Scale-Dependent Transport of Saharan Dust by African Easterly Waves
Abstract
:1. Introduction
2. Analytical Analysis
3. Numerical Analysis
3.1. Model
3.1.1. Weather Research and Forecasting Dust Model (WRF-Dust)
3.1.2. Background Wind and Dust Fields
3.1.3. AEW Spectrum
3.1.4. Solution Procedure
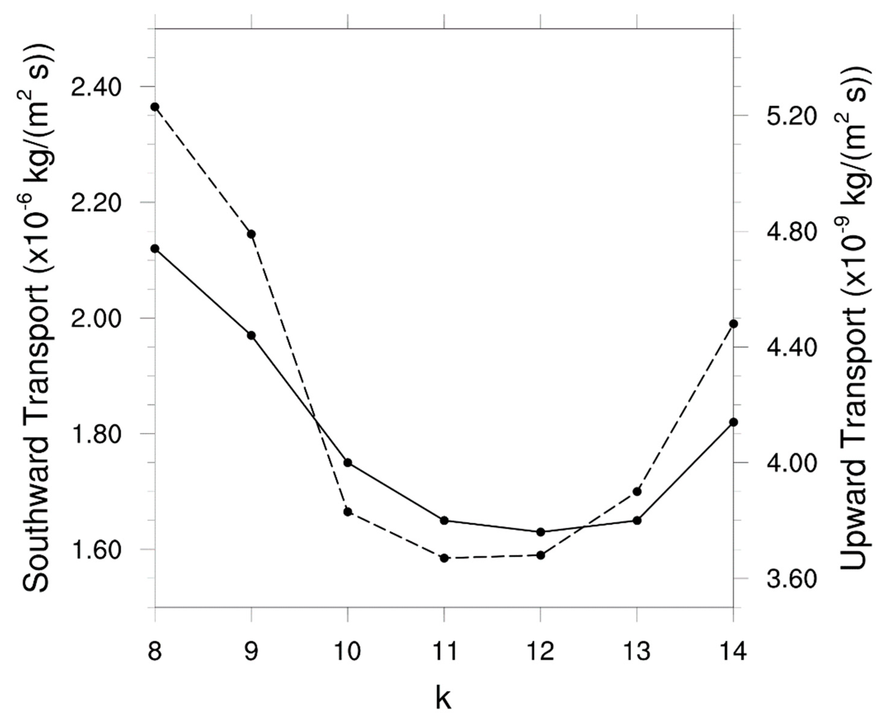
3.2. Results
4. Conclusions and Discussion
Author Contributions
Funding
Institutional Review Board Statement
Informed Consent Statement
Data Availability Statement
Acknowledgments
Conflicts of Interest
References
- Cuesta, J.; Marsham, J.H.; Parker, D.J.; Flamant, C. Dynamical mechanisms controlling the vertical redistribution of dust and the thermodynamic structure of the West Saharan atmospheric boundary layer during summer. Atmos. Sci. Let. 2009, 10, 34–42. [Google Scholar] [CrossRef]
- Knippertz, P.; Todd, M.C. Mineral dust aerosols over the Sahara: Meteorological controls on emission and transport and implications for modeling. Rev. Geophys. 2012, 50, 1007. [Google Scholar] [CrossRef]
- Carlson, T.N. Some remarks on African disturbances and their progress over the tropical Atlantic. Mon. Weather Rev. 1969, 97, 716–726. [Google Scholar] [CrossRef]
- Burpee, R.W. The origin and structure of easterly waves in the lower troposphere of North Africa. J. Atmos. Sci. 1972, 29, 77–90. [Google Scholar] [CrossRef]
- Reed, R.J.; Hollingsworth, A.; Heckley, W.A.; Delsol, F. An evaluation of the performance of the ECMWF Operational System in analyzing and forecasting easterly wave disturbances over Africa and the Tropical Atlantic. Mon. Weather Rev. 1988, 116, 824–865. [Google Scholar] [CrossRef]
- Pytharoulis, I.; Thorncroft, C.D. The low-level structure of African easterly waves in 1995. Mon. Weather Rev. 1999, 127, 2266–2280. [Google Scholar] [CrossRef]
- Jones, C.; Mahowald, N.; Luo, C. Observational evidence of African desert dust intensification of easterly waves. Geophys. Res. Lett. 2004, 31, L17208. [Google Scholar] [CrossRef]
- Ma, P.-L.; Zhang, K.; Shi, J.J.; Matsui, T.; Arking, A. Direct radiative effect of mineral dust on the development of African easterly waves. J. App. Meteor. Clim. 2012, 51, 2090–2104. [Google Scholar] [CrossRef]
- Hosseinpour, F.; Wilcox, E.M. Aerosol interactions with African/Atlantic climate dynamics. Environ. Res. Lett. 2014, 9, 075004. [Google Scholar] [CrossRef]
- Bercos-Hickey, E.; Nathan, T.R.; Chen, S.-H. Saharan Dust and the African Easterly Jet-African Easterly Wave System: Structure, Location, and Energetics. Q. J. Roy. Meteor. Soc. 2017, 143, 2797–2808. [Google Scholar] [CrossRef] [Green Version]
- Bercos-Hickey, E.; Nathan, T.R.; Chen, S.-H. Effects of Saharan dust aerosols and West African precipitation on the energetics of African easterly waves. J. Atmos. Sci. 2022, 79, 1911–1926. [Google Scholar] [CrossRef]
- Grogan, D.F.P.; Nathan, T.R.; Chen, S.-H. Effects of Saharan Dust on the Linear Dynamics of African Easterly Waves. J. Atmos. Sci. 2016, 73, 891–911. [Google Scholar] [CrossRef]
- Grogan, D.F.P.; Nathan, T.R.; Chen, S.-H. Saharan Dust and the Nonlinear Evolution of the African Easterly Jet–African Easterly Wave System. J. Atmos. Sci. 2017, 74, 27–47. [Google Scholar] [CrossRef]
- Nathan, T.R.; Grogan, D.F.P.; Chen, S.-H. Subcritical destabilization of African easterly waves by Saharan mineral dust. J. Atmos. Sci. 2017, 74, 1039–1055. [Google Scholar] [CrossRef]
- Grogan, D.F.P.; Thorncroft, C.D. The characteristics of African easterly waves coupled to Saharan mineral dust aerosols. Q. J. R. Meteorol. Soc. 2019, 145, 1130–1146. [Google Scholar] [CrossRef]
- Carlson, T.N.; Prospero, J.M. The large-scale movement of Saharan air outbreaks over the northern equatorial Atlantic. J. Appl. Meteor. 1972, 11, 283–297. [Google Scholar] [CrossRef]
- Jones, C.; Mahowald, N.; Luo, C. The role of easterly waves on African desert dust transport. J. Climate 2003, 16, 3617–3628. [Google Scholar] [CrossRef]
- Karyampudi, V.M.; Carlson, T.N. Analysis and numerical simulations of the Saharan air layer and its effect on easterly wave disturbances. J. Atmos. Sci. 1988, 45, 3102–3136. [Google Scholar] [CrossRef]
- Knippertz, P.; Todd, M.C. The central west Saharan dust hot spot and its relation to African easterly waves and extratropical disturbances. J. Geophys. Res. 2010, 115, D12117. [Google Scholar] [CrossRef]
- Nathan, T.R.; Grogan, D.F.P.; Chen, S.-H. Saharan dust transport during the incipient growth phase of African easterly waves. Geosciences 2019, 9, 388. [Google Scholar] [CrossRef] [Green Version]
- Grogan, D.F.P.; Nathan, T.R. Passive versus active transport of Saharan dust aerosols on African easterly waves. Atmosphere 2021, 12, 1509. [Google Scholar] [CrossRef]
- Pedlosky, J. Geophysical Fluid Dynamics; Springer: New York, NY, USA, 1987. [Google Scholar]
- Chen, S.-H.; Liu, Y.-C.; Nathan, T.R.; Davis, C.; Torn, R.; Sowa, N.; Cheng, C.-T.; Chen, J.-P. Modeling the effects of dust-radiative forcing on the movement of Hurricane Helene (2006). Q. J. R. Meteorol. Soc. 2015, 141, 2563–2570. [Google Scholar] [CrossRef]
- Chou, M.D.; Suarez, M.J. A solar radiation parameterization for atmospheric studies. NASA Tech. Memo. 1999, 15, 104606. [Google Scholar]
- Chou, M.D.; Suarez, M.J.; Liang, X.Z.; Yan, M.M.H. A thermal infrared radiation parameterization for Atmospheric Studies. NASA Tech. Memo. 2001, 19, 104606. [Google Scholar]
- Engelstaedter, S.; Washington, R. Atmospheric controls on the annual cycle of North African dust. J. Geophys. Res. 2007, 112, D03103. [Google Scholar] [CrossRef]
- Kocha, C.; Lafore, J.-P.; Tulet, P.; Seity, Y. High-resolution simulation of major West African dust-storm: Comparison with observations and investigation of dust impact. Quart. J. Roy. Meteor. Soc. 2012, 138, 455–470. [Google Scholar] [CrossRef]
- Burpee, R.W. Some features of synoptic-scale waves based on a compositing analysis of GATE data. Mon. Weather Rev. 1975, 103, 921–925. [Google Scholar] [CrossRef]
- Reed, R.J.; Norquist, D.C.; Recker, E.E. The structure and properties of African wave disturbances as observed during phase III of GATE. Mon. Weather Rev. 1977, 105, 317–333. [Google Scholar] [CrossRef]
- Gu, G.; Adler, R.F.; Huffman, G.J.; Curtis, S. Summer synoptic-scale waves over West Africa observed by TRMM. Geophys. Res. Lett. 2003, 30, 1729. [Google Scholar] [CrossRef]
- Hsieh, J.-S.; Cook, K.H. A study of the energetics of African easterly waves using a regional climate model. J. Atmos. Sci. 2007, 64, 421–440. [Google Scholar] [CrossRef]
- Nathan, T.R. Nonlinear spatial baroclinic instability in slowly varying zonal flow. Dyn. Atmos. Oceans 1997, 27, 81–90. [Google Scholar] [CrossRef]
- Thorncroft, C.D.; Hoskins, B.J. An idealized study of African easterly waves. II: A nonlinear view. Q. J. R. Meteorol. Soc. 1994, 120, 983–1015. [Google Scholar] [CrossRef]
- Hart, J.E. Wavenumber selection in nonlinear baroclinic instability. J. Atmos. Sci. 1981, 38, 400–408. [Google Scholar] [CrossRef]
- Appleby, J.C. Selection of baroclinic waves. Q. J. R. Meteorol. Soc. 1988, 114, 1173–1179. [Google Scholar] [CrossRef]
- Nathan, T.R. Finite amplitude interactions between unstable baroclinic waves and resonant topographic waves. J. Atmos. Sci. 1988, 45, 1052–1071. [Google Scholar] [CrossRef]
- Nathan, T.R. On the role of dissipation in the finite amplitude interactions between forced and free baroclinic waves. Geophys. Astrophys. Fluid Dyn. 1989, 45, 113–130. [Google Scholar] [CrossRef]







Publisher’s Note: MDPI stays neutral with regard to jurisdictional claims in published maps and institutional affiliations. |
© 2022 by the authors. Licensee MDPI, Basel, Switzerland. This article is an open access article distributed under the terms and conditions of the Creative Commons Attribution (CC BY) license (https://creativecommons.org/licenses/by/4.0/).
Share and Cite
Nathan, T.R.; Grogan, D.F.P. Scale-Dependent Transport of Saharan Dust by African Easterly Waves. Geosciences 2022, 12, 337. https://doi.org/10.3390/geosciences12090337
Nathan TR, Grogan DFP. Scale-Dependent Transport of Saharan Dust by African Easterly Waves. Geosciences. 2022; 12(9):337. https://doi.org/10.3390/geosciences12090337
Chicago/Turabian StyleNathan, Terrence R., and Dustin F. P. Grogan. 2022. "Scale-Dependent Transport of Saharan Dust by African Easterly Waves" Geosciences 12, no. 9: 337. https://doi.org/10.3390/geosciences12090337
APA StyleNathan, T. R., & Grogan, D. F. P. (2022). Scale-Dependent Transport of Saharan Dust by African Easterly Waves. Geosciences, 12(9), 337. https://doi.org/10.3390/geosciences12090337
