Rock Glacier Dynamics by a Thermo-Elastic-Viscoplastic Constitutive Relationship
Abstract
:1. Introduction
2. A Simplified Approach to Model Rock Glacier Response
2.1. Constitutive Relationship
- The material mechanical response is practically unaffected by the confining pressure;
- The material shear strength (both peak and residual) depends on temperature;
- During creep tests, the logarithm of the deviatoric strain rate linearly increases with the applied stress deviator.
2.2. Heat Transmission
2.3. One-Dimensional Problem Schematization
3. Case Study: Murtél-Corvatsch Rock Glacier
4. Model Application and Results
4.1. Sensitivity Analysis
4.2. Model Assumptions and Limitations
- The thermal problem is characterized by a complex time-varying boundary condition (on the top). In very simple, but unrealistic, cases (e.g., linearly increasing temperature or harmonically varying temperature), a closed form solution can be derived. Unfortunately, for the imposed boundary conditions (Figure 7b), an analytical solution for the thermal problem cannot be derived. Moreover, due to both the thermo-mechanical coupling and to the non-linearity of the constitutive relationship, which are also for the mechanical problem, a closed-form solution cannot be derived.
- The authors assumed that the presence of ice bonds provides a cohesion to the material. When the ice is completely melted, cohesion is expected to be nil. The melted material (a rock fragments–water mixture) is expected to behave as a standard soil at a critical state (i.e., without cohesion). However, since the lack of measurements of pore water pressure, a reliable evaluation of the effective stresses and, therefore, of material (frictional) shear resistance is not possible. For the sake of simplicity, the authors disregarded this contribution.
- When irreversible processes take place (in this case, the accumulation of irreversible strains) energy is dissipated (the dissipation can be measured as the product of stresses and irreversible strain rates). In principle, this dissipated energy is expected to induce a temperature increase (heat generation). For the sake of simplicity, in the proposed model, the authors disregarded this aspect. This assumption, however, does not compromise the model capability of reproducing the experimental results (Figure 8).
5. Conclusions
- Numerical results in terms of temperature time history are in satisfactory agreement with the experimental measures, confirming the suitability of the proposed model;
- In the considered time period (about 4 years), significant variations in the thermal properties of the system do not take place;
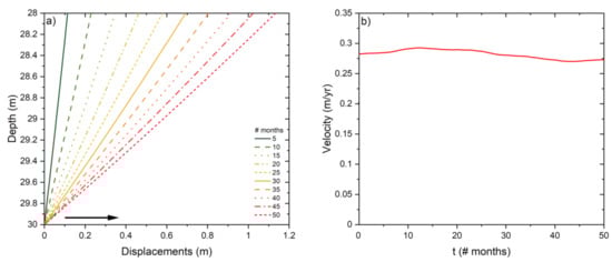
- The proposed model reproduces the correct order of magnitude of mean surface velocities.
Author Contributions
Funding
Acknowledgments
Conflicts of Interest
References
- Dramis, F.; Govi, M.; Guglielmin, M.; Mortara, G. Mountain permafrost and slope instability in the Italian Alps: The Val Pola Landslide. Permafr. Periglac. Process. 1995, 6, 73–81. [Google Scholar] [CrossRef]
- Mergili, M.; Jaboyedoff, M.; Pullarello, J.; Pudasaini, S.P. Back calculation of the 2017 Piz Cengalo–Bondo landslide cascade with r.avaflow: What we can do and what we can learn. Nat. Hazards Earth Syst. Sci. 2020, 20, 505–520. [Google Scholar] [CrossRef] [Green Version]
- Evans, D.J.A. High-latitude rock glaciers: A case study of forms and processes in the Canadian arctic. Permafr. Periglac. Process. 1993, 4, 17–35. [Google Scholar] [CrossRef]
- Scotti, R.; Brardinoni, F.; Alberti, S.; Frattini, P.; Crosta, G.B. A regional inventory of rock glaciers and protalus ramparts in the central Italian Alps. Geomorphology 2013, 186, 136–149. [Google Scholar] [CrossRef]
- Barsch, D. Permafrost creep and rockglaciers. Permafr. Periglac. Process. 1992, 3, 175–188. [Google Scholar] [CrossRef]
- PERMOS. Swiss Permafrost Bulletin 2018/2019; Pellet, C., Noetzli, J., Eds.; Swiss Permafrost Monitoring Network PERMOS: Fribourg, Switzerland, 2020; p. 20. [Google Scholar] [CrossRef]
- Bodin, X.; Rojas, F.; Brenning, A. Status and evolution of the cryosphere in the Andes of Santiago (Chile, 33.5° S.). Geomorphology 2010, 118, 453–464. [Google Scholar] [CrossRef]
- Müller, J.; Gärtner-Roer, I.; Kenner, R.; Thee, P.; Morche, D. Sediment storage and transfer on a periglacial mountain slope (Corvatsch, Switzerland). Geomorphology 2014, 218, 35–44. [Google Scholar] [CrossRef]
- Kääb, A. Remote sensing of permafrost-related problems and hazards. Permafr. Periglac. Process. 2008, 19, 107–136. [Google Scholar] [CrossRef]
- Perruchoud, E.; Delaloye, R. Short-Term Changes in Surface Velocities on the Becs-de-Bosson Rock Glacier (Western Swiss Alps); Elsevier: Amsterdam, The Netherlands, 2007; pp. 131–136. [Google Scholar]
- Wirz, V.; Gruber, S.; Purves, R.S.; Beutel, J.; Gärtner-Roer, I.; Gubler, S.; Vieli, A. Short-term velocity variations at three rock glaciers and their relationship with meteorological conditions. Earth Surf. Dyn. 2016, 4, 103–123. [Google Scholar] [CrossRef] [Green Version]
- Kääb, A.; Frauenfelder, R.; Roer, I. On the response of rock glacier creep to surface temperature increase. Glob. Planet Chang. 2007, 56, 172–187. [Google Scholar] [CrossRef]
- Kaufmann, V.; Ladstädter, R. Documentation and visualization of the morphodynamics of Hinteres Lang-talkar rock glacier (Hohe Tauern Range, Austrian Alps) based on aerial photographs (1954–2006) and geodetic measurements (1999–2007). In Proceedings of the 10th International Symposium on High Mountain Remote Sensing Cartography, Kathmandu, Nepal, 8–11 September 2008; Volume 30. [Google Scholar]
- Delaloye, R.; Perruchoud, E.; Avian, M.; Kaufmann, V.; Bodin, X.; Hausmann, H.; Ikeda, A.; Kääb, A.; Kellerer-Pirklbauer, A.; Krainer, K.; et al. Recent interannual variations of rock glacier creep in the European Alps. In Proceedings of the 9th International Conference on Permafrost; Springer: Berlin/Heidelberg, Germany, 2008; pp. 343–348. [Google Scholar]
- Scapozza, C.; Lambiel, C.; Bozzini, C.; Mari, S.; Conedera, M. Assessing the rock glacier kinematics on three different timescales: A case study from the southern Swiss Alps. Earth Surf. Process. Landf. 2014, 39, 2056–2069. [Google Scholar] [CrossRef] [Green Version]
- Nickus, U.; Abermann, J.; Fischer, A.; Krainer, K.; Schneider, H.; Span, N.; Thies, H. Rock Glacier Äußeres Hochebenkar (Austria)—Recent results of a monitoring network. Z. Gletsch. Glazialgeol. 2015, 47, 43–62. [Google Scholar]
- Sorg, A.; Kääb, A.; Roesch, A.; Bigler, C.; Stoffel, M. Contrasting responses of Central Asian rock glaciers to global warming. Sci. Rep. 2015, 5, 8228. [Google Scholar] [CrossRef] [Green Version]
- Jones, D.B.; Harrison, S.; Anderson, K.; Whalley, W.B. Rock glaciers and mountain hydrology: A review. Earth-Sci. Rev. 2019, 193, 66–90. [Google Scholar] [CrossRef]
- Mühll, D.V.; Arenson, L.U.; Springman, S.M. Temperature conditions in two Alpine rock glaciers. In Proceedings of the International Conference on Permafrost, Zürich, Switzerland, 21–25 July 2003; pp. 1195–1200. [Google Scholar]
- Cicoira, A.; Beutel, J.; Faillettaz, J.; Gärtner-Roer, I.; Vieli, A. Resolving the influence of temperature forcing through heat conduction on rock glacier dynamics: A numerical modelling approach. Cryosphere 2019, 13, 927–942. [Google Scholar] [CrossRef] [Green Version]
- Arenson, L.; Hoelzle, M.; Springman, S. Borehole deformation measurements and internal structure of some rock glaciers in Switzerland. Permafr. Periglac. Process. 2002, 13, 117–135. [Google Scholar] [CrossRef]
- Haeberli, W.; Hallet, B.; Arenson, L.; Elconin, R.; Humlum, O.; Kääb, A.; Kaufmann, V.; Ladanyi, B.; Matsuoka, N.; Springman, S.; et al. Permafrost creep and rock glacier dynamics. Permafr. Periglac. Process. 2006, 17, 189–214. [Google Scholar] [CrossRef]
- Haeberli, W.; Hunder, J.; Keusen, H.-R.; Pika, J.; Rothlisberger, H. Core drilling through rock-glacier permafrost. In Proceedings of the 5th International Conference on Permafrost; Elsevier: Trondheim, Norway, 1988; Volume 2, pp. 937–942. [Google Scholar]
- Arenson, L.U.; Springman, S.M. Mathematical descriptions for the behaviour of ice-rich frozen soils at temperatures close to 0 °C. Can. Geotech. J. 2005, 42, 431–442. [Google Scholar] [CrossRef]
- Cicoira, A.; Marcer, M.; Gärtner-Roer, I.; Bodin, X.; Arenson, L.U.; Vieli, A. A general theory of rock glacier creep based on in-situ and remote sensing observations. Permafr. Periglac. Process. 2021, 32, 139–153. [Google Scholar] [CrossRef]
- Arenson, L. Unstable Alpine Permafrost: A Potentially Important Natural Hazard. Variations of Geotechnical Behaviour with Time and Temperature; ETH: Zürich, Switzerland, 2002. [Google Scholar]
- Wagner, S. Creep of Alpine permafrost, investigated on the Murtèl rock glacier. Permafr. Periglac. Process. 1992, 3, 157–162. [Google Scholar] [CrossRef]
- Springman, S.M.; Arenson, L.U.; Yamamoto, Y.; Maurer, H.; Kos, A.; Buchli, T.; Derungs, G. Multidisciplinary investigations on three rock glaciers in the Swiss Alps: Legacies and future perspectives. Geogr. Ann. Ser. A Phys. Geogr. 2012, 94, 215–243. [Google Scholar] [CrossRef]
- Yamamoto, Y.; Springman, S.M. Axial compression stress path tests on artificial frozen soil samples in a triaxial device at temperatures just below 0 °C. Can. Geotech. J. 2014, 51, 1178–1195. [Google Scholar] [CrossRef]
- Yamamoto, Y.; Springman, S.M. Three- and four-point bending tests on artificial frozen soil samples at temperatures close to 0 °C. Cold Reg. Sci. Technol. 2017, 134, 20–32. [Google Scholar] [CrossRef] [Green Version]
- Wang, G.; Calvetti, F. DEM Simulation of frozen granular soils with high ice content. In Proceedings of the EECE 2020; Springer Science and Business Media LLC: Berlin/Heidelberg, Germany, 2019; pp. 472–480. [Google Scholar]
- Wang, G.; Calvetti, F. DEM modelling of ice filled rock joints. In Proceedings of the Lecture Notes in Civil Engineering; Springer Science and Business Media LLC: Berlin/Heidelberg, Germany, 2021; pp. 941–948. [Google Scholar]
- Glen, J.W. The flow law of ice: A discussion of the assumptions made in glacier theory, their experimental foundations and consequences. IASH Publ. 1958, 47, e183. [Google Scholar]
- Nye, J.F. The mechanics of glacier flow. J. Glaciol. 1952, 2, 82–93. [Google Scholar] [CrossRef] [Green Version]
- Ikeda, A.; Matsuoka, N. Degradation of talus-derived rock glaciers in the Upper Engadin, Swiss Alps. Permafr. Periglac. Process. 2002, 13, 145–161. [Google Scholar] [CrossRef]
- Kellerer-Pirklbauer, A.; Kaufmann, V. About the relationship between rock glacier velocity and climate parameters in central Austria. Austrian J. Earth Sci. 2012, 105, 94–112. [Google Scholar]
- Zimmermann, M.; Haeberli, W. Climatic change and debris flow activity in high-mountain areas—A case study in the Swiss Alps. Greenhouse impact on cold-climate ecosystems and landscapes. Catena 1992, 22, 59–72. [Google Scholar]
- Böckli, L. Characterizing Permafrost in the Entire European Alps: Spatial Distribution and Ice Content. Ph.D. Thesis, Mathematisch-Naturwissenschaftlichen Fakultät der Universität Zürich, Zürich, Switzerland, 2013. Available online: http://www.zora.uzh.ch/89504/ (accessed on 23 June 2016).
- Buchli, T.; Kos, A.; Limpach, P.; Merz, K.; Zhou, X.; Springman, S.M. Kinematic investigations on the Furggwanghorn Rock Glacier, Switzerland. Permafr. Periglac. Process. 2018, 29, 3–20. [Google Scholar] [CrossRef]
- Perzyna, P. The constitutive equations for rate sensitive plastic materials. Q. Appl. Math. 1963, 20, 321–332. [Google Scholar] [CrossRef] [Green Version]
- Arenson, L.U.; Hauck, C.; Hilbich, C.; Seward, L.; Yamamoto, Y.; Springman, S.M. Sub-surface Heterogeneities in the Murtèl: Corvatsch Rock Glacier, Switzerland. In Proceedings of the Joint 63rd Canadian Geotechnical Conference and the 6th Canadian Permafrost Conference; Canadian Geotechnical Society: Vancouver, BC, Canada, 2010; pp. 1494–1500. [Google Scholar]
- Maurer, H.; Hauck, C. Geophysical imaging of alpine rock glaciers. J. Glaciol. 2007, 53, 110–120. [Google Scholar] [CrossRef] [Green Version]
- Di Prisco, C.; Flessati, L. Progressive failure in elastic-viscoplastic media: From theory to practice. Géotechnique 2021, 71, 153–169. [Google Scholar] [CrossRef]
- Di Prisco, C.; Pisano, F. An exercise on slope stability and perfect elastoplasticity. Géotechnique 2011, 61, 923–934. [Google Scholar] [CrossRef]
- Hanson, S.; Hoelzle, M. The thermal regime of the active layer at the Murtèl rock glacier based on data from 2002. Permafr. Periglac. Process. 2004, 15, 273–282. [Google Scholar] [CrossRef]
- Hoelzle, M.; Haeberli, W.; Stocker-Mittaz, C. Miniature ground temperature data logger measurements 2000–2002 in the Murtèl-Corvatsch area, Eastern Swiss Alps. In Proceedings of the 8th International Conference on Permafrost; Balkema: Lisse, The Netherlands, 2003; Volume 21, p. 25. [Google Scholar]
- Haeberli, W. Consequences of global change effects on cryospheric processes and hydrology in alpine environments. In Europe’s Cold Regions: Scenarios for Landscape Responses to Global Change; Grabherr, G., Heal, O.W., Gottfried, M., Pauli, H., Reiter, K., Eds.; Department of Vegetation Ecology and Conservation Biology, Institute of Plant Physiology, University of Vienna: Vienna, Austria, 1999; p. 13. [Google Scholar]
- Laustela, M.; Egli, M.; Frauenfelder, R.; Kääb, A.; Maisch MHaeberli, W. Weathering rind measurements and relative age dating of rockglacier surfaces in crystalline regions of the Eastern Swiss Alps. In Proceedings of the 8th International Conference on Permafrost, Zürich, Switzerland, 21–25 July 2003; Volume 1, pp. 627–632. [Google Scholar]
- Haeberli, W.; Brandova, D.; Burga, C.; Egli, M.; Frauenfelder, R.; Kääb, A.; Maisch, M.; Mauz, B.; Dikau, R. Methods for absolute and relative age dating of rock-glacier surfaces in alpine permafrost. In Proceedings of the 8th International Conference on Permafrost; Balkema: Zürich, Switzerland, 2003; pp. 343–348. [Google Scholar]










| Parameters | Value |
|---|---|
| C1 | 500 kPa |
| C2 | 1.2 °C |
| η | 3.51–7 1/s |
| α | 5.2 |
Publisher’s Note: MDPI stays neutral with regard to jurisdictional claims in published maps and institutional affiliations. |
© 2021 by the authors. Licensee MDPI, Basel, Switzerland. This article is an open access article distributed under the terms and conditions of the Creative Commons Attribution (CC BY) license (https://creativecommons.org/licenses/by/4.0/).
Share and Cite
Alberti, S.; Flessati, L. Rock Glacier Dynamics by a Thermo-Elastic-Viscoplastic Constitutive Relationship. Geosciences 2021, 11, 417. https://doi.org/10.3390/geosciences11100417
Alberti S, Flessati L. Rock Glacier Dynamics by a Thermo-Elastic-Viscoplastic Constitutive Relationship. Geosciences. 2021; 11(10):417. https://doi.org/10.3390/geosciences11100417
Chicago/Turabian StyleAlberti, Stefano, and Luca Flessati. 2021. "Rock Glacier Dynamics by a Thermo-Elastic-Viscoplastic Constitutive Relationship" Geosciences 11, no. 10: 417. https://doi.org/10.3390/geosciences11100417
APA StyleAlberti, S., & Flessati, L. (2021). Rock Glacier Dynamics by a Thermo-Elastic-Viscoplastic Constitutive Relationship. Geosciences, 11(10), 417. https://doi.org/10.3390/geosciences11100417

