Dietary Organic Selenium Supplementation for Weaned Piglets Challenged with Deoxynivalenol
Simple Summary
Abstract
1. Introduction
2. Materials and Methods
2.1. Experimental Design
2.2. Sample Collection
2.3. Laboratory Analysis
2.3.1. ATTD Analysis
2.3.2. Cecum Microbiota Analysis
2.4. Statistical Analysis
3. Results
3.1. ATTD
3.2. Diversity of Cecum Microbiota
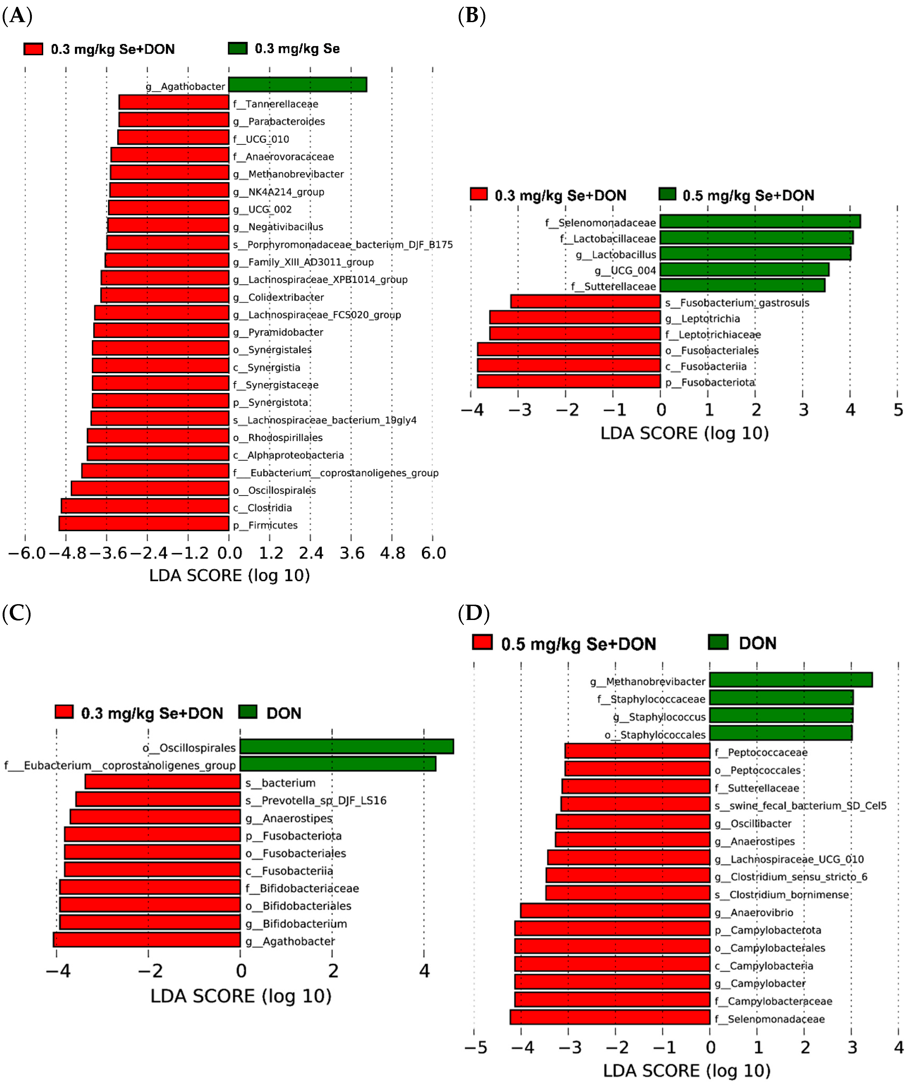
3.3. Composition of Cecum Microbiota
3.4. Predicted Metabolic Functions of Cecum Microbiota
3.5. Correlation Analysis of Cecum Microbiota and ATTD of Nutrients
4. Discussion
5. Conclusions
Author Contributions
Funding
Institutional Review Board Statement
Informed Consent Statement
Data Availability Statement
Conflicts of Interest
References
- Patience, J.F.; Rossoni-Serão, M.C.; Gutiérrez, N.A. A review of feed efficiency in swine: Biology and application. J. Anim. Sci. Biotechnol. 2015, 6, 33. [Google Scholar] [CrossRef]
- Yang, C.; Song, G.; Lim, W. Effects of mycotoxin-contaminated feed on farm animals. J. Hazard. Mater. 2020, 389, 122087. [Google Scholar] [CrossRef]
- Chen, J.; Huang, Z.; Cao, X.; Chen, X.; Zou, T.; You, J. Plant-derived polyphenols as Nrf2 activators to counteract oxidative stress and intestinal toxicity induced by deoxynivalenol in swine: An emerging research direction. Antioxidants 2022, 11, 2379. [Google Scholar] [CrossRef]
- Gruber-Dorninger, C.; Jenkins, T.; Schatzmayr, G. Global mycotoxin occurrence in feed: A ten-year survey. Toxins 2019, 11, 375. [Google Scholar] [CrossRef]
- Shin, S.Y.; Yoo, S.B.; Song, Y.S.; Park, N.; Kim, B.G. Effects of a bentonite clay product and a preservative blend on ileal and fecal nutrient digestibility in pigs fed wheat naturally contaminated with deoxynivalenol. Animals 2023, 13, 3752. [Google Scholar] [CrossRef]
- Jo, H.; Kong, C.; Song, M.; Kim, B.G. Effects of dietary deoxynivalenol and zearalenone on apparent ileal digestibility of amino acids in growing pigs. Anim. Feed Sci. Technol. 2016, 219, 77–82. [Google Scholar] [CrossRef]
- Liao, Y.; Peng, Z.; Chen, L.; Nüssler, A.K.; Liu, L.; Yang, W. Deoxynivalenol, gut microbiota and immunotoxicity: A potential approach? Food Chem. Toxicol. 2018, 112, 342–354. [Google Scholar] [CrossRef] [PubMed]
- Peng, Z.; Chen, L.; Xiao, J.; Zhou, X.; Nüssler, A.K.; Liu, L.; Liu, J.; Yang, W. Review of mechanisms of deoxynivalenol-induced anorexia: The role of gut microbiota. J. Appl. Toxicol. 2017, 37, 1021–1029. [Google Scholar] [CrossRef] [PubMed]
- Wang, S.; Yang, J.; Zhang, B.; Zhang, L.; Wu, K.; Yang, A.; Li, C.; Wang, Y.; Zhang, J.; Qi, D. Potential link between gut microbiota and deoxynivalenol-induced feed refusal in weaned piglets. J. Agric. Food Chem. 2019, 67, 4976–4986. [Google Scholar] [CrossRef] [PubMed]
- Metzler, B.; Mosenthin, R. A review of interactions between dietary fiber and the gastrointestinal microbiota and their consequences on intestinal phosphorus metabolism in growing pigs. Asian-Australas. J. Anim. Sci. 2008, 21, 603–615. [Google Scholar] [CrossRef]
- Wang, S.; Zhang, C.; Yang, J.; Wang, X.; Wu, K.; Zhang, B.; Zhang, J.; Yang, A.; Rajput, S.A.; Qi, D. Sodium butyrate protects the intestinal barrier by modulating intestinal host defense peptide expression and gut microbiota after a challenge with deoxynivalenol in weaned piglets. J. Agric. Food Chem. 2020, 68, 4515–4527. [Google Scholar] [CrossRef] [PubMed]
- Chen, J.; Han, J.H.; Guan, W.T.; Chen, F.; Wang, C.X.; Zhang, Y.Z.; Lv, Y.T.; Lin, G. Selenium and vitamin E in sow diets: I. effect on antioxidant status and reproductive performance in multiparous sows. Anim. Feed Sci. Technol. 2016, 221, 111–123. [Google Scholar] [CrossRef]
- Chen, J.; Han, J.H.; Guan, W.T.; Chen, F.; Wang, C.X.; Zhang, Y.Z.; Lv, Y.T.; Lin, G. Selenium and vitamin E in sow diets: II. effect on selenium status and antioxidant status of the progeny. Anim. Feed Sci. Technol. 2016, 221, 101–110. [Google Scholar] [CrossRef]
- Huang, Z.; Zhong, H.; Li, T.; Wang, Z.; Chen, X.; Zou, T.; You, J.; Chen, J. Selenomethionine alleviates deoxynivalenol-induced oxidative injury in porcine intestinal epithelial cells independent of MAPK pathway regulation. Antioxidants 2024, 13, 356. [Google Scholar] [CrossRef] [PubMed]
- Song, X.; Qiao, L.; Dou, X.; Chang, J.; Zhang, Y.; Xu, C. Selenium nanoparticles alleviate deoxynivalenol-induced intestinal epithelial barrier dysfunction by regulating endoplasmic reticulum stress in IPEC-J2 cells. Toxicology 2023, 494, 153593. [Google Scholar] [CrossRef]
- Zhong, H.; Huang, Z.; Li, L.; Chen, X.; Zou, T.; Chen, J.; You, J. Selenomethionine supplementation mitigates liver dysfunction, oxidative injury and apoptosis through enhancing antioxidant capacity and inhibiting JNK MAPK pathway in piglets fed deoxynivalenol-contaminated diets. Antioxidants 2024, 13, 295. [Google Scholar] [CrossRef]
- Wang, X.; Zuo, Z.; Deng, J.; Zhang, Z.; Chen, C.; Fan, Y.; Peng, G.; Cao, S.; Hu, Y.; Yu, S. Protective role of selenium in immune-relevant cytokine and immunoglobulin production by piglet splenic lymphocytes exposed to deoxynivalenol. Biol. Trace Elem. Res. 2018, 184, 83–91. [Google Scholar] [CrossRef]
- Ren, Z.; Fan, Y.; Zhang, Z.; Chen, C.; Chen, C.; Wang, X.; Deng, J.; Peng, G.; Hu, Y.; Cao, S. Sodium selenite inhibits deoxynivalenol-induced injury in GPX1-knockdown porcine splenic lymphocytes in culture. Sci. Rep. 2018, 8, 17676. [Google Scholar] [CrossRef]
- Wang, X.; Zuo, Z.; Zhao, C.; Zhang, Z.; Peng, G.; Cao, S.; Hu, Y.; Yu, S.; Zhong, Z.; Deng, J.; et al. Protective role of selenium in the activities of antioxidant enzymes in piglet splenic lymphocytes exposed to deoxynivalenol. Environ. Toxicol. Pharmacol. 2016, 47, 53–61. [Google Scholar] [CrossRef]
- Zhai, Q.; Cen, S.; Li, P.; Tian, F.; Zhao, J.; Zhang, H.; Chen, W. Effects of dietary selenium supplementation on intestinal barrier and immune responses associated with its modulation of gut microbiota. Environ. Sci. Technol. Lett. 2018, 5, 724–730. [Google Scholar] [CrossRef]
- Zhao, Y.; Chen, H.; Li, W.; He, Q.; Liang, J.; Yan, X.; Yuan, Y.; Yue, T. Selenium-containing tea polysaccharides ameliorate DSS-induced ulcerative colitis via enhancing the intestinal barrier and regulating the gut microbiota. Int. J. Biol. Macromol. 2022, 209, 356–366. [Google Scholar] [CrossRef]
- Ramírez-Acosta, S.; Selma-Royo, M.; Collado, M.C.; Navarro-Roldán, F.; Abril, N.; García-Barrera, T. Selenium supplementation influences mice testicular selenoproteins driven by gut microbiota. Sci. Rep. 2022, 12, 4218. [Google Scholar] [CrossRef]
- Dowley, A.; Sweeney, T.; Conway, E.; Vigors, S.; Ryan, M.T.; Yadav, S.; Wilson, J.; O’Doherty, J.V. The effects of dietary supplementation with mushroom or selenium enriched mushroom powders on the growth performance and intestinal health of post-weaned pigs. J. Anim. Sci. Biotechnol. 2023, 14, 12. [Google Scholar] [CrossRef]
- Lv, C.H.; Wang, T.; Regmi, N.; Chen, X.; Huang, K.; Liao, S.F. Effects of dietary supplementation of selenium-enriched probiotics on production performance and intestinal microbiota of weanling piglets raised under high ambient temperature. J. Anim. Physiol. Anim. Nutr. 2015, 99, 1161–1171. [Google Scholar] [CrossRef]
- Su, L.; Yi, H.; Xu, E.; Xiao, M.; Gao, Y. Colonic bacterial community responding to selenium-enriched yeast supplementation associated with improved gut mucus function in growing-finishing pigs. BMC Microbiol. 2025, 25, 213. [Google Scholar] [CrossRef] [PubMed]
- Li, Y.; Wang, J.; Xing, H.; Bao, J. Selenium mitigates ammonia-induced neurotoxicity by suppressing apoptosis, immune imbalance, and gut microbiota-driven metabolic disturbance in fattening pigs. Biol. Trace Elem. Res. 2023, 201, 3341–3355. [Google Scholar] [CrossRef]
- Li, Z.; Dong, Y.; Chen, S.; Jia, X.; Jiang, X.; Che, L.; Lin, Y.; Li, J.; Feng, B.; Fang, Z.; et al. Organic selenium increased gilts antioxidant capacity, immune function, and changed intestinal microbiota. Front. Microbiol. 2021, 12, 723190. [Google Scholar] [CrossRef] [PubMed]
- Bracarense, A.-P.F.L.; Lucioli, J.; Grenier, B.; Drociunas Pacheco, G.; Moll, W.-D.; Schatzmayr, G.; Oswald, I.P. Chronic ingestion of deoxynivalenol and fumonisin, alone or in interaction, induces morphological and immunological changes in the intestine of piglets. Br. J. Nutr. 2012, 107, 1776–1786. [Google Scholar] [CrossRef]
- National Research Council (NRC). Nutrient Requirements of Swine; National Academies Press: Washington, DC, USA, 2012. [Google Scholar]
- Prawirodigdo, S.; Gannon, N.J.; Leury, B.J.; Dunshea, F.R. Acid-insoluble ash is a better indigestible marker than chromic oxide to measure apparent total tract digestibility in pigs. Anim. Nutr. 2021, 7, 64–71. [Google Scholar] [CrossRef]
- Pu, J.; Yuan, Q.; Yan, H.; Tian, G.; Chen, D.; He, J.; Zheng, P.; Yu, J.; Mao, X.; Huang, Z.; et al. Effects of chronic exposure to low levels of dietary aflatoxin B1 on growth performance, apparent total tract digestibility and intestinal health in pigs. Animals 2021, 11, 336. [Google Scholar] [CrossRef] [PubMed]
- AOAC. Official Methods of Analysis, 16th ed.; AOAC International: Washington, DC, USA, 1995. [Google Scholar]
- Mwaniki, A.W.; Buis, Q.R.; Trott, D.; Huber, L.-A.; Yang, C.; Kiarie, E.G. Comparative efficacy of commercially available deoxynivalenol detoxifying feed additives on growth performance, total tract digestibility of components, and physiological responses in nursery pigs fed diets formulated with naturally contaminated corn. Transl. Anim. Sci. 2021, 5, txab050. [Google Scholar] [CrossRef]
- Guerre, P. Mycotoxin and gut microbiota interactions. Toxins 2020, 12, 769. [Google Scholar] [CrossRef]
- Gao, Y.; Xu, Y.; Yin, J. Selenomethionine ameliorates cognitive impairment, decreases hippocampal oxidative stress and attenuates dysbiosis in D-galactose-treated mice. Antioxidants 2022, 11, 111. [Google Scholar] [CrossRef]
- Zhai, X.; Qiu, Z.; Wang, L.; Luo, Y.; He, W.; Yang, J. Possible toxic mechanisms of deoxynivalenol (DON) exposure to intestinal barrier damage and dysbiosis of the gut microbiota in laying hens. Toxins 2022, 14, 682. [Google Scholar] [CrossRef]
- Sun, H.; Lv, B.; Zhu, H.; Zeng, Z.; El-Ashram, S.; Li, J.; Chao, Y.; Wang, J.; Wang, Z. Selenized glucose improves rat semen quality by improving the gut microbiota and serum metabolome. Food Funct. 2023, 14, 5105–5119. [Google Scholar] [CrossRef]
- Cui, Y.; Guan, H.; Okyere, S.K.; Hua, Z.; Deng, Y.; Deng, H.; Ren, Z.; Deng, J. Microbial guardians or foes? Metagenomics reveal association of gut microbiota in intestinal toxicity caused by DON in mice. Int. J. Mol. Sci. 2025, 26, 1712. [Google Scholar] [CrossRef] [PubMed]
- Fang, M.; Hu, W.; Liu, B. Effects of nano-selenium on cecum microbial community and metabolomics in chickens challenged with ochratoxin A. Front. Vet. Sci. 2023, 10, 1228360. [Google Scholar] [CrossRef] [PubMed]
- Reyer, H.; Sjöberg, P.J.R.; Oster, M.; Wubuli, A.; Murani, E.; Ponsuksili, S.; Wolf, P.; Wimmers, K. Mineral phosphorus supply in piglets impacts the microbial composition and phytate utilization in the large intestine. Microorganisms 2021, 9, 1197. [Google Scholar] [CrossRef]
- Niu, Q.; Pu, G.; Fan, L.; Gao, C.; Lan, T.; Liu, C.; Du, T.; Kim, S.W.; Niu, P.; Zhang, Z.; et al. Identification of gut microbiota affecting fiber digestibility in pigs. Curr. Issues Mol. Biol. 2022, 44, 4557–4569. [Google Scholar] [CrossRef] [PubMed]
- Chen, J.; Zhang, F.; Guan, W.; Song, H.; Tian, M.; Cheng, L.; Shi, K.; Song, J.; Chen, F.; Zhang, S. Increasing selenium supply for heat-stressed or actively cooled sows improves piglet preweaning survival, colostrum and milk composition, as well as maternal selenium, antioxidant status and immunoglobulin transfer. J. Trace Elem. Med. Biol. 2019, 52, 89–99. [Google Scholar] [CrossRef]
- Chen, J.; Tian, M.; Guan, W.; Wen, T.; Yang, F.; Chen, F.; Zhang, S.; Song, J.; Ren, C.; Zhang, Y. Increasing selenium supplementation to a moderately-reduced energy and protein diet improves antioxidant status and meat quality without affecting growth performance in finishing pigs. J. Trace Elem. Med. Biol. 2019, 56, 38–45. [Google Scholar] [CrossRef] [PubMed]
- Chen, F.; Liu, Z.; Xie, C.; He, J.; Chen, J.; Peng, K.; Chen, X.; He, J.; Liu, Z.; Yang, H.; et al. The effect of Alpinia oxyphylla essential oil on growth performance, immune, antioxidant functions and gut microbiota in pigs. Front. Vet. Sci. 2024, 11, 1468520. [Google Scholar] [CrossRef]
- Qin, S.; Peng, Y.; She, F.; Zhang, J.; Li, L.; Chen, F. Positive effects of selenized-oligochitosan on zearalenone-induced intestinal dysfunction in piglets. Front. Vet. Sci. 2023, 10, 1184969. [Google Scholar] [CrossRef]
- Wang, D.; Kuang, Y.; Lv, Q.; Xie, W.; Xu, X.; Zhu, H.; Zhang, Y.; Cong, X.; Cheng, S.; Liu, Y. Selenium-enriched Cardamine violifolia protects against sepsis-induced intestinal injury by regulating mitochondrial fusion in weaned pigs. Sci. China Life Sci. 2023, 66, 2099–2111. [Google Scholar] [CrossRef]








| Items | Dietary Treatment Groups | |||
|---|---|---|---|---|
| Group 1 | Group 2 | Group 3 | Group 4 | |
| DON supplementation level 1 | 0 mg/kg | 3.0 mg/kg | 3.0 mg/kg | 3.0 mg/kg |
| Se supplementation level 2 | 0.3 mg/kg | 0 mg/kg | 0.3 mg/kg | 0.5 mg/kg |
Disclaimer/Publisher’s Note: The statements, opinions and data contained in all publications are solely those of the individual author(s) and contributor(s) and not of MDPI and/or the editor(s). MDPI and/or the editor(s) disclaim responsibility for any injury to people or property resulting from any ideas, methods, instructions or products referred to in the content. |
© 2025 by the authors. Licensee MDPI, Basel, Switzerland. This article is an open access article distributed under the terms and conditions of the Creative Commons Attribution (CC BY) license (https://creativecommons.org/licenses/by/4.0/).
Share and Cite
Zhou, W.; Zhong, H.; Huang, Z.; Han, J.; Yang, Z.; Zou, T.; You, J.; Chen, J. Dietary Organic Selenium Supplementation for Weaned Piglets Challenged with Deoxynivalenol. Animals 2025, 15, 2546. https://doi.org/10.3390/ani15172546
Zhou W, Zhong H, Huang Z, Han J, Yang Z, Zou T, You J, Chen J. Dietary Organic Selenium Supplementation for Weaned Piglets Challenged with Deoxynivalenol. Animals. 2025; 15(17):2546. https://doi.org/10.3390/ani15172546
Chicago/Turabian StyleZhou, Wenyue, Haopeng Zhong, Zhouyin Huang, Jiajun Han, Zheng Yang, Tiande Zou, Jinming You, and Jun Chen. 2025. "Dietary Organic Selenium Supplementation for Weaned Piglets Challenged with Deoxynivalenol" Animals 15, no. 17: 2546. https://doi.org/10.3390/ani15172546
APA StyleZhou, W., Zhong, H., Huang, Z., Han, J., Yang, Z., Zou, T., You, J., & Chen, J. (2025). Dietary Organic Selenium Supplementation for Weaned Piglets Challenged with Deoxynivalenol. Animals, 15(17), 2546. https://doi.org/10.3390/ani15172546

