Effects of Dietary Probiotics and Acidifiers on the Production Performance, Colostrum Components, Serum Antioxidant Activity and Hormone Levels, and Gene Expression in Mammary Tissue of Lactating Sows
Abstract
Simple Summary
Abstract
1. Introduction
2. Materials and Methods
2.1. Experiment Material
2.2. Experiment Design and Sample Collection
2.3. Statistical Analysis of Data
3. Results
3.1. Effects of Probiotics and Acidifiers on the Productive Performance of Lactating Sows
3.2. Effects of Probiotics and Acidifiers on the Serum Antioxidant Activities of Lactating Sows
3.3. Effects of Probiotics and Acidifiers on Hormones in the Serum of Lactating Sows
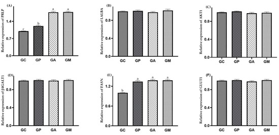
3.4. Effects of Probiotics and Acidifiers on Mammary Tissue Gene Expression of Lactating Sows
4. Discussion
4.1. Effects of Probiotics and Acidifiers on the Production Performance of Lactating Sows
4.2. Effects of Probiotics and Acidifiers on the Colostrum Composition of Lactating Sows
4.3. Effects of Probiotics and Acidifiers on the Serum Antioxidant Activity of Lactating Sows
4.4. Effects of Probiotics and Acidifiers on the Serum Hormone Levels of Lactating Sows
5. Conclusions
Author Contributions
Funding
Institutional Review Board Statement
Informed Consent Statement
Data Availability Statement
Conflicts of Interest
References
- Wu, H.; Yang, J.; Wang, S.; Zhang, X.; Hou, J.; Xu, F.; Wang, Z.; Xu, L.; Diao, X. Effects of soybean isoflavone and astragalus polysaccharide mixture on immune and antioxidant activity of lactating sows. Animals 2021, 11, 132. [Google Scholar] [CrossRef] [PubMed]
- Campos, P.H.; Silva, B.A.; Donzele, J.L.; Oliveira, R.F.; Knol, E.F. Effects of sow nutrition during gestation on within-litter birth weight variation: A review. Animal 2012, 6, 797–802. [Google Scholar] [CrossRef] [PubMed]
- Kim, S.W.; Easter, R.A.; D’Mello, J.P.F. Amino acid utilization for reproduction in sows. Amino Acids Anim. Nutr. 2003, 60, 203–227. [Google Scholar] [CrossRef]
- Young, J.M.; Bergsma, R.; Knol, E.F.; Patience, J.F.; Dekkers, J.C. Effect of selection for residual feed intake during the grow/finish phase of production on sow reproductive performance and lactation efficiency. J. Anim. Sci. 2016, 94, 4120–4126. [Google Scholar] [CrossRef] [PubMed]
- Radcliffe, J.S.; Zhang, Z.; Kornegay, E.T. The effects of microbial phytase, citric acid, and their interaction in a corn-soybean meal-based diet for weanling pigs. J. Anim. Sci. 1998, 76, 1880–1886. [Google Scholar] [CrossRef] [PubMed]
- Gerritsen, R.; Dijk, A.J.V.; Rethy, K.; Bikker, P. The effect of blends of organic acids on apparent faecal digestibility in piglets. Livest. Sci. 2010, 134, 246–248. [Google Scholar] [CrossRef]
- Ejtahed, H.S.; Mohtadi-Nia, J.; Homayouni-Rad, A.; Niafar, M.; Asghari-Jafarabadi, M.; Mofid, V.; Akbarian-Moghari, A. Effect of probiotic yogurt containing Lactobacillus acidophilus and Bifidobacterium lactis on lipid profile in individuals with type 2 diabetes mellitus. J. Dairy Sci. 2011, 94, 3288–3294. [Google Scholar] [CrossRef]
- Yirga, H. The use of probiotics in animal nutrition. J. Probiotics Health 2015, 2, 132–140. [Google Scholar] [CrossRef]
- Liao, S.F.; Nyachoti, C.M. Using probiotics to improve swine gut health and nutrient utilization. Anim. Nutr. 2017, 3, 331–343. [Google Scholar] [CrossRef]
- Gibson, G.R. Fibre and effects on probiotics (the prebiotic concept). Clin. Nutr. 2004, 1, 25–31. [Google Scholar] [CrossRef]
- Charalampopoulos, D.; Rastall, R.A. Prebiotics and Probiotics Science and Technology. Benef. Microbes 2010, 1, 307–312. [Google Scholar] [CrossRef]
- Kolida, S.; Gibson, G.R. Synbiotics in health and disease. Annu. Rev. Food Sci. Technol. 2011, 2, 373–393. [Google Scholar] [CrossRef] [PubMed]
- Gibson, G.R.; Probert, H.M.; Van Loo, J.; Rastall, R.A.; Roberfroid, M.B. Dietary modulation of the human colonic microbiota: Updating the concept of prebiotics. Nutr. Res. Rev. 2004, 17, 259–275. [Google Scholar] [CrossRef] [PubMed]
- Kalantarian, S.H.; Mirzargar, S.S.; Rahmati-Holasoo, H.; Sadeghinezhad, J.; Mohammadian, T. Effects of oral administration of acidifier and probiotic on growth performance, digestive enzymes activities and intestinal histomorphology in Salmo trutta caspius (Kessler, 1877). Iran J. Fish Sci. 2020, 19, 1532–1555. [Google Scholar] [CrossRef]
- Al-Sultan, S.I.; Abdel-Raheem, S.M.; El-Ghareeb, W.R.; Mohamed, M.H.A. Comparative Effects of Using Prebiotic, Probiotic, Synbiotic and Acidifier on Growth Performance, Intestinal Microbiology and Histomorphology of Broiler Chicks. Jpn. J. Vet. Res. 2016, 64, S187–S195. Available online: http://hdl.handle.net/2115/62006 (accessed on 11 September 2022).
- Lückstädt, C. Effects of dietary potassium diformate on feed intake, weight loss and back fat reduction in sows: Pre-farrowing till weaning. Vet. Rec. 2011, 2, 145. [Google Scholar] [CrossRef]
- Ravindran, V.; Kornegay, E.T. Acidification of weaner pig diets: A review. J. Sci. Food Agric. 1993, 62, 313–322. [Google Scholar] [CrossRef]
- Kil, D.Y.; Kwon, W.B.; Kim, B.G. Dietary Acidifiers in Weanling Pig Diets: A Review. Rev. Colomb. Cienc. Pec. 2011, 24, 231–247. Available online: https://revistas.udea.edu.co/index.php/rccp/article/view/324679 (accessed on 10 January 2023).
- Barba-Vidal, E.; Martín-Orúe, S.M.; Castillejos, L. Review: Are we using probiotics correctly in post-weaning piglets? Animal 2018, 12, 2489–2498. [Google Scholar] [CrossRef]
- Giang, H.H.; Viet, T.Q.; Ogle, B.; Lindberg, J.E. Growth performance, digestibility, gut environment and health status in weaned piglets fed a diet supplemented with potentially probiotic complexes of lactic acid bacteria. Livest. Sci. 2010, 129, 95–103. [Google Scholar] [CrossRef]
- Hu, J.; Kim, Y.H.; Kim, I.H. Effects of two bacillus strains probiotic supplement on reproduction performance, nutrient digestibility, blood profile, fecal score, excreta odor contents and fecal microflora in lactation sows, and growth performance in sucking piglets. Livest. Sci. 2021, 244, 104293. [Google Scholar] [CrossRef]
- Alexopoulos, C.; Georgoulakis, I.E.; Tzivara, A.; Kritas, S.K.; Siochu, A.; Kyriakis, S.C. Field evaluation of the efficacy of a probiotic containing Bacillus licheniformis and Bacillus subtilis spores, on the health status and performance of sows and their litters. J. Anim. Physiol. Anim. Nutr. 2004, 88, 381–392. [Google Scholar] [CrossRef] [PubMed]
- Böhmer, B.M.; Kramer, W.; Roth-Maier, D.A. Dietary probiotic supplementation and resulting effects on performance, health status, and microbial characteristics of primiparous sows. J. Anim. Physiol. Anim. Nutr. 2006, 90, 309–315. [Google Scholar] [CrossRef] [PubMed]
- Cole, D.J.; Beal, R.M.; Luscombe, J.R. The effect on performance and bacterial flora of lactic acid, propionic acid, calcium propionate and calcium acrylate in the drinking water of weaned pigs. Vet. Rec. 1968, 83, 459–464. [Google Scholar] [CrossRef] [PubMed]
- Zhang, W.; He, H.; Gong, L.; Lai, W.; Dong, B.; Zhang, L. Effects of sweetener sucralose on diet preference, growth performance and hematological and biochemical parameters of weaned piglets. Asian-Australas. J. Anim. Sci. 2020, 33, 802–811. [Google Scholar] [CrossRef] [PubMed]
- Pearlin, B.V.; Muthuvel, S.; Govidasamy, P.; Villavan, M.; Alagawany, M.; Ragab Farag, M.; Dhama, K.; Gopi, M. Role of acidifiers in livestock nutrition and health: A review. J. Anim. Physiol Anim. Nutr. 2020, 104, 558–569. [Google Scholar] [CrossRef] [PubMed]
- Liu, S.T.; Hou, W.X.; Cheng, S.Y.; Shi, B.M.; Shan, A.S. Effects of dietary citric acid on performance, digestibility of calcium and phosphorus, milk composition and immunoglobulin in sows during late gestation and lactation. Anim. Feed Sci. Technol. 2014, 191, 67–75. [Google Scholar] [CrossRef]
- Radecki, S.V.; Juhl, M.R.; Miller, E.R. Fumaric and citric acids as feed additives in starter pig diets: Effect on performance and nutrient balance. J. Anim. Sci. 1988, 66, 2598–2599. [Google Scholar] [CrossRef]
- Rezaei, R.; Gabriel, A.S.; Wu, G. Dietary supplementation with monosodium glutamate enhances milk production by lactating sows and the growth of suckling piglets. Amino Acids. 2022, 54, 1055–1068. [Google Scholar] [CrossRef]
- Rooke, J.A.; Bland, I.M. The acquisition of passive immunity in the new-born piglet. Livest. Prod. Sci. 2002, 78, 13–23. [Google Scholar] [CrossRef]
- Overland, M.; Bikker, P.; Fledderus, J. Potassium diformate in the diet of reproducing sows: Effect on performance of sows and litters. Livest. Sci. 2009, 122, 241–247. [Google Scholar] [CrossRef]
- Chen, J.; Xu, Q.; Li, Y.; Tang, Z.; Sun, W.; Zhang, X.; Sun, J.; Sun, Z. Comparative effects of dietary supplementations with sodium butyrate, medium-chain fatty acids, and n-3 polyunsaturated fatty acids in late pregnancy and lactation on the reproductive performance of sows and growth performance of suckling piglets. J. Anim. Sci. 2019, 97, 4256–4267. [Google Scholar] [CrossRef] [PubMed]
- Wang, J.; Yang, M.; Xu, S.; Lin, Y.; Che, L.; Fang, Z.; Wu, D. Comparative effects of sodium butyrate and flavors on feed intake of lactating sows and growth performance of piglets. Anim. Sci. J. 2014, 85, 683–689. [Google Scholar] [CrossRef]
- Agazzi, A. The beneficial role of probiotics in monogastric animal nutrition and health. Dairy Vet. Anim. Res. 2015, 2, 116–132. [Google Scholar] [CrossRef]
- Yu, G.; Ji, S.; Yun, Y.; Cheng, K.; Zhang, H.; Jia, P.; Wang, T.; Zhang, L. Effects of bamboo leaf extract intervention on the growth performance, antioxidant capacity, and hepatic apoptosis in suckling piglets. J. Anim. Sci. 2022, 100, skac201. [Google Scholar] [CrossRef]
- Ma, J.; Mahfuz, S.; Wang, J.; Piao, X. Effect of dietary supplementation with mixed organic acids on immune function, antioxidative characteristics, digestive enzymes activity, and intestinal health in broiler chickens. Front. Nutr. 2021, 8, 673316. [Google Scholar] [CrossRef]
- Xu, Q.L.; Liu, C.; Mo, X.J.; Chen, M.; Zhao, X.L.; Liu, M.Z.; Wang, S.B.; Zhou, B.; Zhao, C.X. Drinking water supplemented with acidifiers improves the growth performance of weaned pigs and potentially regulates antioxidant capacity, immunity, and gastrointestinal microbiota diversity. Antioxidants 2022, 11, 809. [Google Scholar] [CrossRef]
- Baghban-Kanani, P.; Hosseintabar-Ghasemabad, B.; Azimi-Youvalari, S.; Seidavi, A.; Ragni, M.; Laudadio, V.; Tufarelli, V. Effects of using Artemisia annua leaves, probiotic blend, and organic acids on performance, egg quality, blood biochemistry, and antioxidant status of laying hens. J. Poult. Sci. 2019, 56, 120–127. [Google Scholar] [CrossRef]
- Wang, Y.; Dong, Z.; Song, D.; Zhou, H.; Wang, W.; Miao, H.; Wang, L.; Li, A. Effects of microencapsulated probiotics and prebiotics on growth performance, antioxidative abilities, immune functions, and caecal microflora in broiler chickens. Food Agric. Immunol. 2018, 29, 859–869. [Google Scholar] [CrossRef]
- Han, W.; Fioramonti, J. Anti-inflammatory properties of lactic acid bacteria producing superoxide dismutase. Am. J. Physiol.-Gastr. L. 2008, 294, 353–354. [Google Scholar] [CrossRef]
- Gan, F.; Chen, X.; Liao, S.F.; Lv, C.; Ren, F.; Ye, G.; Pan, C.; Huang, D.; Shi, J.; Shi, X.; et al. Selenium-enriched probiotics improve antioxidant status, immune function, and selenoprotein gene expression of piglets raised under high ambient temperature. J. Agric. Food Chem. 2014, 62, 4502–4508. [Google Scholar] [CrossRef] [PubMed]
- Farmer, C.; Edwards, S.A. Review: Improving the performance of neonatal piglets. Animal 2022, 16, 100350. [Google Scholar] [CrossRef] [PubMed]
- Ye, H.; Langendijk, P.; Jaworski, N.W.; Wu, Y.; Bai, Y.; Lu, D.; Page, G.; Kemp, B.; Han, D.; Soede, N.M.; et al. Protein digestion kinetics influence maternal protein loss, litter growth, and nitrogen utilization in lactating sows. Front. Nutr. 2022, 9, 862823. [Google Scholar] [CrossRef] [PubMed]
- Nandi, S. Endocrine control of mammary-gland development and function in the C3H/He Crgl mouse. J. Natl. Cancer Inst. 1958, 21, 1039–1063. [Google Scholar] [CrossRef]
- Hashemi, S.R.; Zulkifli, I.; Davoodi, H.; Zunita, Z.; Ebrahimi, M. Growth performance, intestinal microflora, plasma fatty acid profile in broiler chickens fed herbal plant (Euphorbia hirta) and mix of acidifiers. Anim. Feed Sci. Technol. 2012, 178, 167–174. [Google Scholar] [CrossRef]
- Murugesan, G.R.; Mendoza, S.M.; Hendel, E.G.; Tacconi, A.; Gabler, N.K. Evaluation of an organic acid blend on gut morphology and nitrogen retention in nursery pig. J. Anim. Sci. 2018, 96, 156. [Google Scholar] [CrossRef]
- Zhao, Y.; Wang, Q.; Zhou, P.; Li, Z.; Zhong, W.; Zhuo, Y.; Che, L.; Xu, S.; Fang, Z.; Jiang, X.; et al. Effects of yeast culture supplementation from late gestation to weaning on performance of lactating sows and growth of nursing piglets. Animal 2022, 16, 100526. [Google Scholar] [CrossRef]
- Lincoln, D.T.; Sinowatz, F.; El-Hifnawi, E.; Hughes, R.L.; Waters, M. Evidence of a direct role for growth hormone (GH) in mammary gland proliferation and lactation. Anat. Histol. Embryol. 2010, 24, 107–115. [Google Scholar] [CrossRef]
- Du, R.; Jiao, S.; Dai, Y.; An, J.; Lv, J.; Yan, X.; Wang, J.; Han, B. Probiotic Bacillus amyloliquefaciens C-1 improves growth performance, stimulates GH/IGF-1, and regulates the gut microbiota of growth-retarded beef calves. Front. Microbiol. 2018, 9, 2006. [Google Scholar] [CrossRef]

| Items | Content |
|---|---|
| Ingredients | |
| Corn | 69.00 |
| Wheat bran | 3.30 |
| Soybean meal | 19.00 |
| Fish meal | 2.00 |
| Soybean oil | 2.60 |
| Calcium hydrogen phosphate | 0.40 |
| Limestone | 1.00 |
| Salt | 0.70 |
| Premix 2 | 2.00 |
| Total, kg | 100.00 |
| Nutrient levels, on an air-dry basis: | |
| Digestible energy 3, DE, MJ/kg | 13.98 |
| Crude protein 4, CP, % | 16.35 |
| Calcium 4, Ca, % | 0.73 |
| Phosphorus 4, P, % | 0.34 |
| Lysine 4, Lys, % | 0.92 |
| Methionine 4, Met, % | 0.26 |
| Threonine 4, Thr, % | 0.59 |
| Gene | Gene Name | Forward and Reverse Primers | Product Size | Accession No. |
|---|---|---|---|---|
| PRLP | Prolactin receptor | F:5′-GGCTCCGTTTGAAGAACCAA-3′ | 67 | NM_001001868.1 |
| R:5′-GTCTTTCGCAGCTGGATTCTG-3′ | ||||
| LALBA | Alpha-Lactalbumin | F: 5′-GTGGTGGGGATTCTCTTTCC-3′ | 179 | NM_214360 |
| R: 5′-TCTGTGCTGCCATTGTCATG-3′ | ||||
| AKT1 | Serine/Threonine kinases | F: 5′-CCTGAAGAAGGAGGTCATCG-3′ | 81 | NM_001159776 |
| R: 5′-TCGTGGGTCTGGAAGGAGTA -3′ | ||||
| β4GALT1 | Bata-1,4-galactosyltransferase 1 | F: 5′-GAGTTTAACATGGCGTGGAC-3′ | 185 | XM003130680 |
| R: 5′-TGACGCTGTAGGATTGGGTG-3′ | ||||
| FASN | Fatty acid synthase | F: 5′-GCTTGTCCTGGGAAGAGTGTA-3′ | 115 | NM001099930 |
| R: 5′-AGGAACTCGGACATAGCGG-3′ | ||||
| GLUT1 | Glucose transporter | F: 5′-GATGAAGGAGGAGTGCCG-3′ | 106 | EU012358 |
| R: 5′-CAGCACCACGGCGATGAGGAT-3′ | ||||
| GAPDH | Glyceraldehyde-3-phosphate dehydrogenase | F: 5′-GTCGGAGTGAACGGATTTGG-3′ | 76 | NM_001206359.1 |
| R: 5′-CAATGTCCACTTTGCCAGAGTTAA-3′ | ||||
| β-actin | - | F: 5′-AGGCTACAGCTTCACCACCAC-3′ | 95 | AB618546 |
| R: 5′-CCATCTCCTGCTCAAAATCCA-3′ |
| Items | Groups | p-Value | Main Effect Analysis | |||||||||
|---|---|---|---|---|---|---|---|---|---|---|---|---|
| GC | GP | GA | GM | Probiotic, mL/d | Acidifier, g/kg | p-Value | ||||||
| 0 | 200 | 0 | 0.5 | GP | GA | GP × GA | ||||||
| ADFI, kg | 6.49 ± 0.37 b | 6.64 ± 0.55 ab | 6.70 ± 0.65 ab | 7.17 ± 0.49 a | 0.047 | 6.31 ± 0.35 | 6.62 ± 0.31 | 6.38 ± 0.28 c | 6.81 ± 0.30 d | 0.081 | 0.038 | 0.434 |
| TLY, kg | 179 ± 16.04 b | 206 ± 39.10 ab | 201 ± 26.87 ab | 227 ± 28.26 a | 0.045 | 187 ± 15.73 c | 214 ± 17.85 d | 189 ± 18.38 | 211 ± 27.07 | 0.017 | 0.074 | 0.925 |
| AVG1, kg | 1.58 ± 0.35 | 1.32 ± 0.21 | 1.53 ± 0.31 | 1.78 ± 0.55 | 0.109 | 1.36 ± 0.12 | 1.35 ± 0.29 | 1.25 ± 0.13 | 1.46 ± 0.26 | 0.083 | 0.098 | 0.073 |
| AVG21, kg | 6.73 ± 0.21 b | 6.74 ± 0.35 b | 6.76 ± 0.52 b | 7.48 ± 0.67 a | 0.045 | 6.38 ± 0.53 | 6.74 ± 0.86 | 6.37 ± 0.43 | 6.75 ± 0.89 | 0.085 | 0.073 | 0.079 |
| ADG, g | 225 ± 14.21 | 238 ± 12.38 | 229 ± 22.97 | 254 ± 32.13 | 0.315 | 227 ± 18.52 b | 248 ± 20.55 a | 231 ± 14.84 | 240 ± 29.31 | 0.048 | 0.382 | 0.482` |
| NBPA | 10.96 ± 0.88 | 11.13 ± 1.43 | 11.46 ± 1.64 | 11.67 ± 1.37 | 0.740 | 11.21 ± 1.29 | 11.41 ± 1.41 | 11.10 ± 1.10 | 11.68 ± 1.46 | 0.714 | 0.435 | 0.821 |
| NPAW | 9.21 ± 0.95 | 10.44 ± 1.97 | 10.61 ± 0.95 | 10.94 ± 0.86 | 0.357 | 10.21 ± 1.16 | 10.79 ± 1.49 | 10.13 ± 1.65 | 10.88 ± 0.99 | 0.259 | 0.153 | 0.815 |
| ILW, kg | 15.98 ± 2.80 | 14.31 ± 2.82 | 15.90 ± 3.14 | 17.19 ± 2.19 | 0.429 | 15.86 ± 2.87 | 15.76 ± 2.87 | 15.07 ± 2.82 | 16.56 ± 2.69 | 0.975 | 0.243 | 0.301 |
| WLWP, kg | 59.03 ± 5.94 b | 64.21 ± 12.37 ab | 65.58 ± 8.73 ab | 75.10 ± 7.92 a | 0.041 | 62.49 ± 8.07 | 69.83 ± 11.69 | 61.70 ± 9.82 c | 70.52 ± 9.62 d | 0.058 | 0.031 | 0.612 |
| IBT, mm | 21.57 ± 2.90 | 22.24 ± 1.65 | 22.41 ± 1.41 | 24.07 ± 0.99 | 0.097 | 21.99 ± 2.25 | 23.16 ± 1.68 | 21.91 ± 2.30 | 23.24 ± 1.52 | 0.151 | 0.071 | 0.471 |
| FBT, mm | 18.21 ± 2.09 | 18.82 ± 1.52 | 18.65 ± 0.99 | 20.48 ± 1.66 | 0.083 | 18.48 ± 1.59 | 19.65 ± 1.67 | 18.57 ± 1.77 | 19.57 ± 1.66 | 0.075 | 0.120 | 0.319 |
| BL, mm | 3.36 ± 0.41 | 3.19 ± 0.38 | 3.03 ± 0.61 | 2.86 ± 0.75 | 0.529 | 3.48 ± 0.80 | 3.32 ± 0.87 | 3.57 ± 0.56 | 3.23 ± 0.84 | 0.652 | 0.361 | 0.791 |
| CFR, % | 2.08 ± 0.12 b | 2.98 ± 0.75 a | 2.88 ± 0.53 a | 3.38 ± 0.18 a | 0.002 | 2.54 ± 0.62 c | 3.24 ± 0.63 d | 2.49 ± 0.68 e | 2.99 ± 0.33 f | 0.003 | 0.004 | 0.032 |
| CLR, % | 7.79 ± 0.32 | 9.08 ± 2.67 | 9.30 ± 0.75 | 9.63 ± 0.24 | 0.172 | 8.76 ± 1.12 | 9.38 ± 1.31 | 8.48 ± 1.95 | 9.39 ± 0.72 | 0.178 | 0.087 | 0.575 |
| CPC, % | 9.33 ± 2.67 | 9.91 ± 1.41 | 9.66 ± 1.36 | 10.11 ± 1.37 | 0.889 | 9.39 ± 1.94 | 9.89 ± 1.15 | 9.52 ± 1.99 | 9.77 ± 1.09 | 0.448 | 0.709 | 0.926 |
| Items | Groups | p-Value | Main Effect Analysis | |||||||||
|---|---|---|---|---|---|---|---|---|---|---|---|---|
| GC | GP | GA | GM | Probiotic, mL/d | Acidifier, g/kg | p-Value | ||||||
| 0 | 200 | 0 | 0.5 | GP | GA | GP × GA | ||||||
| 1st | ||||||||||||
| T-AOC, U/mL | 10.25 ± 0.20 b | 10.39 ± 0.23 b | 10.34 ± 0.27 b | 10.89 ± 0.21 a | 0.035 | 10.29 ± 0.23 c | 10.64 ± 0.43 d | 10.32 ± 0.22 | 10.61 ± 0.55 | 0.038 | 0.071 | 0.191 |
| MDA, nmol/L | 4.84 ± 0.15 a | 4.59 ± 0.15 b | 4.52 ± 0.11 b | 4.29 ± 0.10 c | <0.001 | 4.68 ± 0.21 f | 4.44 ± 0.20 g | 4.72 ± 0.20 d | 4.41 ± 0.15 e | <0.001 | <0.001 | 0.825 |
| SOD, U/mL | 69.90 ± 0.49 c | 71.54 ± 0.45 b | 69.94 ± 0.45 c | 72.41 ± 0.53 a | <0.001 | 69.92 ± 0.62 e | 71.98 ± 0.70 d | 70.72 ± 1.09 | 71.17 ± 1.37 | <0.001 | 0.083 | 0.112 |
| 11th | ||||||||||||
| T-AOC, U/mL | 16.73 ± 0.55 | 17.02 ± 0.36 | 17.20 ± 0.47 | 17.38 ± 0.39 | 0.107 | 16.96 ± 0.54 | 17.20 ± 0.40 | 16.87 ± 0.47 e | 17.29 ± 0.42 f | 0.211 | 0.034 | 0.760 |
| MDA, nmol/L | 4.64 ± 0.38 a | 3.60 ± 0.12 b | 4.43 ± 0.67 a | 3.29 ± 0.05 b | <0.001 | 4.54 ± 0.53 c | 3.44 ± 0.18 d | 4.12 ± 0.61 | 3.86 ± 0.75 | <0.001 | 0.121 | 0.782 |
| SOD, U/mL | 73.26 ± 0.80 c | 74.31 ± 0.20 b | 73.41 ± 0.56 c | 75.54 ± 0.90 a | <0.001 | 73.34 ± 0.66 d | 75.05 ± 0.81 e | 73.91 ± 0.88 | 74.48 ± 1.32 | <0.001 | 0.053 | 0.148 |
| 21st | ||||||||||||
| T-AOC, U/mL | 22.34 ± 0.36 | 22.38 ± 0.65 | 22.42 ± 0.44 | 22.59 ± 0.86 | 0.897 | 22.3 ± 0.39 | 22.48 ± 0.74 | 22.36 ± 0.50 | 22.50 ± 0.66 | 0.675 | 0.568 | 0.787 |
| MDA, nmol/L | 4.08 ± 0.41 a | 3.89 ± 0.03 ab | 3.62 ± 0.09 bc | 3.54 ± 0.04 c | 0.002 | 3.81 ± 0.40 d | 3.99 ± 0.11 e | 3.90 ± 0.20 f | 3.63 ± 0.12 g | 0.041 | 0.001 | 0.961 |
| SOD, U/mL | 72.32 ± 0.77 c | 74.68 ± 0.75 b | 72.3 ± 0.44 c | 78.28 ± 0.88 a | <0.001 | 72.34 ± 0.60 d | 76.48 ± 2.04 e | 73.50 ± 1.43 f | 75.32 ± 2.16 g | <0.001 | <0.001 | <0.001 |
| Items | Groups | p-Value | Main Effect Analysis | |||||||||
|---|---|---|---|---|---|---|---|---|---|---|---|---|
| GC | GP | GA | GM | Probiotic, mL/d | Acidifier, g/kg | p-Value | ||||||
| 0 | 200 | 0 | 0.5 | GP | GA | GP × GA | ||||||
| 1st | ||||||||||||
| PRL, μIU/mL | 214 ± 1.59 c | 217 ± 1.26 b | 224 ± 2.05 a | 224 ± 1.89 a | <0.001 | 214 ± 5.64 g | 220 ± 4.29 f | 215 ± 2.10 e | 224 ± 1.89 d | 0.020 | <0.001 | 0.080 |
| IGF-1, ng/mL | 181 ± 3.02 | 183 ± 3.45 | 184 ± 3.72 | 185 ± 3.95 | 0.313 | 182 ± 3.52 | 184 ± 3.71 | 182 ± 3.22 | 184 ± 3.71 | 0.333 | 0.111 | 0.857 |
| GH, ng/mL | 5.40 ± 0.03 | 5.49 ± 0.23 | 5.66 ± 0.70 | 5.81 ± 0.72 | 0.540 | 5.53 ± 0.49 | 5.65 ± 0.53 | 5.45 ± 0.16 | 5.74 ± 0.68 | 0.575 | 0.185 | 0.893 |
| 11th | ||||||||||||
| PRL, μIU/mL | 236 ± 3.14 c | 246 ± 3.30 b | 238 ± 3.87 c | 258 ± 2.36 a | <0.001 | 237 ± 3.53 d | 252 ± 6.81 e | 241 ± 5.81 f | 248 ± 5.53 g | <0.001 | <0.001 | 0.001 |
| IGF-1, ng/mL | 198 ± 1.66 b | 201 ± 1.26 a | 202 ± 1.74 a | 201 ± 1.31 a | 0.001 | 200 ± 2.59 | 201 ± 1.23 | 199 ± 2.16 d | 201 ± 1.52 c | 0.065 | 0.005 | 0.005 |
| GH, ng/mL | 6.21 ± 0.52 | 6.38 ± 0.23 | 6.36 ± 0.20 | 6.53 ± 0.16 | 0.391 | 6.28 ± 0.38 | 6.45 ± 0.21 | 6.29 ± 0.39 | 6.44 ± 0.20 | 0.202 | 0.247 | 0.997 |
| 21st | ||||||||||||
| PRL, μIU/mL | 226 ± 3.40 c | 236 ± 4.92 b | 230 ± 7.27 b | 249 ± 7.38 a | <0.001 | 228 ± 5.79 e | 243 ± 9.22 d | 231 ± 6.42 f | 240 ± 12.16 g | <0.001 | 0.002 | 0.066 |
| IGF-1, ng/mL | 187 ± 0.49 c | 195 ± 2.84 a | 190 ± 1.93 b | 194 ± 1.43 a | <0.001 | 188 ± 1.80 e | 195 ± 2.17 d | 192 ± 4.49 | 192 ± 2.99 | <0.001 | 0.296 | 0.070 |
| GH, ng/mL | 5.69 ± 0.58 | 6.06 ± 0.61 | 6.12 ± 0.64 | 6.65 ± 0.50 | 0.067 | 5.90 ± 0.62 | 6.36 ± 0.61 | 5.87 ± 0.60 a | 6.58 ± 0.61 b | 0.071 | 0.044 | 0.747 |
Disclaimer/Publisher’s Note: The statements, opinions and data contained in all publications are solely those of the individual author(s) and contributor(s) and not of MDPI and/or the editor(s). MDPI and/or the editor(s) disclaim responsibility for any injury to people or property resulting from any ideas, methods, instructions or products referred to in the content. |
© 2023 by the authors. Licensee MDPI, Basel, Switzerland. This article is an open access article distributed under the terms and conditions of the Creative Commons Attribution (CC BY) license (https://creativecommons.org/licenses/by/4.0/).
Share and Cite
Wu, H.; Xu, C.; Wang, J.; Hu, C.; Ji, F.; Xie, J.; Yang, Y.; Yu, X.; Diao, X.; Lv, R. Effects of Dietary Probiotics and Acidifiers on the Production Performance, Colostrum Components, Serum Antioxidant Activity and Hormone Levels, and Gene Expression in Mammary Tissue of Lactating Sows. Animals 2023, 13, 1536. https://doi.org/10.3390/ani13091536
Wu H, Xu C, Wang J, Hu C, Ji F, Xie J, Yang Y, Yu X, Diao X, Lv R. Effects of Dietary Probiotics and Acidifiers on the Production Performance, Colostrum Components, Serum Antioxidant Activity and Hormone Levels, and Gene Expression in Mammary Tissue of Lactating Sows. Animals. 2023; 13(9):1536. https://doi.org/10.3390/ani13091536
Chicago/Turabian StyleWu, Hongzhi, Chaohua Xu, Jingjing Wang, Chengjun Hu, Fengjie Ji, Jiajun Xie, Yun Yang, Xilong Yu, Xinping Diao, and Renlong Lv. 2023. "Effects of Dietary Probiotics and Acidifiers on the Production Performance, Colostrum Components, Serum Antioxidant Activity and Hormone Levels, and Gene Expression in Mammary Tissue of Lactating Sows" Animals 13, no. 9: 1536. https://doi.org/10.3390/ani13091536
APA StyleWu, H., Xu, C., Wang, J., Hu, C., Ji, F., Xie, J., Yang, Y., Yu, X., Diao, X., & Lv, R. (2023). Effects of Dietary Probiotics and Acidifiers on the Production Performance, Colostrum Components, Serum Antioxidant Activity and Hormone Levels, and Gene Expression in Mammary Tissue of Lactating Sows. Animals, 13(9), 1536. https://doi.org/10.3390/ani13091536

