Histological and Histopathological Features of the Third Metacarpal/Tarsal Parasagittal Groove and Proximal Phalanx Sagittal Groove in Thoroughbred Horses with Racing History
Abstract
Simple Summary
Abstract
1. Introduction
- -
- A comparison between locations with and without fissures in the MC3/MT3 parasagittal groove and P1 sagittal groove detected in a previous study [26]. In the previous study, fissures were identified on both cone-beam and fan-beam computed tomography and were confirmed as histological findings of microcracks in the calcified cartilage and subchondral bone plate [26]. The previous study assessed histopathological features associated with fissures regardless of MC3/MT3 or P1 origin [26]. In this study, fissures of MC3/MT3 or P1 origin were described separately.
- -
- A comparison between dorsal, middle, and palmar/plantar aspects of the MC3/MT3 parasagittal groove and P1 sagittal groove.
2. Materials and Methods
2.1. Materials
2.2. Histological Preparation
2.3. Histological Examination
- (1)
- Hyaline cartilage (HC): alteration in staining for glycosaminoglycans, surface irregularity, fibrillation, thickness variation, irregular chondrocyte distribution, chondrocyte loss, and chondrocyte clustering.
- (2)
- Calcified cartilage (CC): tidemark incongruence, calcified cartilage cleft, depth variation, vascular invasion, and islands of cartilage in subchondral bone plate.
- (3)
- Subchondral plate and trabecular bone regions (SCB/TB): sclerosis, subchondral bone collapse, the replacement of cancellous bone with dense bone, trabecular thickening, replacement with osteonal bone (increased deposition of lamellar bone), increased basic multicellular units (BMUs), replacement with woven bone, and Howship’s lacunae.
2.4. Histological Grades Analysis
- A.
- Grouping by the presence or absence of fissures observed in the previous study, where fissures were identified on both cone-beam and fan-beam computed tomography and were confirmed by histological examination [26]: (1) fissure location and (2) non-fissure location.
- B.
- Grouping by dorsal, middle, and palmar/plantar aspects, where bone specimens were collected (see Histological Preparation for details): (1) dorsal aspect, (2) middle aspect, and (3) palmar/plantar aspect.
2.5. Data Analysis
3. Results
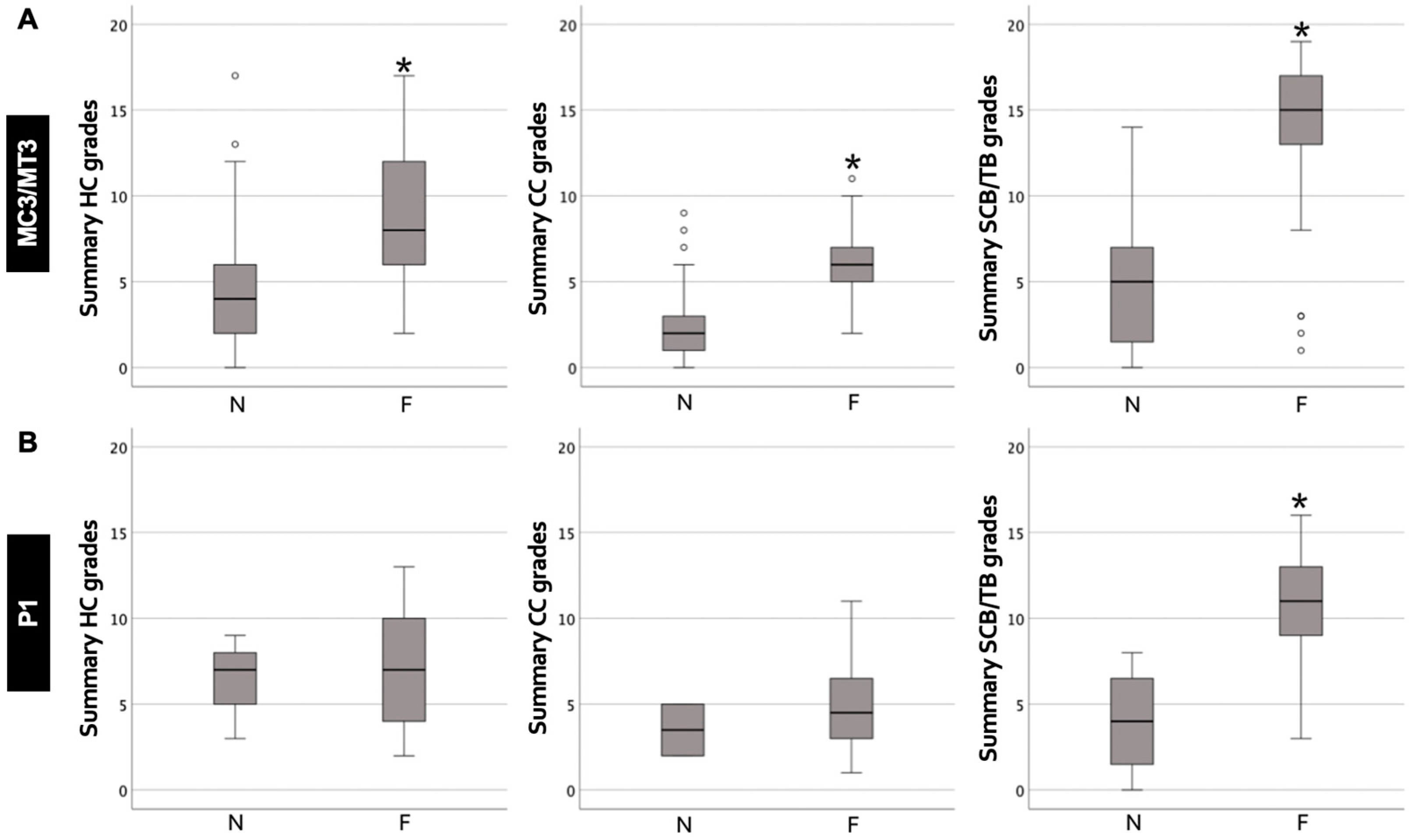
3.1. Comparison between Fissure and Non-Fissure Locations in MC3/MT3 and P1 (Figure 4)


3.1.1. MC3/MT3 Parasagittal Groove
3.1.2. P1 Sagittal Groove
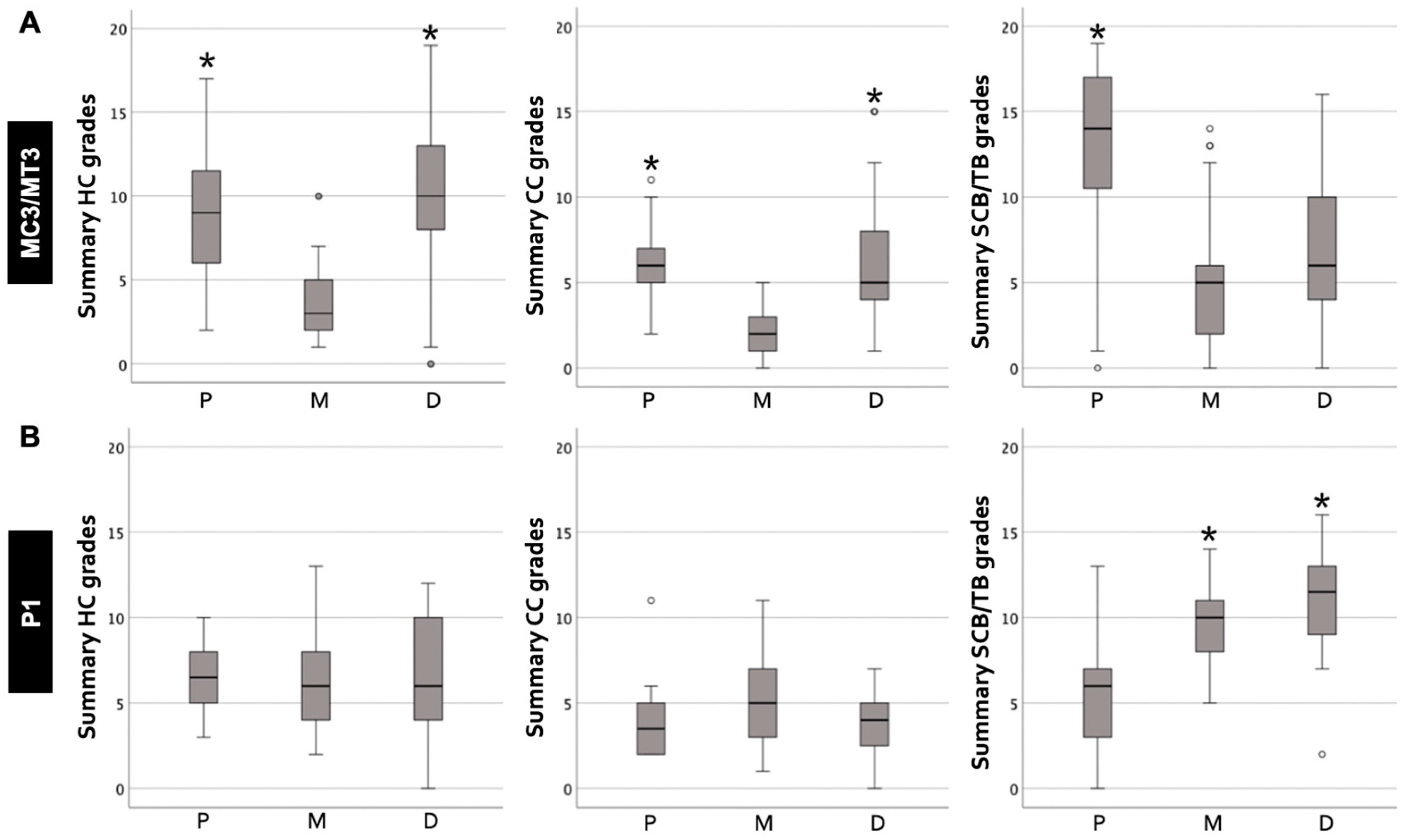
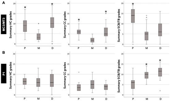
3.2. Comparison between Dorsal, Middle, and Palmar/Plantar Aspects in MC3/MT3 and P1 (Figure 6)


3.2.1. MC3/MT3 Parasagittal Groove
3.2.2. P1 Sagittal Groove
4. Discussion
5. Conclusions
Supplementary Materials
Author Contributions
Funding
Institutional Review Board Statement
Informed Consent Statement
Data Availability Statement
Acknowledgments
Conflicts of Interest
References
- Parkin, T.; French, N.; Riggs, C.; Morgan, K.; Clegg, P.; Proudman, C.; Singer, E.; Webbon, P. Risk of fatal distal limb fractures among thoroughbreds involved in the five types of racing in the United Kingdom. Vet. Rec. 2004, 154, 493–497. [Google Scholar] [CrossRef] [PubMed]
- Parkin, T.D. Epidemiology of racetrack injuries in racehorses. Vet. Clin. N. Am. Equine Pract. 2008, 24, 1–19. [Google Scholar] [CrossRef] [PubMed]
- Ramzan, P.H.; Palmer, L. Musculoskeletal injuries in Thoroughbred racehorses: A study of three large training yards in Newmarket, UK (2005–2007). Vet. J. 2011, 187, 325–329. [Google Scholar] [CrossRef] [PubMed]
- Johnson, B.; Stover, S.M.; Daft, B.M.; Kinde, H.; Read, D.; Barr, B.; Anderson, M.; Moore, J.; Woods, L.; Stoltz, J. Causes of death in racehorses over a 2 year period. Equine Vet. J. 1994, 26, 327–330. [Google Scholar] [CrossRef] [PubMed]
- Parkin, T.; Clegg, P.; French, N.; Proudman, C.; Riggs, C.; Singer, E.; Webbon, P.; Morgan, K. Horse-level risk factors for fatal distal limb fracture in racing Thoroughbreds in the UK. Equine Vet. J. 2004, 36, 513–519. [Google Scholar] [CrossRef] [PubMed]
- Riggs, C.; Boyde, A. Effect of exercise on bone density in distal regions of the equine third metacarpal bone in 2-year-old Thoroughbreds. Equine Vet. J. 1999, 31, 555–560. [Google Scholar] [CrossRef] [PubMed]
- Liley, H.; Davies, H.; Firth, E.; Besier, T.; Fernandez, J. The effect of the sagittal ridge angle on cartilage stress in the equine metacarpo-phalangeal (fetlock) joint. Comput. Methods Biomech. Biomed. Eng. 2017, 20, 1140–1149. [Google Scholar] [CrossRef] [PubMed]
- Muir, P.; McCarthy, J.; Radtke, C.; Markel, M.; Santschi, E.M.; Scollay, M.; Kalscheur, V. Role of endochondral ossification of articular cartilage and functional adaptation of the subchondral plate in the development of fatigue microcracking of joints. Bone 2006, 38, 342–349. [Google Scholar] [CrossRef] [PubMed]
- Riggs, C. Osteochondral injury and joint disease in the athletic horse. Equine Vet. Educ. 2006, 18, 100–112. [Google Scholar] [CrossRef]
- Riggs, C.; Whitehouse, G.; Boyde, A. Pathology of the distal condyles of the third metacarpal and third metatarsal bones of the horse. Equine Vet. J. 1999, 31, 140–148. [Google Scholar] [CrossRef]
- Muir, P.; Peterson, A.; Sample, S.; Scollay, M.; Markel, M.; Kalscheur, V. Exercise-induced metacarpophalangeal joint adaptation in the Thoroughbred racehorse. J. Anat. 2008, 213, 706–717. [Google Scholar] [CrossRef] [PubMed]
- Parkin, T.; Clegg, P.; French, N.; Proudman, C.; Riggs, C.; Singer, E.; Webbon, P.; Morgan, K. Catastrophic fracture of the lateral condyle of the third metacarpus/metatarsus in UK racehorses–fracture descriptions and pre-existing pathology. Vet. J. 2006, 171, 157–165. [Google Scholar] [CrossRef] [PubMed]
- Radtke, C.L.; Danova, N.A.; Scollay, M.C.; Santschi, E.M.; Markel, M.D.; Gómez, T.D.C.; Muir, P. Macroscopic changes in the distal ends of the third metacarpal and metatarsal bones of Thoroughbred racehorses with condylar fractures. Am. J. Vet. Res. 2003, 64, 1110–1116. [Google Scholar] [CrossRef] [PubMed]
- Johnston, G.C.; Ahern, B.J.; Palmieri, C.; Young, A.C. Imaging and gross pathological appearance of changes in the parasagittal grooves of Thoroughbred racehorses. Animals 2021, 11, 3366. [Google Scholar] [CrossRef] [PubMed]
- Turley, S.M.; Thambyah, A.; Riggs, C.M.; Firth, E.C.; Broom, N.D. Microstructural changes in cartilage and bone related to repetitive overloading in an equine athlete model. J. Anat. 2014, 224, 647–658. [Google Scholar] [CrossRef] [PubMed]
- Dubois, M.-S.; Morello, S.; Rayment, K.; Markel, M.D.; Vanderby, R., Jr.; Kalscheur, V.L.; Hao, Z.; McCabe, R.P.; Marquis, P.; Muir, P. Computed tomographic imaging of subchondral fatigue cracks in the distal end of the third metacarpal bone in the thoroughbred racehorse can predict crack micromotion in an ex-vivo model. PLoS ONE 2014, 9, e101230. [Google Scholar] [CrossRef] [PubMed]
- Ramzan, P.; Powell, S. Clinical and imaging features of suspected prodromal fracture of the proximal phalanx in three Thoroughbred racehorses. Equine Vet. J. 2010, 42, 164–169. [Google Scholar] [CrossRef] [PubMed]
- Smith, M.; Wright, I. Are there radiologically identifiable prodromal changes in T horoughbred racehorses with parasagittal fractures of the proximal phalanx? Equine Vet. J. 2014, 46, 88–91. [Google Scholar] [CrossRef] [PubMed]
- Kuemmerle, J.M.; Auer, J.A.; Rademacher, N.; Lischer, C.J.; Bettschart-Wolfensberger, R.; Fürst, A.E. Short incomplete sagittal fractures of the proximal phalanx in ten horses not used for racing. Vet. Surg. 2008, 37, 193–200. [Google Scholar] [CrossRef]
- Dyson, S.; Nagy, A.; Murray, R. Clinical and diagnostic imaging findings in horses with subchondral bone trauma of the sagittal groove of the proximal phalanx. Vet. Radiol. Ultrasound 2011, 52, 596–604. [Google Scholar] [CrossRef]
- Gold, S.J.; Werpy, N.M.; Gutierrez-Nibeyro, S.D. Injuries of the sagittal groove of the proximal phalanx in warmblood horses detected with low-field magnetic resonance imaging: 19 cases (2007–2016). Vet. Radiol. Ultrasound 2017, 58, 344–353. [Google Scholar] [CrossRef]
- Ammann, L.; Fürst, A.E.; Jackson, M.A. Complete fractures through osseous cyst-like lesions of the proximal phalanx in three horses. Equine Vet. Educ. 2024. [Google Scholar] [CrossRef]
- Ammann, L.; Ohlerth, S.; Fürst, A.E.; Jackson, M.A. Differences of morphological attributes between 62 proximal and distal subchondral cystic lesions of the proximal phalanx as determined by radiography and computed tomography. Am. J. Vet. Res. 2022, 83, ajvr.22.04.0071. [Google Scholar] [CrossRef] [PubMed]
- Faulkner, J.E.; Joostens, Z.; Broeckx, B.J.; Hauspie, S.; Mariën, T.; Vanderperren, K. Follow-Up Magnetic Resonance Imaging of Sagittal Groove Disease of the Equine Proximal Phalanx Using a Classification System in 29 Non-Racing Sports Horses. Animals 2023, 14, 34. [Google Scholar] [CrossRef]
- Noble, P.; Singer, E.R.; Jeffery, N.S. Does subchondral bone of the equine proximal phalanx adapt to race training? J. Anat. 2016, 229, 104–113. [Google Scholar] [CrossRef] [PubMed]
- Lin, S.-T.; Foote, A.K.; Bolas, N.M.; Peter, V.G.; Pokora, R.; Patrick, H.; Sargan, D.R.; Murray, R.C. Three-Dimensional Imaging and Histopathological Features of Third Metacarpal/Tarsal Parasagittal Groove and Proximal Phalanx Sagittal Groove Fissures in Thoroughbred Horses. Animals 2023, 13, 2912. [Google Scholar] [CrossRef] [PubMed]
- Pinilla, M.; Tranquille, C.; Blunden, A.; Chang, Y.; Parkin, T.; Murray, R. Histological features of the distal third metacarpal bone in thoroughbred racehorses, with and without lateral condylar fractures. J. Comp. Pathol. 2017, 157, 1–10. [Google Scholar] [CrossRef]
- Shapiro, F.; Wu, J.Y. Woven bone overview: Structural classification based on its integral role in developmental, repair and pathological bone formation throughout vertebrate groups. Eur. Cells Mater. 2019, 38, 137–167. [Google Scholar] [CrossRef]
- Sugiyama, T.; Meakin, L.B.; Browne, W.J.; Galea, G.L.; Price, J.S.; Lanyon, L.E. Bones’ adaptive response to mechanical loading is essentially linear between the low strains associated with disuse and the high strains associated with the lamellar/woven bone transition. J. Bone Miner. Res. 2012, 27, 1784–1793. [Google Scholar] [CrossRef]
- Herman, B.C.; Cardoso, L.; Majeska, R.J.; Jepsen, K.J.; Schaffler, M.B. Activation of bone remodeling after fatigue: Differential response to linear microcracks and diffuse damage. Bone 2010, 47, 766–772. [Google Scholar] [CrossRef]
- Whitton, R.; Ayodele, B.; Hitchens, P.; Mackie, E. Subchondral bone microdamage accumulation in distal metacarpus of Thoroughbred racehorses. Equine Vet. J. 2018, 50, 766–773. [Google Scholar] [CrossRef]
- Mapp, P.I.; Walsh, D.A. Mechanisms and targets of angiogenesis and nerve growth in osteoarthritis. Nat. Rev. Rheumatol. 2012, 8, 390–398. [Google Scholar] [CrossRef]
- Donell, S. Subchondral bone remodelling in osteoarthritis. EFORT Open Rev. 2019, 4, 221. [Google Scholar] [CrossRef] [PubMed]
- Murray, R.; Zhu, C.; Goodship, A.; Lakhani, K.; Agrawal, C.; Athanasiou, K. Exercise affects the mechanical properties and histological appearance of equine articular cartilage. J. Orthop. Res. 1999, 17, 725–731. [Google Scholar] [CrossRef]
- Santschi, E.M. Articular fetlock injuries in exercising horses. Vet. Clin. N. Am. Equine Pract. 2008, 24, 117–132. [Google Scholar] [CrossRef]
- Bramlage, L.R. Part I: Operative orthopedics of the fetlock joint of the horse: Traumatic and developmental diseases of the equine fetlock joint. Proc. Am. Ass. Equine Pr. 2009, 55, 96–143. [Google Scholar]
- Vanderperren, K.; Saunders, J.H. Diagnostic imaging of the equine fetlock region using radiography and ultrasonography. Part 1: Soft tissues. Vet. J. 2009, 181, 111–122. [Google Scholar] [CrossRef] [PubMed]
- Richardson, D.W. Fractures of the proximal phalanx. Equine Fract. Repair 2019, 53, 295–319. [Google Scholar]
- Shepherd, M.; Meehan, J. The European Thoroughbred. Equine Scintigr. 2003, 117, 150. [Google Scholar]
- Suri, S.; Walsh, D.A. Osteochondral alterations in osteoarthritis. Bone 2012, 51, 204–211. [Google Scholar] [CrossRef]
- Kenkre, J.; Bassett, J. The bone remodelling cycle. Ann. Clin. Biochem. 2018, 55, 308–327. [Google Scholar] [CrossRef] [PubMed]
- Hauge, E.M.; Qvesel, D.; Eriksen, E.F.; Mosekilde, L.; Melsen, F. Cancellous bone remodeling occurs in specialized compartments lined by cells expressing osteoblastic markers. J. Bone Miner. Res. 2001, 16, 1575–1582. [Google Scholar] [CrossRef] [PubMed]
- Kawcak, C.E.; McIlwraith, C.W.; Norrdin, R.; Park, R.; James, S. The role of subchondral bone in joint disease: A review. Equine Vet. J. 2001, 33, 120–126. [Google Scholar] [CrossRef] [PubMed]
- Seref-Ferlengez, Z.; Kennedy, O.D.; Schaffler, M.B. Bone microdamage, remodeling and bone fragility: How much damage is too much damage? BoneKEy Rep. 2015, 4, 644. [Google Scholar] [CrossRef] [PubMed]
- Brama, P.; Tekoppele, J.; Bank, R.; Karssenberg, D.; Barneveld, A.; Van Weeren, P. Topographical mapping of biochemical properties of articular cartilage in the equine fetlock joint. Equine Vet. J. 2000, 32, 19–26. [Google Scholar] [CrossRef] [PubMed]
- Singer, E.; Garcia, T.; Stover, S. How does bone strain vary between the third metacarpal and the proximal phalangeal bones of the equine distal limb? J. Biomech. 2021, 123, 110455. [Google Scholar] [CrossRef] [PubMed]
- Bailey, R.E.; Dyson, S.J.; Parkin, T.D. Focal increased radiopharmaceutical uptake in the dorsoproximal diaphyseal region of the equine proximal phalanx. Vet. Radiol. Ultrasound 2007, 48, 460–466. [Google Scholar] [CrossRef] [PubMed]
- Lipreri, G.; Bladon, B.M.; Giorio, M.E.; Singer, E.R. Conservative versus surgical treatment of 21 sports horses with osseous trauma in the proximal phalangeal sagittal groove diagnosed by low-field MRI. Vet. Surg. 2018, 47, 908–915. [Google Scholar] [CrossRef] [PubMed]
- Faulkner, J.E.; Joostens, Z.; Broeckx, B.J.; Hauspie, S.; Mariën, T.; Vanderperren, K. Low-field magnetic resonance imaging of sagittal groove disease of the proximal phalanx in non-racing sport horses. Equine Vet. J. 2024. [Google Scholar] [CrossRef]
- Bergstrom, T.C.; Spriet, M.; Carpenter, R.S.; Jacques, K.L.; Stover, S.M. Condylar fracture location is correlated to exercise history in Thoroughbred racehorses. Equine Vet. J. 2024. [Google Scholar] [CrossRef]
- Bertuglia, A.; Lacourt, M.; Girard, C.; Beauchamp, G.; Richard, H.; Laverty, S. Osteoclasts are recruited to the subchondral bone in naturally occurring post-traumatic equine carpal osteoarthritis and may contribute to cartilage degradation. Osteoarthr. Cartil. 2016, 24, 555–566. [Google Scholar] [CrossRef] [PubMed]
- Ganghoffer, J.-F.; Rahouadj, R.; Boisse, J.; Forest, S. Phase field approaches of bone remodeling based on TIP. J. Non-Equilib. Thermodyn. 2016, 41, 49–75. [Google Scholar] [CrossRef]
- Martin, R.; Gibson, V.; Stover, S.; Gibeling, J.; Griffin, L. In vitro fatigue behavior of the equine third metacarpus: Remodeling and microcrack damage analysis. J. Orthop. Res. 1996, 14, 794–801. [Google Scholar] [CrossRef] [PubMed]



| Items | MC3/MT3 | P1 |
|---|---|---|
| Hyaline cartilage | ||
| Reduced staining for glycosaminoglycans in cartilage | 0.001 * | 0.70 |
| Cartilage surface irregularity | <0.001 ** | 0.86 |
| Cartilage fibrillation | 0.25 | 0.86 |
| Cartilage thickness variation | 0.13 | 0.88 |
| Irregular chondrocyte distribution | <0.001 ** | 0.50 |
| Chondrocyte loss/necrosis | <0.001 ** | 0.15 |
| Chondrocyte clustering | 0.13 | 0.08 |
| Summary of hyaline cartilage | <0.001 ** | 0.82 |
| Calcified cartilage | ||
| Tidemark incongruence | <0.001 ** | 0.36 |
| Calcified cartilage cleft | 0.003 * | 1.0 |
| Calcified cartilage depth variation | <0.001 ** | 0.71 |
| Vascular invasion | <0.001 ** | <0.001 ** |
| Islands of hyaline cartilage in subchondral bone plate | 0.07 | 0.38 |
| Summary of calcified cartilage | <0.001 ** | 0.17 |
| Subchondral plate and trabecular bone | ||
| Sclerosis of subchondral bone plate and adjacent cancellous bone | <0.001 ** | 0.004 * |
| Subchondral bone collapse | <0.001 ** | 0.24 |
| Replacement of cancellous bone with dense bone | <0.001 ** | <0.001 ** |
| Trabecular thickening with reduced marrow spaces | <0.001 ** | <0.001 ** |
| Replacement with osteonal/lamellar bone | <0.001 ** | <0.001 ** |
| Increased basic multicellular units | <0.001 ** | 0.02 * |
| Replacement with woven bone | <0.001 ** | 0.83 |
| Howship’s lacunae with/without osteoclast | 0.40 | 0.77 |
| Summary of subchondral plate and trabecular bone | <0.001 ** | <0.001 ** |
| Items | MC3/MT3 | Post Hoc | P1 | Post Hoc |
|---|---|---|---|---|
| Hyaline cartilage | ||||
| Reduced staining for glycosaminoglycans in cartilage | <0.001 ** | D > M P > M | 0.36 | - |
| Cartilage surface irregularity | <0.001 ** | D > M P > M | 0.14 | - |
| Cartilage fibrillation | <0.001 ** | D > M D > P | 0.14 | - |
| Cartilage thickness variation | <0.001 ** | D > M P > M | 0.07 | - |
| Irregular chondrocyte distribution | <0.001 ** | D > M P > M | 0.62 | - |
| Chondrocyte loss/necrosis | <0.001 ** | D > M P > M | 0.15 | - |
| Chondrocyte clustering | 0.10 | - | 0.90 | - |
| Summary of hyaline cartilage | <0.001** | D > M P > M | 0.70 | - |
| Calcified cartilage | ||||
| Tidemark incongruence | <0.001 ** | D > M P > M | 0.52 | - |
| Calcified cartilage cleft | 0.005 * | D > M P > M | 1.0 | - |
| Calcified cartilage depth variation | <0.001 ** | D > M P > M | 0.20 | - |
| Vascular invasion | <0.001 ** | D > M P > M P > D | 0.003 * | M > P |
| Islands of hyaline cartilage in subchondral bone plate | <0.001 ** | D > M D > P | 0.04 * | M > P |
| Summary of calcified cartilage | <0.001 ** | D > M P > M | 0.06 | - |
| Subchondral plate and trabecular bone | ||||
| Sclerosis of subchondral bone plate and adjacent cancellous bone | 0.000 ** | P > M P > D | <0.001** | D > P M > P |
| Subchondral bone collapse | <0.001 ** | P > M P > D | 0.04 * | D > P |
| Replacement of cancellous bone with dense bone | <0.001 ** | P > M P > D | <0.001 ** | D > P M > P |
| Trabecular thickening with reduced marrow spaces | <0.001 ** | D > M P > M | <0.001 ** | D > P M > P |
| Replacement with osteonal/lamellar bone | <0.001 ** | D > M P > M P > D | <0.001 ** | D > P M > P |
| Increased basic multicellular units | <0.001 ** | P > M P > D | <0.001 ** | D > P M > P |
| Replacement with woven bone | <0.001 ** | P > M | 0.42 | - |
| Howship’s lacunae with/without osteoclast | 0.14 | 0.73 | - | |
| Summary of subchondral plate and trabecular bone | <0.001 ** | P > M P > D | <0.001 ** | D > P M > P |
Disclaimer/Publisher’s Note: The statements, opinions and data contained in all publications are solely those of the individual author(s) and contributor(s) and not of MDPI and/or the editor(s). MDPI and/or the editor(s) disclaim responsibility for any injury to people or property resulting from any ideas, methods, instructions or products referred to in the content. |
© 2024 by the authors. Licensee MDPI, Basel, Switzerland. This article is an open access article distributed under the terms and conditions of the Creative Commons Attribution (CC BY) license (https://creativecommons.org/licenses/by/4.0/).
Share and Cite
Lin, S.-T.; Foote, A.K.; Bolas, N.M.; Sargan, D.R.; Murray, R.C. Histological and Histopathological Features of the Third Metacarpal/Tarsal Parasagittal Groove and Proximal Phalanx Sagittal Groove in Thoroughbred Horses with Racing History. Animals 2024, 14, 1942. https://doi.org/10.3390/ani14131942
Lin S-T, Foote AK, Bolas NM, Sargan DR, Murray RC. Histological and Histopathological Features of the Third Metacarpal/Tarsal Parasagittal Groove and Proximal Phalanx Sagittal Groove in Thoroughbred Horses with Racing History. Animals. 2024; 14(13):1942. https://doi.org/10.3390/ani14131942
Chicago/Turabian StyleLin, Szu-Ting, Alastair K. Foote, Nicholas M. Bolas, David R. Sargan, and Rachel C. Murray. 2024. "Histological and Histopathological Features of the Third Metacarpal/Tarsal Parasagittal Groove and Proximal Phalanx Sagittal Groove in Thoroughbred Horses with Racing History" Animals 14, no. 13: 1942. https://doi.org/10.3390/ani14131942
APA StyleLin, S.-T., Foote, A. K., Bolas, N. M., Sargan, D. R., & Murray, R. C. (2024). Histological and Histopathological Features of the Third Metacarpal/Tarsal Parasagittal Groove and Proximal Phalanx Sagittal Groove in Thoroughbred Horses with Racing History. Animals, 14(13), 1942. https://doi.org/10.3390/ani14131942

