Habitat Suitability and Determinants for Anatidae in Multi-Watershed Composite Wetlands in Anhui, China
Abstract
Simple Summary
Abstract
1. Introduction
2. Materials and Methods
2.1. Study Area
2.2. Occurrence Data of Anatidae
2.3. Environmental Variables
2.4. Construction and Evaluation of MaxEnt
2.5. Statistical Analysis
3. Results
3.1. Number and Distribution of Anatidae in Anhui
3.2. Habitat Suitability for Anatidae in Anhui Province
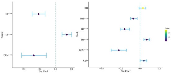
3.3. Factors Influencing Habitat Suitability for Anatidae
4. Discussion
4.1. Model Performance
4.2. Habitat Suitability and Influential Factors of Anatidae
4.3. Protection Measures and the Epidemic Disease Source Prevention of Anatidae
5. Conclusions
Supplementary Materials
Author Contributions
Funding
Institutional Review Board Statement
Informed Consent Statement
Data Availability Statement
Acknowledgments
Conflicts of Interest
References
- Martin, T.G.; Camaclang, A.E.; Possingham, H.P.; Maguire, L.A.; Chadès, I. Timing of protection of critical habitat matters. Conserv. Lett. 2017, 10, 308–316. [Google Scholar] [CrossRef]
- Guisan, A.; Tingley, R.; Baumgartner, J.B.; Naujokaitis-Lewis, I.; Sutcliffe, P.R.; Tulloch, A.I.T.; Regan, T.J.; Brotons, L.; Mcdonald-Madden, E.; Mantyka-Pringle, C.; et al. Predicting species distributions for conservation decisions. Ecol. Lett. 2013, 16, 1424–1435. [Google Scholar] [CrossRef] [PubMed]
- Guisan, A.; Thuiller, W. Predicting species distribution: Offering more than simple habitat models. Ecol. Lett. 2005, 8, 993–1009. [Google Scholar] [CrossRef] [PubMed]
- Harvey, J.A.; Mullinax, J.M.; Runge, M.C.; Prosser, D.J. The changing dynamics of highly pathogenic avian influenza H5N1: Next steps for management & science in North America. Biol. Conserv. 2023, 282, 110041. [Google Scholar]
- Hill, N.J.; Bishop, M.A.; Trovão, N.S.; Ineson, K.M.; Schaefer, A.L.; Puryear, W.B.; Zhou, K.; Foss, A.D.; Clark, D.E.; MacKenzie, K.G.; et al. Ecological divergence of wild birds drives avian influenza spillover and global spread. PLoS Pathog. 2022, 18, e1010062. [Google Scholar] [CrossRef] [PubMed]
- Elith, J.H.; Graham, C.P.H.; Anderson, R.P.; Dudík, M.; Ferrier, S.; Guisan, A.; Hijmans, R.J.; Huettmann, F.; Leathwick, J.R.; Lehmann, A.; et al. Novel methods improve prediction of species’ distributions from occurrence data. Ecography 2006, 29, 129–151. [Google Scholar] [CrossRef]
- Radosavljevic, A.; Anderson, R.P. Making better Maxent models of species distributions: Complexity, overfitting and evaluation. J. Biogeogr. 2014, 41, 629–643. [Google Scholar] [CrossRef]
- Dong, Z.; Wang, Z.; Liu, D.; Li, L.; Ren, C.; Tang, X.; Jia, M.; Liu, C. Assessment of habitat suitability for waterbirds in the west Songnen plain, China, using remote sensing and GIS. Ecol. Eng. 2013, 55, 94–100. [Google Scholar] [CrossRef]
- Lee, E.; Sagong, J.; Lee, Y. Influence of land use change on the waterbird community of Sihwa Lake, Republic of Korea. Avian Res. 2020, 11, 36. [Google Scholar] [CrossRef]
- Schaffer-Smith, D.; Swenson, J.J.; Reiter, M.E.; Isola, J.E. Quantifying shorebird habitat in managed wetlands by modeling shallow water depth dynamics. Ecol. Appl. 2018, 28, 1534–1545. [Google Scholar] [CrossRef]
- An, A.; Zhang, Y.; Cao, L.; Jia, Q.; Wang, X. A potential distribution map of wintering Swan Goose (Anser cygnoides) in the middle and lower Yangtze River floodplain, China. Avian Res. 2018, 9, 43. [Google Scholar] [CrossRef]
- Yang, J.; Huang, Y.; Jiang, X.; Chen, H.; Liu, M.; Wang, R. Potential geographical distribution of the endangered plant Isoetes under human activities using MaxEnt and GARP. Glob. Ecol. Conserv. 2022, 38, e02186. [Google Scholar] [CrossRef]
- Cheng, B.; Zhu, X.; Alatalo, J.M.; Gordon, J.; Li, H.; Jiang, B.; Yin, W. The impacts of water level fluctuations from paddy fields and aquaculture ponds on wetland habitats for wintering waterbirds: Implications for wetland management. Front. Environ. Sci. 2022, 10, 980201. [Google Scholar] [CrossRef]
- Meng, F.; Zhang, J.; Li, C.; Zhao, Q.; Solovyeva, D.; Lee, H.; Chen, L.; Cao, L.; Fox, A.D. Differing migration patterns and year-round habitat-use of allopatric nesting Eastern Tundra Bean Geese (Anser fabalis serrirostris) in East Asia. Avian Res. 2022, 13, 100062. [Google Scholar] [CrossRef]
- Fan, Y.; Zhou, L.; Cheng, L.; Song, Y.; Xu, W. Foraging behavior of the Greater White-fronted Goose (Anser albifrons) wintering at Shengjin Lake: Diet shifts and habitat use. Avian Res. 2020, 11, 3. [Google Scholar] [CrossRef]
- Yu, C.; Zhou, L.; Mahtab, N.; Fan, S.; Song, Y. Microhabitat variables explain patch switching by wintering Bewick’s Swans through giving-up net energy intake rates. Environ. Sci. Pollut. Res. 2020, 27, 18843–18852. [Google Scholar] [CrossRef]
- Fan, S.; Zhou, L.; Yu, C. Community structure and behavioral characteristics of wintering dabbling ducks (Anas) at Lake Shengjin, the middle and lower reachers of the Yangtze River floodplain. J. Lake Sci. 2022, 34, 1596–1607. [Google Scholar] [CrossRef]
- Ge, Y.; Yao, Q.; Chai, H.; Hua, Y.; Deng, G. Differential cytokine expression analyses of CEFs and DEFs infected with H6 influenza virus strains isolated from Anseriformes in Anhui Province, China. Pak. J. Zool. 2021, 53, 447–452. [Google Scholar] [CrossRef]
- Ma, Z.; Chen, Y.; Melville, D.S.; Fan, J.; Liu, J.; Dong, J.; Tan, K.; Cheng, X.; Fuller, R.A.; Xiao, X.; et al. Changes in area and number of nature reserves in China. Conserv. Biol. 2019, 33, 1066–1075. [Google Scholar] [CrossRef]
- Wang, W.; Fraser, J.; Chen, J. Wintering waterbirds in the middle and lower Yangtze River floodplain: Changes in abundance and distribution. Bird. Conserv. Int. 2017, 27, 167–186. [Google Scholar] [CrossRef]
- Jiang, W.; Zhou, L.; Zhou, X. Evaluation of wetland importance in Anhui Province based on entropy weight method. Resour. Environ. Yangtze Basin 2021, 30, 1164–1174. [Google Scholar]
- Li, S.; Wang, Z.; Zhu, Z.; Tao, Y.; Xiang, J. Predicting the potential suitable distribution area of Emeia pseudosauteri in Zhejiang Province based on the MaxEnt model. Sci. Rep. 2023, 13, 1806. [Google Scholar] [CrossRef]
- Su, H.; Bista, M.; Li, M. Mapping habitat suitability for Asiatic Black Bear and Red Panda in Makalu Barun National Park of Nepal from Maxent and GARP models. Sci. Rep. 2021, 11, 14135. [Google Scholar] [CrossRef] [PubMed]
- Sun, C.-Z.; Zhen, L.; Wang, C.; Yan, B.-Y.; Cao, X.-C.; Wu, R.-Z. Impacts of ecological restoration and human activities on habitat of overwintering migratory birds in the wetland of Poyang Lake, Jiangxi Province, China. J. Mt. Sci. 2015, 12, 1302–1314. [Google Scholar] [CrossRef]
- Tu, Y.; Wu, S.; Chen, B.; Weng, Q.; Gong, P.; Bai, Y.; Yang, J.; Yu, L.; Xu, B. A 30 m annual cropland dataset of China from 1986 to 2021. Earth Syst. Sci. Data 2023, 2023, 1–34. [Google Scholar] [CrossRef]
- Mu, H.; Li, X.; Wen, Y.; Huang, J.; Du, P.; Su, W.; Miao, S.; Geng, M. A global record of annual terrestrial human footprint dataset from 2000 to 2018. Sci. Data 2022, 9, 176. [Google Scholar] [CrossRef]
- Sillero, N. What does ecological modelling model? A proposed classification of ecological niche models based on their underlying methods. Ecol. Model. 2011, 222, 1343–1346. [Google Scholar] [CrossRef]
- Lemke, D.; Hulme, P.E.; Brown, J.A. Distribution modelling of Japanese Honeysuckle (Lonicera japonica) invasion in the Cumberland Plateau and Mountain Region, USA. For. Ecol. Manag. 2011, 262, 139–149. [Google Scholar] [CrossRef]
- Warren, D.L.; Matzke, N.J.; Cardillo, M.; Baumgartner, J.B.; Beaumont, L.J.; Turelli, M.; Glor, R.E.; Huron, N.A.; Simões, M.; Iglesias, T.L.; et al. ENMTools 1.0: An R package for comparative ecological biogeography. Ecography 2021, 44, 504–511. [Google Scholar] [CrossRef]
- Dormann, C.F.; Elith, J.; Bacher, S.; Buchmann, C.; Carl, G.; Carré, G.; Marquéz, J.R.G.; Gruber, B.; Lafourcade, B.; Leitão, P.J.; et al. Collinearity: A review of methods to deal with it and a simulation study evaluating their performance. Ecography 2013, 36, 27–46. [Google Scholar] [CrossRef]
- Hanley, J.A.; McNeil, B.J. The meaning and use of the area under a Receiver Operating Characteristic (ROC) Curve. Radiology 1982, 143, 29–36. [Google Scholar] [CrossRef] [PubMed]
- Na, X.; Zhou, H.; Zang, S.; Wu, C.; Li, W.; Li, M. Maximum Entropy modeling for habitat suitability assessment of Red-crowned Crane. Ecol. Indic. 2018, 91, 439–446. [Google Scholar] [CrossRef]
- Meng, L.; Zhou, L. Distribution patterns and drivers of nonendemic and endemic glires species in China. Ecol. Evol. 2023, 13, e9798. [Google Scholar] [CrossRef] [PubMed]
- Bolker, B.M.; Brooks, M.E.; Clark, C.J.; Geange, S.W.; Poulsen, J.R.; Stevens, M.H.H.; White, J.-S.S. Generalized linear mixed models: A practical guide for ecology and evolution. Trends Ecol. Evol. 2009, 24, 127–135. [Google Scholar] [CrossRef] [PubMed]
- Kim, J.H. Multicollinearity and misleading statistical results. Korean J. Anesthesiol. 2019, 72, 558–569. [Google Scholar] [CrossRef] [PubMed]
- Sánchez-Campaña, C.; Múrria, C.; Hermoso, V.; Sánchez-Fernández, D.; de Figueroa, J.M.T.; González, M.; Millán, A.; Moubayed, J.; Ivković, M.; Murányi, D.; et al. Anticipating where are unknown aquatic insects in Europe to improve biodiversity conservation. Divers. Distrib. 2023, 29, 1021–1034. [Google Scholar] [CrossRef]
- Burnham, K.P.; Anderson, D.R. Multimodel inference—Understanding AIC and BIC in model selection. Sociol. Methods Res. 2004, 33, 261–304. [Google Scholar] [CrossRef]
- Burnham, K.P.; Anderson, D.R.; Huyvaert, K.P. AIC model selection and multimodel inference in behavioral ecology: Some background, observations, and comparisons. Behav. Ecol. Sociobiol. 2011, 65, 23–35. [Google Scholar] [CrossRef]
- Lai, J.; Zou, Y.; Zhang, S.; Zhang, X.; Mao, L. glmm.hp: An. R. package for computing individual effect of predictors in generalized linear mixed models. J. Plant Ecol. 2022, 15, 1302–1307. [Google Scholar] [CrossRef]
- Xi, N.; Zhang, C.; Bloor, J.M.G. Species richness alters spatial nutrient heterogeneity effects on above-ground plant biomass. Biol. Lett. 2017, 13, 20170510. [Google Scholar] [CrossRef]
- Brown, J.L. SDMtoolbox: A python-based GIS toolkit for landscape genetic, biogeographic and species distribution model analyses. Methods Ecol. Evol. 2014, 5, 694–700. [Google Scholar] [CrossRef]
- Gong, L.; Li, X.; Wu, S.; Jiang, L. Prediction of potential distribution of soybean in the frigid region in China with MaxEnt modeling. Ecol. Inform. 2022, 72, 101834. [Google Scholar] [CrossRef]
- Wang, C.; Liu, H.; Li, Y.; Dong, B.; Qiu, C.; Yang, J.; Zong, Y.; Chen, H.; Zhao, Y.; Zhang, Y. Study on habitat suitability and environmental variable thresholds of rare waterbirds. Sci. Total Environ. 2021, 785, 147316. [Google Scholar] [CrossRef]
- Sun, X.; Shen, J.; Xiao, Y.; Li, S.; Cao, M. Habitat suitability and potential biological corridors for waterbirds in Yancheng coastal wetland of China. Ecol. Indic. 2023, 148, 110090. [Google Scholar] [CrossRef]
- Li, C.; Li, H.; Zhang, Y.; Zha, D.; Zhao, B.; Yang, S.; Zhang, B.; de Boer, W.F. Predicting hydrological impacts of the Yangtze-to-Huaihe Water Diversion Project on habitat availability for wintering waterbirds at Caizi Lake. J. Environ. Manag. 2019, 249, 109251. [Google Scholar] [CrossRef]
- Deng, X.; Zhao, Q.; Zhang, J.; Kölzsch, A.; Solovyeva, D.; Bysykatova-Harmey, I.; Xu, Z.; Kruckenberg, H.; Cao, L.; Fox, A.D. Contrasting habitat use and conservation status of Chinese-wintering and other Eurasian Greater White-fronted Goose (Anser albifrons) populations. Avian Res. 2021, 12, 71. [Google Scholar] [CrossRef]
- Zhu, F.; Zou, Y.; Zhang, P.; Zhang, S.; Chen, X.; Li, F.; Deng, Z.; Zhang, H.; Yu, Z.; Zhu, X.; et al. Dyke demolition led to a sharp decline in waterbird diversity due to habitat quality reduction: A case study of Dongting Lake, China. Ecol. Evol. 2022, 12, e8782. [Google Scholar] [CrossRef]
- Liu, W.; Yu, D.; Yuan, S.; Yi, J.; Cao, Y.; Li, X.; Xu, H. Effects of spatial fragmentation on the elevational distribution of bird diversity in a mountain adjacent to urban areas. Ecol. Evol. 2022, 12, e9051. [Google Scholar] [CrossRef]
- Mu, S.; Yang, G.; Xu, X.; Wan, R.; Li, B. Assessing the inundation dynamics and its impacts on habitat suitability in Poyang Lake based on integrating Landsat and MODIS observations. Sci. Total Environ. 2022, 834, 154936. [Google Scholar] [CrossRef]
- Mercker, M.; Dierschke, V.; Camphuysen, K.; Kreutle, A.; Markones, N.; Vanermen, N.; Garthe, S. An indicator for assessing the status of marine-bird habitats affected by multiple human activities: A novel statistical approach. Ecol. Indic. 2021, 130, 108036. [Google Scholar] [CrossRef]
- Hamza, F. Impacts of human activities on diversity of wintering waterbirds: Assessment in Mediterranean coastal area. Ocean. Coast. Manag. 2020, 198, 105317. [Google Scholar] [CrossRef]
- Yu, H.; Xiao, X.; Domenech, J.; Lubroth, J.; Martin, V.; Slingenbergh, J. Anatidae Migration in the Western Palearctic and Spread of Highly Pathogenic Avian Influenza H5N1 Virus. Emerg. Infect. Dis. 2006, 12, 1650–1656. [Google Scholar] [CrossRef]
- Damba, I.; Zhang, J.; Yi, K.; Dou, H.; Batbayar, N. Seasonal and regional differences in migration patterns and conservation status of Swan Geese (Anser cygnoides) in the East Asian Flyway. Avian Res. 2021, 12, 73. [Google Scholar] [CrossRef]
- Deliberto, T.J.; Swafford, S.R.; Nolte, D.L.; Pedersen, K.; Lutman, M.W.; Schmit, B.B.; Baroch, J.A.; Kohler, D.J.; Franklin, A. Surveillance for highly pathogenic avian influenza in wild birds in the USA. Integr. Zool. 2009, 4, 426–439. [Google Scholar] [CrossRef]
- Wu, H.; Dai, J.; Sun, S.; Du, C.; Long, Y.; Chen, H.; Yu, G.; Ye, S.; Chen, J. Responses of habitat suitability for migratory birds to increased water level during middle of dry season in the two largest freshwater lake wetlands of China. Ecol. Indic. 2021, 121, 107065. [Google Scholar] [CrossRef]





| Response Variable | Explanatory Variables | df | logLik | AICc | ΔAICc | Weight |
|---|---|---|---|---|---|---|
| Species richness of geese | DEM + DF + HF | 6 | −1252.8 | 2515.723 | 0.00 | 0.424 |
| DEM + DF + HF + CD | 7 | −1252.6 | 2517.319 | 1.65 | 0.221 | |
| DEM + DF + HF + RD | 7 | −1252.7 | 2517.626 | 1.90 | 0.232 | |
| DEM + DF + HF + POP | 7 | −1252.7 | 2517.634 | 1.91 | 0.216 | |
| Species richness of duck | DEM + DF + HF + CD + POP + RD | 8 | −2353.2 | 4722.651 | 0.00 | 0.436 |
| DEM + DF + HF + CD + POP | 7 | −2354.3 | 4722.792 | 1.65 | 0.415 | |
| DEM + DF + HF + POP + RD | 7 | −2355.5 | 4722.912 | 1.90 | 0.176 |
| Response Variable | Explanatory Variables | Unique | Average Share | Individual | I.perc (%) |
|---|---|---|---|---|---|
| Species richness of geese | DEM | 0.209 | 0.028 | 0.237 | 52.582 |
| DF | 0.010 | 0.010 | 0.020 | 31.985 | |
| HF | 0.009 | 0.014 | 0.023 | 15.433 | |
| Species richness of duck | DEM | 0.280 | 0.025 | 0.304 | 45.629 |
| DF | 0.005 | 0.012 | 0.017 | 12.671 | |
| HF | 0.020 | 0.013 | 0.034 | 9.086 | |
| CD | 0.004 | 0.004 | 0.008 | 15.311 | |
| POP | 0.003 | 0.003 | 0.001 | 15.222 | |
| RD | 0.001 | 0.007 | 0.008 | 2.081 |
Disclaimer/Publisher’s Note: The statements, opinions and data contained in all publications are solely those of the individual author(s) and contributor(s) and not of MDPI and/or the editor(s). MDPI and/or the editor(s) disclaim responsibility for any injury to people or property resulting from any ideas, methods, instructions or products referred to in the content. |
© 2024 by the authors. Licensee MDPI, Basel, Switzerland. This article is an open access article distributed under the terms and conditions of the Creative Commons Attribution (CC BY) license (https://creativecommons.org/licenses/by/4.0/).
Share and Cite
Shi, J.; Meng, L.; Xia, S.; Liu, S.; Zhou, L. Habitat Suitability and Determinants for Anatidae in Multi-Watershed Composite Wetlands in Anhui, China. Animals 2024, 14, 1010. https://doi.org/10.3390/ani14071010
Shi J, Meng L, Xia S, Liu S, Zhou L. Habitat Suitability and Determinants for Anatidae in Multi-Watershed Composite Wetlands in Anhui, China. Animals. 2024; 14(7):1010. https://doi.org/10.3390/ani14071010
Chicago/Turabian StyleShi, Jiye, Lei Meng, Shanshan Xia, Song Liu, and Lizhi Zhou. 2024. "Habitat Suitability and Determinants for Anatidae in Multi-Watershed Composite Wetlands in Anhui, China" Animals 14, no. 7: 1010. https://doi.org/10.3390/ani14071010
APA StyleShi, J., Meng, L., Xia, S., Liu, S., & Zhou, L. (2024). Habitat Suitability and Determinants for Anatidae in Multi-Watershed Composite Wetlands in Anhui, China. Animals, 14(7), 1010. https://doi.org/10.3390/ani14071010

