Models for Considering the Thermo-Hydro-Mechanical-Chemo Effects on Soil–Water Characteristic Curves
Abstract
1. Introduction
2. Models’ Development
2.1. Basic Methodology for Modeling SWCC Based on the Matric Suction Variation
2.1.1. Basic Framework
2.1.2. Temperature and Salt Solution Effects on Matric Suction
2.1.3. Initial Stress and Water Content Effects on Matric Suction
2.1.4. Coupling Effects on Soil Matric Suction
2.2. Basic Methodology for Representing Pore Size Distribution Variation Using the SWCC Correction Function
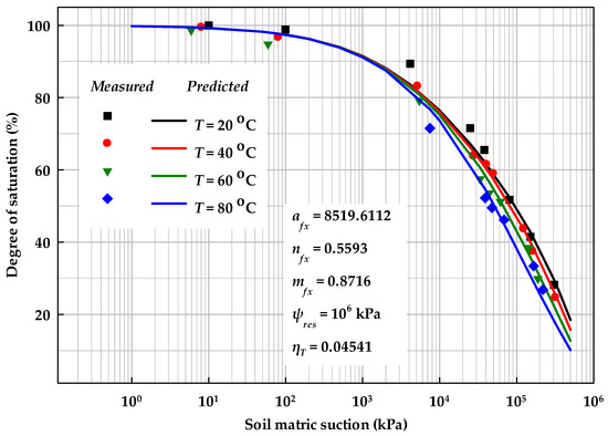
3. Model Results and Discussion
4. Conclusions
Author Contributions
Funding
Data Availability Statement
Acknowledgments
Conflicts of Interest
References
- Fredlund, D.; Rahardjo, H. Soil Mechanics for Unsaturated Soils, 1st ed.; John Wiley & Sons: New York, NY, USA, 1993. [Google Scholar]
- Mualem, Y. A new model for predicting the hydraulic conductivity of unsaturated porous media. Water Resour. Res. 1976, 12, 513–522. [Google Scholar] [CrossRef]
- Vanapalli, S.K.; Fredlund, D.G.; Pufahl, D.E. The influence of soil structure and stress history on the soil-water characteristics of a compacted till. Géotechnique 1999, 49, 143–159. [Google Scholar] [CrossRef]
- Tuller, M.; Or, D. Water films and scaling of soil characteristic curves at low water contents. Water Resour. Res. 2005, 41, W09403. [Google Scholar] [CrossRef]
- Hoyos, L.R.; Suescún-Florez, E.A.; Puppala, A.J. Stiffness of intermediate unsaturated soil from simultaneous suction-controlled resonant column and bender element testing. Eng. Geol. 2015, 188, 10–28. [Google Scholar] [CrossRef]
- Zhou, A.N.; Huang, R.Q.; Sheng, D.C. Capillary water retention curve and shear strength of unsaturated soils. Can. Geotech. J. 2016, 53, 974–987. [Google Scholar] [CrossRef]
- Van Looy, K.; Bouma, J.; Herbst, M.; Koestel, J.; Minasny, B.; Mishra, U.; Montzka, C.; Nemes, A.; Pachepsky, Y.A.; Padarian, J.; et al. Pedotransfer functions in earth system science: Challenges and perspectives. Rev. Geophys. 2017, 55, 1199–1256. [Google Scholar] [CrossRef]
- Zhai, Q.; Rahardjo, H.; Satyanaga, A.; Dai, G.L.; Du, Y.J. Estimation of the wetting scanning curves for sandy soils. Eng. Geol. 2020, 272, 105635. [Google Scholar] [CrossRef]
- Chin, K.B.; Leong, E.C.; Rahardjo, H. A simplified method to estimate the soil water characteristic curve. Can. Geotech. J. 2010, 47, 1382–1400. [Google Scholar] [CrossRef]
- Gillham, R.W.; Klute, A.; Heermann, D.F. Hydraulic properties of a porous medium: Measurement and empirical representation. Soil Sci. Soc. Am. J. 1976, 40, 203–207. [Google Scholar] [CrossRef]
- Gallipoli, D.; Wheeler, S.J.; Karstunen, M. Modelling the variation of degree of saturation in a deformable unsaturated soil. Géotechnique 2003, 53, 105–112. [Google Scholar] [CrossRef]
- Mbonimpa, M.; Aubertin, M.; Maqsoud, A.; Bussière, B. Predictive model for the water retention curve of deformable clayey soils. J. Geotech. Geoenviron. Eng. 2006, 132, 1121–1132. [Google Scholar] [CrossRef]
- Fredlund, D.G.; Sheng, D.C.; Zhao, J.D. Estimation of soil suction from the soil-water characteristic curve. Can. Geotech. J. 2011, 48, 186–198. [Google Scholar] [CrossRef]
- Hu, R.; Chen, Y.F.; Liu, H.H.; Zhou, C.B. A water retention curve and unsaturated hydraulic conductivity model for deformable soils: Consideration of the change in pore-size distribution. Géotechnique 2013, 63, 1389–1405. [Google Scholar] [CrossRef]
- Alves, R.D.; Gitirana, G.F.N., Jr.; Vanapalli, S.K. Advances in the modeling of the soil-water characteristic curve using pore-scale analysis. Comp. Geotech. 2020, 127, 103766. [Google Scholar] [CrossRef]
- Wan, R.; Pouragha, M.; Eghbalian, M.; Duriez, J.; Wong, T. A probabilistic approach for computing water retention of particulate systems from statistics of grain size and tessellated pore network. Int. J. Numer. Anal. Methods Geomech. 2019, 43, 956–973. [Google Scholar] [CrossRef]
- Grant, S.A.; Salehzadeh, A. Calculation of temperature effects on wetting coefficients of porous solids and their capillary pressure functions. Water Resour. Res. 1996, 32, 261–270. [Google Scholar] [CrossRef]
- Romero, E.; Gens, A.; Lloret, A. Temperature effects on the hydraulic behaviour of an unsaturated clay. Geotech. Geol. Eng. 2001, 19, 311–332. [Google Scholar] [CrossRef]
- Tang, A.M.; Cui, Y.J.; Barnel, N. Thermo-mechanical behaviour of a compacted swelling clay. Géotechnique 2008, 58, 45–54. [Google Scholar] [CrossRef]
- Uchaipichat, A.; Khalili, N. Experimental investigation of thermo-hydro-mechanical behaviour of an unsaturated silt. Géotechnique 2009, 59, 339–353. [Google Scholar] [CrossRef]
- Ravi, K.; Rao, S.M. Influence of infiltration of sodium chloride solutions on SWCC of compacted bentonite–sand specimens. Geotech. Geol. Eng. 2013, 31, 1291–1303. [Google Scholar] [CrossRef]
- Wan, M.; Ye, W.M.; Chen, Y.G.; Cui, Y.J.; Wang, J. Influence of temperature on the water retention properties of compacted GMZ01 bentonite. Environ. Earth Sci. 2015, 73, 4053–4061. [Google Scholar] [CrossRef]
- Poulovassilis, A. Hysteresis of pore water in granular porous bodies. Soil Sci. 1970, 109, 5–12. [Google Scholar] [CrossRef]
- Arya, L.M.; Paris, J.F. A physicoempirical model to predict the soil moisture characteristic from particle-size distribution and bulk density data. Soil Sci. Soc. Am. J. 1981, 45, 1023–1030. [Google Scholar] [CrossRef]
- Fredlund, D.G.; Xing, A.; Huang, S. Predicting the permeability function for unsaturated soils using the soil-water characteristic curve. Can. Geotech. J. 1994, 31, 533–546. [Google Scholar] [CrossRef]
- Vanapalli, S.K.; Fredlund, D.G.; Pufahl, D.E.; Clifton, A.W. Model for the prediction of shear strength with respect to soil suction. Can. Geotech. J. 1996, 33, 379–392. [Google Scholar] [CrossRef]
- Lu, N.; Likos, W.J. Suction stress characteristic curve for unsaturated soil. J. Geotech. Geoenviron. Eng. 2006, 132, 131–142. [Google Scholar] [CrossRef]
- Miao, L.; Jing, F.; Houston, S.L. Soil-water characteristic curve of remolded expansive soils. In Unsaturated Soils; American Society of Civil Engineers: Carefree, AZ, USA, 2006; pp. 997–1004. [Google Scholar]
- Hou, X.K.; Vanapalli, S.K.; Li, T.L. Water flow in unsaturated soils subjected to multiple infiltration events. Can. Geotech. J. 2020, 57, 366–376. [Google Scholar] [CrossRef]
- Li, Y.; Vanapalli, S.K. Correction functions for soil-water characteristics curves extending the principles of thermodynamics. Can. Geotech. J. 2023. accepted. [Google Scholar] [CrossRef]
- Li, X.; Li, X.K. A soil freezing-thawing model based on thermodynamics. Cold Reg. Sci. Technol. 2023, 211, 103867. [Google Scholar] [CrossRef]
- Li, X.; Zheng, S.F.; Wang, M.; Liu, A.Q. The prediction of the soil freezing characteristic curve using the soil water characteristic curve. Cold Reg. Sci. Technol. 2023, 212, 103880. [Google Scholar] [CrossRef]
- Li, X.K.; Li, X.; Liu, J.K. A dynamic soil freezing characteristic curve model for frozen soil. J. Rock Mech. Geotech. Eng. 2023. accepted. [Google Scholar] [CrossRef]
- Brooks, R.H.; Corey, A.T. Hydraulic Properties of Porous Media (Hydrology Paper No. 3); Colorado State University: Fort Collins, CO, USA, 1964. [Google Scholar]
- van Genuchten, M.T. A closed-form equation for predicting the hydraulic conductivity of unsaturated soils. Soil Sci. Soc. Am. J. 1980, 44, 892–898. [Google Scholar] [CrossRef]
- Fredlund, D.G.; Xing, A. Equations for the soil-water characteristic curve. Can. Geotech. J. 1994, 31, 521–532. [Google Scholar] [CrossRef]
- Li, Y.; Vanapalli, S.K. Models for predicting the soil-water characteristic curves for coarse and fine-grained soils. J. Hydro. 2022, 612 Pt C, 128248. [Google Scholar] [CrossRef]
- Leong, E.C.; Rahardjo, H. Review of soil-water characteristic curve equations. J. Geotech. Geoenviron. Eng. 1997, 123, 1106–1117. [Google Scholar] [CrossRef]
- Muraleetharan, K.K.; Liu, C.Y.; Wei, C.F.; Kibbey, T.C.G.; Chen, L.X. An elastoplastic framework for coupling hydraulic and mechanical behavior of unsaturated soils. Int. J. Plast. 2009, 25, 473–490. [Google Scholar] [CrossRef]


















Disclaimer/Publisher’s Note: The statements, opinions and data contained in all publications are solely those of the individual author(s) and contributor(s) and not of MDPI and/or the editor(s). MDPI and/or the editor(s) disclaim responsibility for any injury to people or property resulting from any ideas, methods, instructions or products referred to in the content. |
© 2024 by the authors. Licensee MDPI, Basel, Switzerland. This article is an open access article distributed under the terms and conditions of the Creative Commons Attribution (CC BY) license (https://creativecommons.org/licenses/by/4.0/).
Share and Cite
Li, Y.; Alves, R.; Vanapalli, S.; Gitirana, G., Jr. Models for Considering the Thermo-Hydro-Mechanical-Chemo Effects on Soil–Water Characteristic Curves. Geosciences 2024, 14, 38. https://doi.org/10.3390/geosciences14020038
Li Y, Alves R, Vanapalli S, Gitirana G Jr. Models for Considering the Thermo-Hydro-Mechanical-Chemo Effects on Soil–Water Characteristic Curves. Geosciences. 2024; 14(2):38. https://doi.org/10.3390/geosciences14020038
Chicago/Turabian StyleLi, Yao, Roberto Alves, Sai Vanapalli, and Gilson Gitirana, Jr. 2024. "Models for Considering the Thermo-Hydro-Mechanical-Chemo Effects on Soil–Water Characteristic Curves" Geosciences 14, no. 2: 38. https://doi.org/10.3390/geosciences14020038
APA StyleLi, Y., Alves, R., Vanapalli, S., & Gitirana, G., Jr. (2024). Models for Considering the Thermo-Hydro-Mechanical-Chemo Effects on Soil–Water Characteristic Curves. Geosciences, 14(2), 38. https://doi.org/10.3390/geosciences14020038

