover, there are no recorded historical or instrumental earthquakes around the site. Despite this, according to nuclear regulations, one objection to a surface displacement already obliges the evaluation of the fault displacement hazard. If needed, safety should be justified for consequences of surface displacement, and if it is required, safety measures should be taken without delay (Delaying safety improvement action led to the tragedy of the Fukushima Daichi Plant [23]). This motivates the development and application of methods for hazard evaluation, which compensate for the insufficiency of empirical data via conservative engineering assumptions and allow proper and in-time decisions in favour of safety.
If the available data do not allow a consequent fault displacement hazard analysis, the IAEA SSG-9 (Rev. 1) [5] para 4.20 guidance could be advised. According to this, for those seismic sources for which few earthquakes are registered in the compiled geological and seismological databases, the regional seismic source’s parameters could be used to define coefficients a and b in the magnitude–frequency relationship. Interpreting this advice, in the studies [3,24], a simplified conservative fault displacement hazard evaluation method was developed utilising the hazard disaggregation of the probabilistic seismic hazard analysis (PSHA) performed for the Paks site.
Other efforts have been made to develop simplified methods to evaluate fault displacement. In [25,26], a probabilistic fault displacement hazard evaluation methodology was developed for the fault crossing a lifeline.
This paper develops and applies a method for conservatively evaluating the average principal fault surface displacement for the Paks site in Hungary. The fault’s activity is assessed based on the activity of area sources in the PSHA modelling, to compensate for data insufficiency. Contrary to the Krško study [20], this approach is more appropriate since the options for the maximum magnitude of the fault are data-based and evaluated using earthquake records. Since the faults are accurately mapped, the uncertainty of the fault is neglected. For example, in [25,26], it is accounted for that the study fault crosses the site. However, contrary to [25,26], a uniform distribution of the rupture along the fault is assumed, and the dependence of the displacement on the relative position of the rupture to the site does not need to be considered. The total probability theorem in the study is used for the non-zero surface displacement and the mean annual probability of exceedance for average displacement. The hazard curve obtained by the newly proposed method is compared to those calculated earlier for the same site and fault [3].

2. Tectonic and Seismological Information for Surface Displacement Hazard Evaluation

In the case of the Paks site in Hungary, the possibility of the Quaternary reactivation of strike-slip faults at the site was disputed for nearly 100 years. The faults were mapped based on 2D and 3D seismic surveys. The fault traces are shown in Figure 1a (see also in [3,21,22]). The S-W end of the fault F_II_N crosses the site, and F_II_S is close to the site. The trenching at the site area provided evidence for some liquefaction-induced ground failure of the soil profile, which happened about 20 ka ago and was repeated with a time gap of about 1 ka. The earthquake’s environmental effects were interpreted here using IAEA TECDOC-1767 [27]. Reconstituting the late Pleistocene geotechnical conditions, these paleo-liquefaction manifestations indicate magnitudes of 4 < Mw < 5; see [28]. Surface displacements should not be observed since the displacements were accommodated within thick, loose sediments near the surface. Based on the environmental effects of earthquakes found in the trenching, the faults F_II_N and F_II_S, which are part of the Dunaszentgyörgy–Harta fault zone, were concluded to have been reactivated in the Quaternary period. Paleoseismic investigations in the near regional area (≈25 km in radius) showed similar environmental effects of Quaternary activity. For the completeness of the picture, there are no historical or instrumental records of earthquakes in the site vicinity area; see Figure 1b. The micro-seismic monitoring, which has been running for 30 years, does not indicate activity, and the GPS monitoring does not show a deformation tendency either. The basic information on the geology, neotectonics, and seismicity of the mid-Pannonian region and the site vicinity area is given in [3,21,22,24,29]. The mapped lengths of these faults (LF) are 26.85 and 27.9 km, respectively. According to the site investigations, the depth and thickness of the seismogenic layer are approximately 12.5 km and 9 km, respectively. The entire area is covered by Pannonian and Quaternary sediments.
According to our concept, the PSHA modelling will be used to characterise fault activity. The seismotectonic modelling for the probabilistic seismic hazard analysis has a 40-year history, starting with seismic hazard re-evaluation in the mid-1980s, updates made in the frame of periodic safety reviews in 1997, 2007, and 2017, and the post-Fukushima stress test in 2011. A full-scope site investigation was completed in 2016 for a new nuclear power plant at the same site. Three models of area sources were composed in the PSHA [3,30]. The models cover the area from the Adria and Balkan, extending east to the Vrancea regions. The parameters of the area sources considered are shown in Table 1.
The M1 model was formed by Hungarian experts, and the SHARE model is based on international research efforts [31]. The third model is the modified SHARE model, where SHARE zone-04 is split by the Hungarian experts into zones 04A and 04B to better account for the mid-Hungarian fault system. This is based on the newest interpretation of the neotectonics of the Pannonian Basin [21,29], and on the experience of seismotectonic modelling [30].
For the characterisation of the site vicinity faults, those area sources that include the site were considered.
The activity of each area source is defined by the maximum magnitude Mu, the total annual rate of earthquakes λ M 0 , and the slope of the magnitude–frequency distribution β = b l n 10 estimated by four different methods: Least_Squares_variable_b, Least_Squares_fixed_b, Max_Likelihood_variable_b, and Max_Likelihood_fixed_b.
Based on the earthquake data, the maximum magnitude Mu, the total annual rate of earthquakes λ M 0 , and the slope of the magnitude–frequency distribution β = b l n 10 were also defined for the area covering the Pannonian Basin (45.5–49.0 N 16.0–23.0 E, 206,117 km2) and for the site vicinity area 31,400 km2); see Table 2.
In total, 18 options can be considered for evaluation of the fault activity. This seems more convincing compared to development of the fault parameters via scaling relationships and the use of fault length and area as inputs, as was performed in [20]. Nevertheless, a similar cross-check was also made for the studied fault since the accurately mapped fault length and the knowledge of the seismogenic layers’ thicknesses allow us to assess the maximum magnitude assuming a rupture along the entire length of the fault.
Assuming the maximum rupture length is equal to the mapped length of the fault, the maximum magnitude can be calculated, for example, by the empirical formulas published in [32,33,34,35]. All these formulas have the same form:
M w = a + b × log R L R L = 10 M w a b
Parameters a and b differ slightly as defined by different authors. For example, in [31], the values a = 4.25 and b = 1.667 are suggested for the stable continental region and strike-slip faults. Using these parameters, the length R L 28   k m corresponds to Mw = 6.7. Using the parameters of other authors, the bounding value of Mw ≤ 6.7 is obtained for maximum magnitude.
The maximum possible rupture area could be A ≅ 240 km2. Using the “rupture area—magnitude” correlations of [33] or [36], the maximum possible rupture area indicates a magnitude Mw ≤ 6.4 for both the F_II_N and F_II_S faults.
The maximum magnitudes in Table 1 and Table 2 could be considered realistic estimations for the maximum magnitude of the fault at the site.
For further consideration, the magnitude–frequency curves are plotted in Figure 2.

3. The Methodology

3.1. Basic Assumptions

As in [25], the considerations start with the basic equation for the mean annual frequency that the fault displacement d at the site will exceed D, λ ( d D ) :
λ ( d D ) = λ ( M 0 ) M 0 M u p ( m ) 0 p r m P d > D m , r d r d m
where λ M 0 is the annual rate of earthquakes above a minimum magnitude (M0) of engineering significance, p ( m ) is the probability density of earthquake magnitudes that the fault can produce, M u is the maximum possible magnitude, p r m is the conditional probability density of the distance to the site conditioned upon magnitude, and P d > D m , r is the conditional probability that, given an earthquake of magnitude m on the fault and at a distance r from the site, the fault displacement d at the site will exceed D. Further, the framework for strike-slip fault displacement hazard evaluation in [16,17,18] has been considered.
For the study site, the following considerations can be made: We consider the surface rupture with length (SRL) on the mapped fault with length (FL); see Figure 3. The random variable s tracks the along-fault-trace distance from one fixed end of the mapped fault trace to the closer end of future ruptures’ main trace. The site of interest is specified by its position l along the main trace with the surface rupture. The site can be anywhere along the fault line. These variables are strictly defined relative to the main trace of future rupture, not the pre-event mapped fault trace.
The fault activity is defined as λ m = λ M 0 p ( m , s ) , where λ M 0 is the annual rate of earthquakes above a minimum magnitude (M0) and p ( m , s ) is the joint density function of earthquake magnitude and the location of future ruptures at the pre-event mapped fault. It is assumed that this joint distribution can be approximated by the product of marginal distributions p ( m , s ) p ( m ) · p ( s ) . The p ( s ) enables consideration of the random occurrence at the fault of surface ruptures with various lengths SRL. The s ranges from zero to the total fault length minus the rupture length. The surface rupture is assumed to be equally distributed along the fault length, and the related uncertainty is neglected. According to the above assumptions, the line SLR rolls randomly on the line FL.
The site will be affected if any part of the SRL intersects with it. Thus, the total probability that the surface rupture intersects the site, P i n t e r s e c t s   t h e   s i t e , should be considered.
According to the observations, some of the ruptures on the mapped fault would not reach the surface. The probability of non-zero surface rupture P ( s r 0 ) should also be considered.
Thus, the annual exceedance frequency can be calculated as
λ d D = λ M 0 P ( s r 0 ) P i n t e r s e c t s   t h e   s i t e P d D
The P d D is the probability that principal displacement d exceeds the prescribed level D .
Rigorously, the terms in Equation (3) are not independent from each other. However, the above simplifications allow the calculation of the three terms in Equation (3), each conditioned upon the magnitude but assumed to be independent.
The dependence of the surface displacement along the SRL (or the dependence on the l/SRL) is also neglected, and the average displacement is associated with any point at SRL.
According to [25], the average displacement represents the expected displacement along a more significant part of the fault. The recent study accepts this.

3.2. Analysis of the Fault Activity

The hazard analysis assumes that a fault may rupture with a sequence of earthquakes described by an exponential Gutenberg–Richter magnitude–frequency distribution determined by analysing earthquake data and the physical constraints of rupture length, rupture area, thickness of the seismogenic layer, etc. Thus, the earthquake magnitude exceedance rate of the fault is given by the truncated exponential distribution P ( m > M ) M u M M 0 in the form
λ m M = λ ( M 0 ) P m M = λ ( M 0 ) e x p ( β m ) e x p ( β M u e x p ( β M 0 ) e x p ( β M u ]
where M u is the maximum magnitude and M 0 is the lower magnitude considered in the distribution. The non-exceedance probability distribution is
P m < M = 1 e x p [ β m M 0 ] 1 e x p [ β M u M 0 ]
In Table 1 and Table 2, the activity of each area source λ i m M is given by the parameters λ i ( M 0 ) and β i = b i l n 10 , where b i is the slope in the Gutenberg–Richter relation. The fault’s activity, λ m M , is obtained as the sum of the mean estimates of the magnitude–frequency relations associated for area models λ i ( m ) weighted by w i , according to the explanation given in Table 1.
It is assumed that the λ i m M are mutually independent. This is obvious since the area sources do not overlap; thus, the physical characteristics are independent. The weighted average λ m M is also plotted in Figure 2; for explanation see below. For the weighted average function λ m M , the parameters λ ( M 0 ) and β = b l n 10 can also be defined. Consequently, an estimation of the P m for the fault (Equations (4) and (5)) can also be obtained.

3.3. The Probability That the Fault Scarp Intersects the Site

In the proposed methodology, the probability of the surface scrap of the rupture intersecting the site is calculated, assuming the rupture can occur at any position within the mapped fault length with uniform probability. This is different from [26], where the calculation of the probability of surface scarp crossing the site for three typical configurations of the fault rupture scarp relative to the site are accounted for, depending on the three rupture lengths (short, medium, and long). The uniform distribution is a conservative assumption since the rupture is preferably in the fault’s middle part; see [37]. It is important to note that, as shown in Figure 1, the NW end of the study fault intersects the site.
The probability that a surface rupture with length SRL intersects the site is
P i n t e r s e c t s   t h e   s i t e S R L = 0 S R L S R L m i n S R L L F S R L m i n < S R L L F 1 S R L > L F
Here, the LF is the total mapped fault length equal to the maximum rupture length; S R L m i n is the rupture length corresponding to the lower limit of magnitudes considered capable of causing surface rupture. As suggested in [34], this magnitude could be equal to 5.5 since the surface scarps caused by moderate earthquakes (e.g., Mw = 5.5, L = 5 km, D = 0.3 m) will only be discoverable under highly favourable circumstances and small earthquakes (e.g., Mw = 4.5, L = 3 km) only under exceptional circumstances. Some other studies set the minimum considerable magnitude at Mw = 5. For simplicity of calculation, the lower magnitude M0 accounted for in the magnitude frequency relation can be accepted as the minimum magnitude.
The total probability for the case when the fault intersects the site is
P i n t e r s e c t s   t h e   s i t e = i P i n t e r s e c t s   t h e   s i t e S R L i P S L R i  
The P ( S L R i ) can be evaluated using the empirical formula scaled per magnitude, such as those in Table 2A from the paper [33]. In this case, Equation (7) should be rewritten as
P i n t e r s e c t s   t h e   s i t e = i P i n t e r s e c t s   t h e   s i t e S R L i P S L R i m i P m i .
The P ( S L R i ) in Equation (8) can be calculated by applying the rule for the probability distribution for the function of random variables. The random variable surface rupture length, SRL, is a function of the magnitude m, S R L = g m . Since the inverse function g 1 exists and is increasing, the distribution of the SRL can be calculated since the probability distribution for magnitude P m is known. Substituting m = g 1 S R L in the P m , we have
P S R L = P ( g 1 S R L )
The same logic can be applied if the surface rupture length is derived from the subsurface rupture length, scaled on the magnitude m. For example, it was found in [31] that S R L = 0.13 × R L 1.75 up to RL ≅ 15 km rupture length and 1:1 above. In [23], a simple relation is applied: S R L 0.75 · R L . The weighted average of the formula used for SRL has been multiplied with the weighted average for P m when calculating the total probability for the site intersection.

3.4. Probability of Average Surface Displacement

The critical point of the fault displacement hazard analysis is calculating the total probability that the average surface displacement d exceeds the given value D, P d D . The average subsurface displacement (ADD) on the fault plane is less than the maximum surface displacement but more than the average surface displacement (ASD); see [30].
The P d D can be calculated if the conditional probability P d D m i is known. There are several empirical fault-scaling relations for the surface displacements (ASD), A S D = f ( m ) , such as those in [33,34]. These relations have the following generic form:
l o g 10 A S D = a + b m m = l o g 10 A S D a b
where a and b are constants. Applying the rule for the probability distribution for the function of random variables, the probability distribution of ADS can be obtained as P ( A S D ) = P ( l o g 10 ( A S D ) a b ) . Based on the analysis of [33], the authors of [26] applied the relationship ADD/ASD = 1.32.
In [31], momentum-based scaling relations were developed for the average surface displacements according to the rupture area, A; width, W; or length, RL. These have a generic form of l o g A S D = a + b log ( x ) , where x can be A, W or RL, and the a and b are constants in the relevant scaling relation; see Table 2 in the reference [31]. Thus, the desired ASD is a composite function A S D f ( g m ) , which is more uncertain and less preferable than ASD magnitude scaling relationships like Equation (10).

4. Results and Discussion

4.1. Fault Activity

In Table 1 and Table 2, there are 18 options for defining the parameters for fault activity: λ ( M 0 ) and β = b l n 10 , where b is the slope in Gutenberg–Richter relation. A clear concept should be followed to evaluate the weighted average, even though the definition of the weights is a matter of expert consideration and judgment. The weights of the options should be defined based on the geometrical proximity of the area sources to the fault rupture trace since the observed surface ruptures are at a short distance from the mapped fault trace [16]. Fault displacement is a phenomenon that manifests at short distances. The principal fault displacement manifests at a maximum of 100 m from the mapped fault line. The distributed fault displacement decreases exponentially with the distance from the fault [16]. Contrary to these, distant earthquakes can have a significant contribution to the site’s seismic hazard since the seismic waves travel long distances, causing ground motion at distant locations. For the definition of the weights of the area sources, the following aspects should be considered:
  • In Model M1, the site is in the background area, which practically lacks local relevance and does not characterise the local activity of the faults considered. The same is valid for the region that almost covers the Pannonian Basin.
  • The site vicinity earthquake data can provide a more reliable estimation of the fault activity. However, the uncertainty should be significant due to the low number of events.
  • The study fault is part of the mid-Pannonian fault system. The area sources 04 in the SHARE model and the 4A and 4B sources in the SHARE-Revised model should have essential weight in the activity estimation, which overlaps with the mid-Pannonian fault system.
The weights assigned to the models are shown in Table 3.
Figure 2 shows the weighted average magnitude–frequency estimation. The complementary probability distribution for magnitudes is shown in Figure 4.
The parameters of the Gutenberg–Richter relation are λ M 0 0.81 and β = b l n 10 2.455 , M 0 = 3.5 and M u = 6.7 . It should be noted that the maximum magnitude of the weighted average magnitude–frequency relation is equal to the estimation using the formula of [34].

4.2. Probability of Non-Zero Surface Rupture

Table 4 shows the mean values of the parameters a and b, which were defined by different authors and used in recent calculations of P s r 0 m j .
The weights of the different formulas were selected considering the novelty of the publication and the data used to develop the empirical relations.
The realisations of the conditional probability P s r 0 m j are shown in Figure 5.
The P s r 0 was evaluated using the averages of the conditional distribution of non-zero displacement and the magnitude distribution, Figure 6.

4.3. The Probability of the Surface Rupture Intersecting the Site

The surface rupture length is either correlated with the magnitude or derived from the subsurface rupture length. The study [30] gives a direct SRL magnitude scaling formula (Table 2A in [30]). Since this is a relationship directly derived from the observations, higher weight is associated with it.
In [34], it is found that the S R L = 0.13 × R L 1.75 up to RL ≅ 15 km rupture lengths and 1:1 above, where the rupture length RL can be calculated via the formula in Table 4 of [32]. In [23], a simple relation is applied: S R L 0.75 · R L , where the RL is calculated via the scaling formula for subsurface rupture length [33]. The scaling formula for subsurface rupture length developed in [35] can also be used to calculate SRL. However, the mixed use of empirical formulas may result in undefined uncertainty.
The weights of used correlations are shown in Table 5.
The distributions of the length of the surface scarps of fault rupture, as calculated by the scaling formulas of different authors, are shown in Figure 7.
Figure 8 shows the probability distribution of surface displacement intersecting the site, conditioned upon the magnitude.
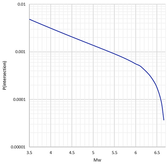
The distribution of the total probability for the intersection of the site is plotted in Figure 9.

4.4. Evaluation of the Probability of Average Displacement

Figure 10 shows the calculation results for the average displacements obtained via different scaling relationships.
The scaling relationships published in the Table 2B of [33] for A S D = f ( m ) ), in the Table 4 of [34] for A D D = f ( m ) ), and [35] of [35] for A D D = f ( m ) ) have been applied. Theses scaling relations should be preferred in the practical hazard analyses since they are derived from the observations. Compared to the relationships of type A S D = f ( m ) , smaller weights should be associated with the relationships A D D = f ( m ) , since these overestimate the average surface displacements; see [26,33].
In [33], a scaling relationship for average displacement as a function of surface rupture length is given (Table 2C in [33]).
In [34], a momentum-based scaling relation is given for average subsurface displacement using the rupture length (Table 3, for A D D = f R L in [31]) as the independent variable. The rupture length could be calculated by the scaling formula of [34] (Table 4 in [34]). This formula of [34], like the scaling formula versus magnitude, resulted in an overestimation of the average displacement compared with those obtained by the scaling relations of other authors (The two lines in Figure 10 are overlapping). This overestimation, compared to the results obtained with other correlations, seems unjustified.
Therefore, the highest weight of 0.4 was associated with the direct A S D f ( m ) relationships, and 0.35 was associated to the A S D f ( S R L ) of [33]. Smaller weights could be justified by the relationships for the subsurface displacements of [35]: 0.15 for the relationship A D D f ( m ) and 0.05 for A D D f ( R L ) . The weights of 0.025 are associated with the scaling relationships A D D f ( R L ) and A D D f ( m ) of [34].
The weighted average of the displacement scaling relations is plotted in Figure 10.
Equation (3) and the calculated cumulative probabilities can be used to develop the hazard curve, as shown in Figure 11a,b.
Figure 11a shows the annual probability of exceedance for the average displacement calculated by the scaling relationships of Leonard [34], Wells and Coppersmith [33], and Thingbaijam et al. [35], as well as the weighted average relationship for the displacement. This could be the basis for the uncertainty analysis of the hazard curve estimation, which will be the subject of future work.
Figure 11b shows the conservative estimation of the mean hazard curve, which can be used as the basis for engineering decisions, i.e., to neglect the hazard in the nuclear power plant’s design and safety evaluation, implement adequate design or safety upgrading solutions to ensure plant safety, or launch a more sophisticated research programme for a sophisticated hazard analysis.
It is important to note that the relationships for the displacement (surface or subsurface) are either direct functions of the magnitude as d i s p l a c e m e n t f ( m ) or composite functions of the magnitude as d i s p l a c e m e n t g r u p t u r e   l e n g h t = g ( h m ) , also written as g h . It is assumed that ( g h ) 1 = ( g 1 h 1 ) . Thus, the cumulative distribution function for displacement can be defined by applying the idea in Equation (9).

4.5. Consideration of the Uncertainties

Unquestionably, the simplified method outlined above cannot properly treat the aleatory and epistemic uncertainties of the hazard analysis. This is the indisputable advance of expert elicitation and logic-tree modelling compared to any simplified hazard evaluation methods.
A detailed analysis of the uncertainties of the proposed method is the subject of future work since validating the results and evaluating uncertainties is rather difficult due to the lack of direct evidence for surface displacements. Nevertheless, there are certain options for the limited uncertainty estimates.
The randomness of the data and the standard deviation of the scaling relationships are given in the cited papers, see [32,33,34,35,36,37,38]. Since the variance or the standard deviation for the scaling relationships used in the calculations above is known, the textbook rules should be applied for the variance of the weighted average, V a r X 1 + X n = i = 1 n V a r [ X i ] and V a r a X = a 2 V a r X , and for the product, E i X i = i E X i and V a r X 1 · · X n = i V a r X i E 2 X i i E X i 2 .
The epistemic uncertainties are accounted for via the weighting of 18 magnitude–frequency relations for fault activity evaluation and the 3 scaling relationships for surface rupture length, 3 relationships for non-zero surface rupture, and 4 scaling relations for average surface displacements proposed by renowned authors. Thus, the analysis options considered represent the center, the body, and the range of technical interpretations that the larger technical community would have if they were to conduct the study. This is shown in the Figure 2, Figure 5, Figure 7, Figure 10 and Figure 11a.
A better treatment of the epistemic uncertainty would need a state-of-the-art probabilistic hazard analysis based on expert elicitation.

4.6. Comparison with Earlier Studies

In the paper by Katona et al. [3], the disaggregation of the seismic hazard obtained for different hazard levels in the interval 10−4/a to 10−7/a compensates for the insufficiency of the data. The disaggregation has been used to characterise the fault activity.
Two calculations were performed: a less conservative calculation that accounts for the earthquakes in the closest-to-the-site distance bin (within approximately 10 km of Joyner-Bore distance) and a more conservative calculation where all events in all distance bins are considered. It should be noted that large and relatively close earthquakes dominate the seismic hazard at low exceedance probabilities.
For the calculation of average surface displacement, the relation used in [16] has been applied, ln D = a · m + c , with a = 1.7927 and c = 11.2192 and a standard deviation σ = 1.1348 on the ln(D). The dependence of the displacement on the l/RL (see Figure 2 above) was neglected in the magnitude scaling relationship.
Figure 12 plots average displacement results and their dispersion for the two options of considering distance bins; see [3]. For the comparison, the hazard curve obtained by the calculation method above is also shown in Figure 12.
The similarities and differences between the results of earlier and recently proposed methods are instructive.
It is very important to emphasise that the hazard curve obtained by the newly developed method stays within the range of the earlier estimates, despite the differences in evaluating the study fault’s activity. This is practically an indirect validation of the proposed methodology.
The differences between the characteristics of the earlier-evaluated and recently obtained hazard curves are explained by the differences between the seismic hazard and fault displacement phenomena and their evaluations. The earlier published method indirectly assessed the fault activity via seismic hazard disaggregation. The disaggregation of the seismic hazard at a given annual frequency of exceedance consists of all possible events that would cause ground motion at the site with a given intensity value (e.g., ground acceleration). This set of earthquake events differs from those that would cause a given surface displacement at a given annual frequency of exceedance, which is considered in the calculation above. Moreover, the area sources considered when estimating the fault activity at a distance from the site and under rare large events are also recorded. These events are associated with the study fault that increases the annual probability of events less than 10−6/a close to the maximum possible magnitude.
Two more trivial aspects explain the differences between the old and newly calculated hazard curves. In the new calculation, the average surface displacement is estimated by a weighted average of six scaling relations, while the old calculation used only one. The mapped length of the fault is properly accounted for in the new method when calculating the site’s intersection probability. This explains why the new hazard curve fits more with the old hazard curve obtained for all distance bins in earlier calculations [3].

5. Conclusions

The research aimed to develop a simple engineering method for a fault displacement hazard analysis applicable to very specific conditions of the Paks site. Where the fault trace crosses the site and there is a suspicion of the possibility of surface displacement, there are practically no data for quantitative characterisation of the fault activity.
The novelty of the proposed methodology in comparison to deterministic or probabilistic fault displacement hazard analysis is the evaluation of fault activity based on the area source modelling developed for the probabilistic seismic hazard analysis. The simplifications are acceptable thanks to the accurate mapping of the hazard, and the fact that the fault crosses the site. The uniform distribution of the rupture along the fault is a new assumption. The average displacement has been assumed for the entire rupture length. The total probability theorem is used for the calculation of the non-zero surface displacement as well as for the mean annual probability of exceedance for average displacement. The magnitude–frequency relations for seismotectonic activity cover all interpretation options of the seismotectonic information developed during the last 40 years. The formula used in the calculation for the non-zero surface rupture probability and the scaling relations for rupture length, area, and surface displacement represent the state-of-the-art regarding strike-slip faults and are accounted for in the calculations with weights relevant to the site-specific conditions. Thus, the methodology and analysis performed for the Paks site represent the centre, the body, and the range of technical interpretations of the data on fault activity and possible surface displacements. Thus, the calculated mean probabilities and distributions account for the epistemic uncertainties.
A conservative estimation of the mean principal fault displacement hazard curve can be obtained based on the proposed method; this allows for the assessment of the safety relevance of the possible displacements. This could have great importance if the periodic review of the safety of the nuclear power plant reveals the need for re-assessment of the external hazards. Criteria of whether the estimated average surface displacements are safety-relevant have already been presented in [8,9]. Based on the performed analysis, the fault displacement hazard at the Paks site is not relevant to safety.
The surface displacement hazard curve obtained by the above-proposed method fits within the range of the surface displacement hazard curves obtained in earlier studies for the Paks site [3], which can be interpreted as an indirect validation of the analysis method.
The method is recommended for analysing surface displacement hazards at sites such as Paks in Hungary. Generally, the procedure is recommended at sites with operating nuclear facilities for the preliminary assessment of the nuclear safety relevance of fault displacement hazards. Still, it is not recommended as a replacement or alternative to a state-of-the-art probabilistic fault displacement hazard analysis if this sophisticated analysis is needed and feasible.
The time factor is also important because the safety of hazardous facilities cannot tolerate time delays. The proposed methodology addresses the need for an in-time decision and is recommended for use if the possibility of surface displacement only is suspected.
A further task for the research is the numerical evaluation of the uncertainty of the proposed methodology.
Generally, the research community has proposed to concentrate on the “grey” cases where an uncertain indication of the hazard is revealed. Sites covered by thick, soft alluvium could also be interesting [40,41]. Both the overestimation and underestimation of the hazard and its consequences—especially in the case of high-hazard facilities—could have significant practical and social impact.

Funding

This research received no external funding.

Data Availability Statement

The original contributions presented in the study are included in the article; further inquiries can be directed to the corresponding author.

Conflicts of Interest

The author declares no conflicts of interest.

References

  1. Nuclear Power Reactors in California. Available online: https://www.energy.ca.gov/sites/default/files/2020-03/Nuclear_Power_Reactors_in_California_ada.pdf (accessed on 12 December 2023).
  2. World Nuclear News. Tsuruga 2 Sits on Active Fault, NRA Concludes. 26 March 2015. Available online: https://www.world-nuclear-news.org/RS-Tsuruga-2-sits-on-active-fault-NRA-concludes-2603155.html (accessed on 7 December 2023).
  3. Katona, T.J.; Tóth, L.; Győri, E. Fault Displacement Hazard Analysis Based on Probabilistic Seismic Hazard Analysis for Specific Nuclear Sites. Appl. Sci. 2021, 11, 7162. [Google Scholar] [CrossRef]
  4. IAEA SSR-1; Site Evaluation for Nuclear Installations. International Atomic Energy Agency: Vienna, Austria, 2019.
  5. IAEA SSG-9 (Rev. 1); Seismic Hazards in Site Evaluation for Nuclear Installations. International Atomic Energy Agency: Vienna, Austria, 2022.
  6. IAEA SSR-2/1 (Rev. 1); Safety of Nuclear Power Plants: Design. International Atomic Energy Agency: Vienna, Austria, 2016.
  7. WENRA. Report—Practical Elimination Applied to New NPP Designs—Key Elements and Expectations; WENRA: Vienna, Austria, 2019. [Google Scholar]
  8. Gürpinar, A.; Serva, L.; Livio, F.; Rizzo, P.C. Earthquake-induced crustal deformation, and consequences for fault displacement hazard analysis of nuclear power plants. Nucl. Eng. Des. 2017, 311, 69–85. [Google Scholar] [CrossRef]
  9. Katona, T.J. Safety of Nuclear Power Plants with Respect to the Fault Displacement Hazard. Appl. Sci. 2020, 10, 3624. [Google Scholar] [CrossRef]
  10. AESJ-SC-RK009:2021; A Standard for Procedure of Fault Displacement Probabilistic Risk Assessment (PRA) for Nuclear Power Plants 2021. Atomic Energy Society of Japan: Kyoto, Japan, 2021. (In Japanese)
  11. Loli, M.; Kourkoulis, R.; Gazetas, G. Physical and Numerical Modeling of Hybrid Foundations to Mitigate Seismic Fault Rupture Effects. J. Geotech. Geoenviron. Eng. 2018, 144, 04018083. [Google Scholar] [CrossRef]
  12. Gantes, C.J.; Melissianos, V.E. Evaluation of Seismic Protection Methods for Buried Fuel Pipelines Subjected to Fault Rupture. Front. Built Environ. 2016, 2, 34. [Google Scholar] [CrossRef]
  13. Youngs, R.R.; Arabasz, W.J.; Anderson, R.E.; Ramelli, A.R.; Ake, J.P.; Slemmons, D.B.; McCalpin, J.P.; Doser, D.I.; Fridrich, C.J.; Swan, F.H., III; et al. A Methodology for Probabilistic Fault Displacement Hazard Analysis (PFDHA). Earthq. Spectra 2003, 19, 191–219. [Google Scholar] [CrossRef]
  14. ANSI-ANS-2.30-2015; Criteria for Assessing Tectonic Surface Fault Rupture and Deformation at Nuclear Facilities. American Nuclear Society: La Grange Park, IL, USA, 2015. Available online: https://webstore.ansi.org/standards/ansi/ansians302015 (accessed on 12 May 2021).
  15. IAEA-TECDOC-1987; An Introduction to Probabilistic Fault Displacement Hazard Analysis in Site Evaluation for Existing Nuclear Installations. International Atomic Energy Agency: Vienna, Austria, 2021.
  16. Petersen, M.D.; Dawson, T.E.; Chen, R.; Cao, T.; Wills, C.J.; Schwartz, D.P.; Frankel, A.D. Fault displacement hazard for strike-slip faults. Bull. Seismol. Soc. Am. 2011, 101, 805–825. [Google Scholar] [CrossRef]
  17. Chen, R.; Petersen, M.D. Improved Implementation of Rupture Location Uncertainty in Fault Displacement Hazard Assessment. Bull. Seismol. Soc. Am. 2019, 109, 2132–2137. [Google Scholar] [CrossRef]
  18. Chiou, B.S.J.; Chen, R.; Thomas, K.; Milliner, C.W.D.; Dawson, T.E.; Petersen, M.D. Surface Fault Displacement Models for Strike-Slip Faults; Report GIRS-2022-07; University of California: Los Angeles, CA, USA, 2023; 186p. [Google Scholar] [CrossRef]
  19. Paul, C. Probabilistic Fault Displacement Hazard Analysis Krško East and West Sites, Proposed Krško 2 Nuclear Power Plant; Revision 1, Technical Report, Project No. 11-4546; Rizzo Associates, Inc.: Krško, Slovenia, 2013. Available online: http://www.ursjv.gov.si/fileadmin/ujv.gov.si/pageuploads/si/medijsko-sredisce/dopisGen/PFDHA_Studija.pdf (accessed on 13 May 2013).
  20. Valentini, A.; Fukushima, Y.; Contri, P.; Ono, M.; Sakai, T.; Thompson, S.C.; Viallet, E.; Annaka, T.; Chen, R.; Moss, R.E.S.; et al. Probabilistic fault displacement hazard assessment (PFDHA) for nuclear installations according to IAEA safety standards. Bull. Seismol. Soc. Am. 2021, 111, 2661–2672. [Google Scholar] [CrossRef]
  21. Horváth, F.; Koroknai, B.; Tóth, T.; Wórum, G.; Konrád, G.; Kádi, Z.; Kudó, I.; Hámori, Z.; Filipszki, P.; Németh, V.; et al. Structural-geological and neotectonic features of the middle portion of the Kapos line based on the results of latest geophysical research. Földtani Közlöny 2019, 149, 327–350. [Google Scholar] [CrossRef]
  22. Konrád, G.; Sebe, K.; Halász, A. Traces of late quaternary seismic activity in aeolian sand in the Dunaszentgyörgy–Harta fault zone, Hungary|Késő negyedidőszaki szeizmikus aktivitás nyomai futóhomokban, a Dunaszentgyögy–Hartai-vetőzónában. Födtani Közlöny 2021, 151, 179. [Google Scholar] [CrossRef]
  23. The National Diet of Japan. The Official Report of the Fukushima Nuclear Accident Independent Investigation Commission, National Diet of Japan Fukushima Nuclear Accident Independent Investigation Commission; Executive Summary; The National Diet of Japan: Tokyo, Japan, 2012. Available online: https://warp.da.ndl.go.jp/info:ndljp/pid/3856371/naiic.go.jp/wp-content/uploads/2012/09/NAIIC_report_hi_res10.pdf (accessed on 7 December 2023).
  24. Katona, T.J.; Tóth, L.; Győri, E. Probabilistic Fault Displacement Hazard Analysis Method for Capable Faults in Case of Scarce Empirical Evidence and Diffuse Seismotectonic Environment. In Proceedings of the Transactions, SMiRT-26, Berlin/Potsdam, Germany, 10–15 July 2022. Division VII. [Google Scholar]
  25. Melissianos, V.E.; Vamvatsikos, D.; Gantes, C.J. Performance Assessment of Buried Pipelines at Fault Crossings. Earthq. Spectra 2017, 33, 201–218. [Google Scholar] [CrossRef]
  26. Melissianos, V.E.; Danciu, L.; Vamvatsikos, D.; Basili, R. Fault displacement hazard estimation at lifeline–fault crossings: A simplified approach for engineering applications. Bull. Earthq. Eng. 2023, 21, 4821–4849. [Google Scholar] [CrossRef]
  27. IAEA-TECDOC-1767; The Contribution of Paleoseismology to Seismic Hazard Assessment in Site Evaluation for Nuclear Installations. International Atomic Energy Agency: Vienna, Austria, 2015.
  28. Green, R.A.; Bommer, J.J. What is the Smallest Earthquake Magnitude that Needs to be Considered in Assessing Liquefaction Hazard? Earthq. Spectra 2019, 35, 1441–1464. [Google Scholar] [CrossRef]
  29. Koroknai, B.; Wórum, G.; Tóth, T.; Koroknai, Z.; Fekete-Németh, V.; Kovács, G. Geological Deformations in the Pannonian Basin during the Neotectonic Phase: New Insights from the Latest Regional Mapping in Hungary. Earth-Sci. Rev. 2020, 211, 103411. [Google Scholar] [CrossRef]
  30. Evaluation of the Site Seismic Hazard (PSHA). A Telephely Földrengés-Veszélyeztetettségének Komplex Meghatározása (PSHA) Számítási Jelentés (SZJ) Feladatkód: 6.6; Dokumentum azonosító: GR-P2-011/1 (Vol2); GeoRisk Földrengés Mérnöki Iroda: Budapest, Hungary, 2016. (In Hungarian) [Google Scholar]
  31. Giardini, D.; Woessner, J.; Danciu, L. Seismic Hazard Harmonization in Europe SHARE Model. SHARE Project, 2014 Mapping Europe’s Seismic Hazard. EOS 2014, 95, 261–262. [Google Scholar] [CrossRef]
  32. Wells, D.L.; Coppersmith, K.J. Likelihood of surface rupture as a function of magnitude. Seismol. Res. Lett. 1993, 64, 54. [Google Scholar]
  33. Wells, D.L.; Coppersmith, K.J. New Empirical Relationships Among Magnitude, Rupture Length, Rupture Width, Rupture Area, and Surface Displacement. Bull. Seismol. Soc. Am. 1994, 84, 974. [Google Scholar] [CrossRef]
  34. Leonard, M. Self-Consistent Earthquake Fault-Scaling Relations: Update and Extension to Stable Continental Strike-Slip Faults. Bull. Seismol. Soc. Am. 2014, 104, 2953–2965. [Google Scholar] [CrossRef]
  35. Thingbaijam, K.; Mai, P.M.; Goda, K. New empirical earthquake-source scaling laws. Bull. Seismol. Soc. Am. 2017, 107, 2225–2246. [Google Scholar] [CrossRef]
  36. Hanks, T.C.; Bakun, W.H. A Bilinear Source-Scaling Model for M-log A Observations of Continental Earthquakes. Bull. Seismol. Soc. Am. 2002, 92, 1841–1846. [Google Scholar] [CrossRef]
  37. Wesnousky, S.G. Predicting the endpoints of earthquake ruptures. Nature 2006, 444, 358–360. [Google Scholar] [CrossRef] [PubMed]
  38. Takao, M.; Tsuchiyama, J.; Annaka, T.; Kurita, T. Application of probabilistic fault displacement hazard analysis in Japan. J. Jpn. Assoc. Earthq. Eng. 2013, 13, 17–36. [Google Scholar] [CrossRef]
  39. Pizza, M.; Ferrario, M.F.; Thomas, F.; Tringali, G.; Livio, F. Likelihood of Primary Surface Faulting: Updating of Empirical Regressions. Bull. Seismol. Soc. Am. 2023, 113, 2106–2118. [Google Scholar] [CrossRef]
  40. Bray, J.D.; Seed, R.B.; Cluff, L.S.; Seed, H.B. Earthquake Fault Rupture Propagation through Soil. J. Geotech. Eng. 1994, 120, 543–561. [Google Scholar] [CrossRef]
  41. Moss, R.E.S.; Stanton, K.; Buelna, M. The Impact of Material Stiffness on the Likelihood of Fault Rupture Propagating to the Ground Surface. Seismol. Res. Lett. 2013, 84, 485–488. [Google Scholar] [CrossRef]
Figure 1. The mapped faults (a) and the seismicity of the site area and site vicinity (b).
Figure 1. The mapped faults (a) and the seismicity of the site area and site vicinity (b).
Geosciences 14 00158 g001
Figure 2. Magnitude–frequency curves for the area sources considered.
Figure 2. Magnitude–frequency curves for the area sources considered.
Geosciences 14 00158 g002
Figure 3. Geometry of the surface faulting considered.
Figure 3. Geometry of the surface faulting considered.
Geosciences 14 00158 g003
Figure 4. The complementary probability distribution of magnitudes.
Figure 4. The complementary probability distribution of magnitudes.
Geosciences 14 00158 g004
Figure 5. Conditional probability of non-zero surface displacement calculated by the empirical relationships of authors: curve a) by [33], curve b) by [38] and c) by [39], and curve d) is the weighted average.
Figure 5. Conditional probability of non-zero surface displacement calculated by the empirical relationships of authors: curve a) by [33], curve b) by [38] and c) by [39], and curve d) is the weighted average.
Geosciences 14 00158 g005
Figure 6. The probability of non-zero surface rupture.
Figure 6. The probability of non-zero surface rupture.
Geosciences 14 00158 g006
Figure 7. Distribution of the lengths of the surface scarps of rupture calculated by the scaling formulas of different authors; curve a) by [34], curve b) by [33], and curve c) by [26]. Curve d) is the mapped fault length, and the curve e) is the weighted average.
Figure 7. Distribution of the lengths of the surface scarps of rupture calculated by the scaling formulas of different authors; curve a) by [34], curve b) by [33], and curve c) by [26]. Curve d) is the mapped fault length, and the curve e) is the weighted average.
Geosciences 14 00158 g007
Figure 8. The conditional probability distribution of surface displacement intersecting the site, plotted against magnitude.
Figure 8. The conditional probability distribution of surface displacement intersecting the site, plotted against magnitude.
Geosciences 14 00158 g008
Figure 9. The probability distribution of surface displacement intersecting the site, plotted against magnitude.
Figure 9. The probability distribution of surface displacement intersecting the site, plotted against magnitude.
Geosciences 14 00158 g009
Figure 10. Average displacements calculated by different scaling relations: for the ADD = f(m) curve a) by [34], curve c) by [35], curve e) by [33], for the ADD = f(RL) curve b) and d) by [34] and [35] respectively, for the ASD = f(SRL) by [33], and curve g) is the weighted average.
Figure 10. Average displacements calculated by different scaling relations: for the ADD = f(m) curve a) by [34], curve c) by [35], curve e) by [33], for the ADD = f(RL) curve b) and d) by [34] and [35] respectively, for the ASD = f(SRL) by [33], and curve g) is the weighted average.
Geosciences 14 00158 g010
Figure 11. Hazard curve estimates, Average Probability of Exceedance, APE per average displacement. Part (a) shows the range of estimations obtained by formulas of different authors, curve a-1 calculated by the relationship of [33], curve a-2 by the relationship of [35] and the curve a-3 by [34], curve a-4 is the weighted average. Part (b) shows the mean hazard curve for the annual exceedance probabilities having safety significance.
Figure 11. Hazard curve estimates, Average Probability of Exceedance, APE per average displacement. Part (a) shows the range of estimations obtained by formulas of different authors, curve a-1 calculated by the relationship of [33], curve a-2 by the relationship of [35] and the curve a-3 by [34], curve a-4 is the weighted average. Part (b) shows the mean hazard curve for the annual exceedance probabilities having safety significance.
Geosciences 14 00158 g011
Figure 12. Fault displacement hazard curve estimates for the study site; comparison of the results of the new method and those published in [3].
Figure 12. Fault displacement hazard curve estimates for the study site; comparison of the results of the new method and those published in [3].
Geosciences 14 00158 g012
Table 1. Parameters of the PSHA area sources that include the study site.
Table 1. Parameters of the PSHA area sources that include the study site.
ModelSourceMu λ ( M 0 ) β Explanation
M1zone-216.79.24682.441Zone-21 is the background in the M1 model, covering practically the entire Pannonian Basin and its surrounding area. Three magnitude-frequency relations were extracted from the earthquake records. This source poorly represents the local tectonic conditions.
zone-216.79.24682.437
zone-216.65.48282.266
zone-216.75.48282.266
SHAREzone-045.91.29972.491Zone-04 in the SHARE model covers the entire south-central part of the Pannonian Basin. The zone’s north border is the mid-Pannonian fault structure. The zone represents the tectonic conditions in the central part of the basin.
zone-045.91.29972.437
zone-045.90.96992.46
zone-045.90.972.266
SHARE-mod.zone-04A6.12.25222.679Zone 04A covers the mid-Pannonian fault structure where the site is located. This zone represents the local tectonic conditions.
zone-04A6.12.4372.437
zone-04A6.11.33972.459
zone-04A6.11.33972.266
zone-04B//15.90.74692.294Zone-04 B covers the south-central part of the basin, south of the site’s location but in its immediate vicinity. The zone represents the tectonic conditions in the central part of the basin.
zone-04B/15.90.74692.437
zone-04B/25.90.53272.346
zone-04B/25.90.53272.266
Here, the Mu is the maximum possible magnitude for the source, λ ( M 0 ) is the annual frequency of the lower magnitude M 0 , and β is the scaling parameter.
Table 2. Parameters of the area sources covering the Pannonian Basin and the site vicinity are defined based on the earthquake data.
Table 2. Parameters of the area sources covering the Pannonian Basin and the site vicinity are defined based on the earthquake data.
Area SourceMu λ ( M 0 ) , M0 = 3.5 β = b l n 10
Pannonian Basin, 45.5–49.0 N 16.0–23.0 E, A = 206,117 km26.41.632.455
Site vicinity, R = 100 km, A = 31,400 km25.60.07363.038
Table 3. Weights of the area sources in the fault activity assessment.
Table 3. Weights of the area sources in the fault activity assessment.
Area
Source
M1Pannonian
Basin
Site
Vicinity
SHARESHARE-Rev.
4A
SHARE-Rev.
4B/1
SHARE-Rev.
4B/2
Weight0.0050.0050.150.240.20.20.2
Table 4. The options for P s r 0 m j and their weights.
Table 4. The options for P s r 0 m j and their weights.
AuthorsabWeights
Wells and Coppersmith (1993) [32]−12.512.0530.2
Takao et al., (2013) [38]−32.034.90.3
Pizza et al., (2023) [39]−28.564.4360.5
Table 5. Weights associated with the surface rupture relations.
Table 5. Weights associated with the surface rupture relations.
Scaling Relation for SRLWeights
Wells and Coppersmith (1994) [33]0.5
Leonard (2014) [34]0.25
Melissianos et al. (2023) [26], S R L 0.75 · R L , RL by Wells and Coppersmith (1994) [33]0.25
Disclaimer/Publisher’s Note: The statements, opinions and data contained in all publications are solely those of the individual author(s) and contributor(s) and not of MDPI and/or the editor(s). MDPI and/or the editor(s) disclaim responsibility for any injury to people or property resulting from any ideas, methods, instructions or products referred to in the content.

Share and Cite

MDPI and ACS Style

Katona, T.J. Conservative Evaluation of Fault Displacement Hazard for a Nuclear Site in Case of Insufficient Data on the Fault Activity. Geosciences 2024, 14, 158. https://doi.org/10.3390/geosciences14060158

AMA Style

Katona TJ. Conservative Evaluation of Fault Displacement Hazard for a Nuclear Site in Case of Insufficient Data on the Fault Activity. Geosciences. 2024; 14(6):158. https://doi.org/10.3390/geosciences14060158

Chicago/Turabian Style

Katona, Tamás János. 2024. "Conservative Evaluation of Fault Displacement Hazard for a Nuclear Site in Case of Insufficient Data on the Fault Activity" Geosciences 14, no. 6: 158. https://doi.org/10.3390/geosciences14060158

APA Style

Katona, T. J. (2024). Conservative Evaluation of Fault Displacement Hazard for a Nuclear Site in Case of Insufficient Data on the Fault Activity. Geosciences, 14(6), 158. https://doi.org/10.3390/geosciences14060158

Note that from the first issue of 2016, this journal uses article numbers instead of page numbers. See further details here.

Article Metrics

Back to TopTop