A Modified Calculation of the Withdrawal Time and a Risk Assessment of Enrofloxacin in Micropterus salmoides after Its Ad Libitum Administration via Medicated Feed in the Commercial Aquaculture
Abstract
Simple Summary
Abstract
1. Introduction
2. Materials and Methods
2.1. Chemicals and Reagents
2.2. Medicated Feed
2.3. Animal Rearing and Sampling
2.4. Sample Preparation, Equipment, and Method Validation
2.5. Statistical Analysis and Calculations
3. Results
3.1. HPLC Method Validation
3.2. Residue Depletion of EF and CF in Largemouth Bass
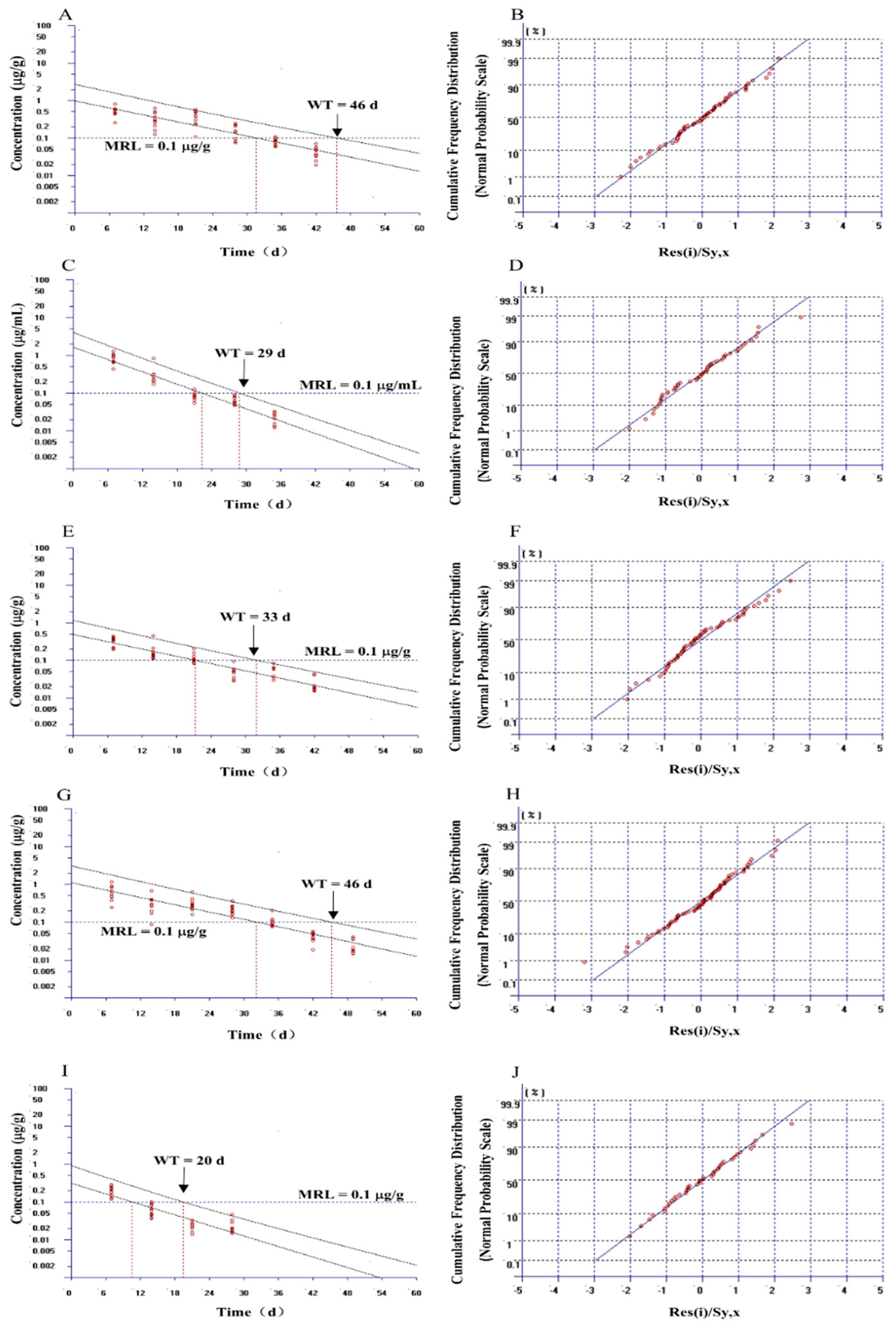
3.3. The Estimation of WTs for EF in Largemouth Bass
3.4. Risk Assessment
4. Discussion
5. Conclusions
Supplementary Materials
Author Contributions
Funding
Institutional Review Board Statement
Informed Consent Statement
Data Availability Statement
Conflicts of Interest
Abbreviations
References
- Xu, N.; Cheng, B.; Li, M.; Lin, Z.; Ai, X. Withdrawal interval estimation of doxycycline in yellow catfish (Pelteobagrus fulvidraco) using an LC-MS/MS method based upon QuEChERS sampling preparation. Foods 2021, 10, 2554. [Google Scholar] [CrossRef] [PubMed]
- Yang, F.; Yang, F.; Wang, G.; Kong, T.; Wang, H.; Zhang, C. Effects of water temperature on tissue depletion of florfenicol and its metabolite florfenicol amine in crucian carp (Carassius auratus gibelio) following multiple oral doses. Aquaculture 2020, 515, 734542. [Google Scholar] [CrossRef]
- Zhang, W.; Wang, J.; Zheng, G.; Yin, Y.; Zhu, X.; Shan, Q.; Yang, Y.; Ma, L.; Li, L.; Liu, S. Pharmacokinetics, tissue distribution, and depletion of enrofloxacin and its metabolite ciprofloxacin in the northern snakehead (Channa argus) following multiple oral administration. Aquaculture 2021, 533, 736183. [Google Scholar] [CrossRef]
- Xu, N.; Li, M.; Fu, Y.; Zhang, X.; Ai, X.; Lin, Z. Tissue residue depletion kinetics and withdrawal time estimation of doxycycline in grass carp, Ctenopharyngodon idella, following multiple oral administrations. Food Chem. Toxicol. 2019, 131, 110592. [Google Scholar] [CrossRef] [PubMed]
- MARFA. China Fishery Statistics Yearbook 2019; Ministry of Agriculture and Rural Fisheries Administration, Ed.; China Agriculture Press: Beijing, China, 2023.
- Xia, Y.; Cao, Z.; Lin, L.; Pan, X.; Yao, J.; Liu, y.; Yin, W.; Shen, J. Research progress on main diseases of largemouth bass (Micropterus salmoides). China Anim. Health Inspec. 2018, 35, 72–76. [Google Scholar]
- Yang, X.; Li, L. Largemouth bass diseases and control measures (Part 1). Sci. Fish Farming 2023, 403, 11–12. [Google Scholar]
- Li, Y.; Cai, Y.; Zhang, L.; Sun, J.; Bao, H.; Xu, X. Isolation and identification of Vibrio anguillarum from Micropterus salmoides. Freshw. Fish. 2023, 53, 46–53. [Google Scholar]
- Guo, J.; Gong, Z. Research progress of enrofloxacin in aquaculture. Jiangsu Agric. Sci. 2011, 39, 290–292. [Google Scholar]
- GB31650-2019; National Food Safety Standard- Maximum Residue Limits for Veterinary Drugs in Foods. MARAC: Beijing, China, 2019.
- Han, J.-L.; Pan, X.-D.; Chen, Q.; Huang, B.-F. Health risk assessment of heavy metals in marine fish to the population in Zhejiang, China. Sci. Rep. 2021, 11, 11079. [Google Scholar] [CrossRef] [PubMed]
- Hua, Y.; Yao, Q.; Lin, J.; Li, X.; Yang, Y. Comprehensive survey and health risk assessment of antibiotic residues in freshwater fish in southeast China. J. Food Compost. Anal. 2022, 114, 104821. [Google Scholar] [CrossRef]
- Wang, X.L.; Jiao, Y.; Wang, G.; Li, F.; Shao, L.; Zheng, F.; Wang, L.; Chen, F.; Yang, L. Occurrence of quinolones in cultured fish from Shandong Province, China and their health risk assessment. Mar. Pollut. Bull. 2022, 180, 113777. [Google Scholar] [CrossRef] [PubMed]
- Yang, F.; Ai, X.; Liu, Y.; Xu, N.; Zhao, F. Studies on elimination dynamics of enrofloxacin residues and its metabolites in channel catfish (Letalurus punetaus) at two different water temperatures. Acta Hydrobiol. Sin. 2017, 41, 781–786. [Google Scholar]
- Li, G.; Liu, Y.; Chen, W.; Zu, X.; Dai, X.; Zhao, Q.; Yang, B. Effects of gallic acid on metabolism and residues of enrofloxacin in common carp Cyprinus carpio. J. Dalian Ocean Univ. 2016, 31, 658–662. [Google Scholar]
- Yang, F.; Zhang, C.; Duan, M.; Wang, H.; Song, Z.; Shao, H.; Ma, K.; Yang, F. Pharmacokinetics and tissue distribution of enrofloxacin following single oral administration in yellow river carp (Cyprinus carpio haematoperus). Front. Vet. Sci. 2022, 9, 822032. [Google Scholar] [CrossRef] [PubMed]
- Zhan, S.; He, X.; Chen, X.; Liu, A.; Zhang, F.; Li, S. Study on the rule of enrofloxacin elimination in Russian sturgeon (Acipenser gueldenstaedtii). Chin. Fish. Qual. Stand. 2023, 13, 10–18. [Google Scholar]
- Shan, Q.; Huang, H.; Zheng, G.; Yin, Y.; Zhu, X.; Ma, L.; Zhou, H.; Xie, W.; Li, L.; Liu, S.; et al. Pharmacokinetics and tissue residue profiles of enrofloxacin in crucian carp (Carassius auratus gibelio) following single and multiple oral administration. Front. Vet. Sci. 2022, 9, 872828. [Google Scholar] [CrossRef] [PubMed]
- Dai, Y. Metabolism and elimination of enrofloxacin and its metabolites in (Epinephelus fuscoguttatus ♀ × Epinephelus lanceolatus ♂). J. Fish. Res. 2021, 43, 299–306. [Google Scholar]
- Xu, W.; Zhu, X.; Wang, X.; Deng, L.; Zhang, G. Residues of enrofloxacin, furazolidone and their metabolites in Nile tilapia (Oreochromis niloticus). Aquaculture 2006, 254, 1–8. [Google Scholar] [CrossRef]
- Li, N.; Li, J.; Wang, Q. The residue of enrofloxacin and its elimination in cultivated Scophthalmus maximus. Prog. Fish. Sci. 2009, 30, 26–33. [Google Scholar]
- Chang, Z.; Li, D.; Li, J. Residue dynamics of enrofloxacin in Scophthalmus maximus, Paralichthys olivaceus, and Cynoglossus semilaevis. Prog. Fish. Sci. 2016, 37, 16–21. [Google Scholar]
- Seo, J.S.; Jeon, E.J.; Lee, E.H.; Jung, S.H.; Park, M.-A.; Jee, B.Y.; Kim, N.Y. The residues of enrofloxacin in cultured Paralichthys olivaceus. J. Fish Pathol. 2013, 26, 45–50. [Google Scholar] [CrossRef][Green Version]
- Liu, Y.; Ai, X.; Sun, R.; Yang, Y.; Zhou, S.; Dong, J.; Yang, Q. Residue, biotransformation, risk assessment and withdrawal time of enrofloxacin in red swamp crayfish (Procambarus clarkii). Chemosphere 2022, 307, 135657. [Google Scholar] [CrossRef] [PubMed]
- Xu, N.; Sun, W.; Zhang, H.; Li, Z.; Cheng, B.; Ding, Y.; Ai, X. The assessment of withdrawal interval for enrofloxacin in yellow catfish (Pelteobagrus fulvidraco) after multiple oral administrations at disparate temperatures. Animals 2023, 13, 2568. [Google Scholar] [CrossRef] [PubMed]
- Xu, N.; Sun, W.; Zhang, H.; Liu, Y.; Dong, J.; Zhou, S.; Yang, Y.; Yang, Q.; Ai, X. Plasma and tissue kinetics of enrofloxacin and its metabolite, ciprofloxacin, in yellow catfish (Pelteobagrus fulvidraco) after a single oral administration at different temperatures. Comp. Biochem. Physiol. C Toxicol. Pharmacol. 2023, 266, 109554. [Google Scholar] [CrossRef] [PubMed]
- EC. Commission implementing regulation (EU) 2021/808 of 22 March 2021 on the performance of analytical methods for residues of pharmacologically active substances used in food-producing animals and on the interpretation of results as well as on the methods to be used for sampling and repealing Decisions 2002/657/EC and 98/179/EC. Off. J. Eur. Union 2021, L180, 84–109. [Google Scholar]
- Xu, N.; Sun, W.; Gong, L.; Dong, J.; Zhou, S.; Liu, Y.; Yang, Y.; Yang, Q.; Ding, Y.; Ai, X. An improved withdrawal interval calculation and risk assessment of doxycycline in crayfish (Procambarus clarkii) in the natural cultured environment. Food Res. Int. 2023, 166, 112604. [Google Scholar] [CrossRef] [PubMed]
- EMA. Guideline on Determination of Withdrawal Periods for Edible Tissues; European Medicines Agency: Amsterdam, The Netherlands, 2018; Volume EMA/CVMP/SWP/735325/2012. Available online: https://www.ema.europa.eu/en/documents/scientific-guideline/guideline-determination-withdrawal-periods-edible-tissues-revision-1_en.pdf (accessed on 13 September 2018).
- EMA. Guideline on Studies to Evaluate the Metabolism and Residue Kinetics of Veterinary Drugs in Food-Producing Animals: Marker Residue Depletion Studies to Establish Product Withdrawal Periods; European Medicines Agency: Amsterdam, The Netherlands, 2009; Volume EMA/CVMP/VICH/463199/2009-CONSULTATION. Available online: https://www.ema.europa.eu/en/documents/scientific-guideline/concept-paper-revision-note-guidance-approach-towards-harmonisation-withdrawal-periods_en.pdf (accessed on 12 February 2009).
- Zihao, F.; Qian, W.; Xi, C.; Liping, Q.; Yuting, Y.; Fan, L.; Chao, S.; Shunlong, M. Quantitative benefit and risk assessment of arsenic and nutrient levels in cooked and raw chinese mitten crab (Eriocheir sinensis) using an in vitro digestion model. Food Chem. 2021, 368, 130826. [Google Scholar] [CrossRef] [PubMed]
- Gui, Y.; Wang, Q.; Zou, J.; Chen, X.; Song, C.; Chen, J. From pond to table: Differences in breeding and consumption affect the balance between dietary risk of residual cadmium and uptake benefits of nutrients in Chinese mitten crab (Eriocheir sinensis). Food Chem. 2022, 373, 131339. [Google Scholar] [CrossRef] [PubMed]
- Feng, Z. Compilation of National Standards for Veterinary Drugs; China Agriculture Press: Beijing, China, 2010. [Google Scholar]
- Tran Minh, P.; Douny, C.; Scippo, M.-L.; De Pauw, E.; Nguyen Quoc, T.; Do Thi Thanh, H.; Huynh Phuoc, V.; Nguyen Thanh, P.; Dalsgaard, A. Elimination of enrofloxacin in striped catfish (Pangasianodon hypophthalmus) following on-farm treatment. Aquaculture 2015, 438, 1–5. [Google Scholar]
- Shan, Q.; Wang, J.; Zheng, G.; Zhu, X.; Yang, Y.; Ma, L.; Zhao, C.; Li, L.; Yin, Y. Pharmacokinetics and tissue residues of enrofloxacin in the largemouth bass (Micropterus salmoides) after oral administration. J. Vet. Pharmacol. Ther. 2019, 43, 147–152. [Google Scholar] [CrossRef] [PubMed]
- Lucchetti, D.; Fabrizi, L.; Guandalini, E.; Podesta, E.; Marvasi, L.; Zaghini, A.; Coni, E. Long depletion time of enrofloxacin in rainbow trout (Oncorhynchus mykiss). Antimicrob. Agents Chemother. 2004, 48, 3912–3917. [Google Scholar] [CrossRef] [PubMed]
- Ellis, A.E. Fish Pathology. In The anatomy and Physiology of Teleost, 3rd ed.; Bailliere Tindall: London, UK, 1978; pp. 13–54. [Google Scholar]
- Liang, J.P.; Li, J.; Li, J.T.; Liu, P.; Chang, Z.Q.; Nie, G.X. Accumulation and elimination of enrofloxacin and its metabolite ciprofloxacin in the ridgetail white prawn Exopalaemon carinicauda following medicated feed and bath administration. J. Vet. Pharmacol. Ther. 2014, 37, 508–514. [Google Scholar] [CrossRef] [PubMed]
- Paschoal, J.A.; Quesada, S.P.; Goncalves, L.U.; Cyrino, J.E.; Reyes, F.G. Depletion study and estimation of the withdrawal period for enrofloxacin in pacu (Piaractus mesopotamicus). J. Vet. Pharmacol. Ther. 2013, 36, 594–602. [Google Scholar] [CrossRef] [PubMed]
Drug | Plasma or Tissues | Spiked Concentration (μg/g or μg/mL) | Recovery/% | Intra-Day RSD (%) | Inter-Day RSD/% |
---|---|---|---|---|---|
Enrofloxacin | Plasma | 0.02 | 119.01 ± 0.41 | 2.14 | 7.18 |
0.1 | 115.65 ± 1.21 | 2.56 | 8.83 | ||
1 | 103.14 ± 1.51 | 2.55 | 2.63 | ||
Muscle + skin | 0.02 | 96.94 ± 2.53 | 3.42 | 3.41 | |
0.1 | 100.22 ± 0.59 | 2.29 | 2.58 | ||
1 | 99.46 ± 0.8 | 0.4 | 0.32 | ||
Gill | 0.02 | 106.97 ± 7.28 | 5.21 | 4.65 | |
0.1 | 100.18 ± 4.11 | 3.23 | 3.09 | ||
1 | 98.06 ± 0.95 | 0.61 | 0.68 | ||
Liver | 0.02 | 91.51 ± 0.99 | 3.14 | 6.05 | |
0.1 | 105.06 ± 1.47 | 3.00 | 2.02 | ||
1 | 96.96 ± 0.3 | 2.21 | 8.01 | ||
Kidney | 0.02 | 112.20 ± 4.76 | 2.57 | 2.12 | |
0.1 | 102.80 ± 2.36 | 0.74 | 1.10 | ||
1 | 106.79 ± 1.45 | 0.16 | 0.13 | ||
Ciprofloxacin | Plasma | 0.02 | 93.24 ± 1.34 | 6.56 | 5.80 |
0.1 | 84.70 ± 0.59 | 5.65 | 5.16 | ||
1 | 88.55 ± 1.14 | 4.31 | 4.74 | ||
Muscle+ skin | 0.02 | 84.97 ± 0.63 | 1.83 | 1.94 | |
0.1 | 85.21 ± 0.85 | 1.87 | 2.23 | ||
1 | 87.08 ± 1.71 | 0.75 | 0.79 | ||
Gill | 0.02 | 116.34 ± 3.43 | 5.99 | 8.37 | |
0.1 | 109.70 ± 2.65 | 5.13 | 4.81 | ||
1 | 83.49 ± 0.47 | 2.40 | 2.06 | ||
Liver | 0.02 | 85.08 ± 1.84 | 4.37 | 6.00 | |
0.1 | 87.30 ± 2.07 | 2.08 | 3.51 | ||
1 | 83.34 ± 1.55 | 4.69 | 6.06 | ||
Kidney | 0.02 | 118.15 ± 1.64 | 2.16 | 4.67 | |
0.1 | 106.14 ± 0.07 | 0.37 | 0.31 | ||
1 | 91.12 ± 0.18 | 0.12 | 0.44 |
Disclaimer/Publisher’s Note: The statements, opinions and data contained in all publications are solely those of the individual author(s) and contributor(s) and not of MDPI and/or the editor(s). MDPI and/or the editor(s) disclaim responsibility for any injury to people or property resulting from any ideas, methods, instructions or products referred to in the content. |
© 2024 by the authors. Licensee MDPI, Basel, Switzerland. This article is an open access article distributed under the terms and conditions of the Creative Commons Attribution (CC BY) license (https://creativecommons.org/licenses/by/4.0/).
Share and Cite
Xu, N.; Ding, Y.; Ai, X. A Modified Calculation of the Withdrawal Time and a Risk Assessment of Enrofloxacin in Micropterus salmoides after Its Ad Libitum Administration via Medicated Feed in the Commercial Aquaculture. Animals 2024, 14, 2341. https://doi.org/10.3390/ani14162341
Xu N, Ding Y, Ai X. A Modified Calculation of the Withdrawal Time and a Risk Assessment of Enrofloxacin in Micropterus salmoides after Its Ad Libitum Administration via Medicated Feed in the Commercial Aquaculture. Animals. 2024; 14(16):2341. https://doi.org/10.3390/ani14162341
Chicago/Turabian StyleXu, Ning, Yongzhen Ding, and Xiaohui Ai. 2024. "A Modified Calculation of the Withdrawal Time and a Risk Assessment of Enrofloxacin in Micropterus salmoides after Its Ad Libitum Administration via Medicated Feed in the Commercial Aquaculture" Animals 14, no. 16: 2341. https://doi.org/10.3390/ani14162341
APA StyleXu, N., Ding, Y., & Ai, X. (2024). A Modified Calculation of the Withdrawal Time and a Risk Assessment of Enrofloxacin in Micropterus salmoides after Its Ad Libitum Administration via Medicated Feed in the Commercial Aquaculture. Animals, 14(16), 2341. https://doi.org/10.3390/ani14162341