Identification, Expression, Characteristic Analysis, and Immune Function of Two Akirin Genes in Grass Carp (Ctenopharyngodon idella)
Abstract
Simple Summary
Abstract
1. Introduction
2. Materials and Methods
2.1. Animals
2.2. Isolation of Grass Carp Akirin and Tissue Expression Characteristic Analysis
2.3. CIK Cells Cultured and Effect of Poly (I:C) and LPS on Akirin Levels
2.4. Isolation of Primary HKLs and Treatment with LPS and Poly (I:C)
2.5. Stimulation with Poly (I:C) and Challenge with A. hydrophila
2.6. Production of Recombinant Akirin1 and Akirin2 Protein in Escherichia coli
2.7. Effect of Akirin1 and Akirin2 on the Expression Levels of Immune-Related Genes in HKLs
2.8. Procedures for RNA Extraction, cDNA Synthesis, and Real-Time PCR
2.9. Statistical Analysis
3. Results
3.1. Identification and Sequence Analysis of Grass Carp Akirin
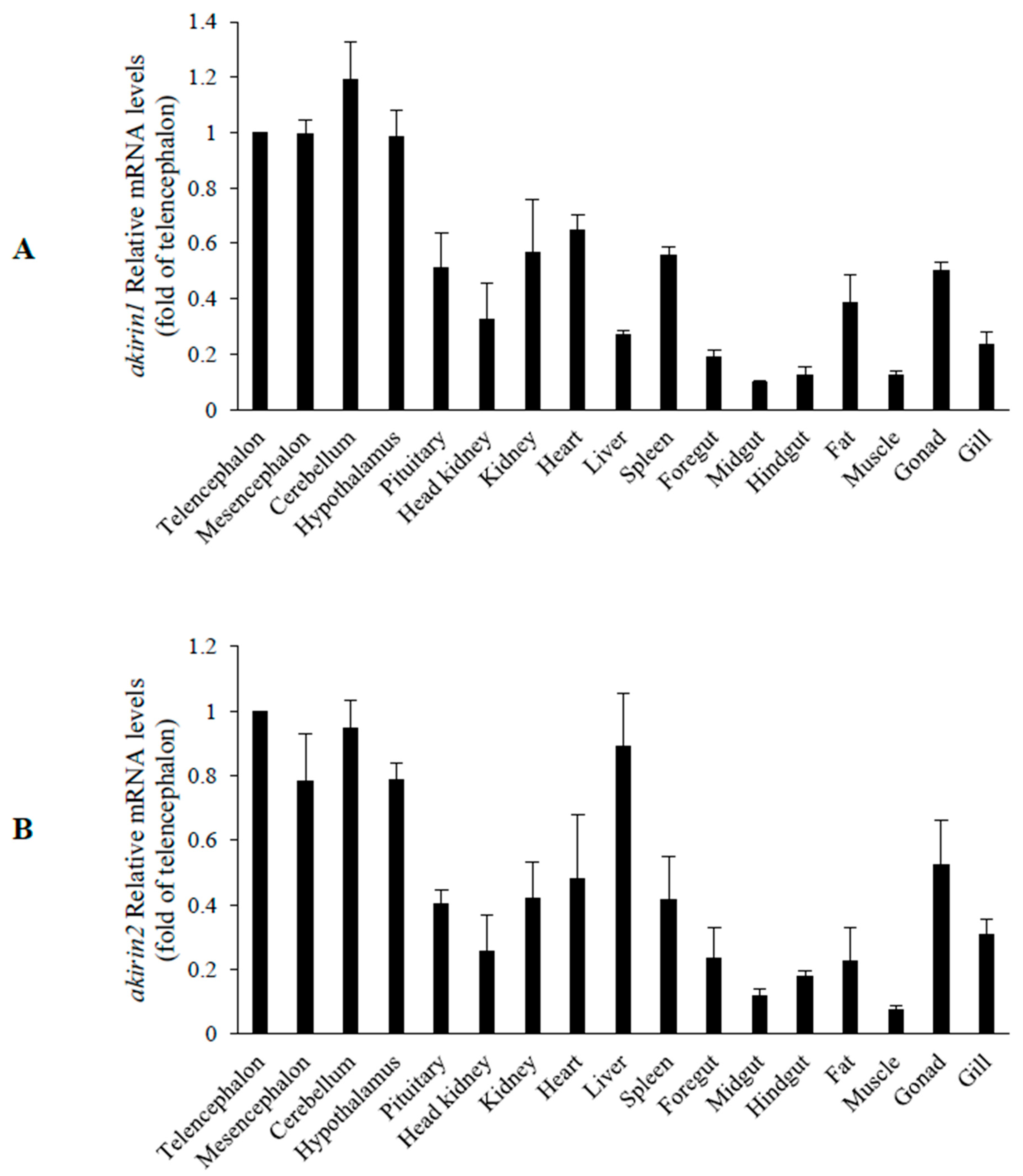
3.2. Analysis of the Tissue Expression Characteristics of Akirins in Grass Carp
3.3. Effect of Poly (I:C) and LPS on Akirin mRNA Expression in CIK Cells and HKLs
3.4. Effect of Poly (I:C) Stimulation and A. hydrophila Challenge on the Expression of Akirin
3.5. Recombinant Akirin Proteins Were Produced by E. coli
3.6. Effect of Akirin1 and Akirin2 on Gene Expression in HKLs
4. Discussion
5. Conclusions
Author Contributions
Funding
Institutional Review Board Statement
Informed Consent Statement
Data Availability Statement
Conflicts of Interest
References
- Goto, A.; Matsushita, K.; Gesellchen, V.; El Chamy, L.; Kuttenkeuler, D.; Takeuchi, O.; Hoffmann, J.A.; Akira, S.; Boutros, M.; Reichhart, J.M. Akirins are highly conserved nuclear proteins required for NF-κB-dependent gene expression in drosophila and mice. Nat. Immunol. 2008, 9, 97–104. [Google Scholar] [CrossRef]
- Polanowska, J.; Chen, J.X.; Soulé, J.; Omi, S.; Belougne, J.; Taffoni, C.; Pujol, N.; Selbach, M.; Zugasti, O.; Ewbank, J.J. Evolutionary plasticity in the innate immune function of Akirin. PLoS Genet. 2018, 14, e1007494. [Google Scholar] [CrossRef] [PubMed]
- Liu, T.X.; Gao, Y.H.; Xu, T.J. Evolution of akirin family in gene and genome levels and coexpressed patterns among family members and rel gene in croaker. Dev. Comp. Immunol. 2015, 52, 17–25. [Google Scholar] [CrossRef]
- Macqueen, D.J.; Bower, N.I.; Johnston, I.A. Positioning the expanded akirin gene family of Atlantic salmon within the transcriptional networks of myogenesis. Biochem. Biophys. Res. Commun. 2010, 400, 599–605. [Google Scholar] [CrossRef] [PubMed]
- Macqueen, D.J.; Kristjánsson, B.K.; Johnston, I.A. Salmonid genomes have a remarkably expanded akirin family, coexpressed with genes from conserved pathways governing skeletal muscle growth and catabolism. Physiol. Genom. 2010, 42, 134–148. [Google Scholar] [CrossRef] [PubMed]
- Macqueen, D.J.; Johnston, I.A. Evolution of the multifaceted eukaryotic akirin gene family. BMC Evol. Biol. 2009, 9, 34. [Google Scholar] [CrossRef]
- Bosch, P.J.; Peek, S.L.; Smolikove, S.; Weiner, J.A. Akirin proteins in development and disease: Critical roles and mechanisms of action. Cell. Mol. Life Sci. 2020, 77, 4237–4254. [Google Scholar] [CrossRef]
- Komiya, Y.; Kurabe, N.; Katagiri, K.; Ogawa, M.; Sugiyama, A.; Kawasaki, Y.; Tashiro, F. A novel binding factor of 14-3-3β functions as a transcriptional repressor and promotes anchorage-independent growth, tumorigenicity, and metastasis. J. Biol. Chem. 2008, 283, 18753–18764. [Google Scholar] [CrossRef]
- Chen, X.; Huang, Z.; Wang, H.; Jia, G.; Liu, G.; Guo, X.; Tang, R.; Long, D. Role of Akirin in Skeletal Myogenesis. Int. J. Mol. Sci. 2013, 14, 3817–3823. [Google Scholar] [CrossRef]
- Marshall, A.; Salerno, M.S.; Thomas, M.; Davies, T.; Berry, C.; Dyer, K.; Bracegirdle, J.; Watson, T.; Dziadek, M.; Kambadur, R.; et al. Mighty is a novel promyogenic factor in skeletal myogenesis. Exp. Cell Res. 2008, 314, 1013–1029. [Google Scholar] [CrossRef]
- Peng, C.; Xie, D.C.; Zhao, C.; Xu, H.D.; Fan, S.G.; Yan, L.L.; Wang, P.F.; Qiu, L.H. Molecular characterization and functional analysis of Akirin from black tiger shrimp (Penaeus monodon). Fish Shellfish Immunol. 2019, 94, 607–616. [Google Scholar] [CrossRef] [PubMed]
- Wang, S.; Tai, Z.; Sun, Q.; Wang, J.; Wang, H.; Gao, Z.; Liu, H. Akirin2 plays an important role in protecting Megalobrama amblycephala from Aeromonas hydrophila infection. Aquaculture 2023, 562, 738836. [Google Scholar] [CrossRef]
- Hou, F.J.; Wang, X.Z.; Qian, Z.Y.; Liu, Q.; Liu, Y.J.; He, S.L.; Mi, X.; Bai, C.; Sun, C.B.; Liu, X.L. Identification and functional studies of Akirin, a potential positive nuclear factor of NF-κB signaling pathways in the Pacific white shrimp, Litopenaeus vannamei. Dev. Comp. Immunol. 2013, 41, 703–714. [Google Scholar] [CrossRef]
- Xiong, H.; Jiang, Y.; Ji, T.; Zhang, Y.; Wei, W.; Yang, H. The identification of a nuclear factor Akirin with regulating the expression of antimicrobial peptides in red swamp crayfish (Procambarus clarkii). Int. J. Biol. Macromol. 2021, 183, 707–717. [Google Scholar] [CrossRef]
- Kasthuri, S.R.; Umasuthan, N.; Whang, I.; Wan, Q.; Lim, B.-S.; Jung, H.-B.; Lee, J. Akirin2 homologues from rock bream, Oplegnathus fasciatus: Genomic and molecular characterization and transcriptional expression analysis. Fish Shellfish Immunol. 2013, 35, 740–747. [Google Scholar] [CrossRef] [PubMed]
- Pavithiran, A.; Bathige, S.D.N.K.; Kugapreethan, R.; Priyathilaka, T.T.; Yang, H.; Kim, M.J.; Lee, J. A comparative study of three akirin genes from big belly seahorse Hippocampus abdominalis: Molecular, transcriptional and functional characterization. Fish Shellfish Immunol. 2018, 74, 584–592. [Google Scholar] [CrossRef] [PubMed]
- Xue, X.; Wang, L.; Chen, Y.; Zhang, X.; Luo, H.; Li, Z.; Zhao, H.; Yao, B. Identification and molecular characterization of an Akirin2 homolog in Chinese loach (Paramisgurnus dabryanus). Fish Shellfish Immunol. 2014, 36, 435–443. [Google Scholar] [CrossRef]
- Salerno, M.S.; Dyer, K.; Bracegirdle, J.; Platt, L.; Thomas, M.; Siriett, V.; Kambadur, R.; Sharma, M. Akirin1 (Mighty), a novel promyogenic factor regulates muscle regeneration and cell chemotaxis. Exp. Cell Res. 2009, 315, 2012–2021. [Google Scholar] [CrossRef]
- Almazán, C.; Blas-Machado, U.; Kocan, K.M.; Yoshioka, J.H.; Blouin, E.F.; Mangold, A.J.; de la Fuente, J. Characterization of three Ixodes scapularis cDNAs protective against tick infestations. Vaccine 2005, 23, 4403–4416. [Google Scholar] [CrossRef]
- De la Fuente, J.; Maritz-Olivier, C.; Naranjo, V.; Ayoubi, P.; Nijhof, A.M.; Almazán, C.; Canales, M.; de la Lastra, J.M.; Galindo, R.C.; Blouin, E.F.; et al. Evidence of the role of tick subolesin in gene expression. BMC Genom. 2008, 9, 372. [Google Scholar] [CrossRef]
- Tartey, S.; Matsushita, K.; Vandenbon, A.; Ori, D.; Imamura, T.; Mino, T.; Standley, D.M.; Hoffmann, J.A.; Reichhart, J.M.; Akira, S.; et al. Akirin2 is critical for inducing inflammatory genes by bridging IκB-ζ and the SWI/SNF complex. EMBO J. 2014, 33, 2332–2348. [Google Scholar] [CrossRef]
- Chen, J.; Zhang, D.W.; Jin, X.; Xu, X.L.; Zeng, B.P. Characterization of the Akirin gene and its role in the NF-κB signaling pathway of Sogatella furcifera. Front. Physiol. 2018, 9, 01411. [Google Scholar] [CrossRef] [PubMed]
- Qin, L.; Wang, X.; Zhang, S.; Feng, S.; Yin, L.; Zhou, H. Lipopolysaccharide-induced autophagy participates in the control of pro-inflammatory cytokine release in grass carp head kidney leukocytes. Fish Shellfish Immunol. 2016, 59, 389–397. [Google Scholar] [CrossRef] [PubMed]
- Qiao, D.; Zhao, Y.; Pei, C.; Zhao, X.; Jiang, X.; Zhu, L.; Zhang, J.; Li, L.; Kong, X. Two CcCCL19bs orchestrate an antibacterial immune response in Yellow River carp (Cyprinus carpio haematopterus). Fish Shellfish Immunol. 2023, 140, 108987. [Google Scholar] [CrossRef] [PubMed]
- Yang, G.; Liang, X.; Xu, S.; Cai, H.; Ma, L.; Chang, X.; Zhang, Y.; Yang, L.; Meng, X. Molecular identification of Igf3 and its roles in grass carp (Ctenopharyngodon idella). Aquaculture 2022, 548, 737581. [Google Scholar] [CrossRef]
- Livak, K.J.; Schmittgen, T.D. Analysis of Relative Gene Expression Data Using Real-Time Quantitative PCR and the 2−ΔΔCT Method. Methods 2001, 25, 402–408. [Google Scholar] [CrossRef]
- Artigas-Jerónimo, S.; Villar, M.; Cabezas-Cruz, A.; Valdés, J.J.; Estrada-Peña, A.; Alberdi, P.; de la Fuente, J. Functional Evolution of Subolesin/Akirin. Front. Physiol. 2018, 9, 1612. [Google Scholar] [CrossRef]
- Howard, A.M.; Milner, H.; Hupp, M.; Willett, C.; Palermino, K.; Nowak, S.J. Akirin is critical for early tinman induction and subsequent formation of the heart in Drosophila melanogaster. Dev. Biol. 2021, 469, 1–11. [Google Scholar] [CrossRef]
- Gou, F.; Zhang, D.; Chen, S.; Zhang, M.; Chen, J. Role of nuclear protein Akirin in the modulation of female reproduction in Nilaparvata lugens (Hemiptera: Delphacidae). Front. Physiol. 2024, 15, 1415746. [Google Scholar] [CrossRef]
- Yang, W.; Liu, C.; Xu, Q.; Qu, C.; Lv, X.; Li, H.; Wu, Z.; Li, M.; Yi, Q.; Wang, L.; et al. A novel nuclear factor Akirin regulating the expression of antimicrobial peptides in Chinese mitten crab. Dev. Comp. Immunol. 2019, 101, 103451. [Google Scholar] [CrossRef]
- Yan, J.; Dong, X.; Kong, Y.; Zhang, Y.; Jing, R.; Feng, L. Identification and primary immune characteristics of an amphioxus akirin homolog. Fish Shellfish Immunol. 2013, 35, 564–571. [Google Scholar] [CrossRef] [PubMed]
- Li, F.; Xiang, J. Signaling pathways regulating innate immune responses in shrimp. Fish Shellfish Immunol. 2013, 34, 973–980. [Google Scholar] [CrossRef]
- Qu, F.; Xiang, Z.; Zhang, Y.; Li, J.; Zhang, Y.; Yu, Z. The identification of the first molluscan Akirin2 with immune defense function in the Hong Kong oyster. Fish Shellfish Immunol. 2014, 41, 455–465. [Google Scholar] [CrossRef] [PubMed]
- Hu, X.; Zhang, K.; Pan, G.; Hao, X.; Li, C.; Li, C.; Gul, I.; Kausar, S.; Abbas, M.N.; Zhu, Y.; et al. The identification of nuclear factor Akirin with immune defense role in silkworm, Bombyx mori. Int. J. Biol. Macromol. 2021, 188, 32–42. [Google Scholar] [CrossRef] [PubMed]
- Shanaka, K.A.S.N.; Madushani, K.P.; Madusanka, R.K.; Tharuka, M.D.N.; Sellaththurai, S.; Yang, H.; Jung, S.; Lee, J. Transcription profile, NF-κB promoter activation, and antiviral activity of Amphiprion clarkii Akirin-2. Fish Shellfish Immunol. 2021, 108, 14–23. [Google Scholar] [CrossRef]
- Chen, X.; Huang, Z.; Jia, G.; Wu, X.; Wu, C. Molecular Cloning, Tissue Distribution, and Functional Analysis of Porcine Akirin2. Anim. Biotechnol. 2012, 23, 124–131. [Google Scholar] [CrossRef]
- Zhang, Y.S.; Zhang, X.; Dai, K.; Zhu, M.; Liang, Z.; Pan, J.; Zhang, Z.Y.; Xue, R.Y.; Cao, G.L.; Hu, X.L.; et al. Bombyx mori Akirin hijacks a viral peptide vSP27 encoded by BmCPV circRNA and activates the ROS-NF-κB pathway against viral infection. Int. J. Biol. Macromol. 2022, 19, 223–232. [Google Scholar] [CrossRef]
- Ghosh, S.; Hayden, M.S. New regulators of NF-κB in inflammation. Nat. Rev. Immunol. 2008, 8, 837–848. [Google Scholar] [CrossRef]












| Genes | Sequence (5′→3′) | Accession No. | PCR Efficiency |
|---|---|---|---|
| akirin1-ORF-F | ATGGCTTGTGGCGCGACGT | ||
| akirin1-ORF-R | TCAAGACACATAGCTTGCA | ||
| akirin2-ORF-F | ATGGCTTGTGGAGCCACT | ||
| akirin2-ORF-R | TCAGGACACATAGCTGGCA | ||
| rAkirin1-F | CGGAATTCCATCATCATCATCATCATATGGCTTGTGGCGCGACG | ||
| rAkirin1-R | ATAGTTTAGCGGCCGCTCAAGACACATAGCTTGC | ||
| rAkirin2-F | CGGAATTCCATCATCATCATCATCATATGGCTTGTGGAGCCACT | ||
| rAkirin2-R | ATAGTTTAGCGGCCGCTCAGGACACATAGCTGGC | ||
| akirin1-qRT-F | GTCTTCGCCCGTCAACA | 1.912 | |
| akirin1-qRT-R | TAACTGCCGTCGCCTCT | ||
| akirin2-qRT-F | CGACTCCCAGCCGCACGCCT | 1.934 | |
| akirin2-qRT-R | CCTTCAGCAGACGCTCACAG | ||
| ifnγ-qRT-F | TGTTTGATGACTTTGGGATG | JX657682 | 1.918 |
| ifnγ-qRT-R | TCAGGACCCGCAGGAAGAC | ||
| tnfα-qRT-F | CGCTGCTGTCTGCTTCAC | HQ696609 | 1.951 |
| tnfα-qRT-R | CCTGGTCCTGGTTCACTC | ||
| il-1β-qRT-F | AGAGTTTGGTGAAGAAGAGG | JQ692172 | 1.944 |
| il-1β-qRT-R | TTATTGTGGTTACGCTGGA | ||
| il-6-qRT-F | CAGCAGAATGGGGGAGTTATC | KC535507.1 | 2.036 |
| il-6-qRT-R | CTCGCAGAGTCTTGACATCCTT | ||
| il-4-qRT-F | CTACTGCTCGCTTTCGCTGT | KT445871 | 2.015 |
| il-4-qRT-R | CCCAGTTTTCAGTTCTCTCAGG | ||
| nfκb-qRT-F | GAAGAAGGATGTGGGAGATG | KJ526214 | 1.964 |
| nfκb-qRT-R | TGTTGTCGTAGATGGGCTGAG | ||
| iκbα-qRT-F | TCTTGCCATTATTCACGAGG | KJ125069 | 1.998 |
| iκbα-qRT-R | TGTTACCACAGTCATCCACCA | ||
| 18s-qRT-F | ATTTCCGACACGGAGAGG | EU047719 | 1.941 |
| 18s-qRT-R | CATGGGTTTAGGATACGCTC | ||
| β-actin-qRT-F | GGCTGTGCTGTCCCTGTA | M25013 | 2.003 |
| β-actin-qRT-R | GGGCATAACCCTCGTAGAT |
Disclaimer/Publisher’s Note: The statements, opinions and data contained in all publications are solely those of the individual author(s) and contributor(s) and not of MDPI and/or the editor(s). MDPI and/or the editor(s) disclaim responsibility for any injury to people or property resulting from any ideas, methods, instructions or products referred to in the content. |
© 2024 by the authors. Licensee MDPI, Basel, Switzerland. This article is an open access article distributed under the terms and conditions of the Creative Commons Attribution (CC BY) license (https://creativecommons.org/licenses/by/4.0/).
Share and Cite
Yang, G.; Gu, J.; Wang, H.; Yang, B.; Feng, S.; Zhang, Y.; Zhang, X.; Chang, X.; Shao, J.; Meng, X. Identification, Expression, Characteristic Analysis, and Immune Function of Two Akirin Genes in Grass Carp (Ctenopharyngodon idella). Animals 2024, 14, 2443. https://doi.org/10.3390/ani14162443
Yang G, Gu J, Wang H, Yang B, Feng S, Zhang Y, Zhang X, Chang X, Shao J, Meng X. Identification, Expression, Characteristic Analysis, and Immune Function of Two Akirin Genes in Grass Carp (Ctenopharyngodon idella). Animals. 2024; 14(16):2443. https://doi.org/10.3390/ani14162443
Chicago/Turabian StyleYang, Guokun, Jianing Gu, Hao Wang, Boya Yang, Shikun Feng, Yanmin Zhang, Xindang Zhang, Xulu Chang, Jianchun Shao, and Xiaolin Meng. 2024. "Identification, Expression, Characteristic Analysis, and Immune Function of Two Akirin Genes in Grass Carp (Ctenopharyngodon idella)" Animals 14, no. 16: 2443. https://doi.org/10.3390/ani14162443
APA StyleYang, G., Gu, J., Wang, H., Yang, B., Feng, S., Zhang, Y., Zhang, X., Chang, X., Shao, J., & Meng, X. (2024). Identification, Expression, Characteristic Analysis, and Immune Function of Two Akirin Genes in Grass Carp (Ctenopharyngodon idella). Animals, 14(16), 2443. https://doi.org/10.3390/ani14162443
