Metabolomic Profiling and Functional Characterization of Biochar from Vine Pruning Residues for Applications in Animal Feed
Simple Summary
Abstract
1. Introduction
2. Materials and Methods
2.1. Biochar Samples
2.2. Chemical Composition and Mineral Contents
2.3. Biochar Aqueous Extracts
2.4. QTOF HPLC MS/MS Metabolomic Characterization
2.5. Evaluation of Total Polyphenol Content
2.6. ABTS Radical Scavenging Assay
2.7. E. coli Growth Inhibitory Activity
2.8. RNA Extraction and Real-Time PCR
2.9. The Effects on Growth of Biochar Extract on Lactiplantibacillus Plantarum and Limosilactobacillus Reuteri
2.10. Statistical Analysis
3. Results
3.1. Chemical Composition and Mineral Content of Vine Biochar
3.2. Characterization of the Bioactive Compounds in the Biochar Extract
3.3. ABTS Radical Scavenging Assay and Total Polyphenol Content
3.4. Growth Inhibitory Activity
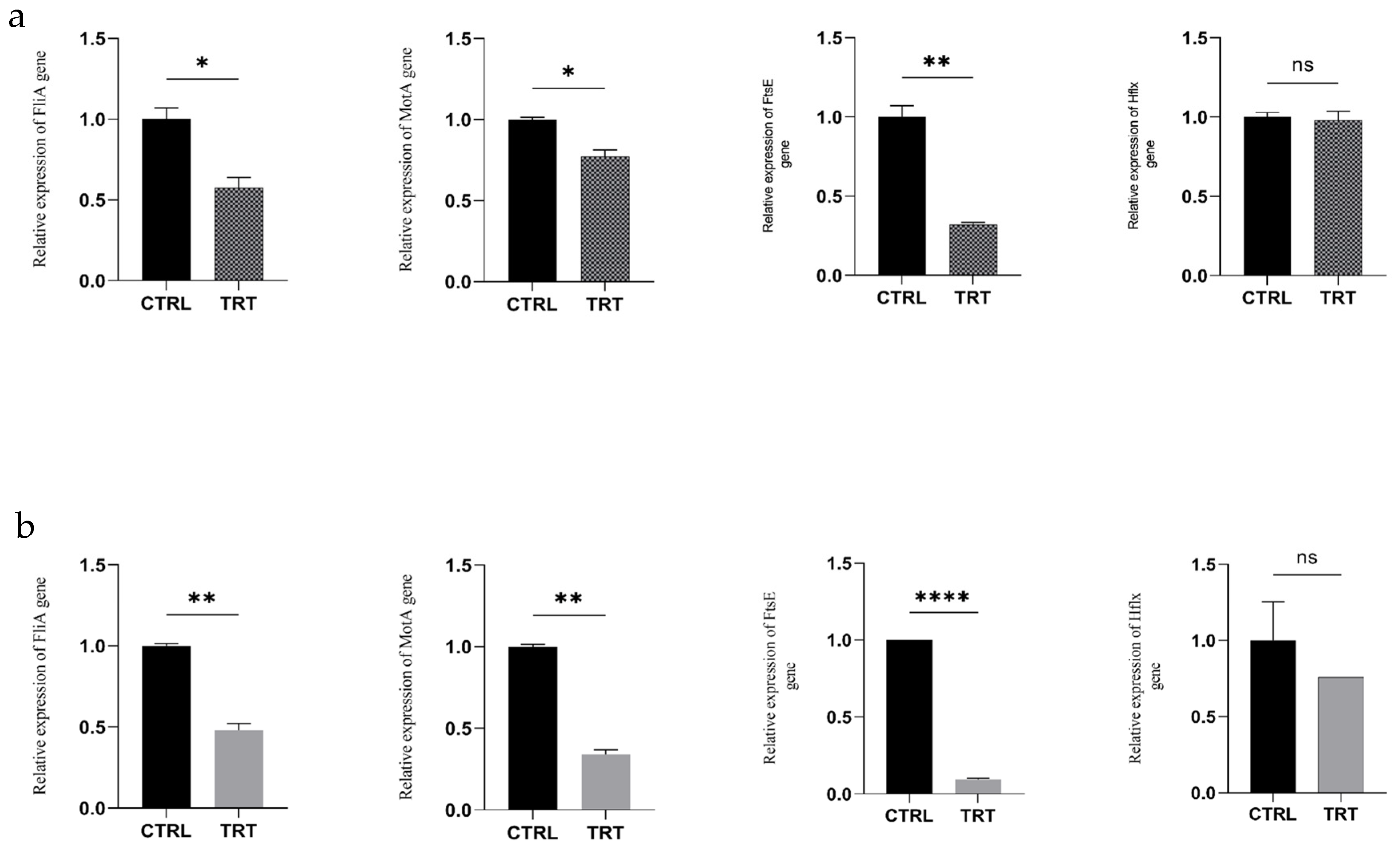
3.5. Relative Expression of Genes Involved in Quorum Sensing (QS) in E. coli in the Presence of the VB Extract
3.6. L. plantarum and L. reuteri Growth in the Presence of the CB Biochar Hot Water Extract
4. Discussion
5. Conclusions
Author Contributions
Funding
Institutional Review Board Statement
Informed Consent Statement
Data Availability Statement
Conflicts of Interest
References
- Ok, Y.S.; Uchimiya, S.M.; Chang, S.X.; Bolan, N. Biochar Production, Characterization, and Applications; CRC Press Taylor & Francis Group: London, UK, 2020. [Google Scholar]
- Abhishek, K.; Shrivastava, A.; Vimal, V.; Gupta, A.K.; Bhujbal, S.K.; Biswas, J.K.; Singh, L.; Ghosh, P.; Pandey, A.; Sharma, P.; et al. Biochar Application for Greenhouse Gas Mitigation, Contaminants Immobilization and Soil Fertility Enhancement: A State-of-the-Art Review. Sci. Total Environ. 2022, 853, 158562. [Google Scholar] [CrossRef] [PubMed]
- Osman, A.I.; Fawzy, S.; Farghali, M.; El-Azazy, M.; Elgarahy, A.M.; Fahim, R.A.; Maksoud, M.I.A.A.; Ajlan, A.A.; Yousry, M.; Saleem, Y.; et al. Biochar for Agronomy, Animal Farming, Anaerobic Digestion, Composting, Water Treatment, Soil Remediation, Construction, Energy Storage, and Carbon Sequestration: A Review. Environ. Chem. Lett. 2022, 20, 2385–2485. [Google Scholar] [CrossRef] [PubMed]
- Zhang, H.; Xu, Y.; Zhang, Z.; You, J.; Yang, Y.; Li, X. Protective Immunity of a Multivalent Vaccine Candidate against Piglet Diarrhea Caused by Enterotoxigenic Escherichia Coli (ETEC) in a Pig Model. Vaccine 2018, 36, 723–728. [Google Scholar] [CrossRef] [PubMed]
- Man, K.Y.; Chow, K.L.; Man, Y.B.; Mo, W.Y.; Wong, M.H. Use of Biochar as Feed Supplements for Animal Farming. Crit. Rev. Environ. Sci. Technol. 2021, 51, 187–217. [Google Scholar] [CrossRef]
- Nair, P.S.; Sivani, M.P.; Suresh, S.; Sreekanth, A.J.; Sivasabari, K.; Adithya, K.S.; Anuranj, P.R.; Nayana, K.; Parvathy, S.; Chakraborty, S.; et al. Beneficial Impacts of Biochar as a Potential Feed Additive in Animal Husbandry. J. Exp. Biol. Agric. Sci. 2023, 11, 479–499. [Google Scholar] [CrossRef]
- Lao, E.J.; Mbega, E.R. Biochar as a Feed Additive for Improving the Performance of Farm Animals. Malays. J. Sustain. Agric. 2020, 4, 86–93. [Google Scholar] [CrossRef]
- Schmidt, H.-P.; Hagemann, N.; Draper, K.; Kammann, C. The Use of Biochar in Animal Feeding. PeerJ 2019, 7, e7373. [Google Scholar] [CrossRef] [PubMed]
- Schubert, D.C.; Chuppava, B.; Witte, F.; Terjung, N.; Visscher, C. Effect of Two Different Biochars as a Component of Compound Feed on Nutrient Digestibility and Performance Parameters in Growing Pigs. Front. Anim. Sci. 2021, 2, 633958. [Google Scholar] [CrossRef]
- Willson, N.-L.; Van, T.T.H.; Bhattarai, S.P.; Courtice, J.M.; McIntyre, J.R.; Prasai, T.P.; Moore, R.J.; Walsh, K.; Stanley, D. Feed Supplementation with Biochar May Reduce Poultry Pathogens, Including Campylobacter Hepaticus, the Causative Agent of Spotty Liver Disease. PLoS ONE 2019, 14, e0214471. [Google Scholar] [CrossRef]
- Kammann, C.; Ratering, S.; Eckhard, C.; Müller, C. Biochar and Hydrochar Effects on Greenhouse Gas (Carbon Dioxide, Nitrous Oxide, and Methane) Fluxes from Soils. J. Environ. Qual. 2012, 41, 1052–1066. [Google Scholar] [CrossRef]
- Ferraro, G.; Pecori, G.; Rosi, L.; Bettucci, L.; Fratini, E.; Casini, D.; Rizzo, A.M.; Chiaramonti, D. Biochar from Lab-Scale Pyrolysis: Influence of Feedstock and Operational Temperature. Biomass Convers. Biorefinery 2024, 14, 5901–5911. [Google Scholar] [CrossRef]
- Zhao, S.-X.; Ta, N.; Wang, X.-D. Effect of Temperature on the Structural and Physicochemical Properties of Biochar with Apple Tree Branches as Feedstock Material. Energies 2017, 10, 1293. [Google Scholar] [CrossRef]
- Horwitz, W.; AOAC International. Official Method of Analysis of AOAC, 22nd ed.Oxofor University Press: Oxford, UK, 2023. [Google Scholar]
- Lou, Y.; Joseph, S.; Li, L.; Graber, E.R.; Liu, X.; Pan, G. Water Extract from Straw Biochar Used for Plant Growth Promotion: An Initial Test. Bioresources 2015, 11, 249–266. [Google Scholar] [CrossRef]
- Makkar, H.P.S. Measurement of Total Phenolics and Tannins Using Folin Ciocalteu Method. In Quantification of Tannins in Tree and Shrub Foliage: A Laboratory Manual; Springer Science & Business Media: Berlin/Heidelberg, Germany, 2003; pp. 49–51. [Google Scholar]
- Ilyasov, I.R.; Beloborodov, V.L.; Selivanova, I.A.; Terekhov, R.P. ABTS/PP Decolorization Assay of Antioxidant Capacity Reaction Pathways. Int. J. Mol. Sci. 2020, 21, 1131. [Google Scholar] [CrossRef] [PubMed]
- Livak, K.J.; Schmittgen, T.D. Analysis of Relative Gene Expression Data Using Real-Time Quantitative PCR and the 2−ΔΔCT Method. Methods 2001, 25, 402–408. [Google Scholar] [CrossRef] [PubMed]
- Sun, T.; Li, X.-D.; Hong, J.; Liu, C.; Zhang, X.-L.; Zheng, J.-P.; Xu, Y.-J.; Ou, Z.-Y.; Zheng, J.-L.; Yu, D.-J. Inhibitory Effect of Two Traditional Chinese Medicine Monomers, Berberine and Matrine, on the Quorum Sensing System of Antimicrobial-Resistant Escherichia coli. Front. Microbiol. 2019, 10, 2584. [Google Scholar] [CrossRef]
- Dell’Anno, M.; Callegari, M.L.; Reggi, S.; Caprarulo, V.; Giromini, C.; Spalletta, A.; Coranelli, S.; Sgoifo Rossi, C.A.; Rossi, L. Lactobacillus Plantarum and Lactobacillus Reuteri as Functional Feed Additives to Prevent Diarrhoea in Weaned Piglets. Animals 2021, 11, 1766. [Google Scholar] [CrossRef]
- Magagnotti, N.; Pari, L.; Picchi, G.; Spinelli, R. Technology Alternatives for Tapping the Pruning Residue Resource. Bioresour. Technol. 2013, 128, 697–702. [Google Scholar] [CrossRef]
- Khater, E.-S.; Bahnasawy, A.; Hamouda, R.; Sabahy, A.; Abbas, W.; Morsy, O.M. Biochar Production under Different Pyrolysis Temperatures with Different Types of Agricultural Wastes. Sci. Rep. 2024, 14, 2625. [Google Scholar] [CrossRef]
- Iheanacho Okike, I.O.; Anandan Samireddypalle, A.S.; Lawrence Kaptoge, L.K.; Claude Fauquet, C.F.; Joseph Atehnkeng, J.A.; Ranajit Bandyopadhyay, R.B.; Peter Kulakow, P.K.; Alan Duncan, A.D.; Tunrayo Alabi, T.A.; Michael Blummel, M.B. Technical Innovations for Small-Scale Producers and Households to Process Wet Cassava Peels into High Quality Animal Feed Ingredients and AflasafeTM Substrate. Food Chain. 2015, 5, 71–90. [Google Scholar] [CrossRef]
- Hu, Y.; Lu, Y.; Ma, W.; Wang, L.; Wibowo, H.; Huang, Z.; Yu, F. Thermal Transformation of Carbon and Oxygen-Containing Organic Compounds in Sewage Sludge During Pyrolysis Treatment. Energies 2019, 12, 2258. [Google Scholar] [CrossRef]
- Al-Wabel, M.I.; Al-Omran, A.; El-Naggar, A.H.; Nadeem, M.; Usman, A.R.A. Pyrolysis Temperature Induced Changes in Characteristics and Chemical Composition of Biochar Produced from Conocarpus Wastes. Bioresour. Technol. 2013, 131, 374–379. [Google Scholar] [CrossRef] [PubMed]
- Leng, L.; Huang, H. An Overview of the Effect of Pyrolysis Process Parameters on Biochar Stability. Bioresour. Technol. 2018, 270, 627–642. [Google Scholar] [CrossRef] [PubMed]
- Donici, A.; Bunea, C.I.; Calugar, A.; Harsan, E.; Bora, F.D. Investigation of the Copper Content in Vineyard Soil, Grape, Must and Wine in the Main Vineyards of Romania: A Preliminary Study. Bull. Univ. Agric. Sci. Vet. Med. Cluj-Napoca. Hortic. 2019, 76, 31. [Google Scholar] [CrossRef]
- Doguer, C.; Ha, J.H.; Collins, J.F. Intersection of Iron and Copper Metabolism in the Mammalian Intestine and Liver. Compr. Physiol. 2018, 8, 1433–1461. [Google Scholar]
- Bampidis, V.; Azimonti, G.; Bastos, M.D.L.; Christensen, H.; Dusemund, B.; Durjava, M.; Kouba, M.; López-Alonso, M.; López Puente, S.; Marcon, F.; et al. Safety and Efficacy of a Feed Additive Consisting of Copper(II)-betaine Complex for All Animal Species (Biochem Zusatzstoffe Handels- Und Produktionsges. MbH). EFSA J. 2023, 21, e07817. [Google Scholar] [CrossRef]
- Suman, S.; Yadav, A.; Jain, T.; SK, A.A. Study in the Changes on the Functional Groups Present in Biomass during Pyrolysis Process. IOP Conf. Ser. Mater. Sci. Eng. 2021, 1146, 012023. [Google Scholar] [CrossRef]
- Kalinowska, M.; Gołębiewska, E.; Świderski, G.; Męczyńska-Wielgosz, S.; Lewandowska, H.; Pietryczuk, A.; Cudowski, A.; Astel, A.; Świsłocka, R.; Samsonowicz, M.; et al. Plant-Derived and Dietary Hydroxybenzoic Acids—A Comprehensive Study of Structural, Anti-/Pro-Oxidant, Lipophilic, Antimicrobial, and Cytotoxic Activity in MDA-MB-231 and MCF-7 Cell Lines. Nutrients 2021, 13, 3107. [Google Scholar] [CrossRef]
- Alshibl, H.M.; Al-Abdullah, E.S.; Alkahtani, H.M. Coumarin: A Promising Scaffold for Design and Development of Bioactive Agents. Curr. Bioact. Compd. 2020, 16, 837–852. [Google Scholar] [CrossRef]
- Moreira, M.M.; Barroso, M.F.; Porto, J.V.; Ramalhosa, M.J.; Švarc-Gajić, J.; Estevinho, L.; Morais, S.; Delerue-Matos, C. Potential of Portuguese Vine Shoot Wastes as Natural Resources of Bioactive Compounds. Sci. Total Environ. 2018, 634, 831–842. [Google Scholar] [CrossRef] [PubMed]
- Lee, M.T.; Lin, W.C.; Yu, B.; Lee, T.T. Antioxidant Capacity of Phytochemicals and Their Potential Effects on Oxidative Status in Animals—A Review. Asian-Australas. J. Anim. Sci. 2016, 30, 299–308. [Google Scholar] [CrossRef] [PubMed]
- Wang, M.; Zeng, J.; Zhu, Y.; Chen, X.; Guo, Q.; Tan, H.; Cui, B.; Song, S.; Deng, Y. A 4-Hydroxybenzoic Acid-Mediated Signaling System Controls the Physiology and Virulence of Shigella Sonnei. Microbiol. Spectr. 2023, 11, e04835-22. [Google Scholar] [CrossRef] [PubMed]
- Dávila-Aviña, J.; Gil-Solís, C.; Merino-Mascorro, J.; García, S.; Heredia, N. Phenolics with Bactericidal Activity Alter Motility and Biofilm Formation in Enterotoxigenic, Enteropathogenic, and Enterohemorrhagic Escherichia coli. Foodborne Pathog. Dis. 2020, 17, 568–575. [Google Scholar] [CrossRef] [PubMed]
- Dell’Anno, M.; Giromini, C.; Reggi, S.; Cavalleri, M.; Moscatelli, A.; Onelli, E.; Rebucci, R.; Sundaram, T.S.; Coranelli, S.; Spalletta, A.; et al. Evaluation of Adhesive Characteristics of L. plantarum and L. reuteri Isolated from Weaned Piglets. Microorganisms 2021, 9, 1587. [Google Scholar] [CrossRef]
- Yang, F.; Zhou, Y.; Liu, W.; Tang, W.; Meng, J.; Chen, W.; Li, X. Strain-Specific Effects of Biochar and Its Water-Soluble Compounds on Bacterial Growth. Appl. Sci. 2019, 9, 3209. [Google Scholar] [CrossRef]
- Han, J.; Meng, J.; Chen, S.; Li, C. Integrative Analysis of the Gut Microbiota and Metabolome in Rats Treated with Rice Straw Biochar by 16S RRNA Gene Sequencing and LC/MS-Based Metabolomics. Sci. Rep. 2019, 9, 17860. [Google Scholar] [CrossRef]



| Target | Nucleotide Sequence | Acc. N° | Size | Ref. |
|---|---|---|---|---|
| GapA | FW-GAAATGGGACGAAGTTGGTG Rv-AACCACTTTCTTCGCACCAG | NP_416293 | 104 bp | [19] |
| FliA | FW-GCTGGCTGTTATTGGTGTCG Rv-CAACTGGAGCAGGAACTTGG | NP_416432 | 112 bp | [19] |
| MotA | FW-CTTCCTCGGTTGTCGTCTGT Rv-CTATCGCCGTTGAGTTTGGT | NP_416404 | 120 bp | [19] |
| FtsE | FW-AAAGTACCCTCCTGAAGCTGATCTGTG Rv-GCGTGATGTCATGGCCGCTAAAC | NP_417920 | 81 bp | [19] |
| HflX | FW-TGTAGGTGAAGGTAAAGCAG Rv-CACGACACTCGCACAAACGC | NP_418594 | 128 bp | [19] |
| Mineral | Content (g kg−1) | Mineral | Content (mg kg−1) | Mineral | Content (mg kg−1) |
|---|---|---|---|---|---|
| Na | 0.76 ± 0.48 | Cr | 5.53 ± 3.21 | Zn | 134.30 ± 134.65 |
| Mg | 6.35 ± 4.05 | Mn | 165.77 ± 109.23 | As | 1.44 ± 0.32 |
| Al | 1.80 ± 1.18 | Fe | 1.53 ± 0.85 | Se | 0.04 ± 0.00 |
| P | 3.89 ± 2.68 | Co | 0.40 ± 0.55 | Mo | n.r |
| K | 19.82 ± 13.21 | Ni | 5.03 ± 3.50 | Cd | 0.05 ± 0.01 |
| Ca | 9.21 ± 7.06 | Cu | 291.23 ± 190.43 | Pb | 3.26 ± 2.15 |
| Component | Formula | Area | Retention Time | Adduct |
|---|---|---|---|---|
| 4-Hydroxybenzoic acid | C7H6O3 | 108484 | 8.34 | [M − H]− |
| Azelaic acid | C9H16O4 | 1830729 | 8.03 | [M − H]− |
| Caprylic acid | C8H16O2 | 43483 | 8.03 | [M − H]− |
| 6-Methylcoumarin | C10H8O2 | 20094 | 8.27 | [M − H]+ |
| 7-Hydroxycoumarin | C10H8O3 | 2716974 | 7.09 | [M − H]+ |
| Nicotinic acid | C6H5NO2 | 97166 | 1.64 | [M − H]+ |
| Gallic acid | C7H6O5 | 125658 | 4.54 | [M − H]+ |
| Cresotinic acid | C8H8O3 | 382887 | 7.12 | [M − H]− |
| Hydrocinnamic acid | C9H10O2 | 29782 | 6.02 | [M − H]+ |
| Phthalic acid | C8H6O4 | 254600 | 5.62 | [M − H]+ |
| Picolinic acid | C6H5NO2 | 97166 | 1.64 | [M − H]+ |
| Pyroglutamic acid | C5H7NO3 | 2002 | 1.66 | [M − H]+ |
| Citraconic acid | C5H6O4 | 1455371 | 1.73 | [M − H]− |
| Hydroxytyrosol | C8H10O3 | 330231 | 1.86 | [M − H]− |
Disclaimer/Publisher’s Note: The statements, opinions and data contained in all publications are solely those of the individual author(s) and contributor(s) and not of MDPI and/or the editor(s). MDPI and/or the editor(s) disclaim responsibility for any injury to people or property resulting from any ideas, methods, instructions or products referred to in the content. |
© 2024 by the authors. Licensee MDPI, Basel, Switzerland. This article is an open access article distributed under the terms and conditions of the Creative Commons Attribution (CC BY) license (https://creativecommons.org/licenses/by/4.0/).
Share and Cite
Reggi, S.; Frazzini, S.; Torresani, M.C.; Guagliano, M.; Cristiani, C.; Pilu, S.R.; Ghidoli, M.; Rossi, L. Metabolomic Profiling and Functional Characterization of Biochar from Vine Pruning Residues for Applications in Animal Feed. Animals 2024, 14, 3440. https://doi.org/10.3390/ani14233440
Reggi S, Frazzini S, Torresani MC, Guagliano M, Cristiani C, Pilu SR, Ghidoli M, Rossi L. Metabolomic Profiling and Functional Characterization of Biochar from Vine Pruning Residues for Applications in Animal Feed. Animals. 2024; 14(23):3440. https://doi.org/10.3390/ani14233440
Chicago/Turabian StyleReggi, Serena, Sara Frazzini, Maria Claudia Torresani, Marianna Guagliano, Cinzia Cristiani, Salvatore Roberto Pilu, Martina Ghidoli, and Luciana Rossi. 2024. "Metabolomic Profiling and Functional Characterization of Biochar from Vine Pruning Residues for Applications in Animal Feed" Animals 14, no. 23: 3440. https://doi.org/10.3390/ani14233440
APA StyleReggi, S., Frazzini, S., Torresani, M. C., Guagliano, M., Cristiani, C., Pilu, S. R., Ghidoli, M., & Rossi, L. (2024). Metabolomic Profiling and Functional Characterization of Biochar from Vine Pruning Residues for Applications in Animal Feed. Animals, 14(23), 3440. https://doi.org/10.3390/ani14233440

