On the Flow of CO2-Saturated Water in a Cement Fracture
Abstract
:1. Introduction
2. Materials and Methods
2.1. Governing Equations
2.2. Numerical Setup
3. Results and Discussion
3.1. Reactive Transport in Fractured Cement
3.2. Effects of Cement Porosity
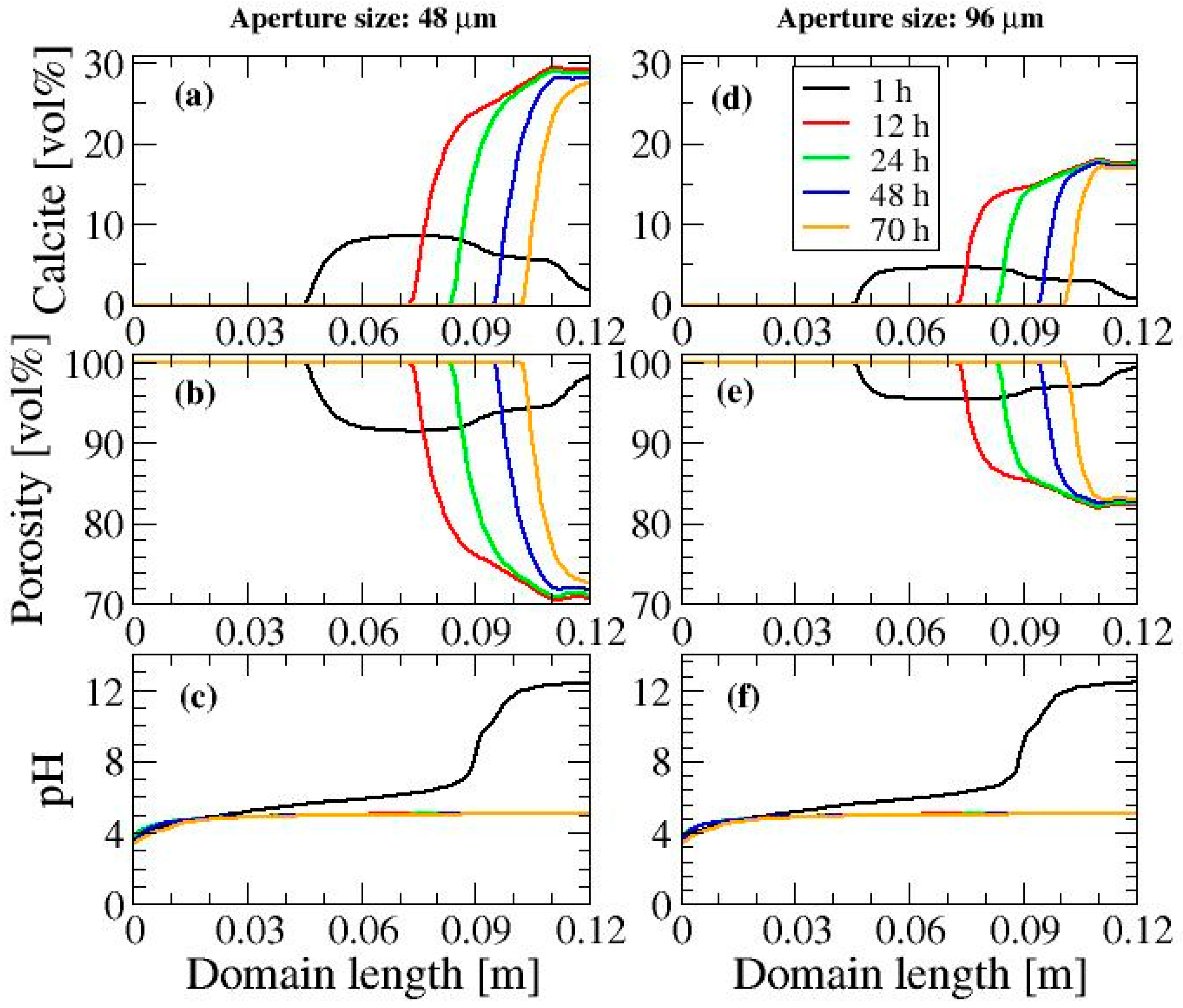
3.3. Effects of Initial Fracture Aperture Size
3.4. Effects of Fracture Surface Roughness
4. Conclusions
Author Contributions
Funding
Data Availability Statement
Disclaimer
Conflicts of Interest
References
- Blomberg, A.E.A.; Waarum, I.-K.; Totland, C.; Eek, E. Marine monitoring for offshore geological carbon storage—A review of strategies, technologies and trends. Geosciences 2021, 11, 383. [Google Scholar] [CrossRef]
- Phuoc, T.; Massoudi, M. Harvesting the potential of CO2 before it is injected into geological reservoirs. J. Energy Power Technol. 2021, 3, 050. [Google Scholar] [CrossRef]
- Phuoc, T.X.; Massoudi, M. Using CO2 as a cooling fluid for power plants: A novel approach for CO2 storage and utilization. Appl. Sci. 2021, 11, 4974. [Google Scholar] [CrossRef]
- Khan, C.; Pearce, J.K.; Golding, S.D.; Rudolph, V.; Underschultz, J.R. Carbon storage potential of north american oil & gas produced water injection with surface dissolution. Geosciences 2021, 11, 123. [Google Scholar]
- Le Gallo, Y.; De Dios, J.C. Geological model of a storage complex for a CO2 storage operation in a naturally-fractured carbonate formation. Geosciences 2018, 8, 354. [Google Scholar] [CrossRef]
- Phuoc, T.X.; Massoudi, M.; Wang, P.; McKoy, M.L. Heat losses associated with the upward flow of air, water, CO2 in geothermal production wells. Int. J. Heat Mass Transf. 2019, 132, 249–258. [Google Scholar] [CrossRef]
- Phuoc, T.X.; Massoudi, M.; Wang, P.; McKoy, M.L. A study of temperature distribution and thermal stresses in a hot rock due to rapid cooling. J. Heat Transf. 2020, 142, 042302. [Google Scholar] [CrossRef]
- Hoteit, H.; Fahs, M.; Soltanian, M.R. Assessment of CO2 injectivity during sequestration in depleted gas reservoirs. Geosciences 2019, 9, 199. [Google Scholar] [CrossRef]
- Cao, P.; Karpyn, Z.T.; Li, L. Self-healing of cement fractures under dynamic flow of CO2-rich brine. Water Resour. Res. 2015, 51, 4684–4701. [Google Scholar] [CrossRef]
- Huerta, N.J.; Hesse, M.A.; Bryant, S.L.; Strazisar, B.R.; Lopano, C.L. Experimental evidence for self-limiting reactive flow through a fractured cement core: Implications for time-dependent wellbore leakage. Environ. Sci. Technol. 2013, 47, 269–275. [Google Scholar] [CrossRef]
- Huerta, N.J.; Hesse, M.A.; Bryant, S.L.; Strazisar, B.R.; Lopano, C. Reactive transport of CO2-saturated water in a cement fracture: Application to wellbore leakage during geologic CO2 storage. Int. J. Greenh. Gas Control 2016, 44, 276–289. [Google Scholar] [CrossRef]
- Brunet, J.-P.L.; Li, L.; Karpyn, Z.T.; Huerta, N.J. Fracture opening or self-sealing: Critical residence time as a unifying parameter for cement–CO2–brine interactions. Int. J. Greenh. Gas Control 2016, 47, 25–37. [Google Scholar] [CrossRef]
- Iyer, J.; Walsh, S.D.C.; Hao, Y.; Carroll, S.A. Assessment of two-phase flow on the chemical alteration and sealing of leakage pathways in cemented wellbores. Int. J. Greenh. Gas Control 2018, 69, 72–80. [Google Scholar] [CrossRef]
- Starchenko, V.; Marra, C.J.; Ladd, A.J.C. Three-dimensional simulations of fracture dissolution. J. Geophys. Res. Solid Earth 2016, 121, 6421–6444. [Google Scholar] [CrossRef]
- Deng, H.; Molins, S.; Trebotich, D.; Steefel, C.; DePaolo, D. Pore-scale numerical investigation of the impacts of surface roughness: Upscaling of reaction rates in rough fractures. Geochim. Cosmochim. Acta 2018, 239, 374–389. [Google Scholar] [CrossRef]
- Deng, H.; Fitts, J.P.; Tappero, R.V.; Kim, J.J.; Peters, C.A. Acid erosion of carbonate fractures and accessibility of arsenic-bearing minerals: In operando synchrotron-based microfluidic experiment. Environ. Sci. Technol. 2020, 54, 12502–12510. [Google Scholar] [CrossRef]
- Molins, S. Reactive interfaces in direct numerical simulation of pore-scale processes. Rev. Mineral. Geochem. 2015, 80, 461–481. [Google Scholar] [CrossRef]
- Starchenko, V.; Ladd, A.J.C. The development of wormholes in laboratory-scale fractures: Perspectives from three-dimensional simulations. Water Resour. Res. 2018, 54, 7946–7959. [Google Scholar] [CrossRef]
- Prasianakis, N.I.; Curti, E.; Kosakowski, G.; Poonoosamy, J.; Churakov, S.V. Deciphering pore-level precipitation mechanisms. Sci. Rep. 2017, 7, 13765. [Google Scholar] [CrossRef]
- Tartakovsky, A.M.; Trask, N.; Pan, K.; Jones, B.; Pan, W.; Williams, J.R. Smoothed particle hydrodynamics and its applications for multiphase flow and reactive transport in porous media. Comput. Geosci. 2016, 20, 807–834. [Google Scholar] [CrossRef]
- Kang, Q.; Lichtner, P.C.; Viswanathan, H.S.; Abdel-Fattah, A.I. Pore scale modeling of reactive transport involved in geologic CO2 sequestration. Transp. Porous Media 2010, 82, 197–213. [Google Scholar] [CrossRef]
- Soulaine, C.; Maes, J.; Roman, S. Computational microfluidics for geosciences. Front. Water 2021, 3, 643714. [Google Scholar] [CrossRef]
- Molins, S.; Soulaine, C.; Prasianakis, N.I.; Abbasi, A.; Poncet, P.; Ladd, A.J.; Starchenko, V.; Roman, S.; Trebotich, D.; Tchelepi, H.A. Simulation of mineral dissolution at the pore scale with evolving fluid-solid interfaces: Review of approaches and benchmark problem set. Comput. Geosci. 2021, 25, 1285–1318. [Google Scholar] [CrossRef]
- Noiriel, C.; Soulaine, C. Pore-scale imaging and modelling of reactive flow in evolving porous media: Tracking the dynamics of the fluid–rock interface. Transp. Porous Media 2021, 140, 181–213. [Google Scholar] [CrossRef]
- Molins, S.; Trebotich, D.; Arora, B.; Steefel, C.I.; Deng, H. Multi-scale model of reactive transport in fractured media: Diffusion limitations on rates. Transp. Porous Media 2019, 128, 701–721. [Google Scholar] [CrossRef]
- Molins, S.; Knabner, P. Multiscale approaches in reactive transport modeling. Rev. Mineral. Geochem. 2019, 85, 27–48. [Google Scholar] [CrossRef]
- Yousefzadeh, M.; Battiato, I. Physics-based hybrid method for multiscale transport in porous media. J. Comput. Phys. 2017, 344, 320–338. [Google Scholar] [CrossRef]
- Steefel, C.I.; Beckingham, L.E.; Landrot, G. Micro-continuum approaches for modeling pore-scale geochemical processes. Rev. Mineral. Geochem. 2015, 80, 217–246. [Google Scholar] [CrossRef]
- Soulaine, C.; Tchelepi, H.A. Micro-continuum approach for pore-scale simulation of subsurface processes. Transp. Porous Media 2016, 113, 431–456. [Google Scholar] [CrossRef]
- Carrillo, F.J.; Bourg, I.C.; Soulaine, C. Multiphase flow modeling in multiscale porous media: An open-source micro-continuum approach. J. Comput. Phys. X 2020, 8, 100073. [Google Scholar] [CrossRef]
- You, J.; Lee, K.J. A pore–scale investigation of surface roughness on the evolution of natural fractures during acid dissolution using dbs method. J. Pet. Sci. Eng. 2021, 204, 108728. [Google Scholar] [CrossRef]
- Zhang, Q.; Deng, H.; Dong, Y.; Molins, S.; Li, X.; Steefel, C. Investigation of coupled processes in fractures and the bordering matrix via a micro-continuum reactive transport model. Water Resour. Res. 2022, 58, e2021WR030578. [Google Scholar] [CrossRef]
- Min, Y.; Montross, S.; Spaulding, R.; Brandi, M.; Huerta, N.; Thomas, R.; Kutchko, B. Alteration of fractured foamed cement exposed to CO2-saturated water: Implications for well integrity. Environ. Sci. Technol. 2021, 55, 13244–13253. [Google Scholar] [CrossRef] [PubMed]
- Tafen, D.N.; Kutchko, B.; Massoudi, M. A Brief Overview of Reactive Transport Codes Used in CO2 Applications; Technical Report.DOE/NETL-2022/3733; National Energy Technology Laboratory (NETL): Pittsburgh, PA, USA; Morgantown, WV, USA; Albany, OR, USA, 2022. [Google Scholar]
- Nelson, E.B.; Guillot, D. Well Cementing; Schlumberger: Houston, TX, USA, 2006. [Google Scholar]
- Taylor, H.F. Cement Chemistry; Thomas Telford: London, UK, 1997; Volume 2. [Google Scholar]
- Kutchko, B.G.; Strazisar, B.R.; Dzombak, D.A.; Lowry, G.V.; Thaulow, N. Degradation of well cement by CO2 under geologic sequestration conditions. Environ. Sci. Technol. 2007, 41, 4787. [Google Scholar] [CrossRef] [PubMed]
- Beavers, G.S.; Joseph, D.D. Boundary conditions at a naturally permeable wall. J. Fluid Mech. 1967, 30, 197–207. [Google Scholar] [CrossRef]
- Beckermann, C.; Viskanta, R. Natural convection solid/liquid phase change in porous media. Int. J. Heat Mass Transf. 1988, 31, 35–46. [Google Scholar] [CrossRef]
- Bennon, W.; Incropera, F. A continuum model for momentum, heat and species transport in binary solid-liquid phase change systems—I. Model formulation. Int. J. Heat Mass Transf. 1987, 30, 2161–2170. [Google Scholar] [CrossRef]
- Bousquet-Melou, P.; Goyeau, B.; Quintard, M.; Fichot, F.; Gobin, D. Average momentum equation for interdendritic flow in a solidifying columnar mushy zone. Int. J. Heat Mass Transf. 2002, 45, 3651–3665. [Google Scholar] [CrossRef]
- Brinkman, H.C. A calculation of the viscosity and the sedimentation constant for solutions of large chain molecules taking into account the hampered flow of the solvent through these molecules. Physica 1947, 13, 447–448. [Google Scholar] [CrossRef]
- Ochoa-Tapia, J.A.; Whitaker, S. Momentum transfer at the boundary between a porous medium and a homogeneous fluid—I. Theoretical development. Int. J. Heat Mass Transf. 1995, 38, 2635–2646. [Google Scholar] [CrossRef]
- Quintard, M.; Whitaker, S. Dissolution of an immobile phase during flow in porous media. Ind. Eng. Chem. Res. 1999, 38, 833–844. [Google Scholar] [CrossRef]
- Soulaine, C.; Pavuluri, S.; Claret, F.; Tournassat, C. PorousMedia4Foam: Multi-scale open-source platform for hydro-geochemical simulations with openfoam®. Environ. Model. Softw. 2021, 145, 105199. [Google Scholar] [CrossRef]
- Soulaine, C.; Roman, S.; Kovscek, A.; Tchelepi, H.A. Mineral dissolution and wormholing from a pore-scale perspective. J. Fluid Mech. 2017, 827, 457–483. [Google Scholar] [CrossRef]
- Lasaga, A.C. Transition state theory. In Kinetics of Geochemical Processes; Chapter 4; Anthonio, C.L., James, K., Eds.; De Gruyter: Berlin, Germany; Boston, MA, USA, 1981; pp. 135–170. [Google Scholar]
- Steefel, C.I.; Lasaga, A.C. A coupled model for transport of multiple chemical species and kinetic precipitation/dissolution reactions with application to reactive flow in single phase hydrothermal systems. Am. J. Sci. 1994, 294, 529–592. [Google Scholar] [CrossRef]
- Xie, M.; Mayer, K.U.; Claret, F.; Alt-Epping, P.; Jacques, D.; Steefel, C.; Chiaberge, C.; Simunek, J. Implementation and evaluation of permeability-porosity and tortuosity-porosity relationships linked to mineral dissolution-precipitation. Comput. Geosci. 2015, 19, 655–671. [Google Scholar] [CrossRef]
- Poonoosamy, J.; Wanner, C.; Alt Epping, P.; Águila, J.F.; Samper, J.; Montenegro, L.; Xie, M.; Su, D.; Mayer, K.U.; Mäder, U.; et al. Benchmarking of reactive transport codes for 2d simulations with mineral dissolution–precipitation reactions and feedback on transport parameters. Comput. Geosci. 2021, 25, 1337–1358. [Google Scholar] [CrossRef]
- Bear, J. Dynamics of Fluids in Porous Media; American Elsevier Publishing Company, Inc.: New York, NY, USA, 1972. [Google Scholar]
- Issa, R.I. Solution of the implicitly discretised fluid flow equations by operator-splitting. J. Comput. Phys. 1986, 62, 40–65. [Google Scholar] [CrossRef]
- Patankar, S.V. Numerical Heat Transfer and fluid Flow; Taylor & Francis: Abingdon, UK, 1980. [Google Scholar]
- Parkhurst, D.L.; Appelo, C. Description of input and examples for phreeqc version 3—A computer program for speciation, batch-reaction, one-dimensional transport, and inverse geochemical calculations. US Geol. Surv. Tech. Methods 2013, 6, 497. [Google Scholar]
- Parkhurst, D.L.; Wissmeier, L. Phreeqcrm: A reaction module for transport simulators based on the geochemical model phreeqc. Adv. Water Resour. 2015, 83, 176–189. [Google Scholar] [CrossRef]
- Pavuluri, S.; Tournassat, C.; Claret, F.; Soulaine, C. Reactive transport modeling with a coupled openfoam®-phreeqc platform. Transp. Porous Media 2022, 145, 475–504. [Google Scholar] [CrossRef]
- Brunet, J.-P.L.; Li, L.; Karpyn, Z.T.; Kutchko, B.G.; Strazisar, B.; Bromhal, G. Dynamic evolution of cement composition and transport properties under conditions relevant to geological carbon sequestration. Energy Fuels 2013, 27, 4208–4220. [Google Scholar] [CrossRef]
- Huerta, N.J.; Wenning, Q.C.; Hesse, M.A.; Bryant, S.L.; Lopano, C.L.; Strazisar, B.R. Development of reacted channel during flow of CO2 rich water along a cement fracture. Energy Procedia 2013, 37, 5692–5701. [Google Scholar] [CrossRef]
- Dávila, G.; Cama, J.; Chaparro, M.C.; Lothenbach, B.; Schmitt, D.R.; Soler, J.M. Interaction between CO2-rich acidic water, hydrated portland cement and sedimentary rocks: Column experiments and reactive transport modeling. Chem. Geol. 2021, 572, 120122. [Google Scholar] [CrossRef]
- Marty, N.C.M.; Tournassat, C.; Burnol, A.; Giffaut, E.; Gaucher, E.C. Influence of reaction kinetics and mesh refinement on the numerical modelling of concrete/clay interactions. J. Hydrol. 2009, 364, 58–72. [Google Scholar] [CrossRef]
- Marty, N.C.M.; Claret, F.; Lassin, A.; Tremosa, J.; Blanc, P.; Madé, B.; Giffaut, E.; Cochepin, B.; Tournassat, C. A database of dissolution and precipitation rates for clay-rocks minerals. Appl. Geochem. 2015, 55, 108–118. [Google Scholar] [CrossRef]
- Wolery, T.J.; Jackson, K.J.; Bourcier, W.L.; Bruton, C.J.; Viani, B.E.; Knauss, K.G.; Delany, J.M. Current status of the eq3/6 software package for geochemical modeling. In Chemical Modeling of Aqueous Systems II; American Chemical Society: Washington, DC, USA, 1990; Volume 416, pp. 104–116. [Google Scholar]
- Laubach, S.E.; Lander, R.H.; Criscenti, L.J.; Anovitz, L.M.; Urai, J.L.; Pollyea, R.M.; Hooker, J.N.; Narr, W.; Evans, M.A.; Kerisit, S.N.; et al. The role of chemistry in fracture pattern development and opportunities to advance interpretations of geological materials. Rev. Geophys. 2019, 57, 1065–1111. [Google Scholar] [CrossRef]
- Noiriel, C.; Gouze, P.; Madé, B. 3d analysis of geometry and flow changes in a limestone fracture during dissolution. J. Hydrol. 2013, 486, 211–223. [Google Scholar] [CrossRef]
- Luquot, L.; Abdoulghafour, H.; Gouze, P. Hydro-dynamically controlled alteration of fractured portland cements flowed by CO2-rich brine. Int. J. Greenh. Gas Control 2013, 16, 167. [Google Scholar] [CrossRef]
- Nguyen, P.; Guthrie, G.D.; Carey, J.W. Experimental validation of self-sealing in wellbore cement fractures exposed to high-pressure, CO2-saturated solutions. Int. J. Greenh. Gas Control 2020, 100, 103112. [Google Scholar] [CrossRef]
- He, X.; Sinan, M.; Kwak, H.; Hoteit, H. A corrected cubic law for single-phase laminar flow through rough-walled fractures. Adv. Water Resour. 2021, 154, 103984. [Google Scholar] [CrossRef]









| Unknown Variables | Equation Numbers | Initial Conditions | Boundary Conditions |
|---|---|---|---|
| (1) | u = 0 at walls | ||
| (7) | |||
| (8) |
| Primary Components | Units | Initial Condition | Injected Solution |
|---|---|---|---|
| pH | - | 13 | 3 |
| CO32− | mol/kgw | 1.5 | 1.5 |
| Ca2+ | mol/kgw | 0.001 | 10−20 |
| Si | mol/kgw | - | 10−20 |
| Reaction | log Keq | k (mol/m2/s) |
|---|---|---|
| Solid-phase reactions | ||
| Ca(OH)2(s) + 2H+ ↔ Ca2+ + 2H2O | 22.81 | 7.08 × 10−8 |
| C-S-H(s) + 3.6H+ ↔ 1.8Ca2+ + 7H2O + SiO2(am) | 32.60 | 7.94 × 10−11 |
| CaCO3(s) ↔ Ca2+ + CO32− | −8.48 | 4.57 × 10−7 |
| SiO2(am) ↔ SiO2(aq) | −2.71 | 1.00 × 10−10 |
| Aqueous-phase reactions | ||
| H2O ↔ H+ + OH− | −14.00 | - |
| CO2(aq) + H2O ↔ H+ + HCO3− | −6.35 | - |
| HCO3− ↔ H+ + CO32− | −10.33 | - |
| CaCO3(aq) ↔ Ca2+ + CO32− | −3.22 | - |
| CaHCO3+ ↔ Ca2+ + HCO3− | −1.11 | - |
| CaOH+ ↔ Ca2+ + OH− | −1.22 | - |
Disclaimer/Publisher’s Note: The statements, opinions and data contained in all publications are solely those of the individual author(s) and contributor(s) and not of MDPI and/or the editor(s). MDPI and/or the editor(s) disclaim responsibility for any injury to people or property resulting from any ideas, methods, instructions or products referred to in the content. |
© 2023 by the authors. Licensee MDPI, Basel, Switzerland. This article is an open access article distributed under the terms and conditions of the Creative Commons Attribution (CC BY) license (https://creativecommons.org/licenses/by/4.0/).
Share and Cite
Tafen, D.N.; Kutchko, B.; Massoudi, M. On the Flow of CO2-Saturated Water in a Cement Fracture. Geosciences 2023, 13, 312. https://doi.org/10.3390/geosciences13100312
Tafen DN, Kutchko B, Massoudi M. On the Flow of CO2-Saturated Water in a Cement Fracture. Geosciences. 2023; 13(10):312. https://doi.org/10.3390/geosciences13100312
Chicago/Turabian StyleTafen, De Nyago, Barbara Kutchko, and Mehrdad Massoudi. 2023. "On the Flow of CO2-Saturated Water in a Cement Fracture" Geosciences 13, no. 10: 312. https://doi.org/10.3390/geosciences13100312
APA StyleTafen, D. N., Kutchko, B., & Massoudi, M. (2023). On the Flow of CO2-Saturated Water in a Cement Fracture. Geosciences, 13(10), 312. https://doi.org/10.3390/geosciences13100312

