Pigeon Pea Intercropped with Tropical Pasture as a Mitigation Strategy for Enteric Methane Emissions of Nellore Steers
Simple Summary
Abstract
1. Introduction
2. Materials and Methods
2.1. Location, Treatments, and Experimental Design
2.2. Forage Sampling and Chemical Analysis
2.3. Dry Matter Intake and Dry Matter Digestibility
2.4. Animal Performance
2.5. Enteric CH4 Emission
2.6. Statistical Analysis
3. Results
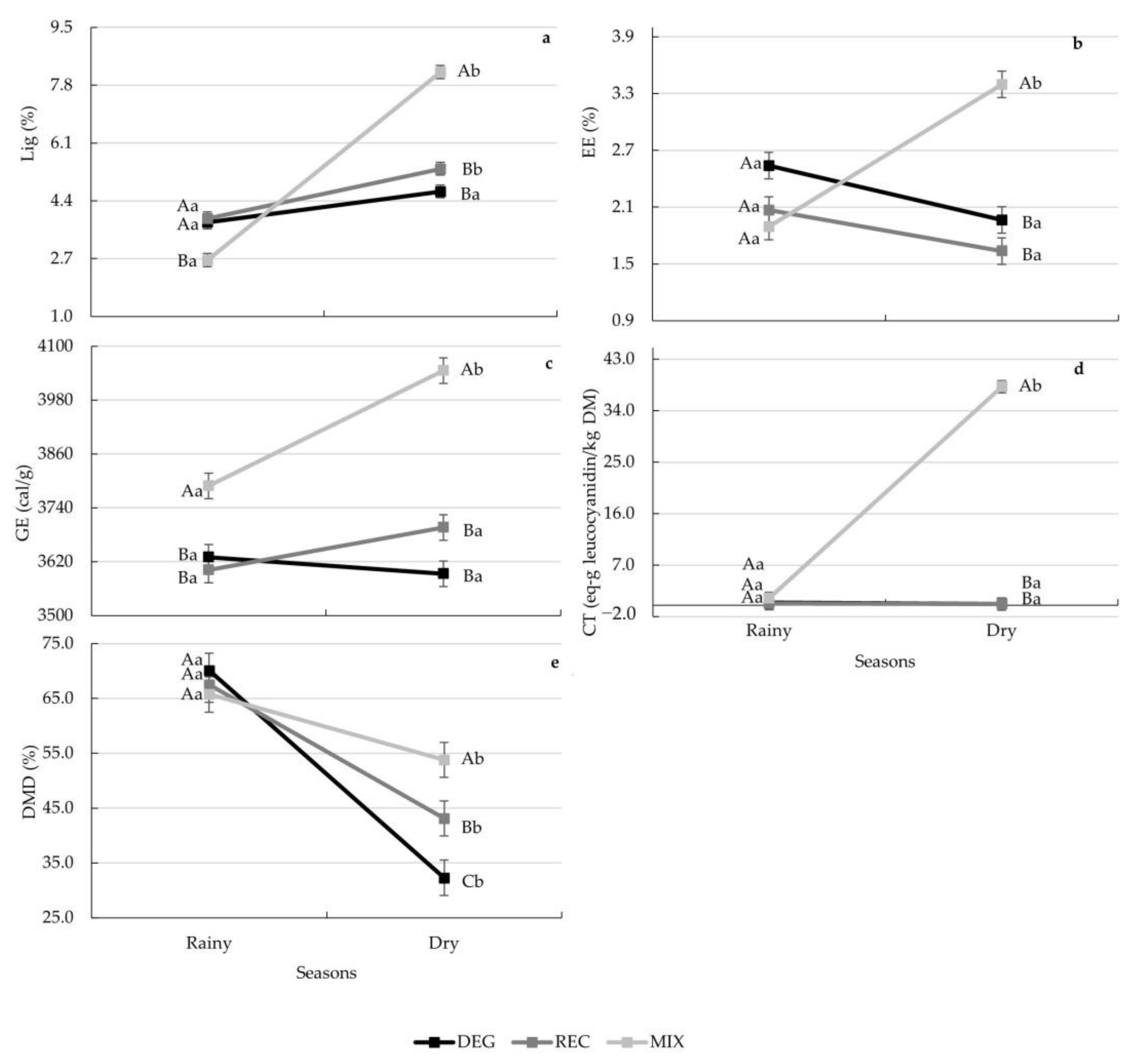
3.1. Pigeon Pea and Tropical Grasses Chemical Composition
3.2. Forage and Mineral Supplement Intake
3.3. Animal Performance and Stocking Rate
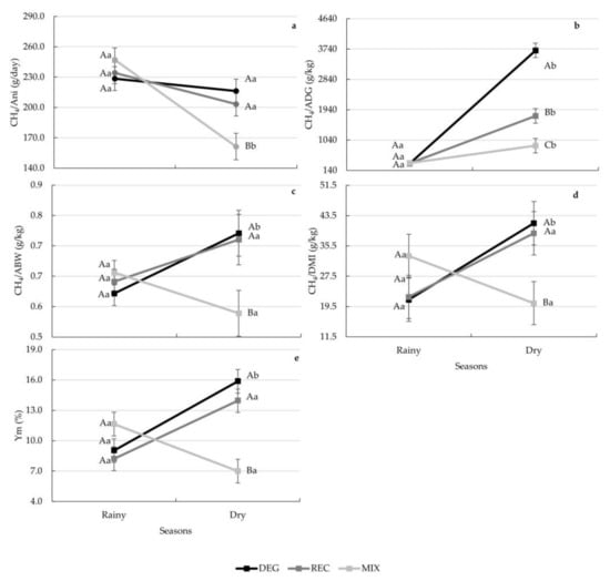
3.4. Enteric CH4 Emissions
4. Discussion
5. Conclusions
Author Contributions
Funding
Institutional Review Board Statement
Informed Consent Statement
Data Availability Statement
Acknowledgments
Conflicts of Interest
References
- Giller, K.E.; Delaune, T.; Silva, J.V.; Descheemaeker, K.; van de Ven, G.; Schut, A.G.T.; van Wijk, M.; Hammond, J.; Hochman, Z.; Taulya, G.; et al. The future of farming: Who will produce our food? Food Sec. 2021, 13, 1073–1099. [Google Scholar] [CrossRef]
- Sakita, G.Z.; Lima, P.M.T.; Abdalla Filho, A.L.; Bompadre, T.F.V.; Ovani, V.S.; Chaves, C.M.S.; Bizzuti, B.E.; Costa, W.S.; Paim, T.P.; Campioni, T.S.; et al. Treating tropical grass with fibrolytic enzymes from the fungus Trichoderma reesei: Effects on animal performance, digestibility and enteric methane emissions of growing lambs. Anim. Feed Sci. Tech. 2022, 286, 115253. [Google Scholar] [CrossRef]
- IPCC. Summary for Policymakers. In Climate Change 2022: Impacts, Adaptation and Vulnerability. Contribution of Working Group II to the Sixth Assessment Report of the Intergovernmental Panel on Climate Change; Cambridge University Press: Cambridge, UK; Cambridge University Press: New York, NY, USA, 2022. [Google Scholar] [CrossRef]
- Artaxo, P. Mudanças climáticas e o Brasil. Rev. USP 2014, 103, 8–12. [Google Scholar] [CrossRef]
- IPCC. Summary for Policymakers. In Climate Change 2007: The Physical Science Basis. Contribution of Working Group I to the Fourth Assessment Report of the Intergovernmental Panel on Climate Change; Cambridge University Press: Cambridge, UK; New York, NY, USA, 2007. [Google Scholar]
- Machado, P.A.S.; Valadares Filho, S.C.; Valadares, R.F.D.; Paulino, M.F.; Pina, D.S.; Paixão, M.L. Nutritional and productive parameters of beef cattle on pasture fed different amounts of supplement. R. Bras. Zootec. 2011, 40, 1303–1312. [Google Scholar] [CrossRef]
- Demarchi, J.J.A.A.; Manella, M.Q.; Primavesi, O.; Frighetto, R.T.S.; Romero, L.A.; Berndt, A.; Lima, M.A. Effect of seasons on enteric methane emissions from cattle grazing Urochloa brizantha. J. Agric. Sci. 2016, 8, 106. [Google Scholar] [CrossRef]
- FAOSTAT. Food and Agriculture Organization of the United Nations. Available online: https://www.fao.org/faostat/en/ (accessed on 1 December 2022).
- IBGE. Instituto Brasileiro de Geografia e Estatística, Censo Agropecuário 2021: Resultados Definitivos. Available online: https://www.ibge.gov.br/explica/producao-agropecuaria (accessed on 22 November 2022).
- ABIEC. Associação Brasileira das Indústrias Exportadoras de Carne, Beef Report Perfil da Pecuária no Brasil 2022. Available online: https://www.abiec.com.br/publicacoes/beef-report-2022/ (accessed on 1 December 2022).
- Berchielli, T.T.; Messana, J.D.; Canesin, R.C. Produção de metano entérico em pastagens tropicais. Rev. Bras. Saúde. Prod. Anim. 2012, 13, 954–968. [Google Scholar] [CrossRef]
- SEEG—The Greenhouse Gas Emissions and Removal Estimation System, Press Release. Available online: https://seeg.eco.br/en/press-release (accessed on 17 October 2022).
- Abrão, F.O.; Fernandes, B.C.; Pessoa, M.S. Produção sustentável na bovinocultura: Princípios e possibilidades. Ver. Bras. Agric. Sust. 2016, 6, 61–73. [Google Scholar] [CrossRef][Green Version]
- Greenwood, P.L. Review: An overview of beef production from pasture and feedlot globally, as demand for beef and the need for sustainable practices increase. Animal 2021, 15, 100295. [Google Scholar] [CrossRef] [PubMed]
- Da Cunha, L.L.; Bremm, C.; Savian, J.V.; Zubieta, Á.S.; Rossetto, J.; Carvalho, P.C.F. Relevance of sward structure and forage nutrient contents in explaining methane emissions from grazing beef cattle and sheep. Sci. Total Environ. 2023, 869, 161695. [Google Scholar] [CrossRef]
- Oliveira, P.P.A.; Matta, F.P.; Godoy, R. Consorciação com Guandu na Recuperação de Pastagens Degradadas, uma Tecnologia de Duplo propósito: Adubação Verde e Pastejo Consorciado Diferido—Circular Técnica 75; Embrapa Pecuária Sudeste: São Carlos, Brazil, 2017; pp. 1–6. ISSN 1981-2086. Available online: https://ainfo.cnptia.embrapa.br/digital/bitstream/item/170492/1/Circula75.pdf (accessed on 24 October 2022).
- Castro-Montoya, J.M.; Dickhoefer, U. The nutritional value of tropical legume forages fed to ruminants as affected by their growth habit and fed form: A systematic review. Anim. Feed Sci. Tech. 2020, 269, 114641. [Google Scholar] [CrossRef]
- Paludo, A.; Santos, N.F.; Moreira, T.S.O.; Oliveira, W.L.; Silva, M.A.P. Feijão guandu em três alturas de corte na alimentação de ruminantes. Nutr. Rer. Elet. 2012, 9, 1981–1994. [Google Scholar]
- Mott, G.O.; Lucas, H.L. The design, conduct and interpretation of grazing trials on cultivated and improved pastures. In Proceedings of the 6th International Grassland Congress, Philadelphia, PA, USA, 17–23 August 1952; pp. 1380–1395. [Google Scholar]
- Costa, J.A.A.; Queiroz, H.P. Régua de Manejo de Pastagens—Edição Revisada—Comunicado Técnico 135; Embrapa Gado de Corte: Campo Grande, Brazil, 2017; pp. 1–7. ISSN 1983-9731. Available online: https://ainfo.cnptia.embrapa.br/digital/bitstream/item/165094/1/Regua-de-manejo-de-pastagens.pdf (accessed on 11 November 2022).
- Oliveira, P.P.A. Recuperação e reforma de pastagens. In 24º Simpósio Sobre Manejo de Pastagens—Produção de Ruminantes em Pastagens, 1st ed.; Pedreira, C.G., de Moura, J.C., da Silva, S.C., de Faria, V.P., Eds.; Fealq: Piracicaba, Brazil, 2007; Volume 24, pp. 39–74. [Google Scholar]
- Oliveira, P.P.A.; Penati, M.A.; Corsi, M. Correção do solo e Fertilização de Pastagens em Sistemas Intensivos de Produção de Leite—Documentos 86; Embrapa Pecuária Sudeste: São Carlos, Brazil, 2008; p. 56. ISSN 1980-6841. Available online: https://ainfo.cnptia.embrapa.br/digital/bitstream/item/33154/1/Documentos86.pdf (accessed on 24 October 2022).
- Sollenberger, L.E.; Cherney, D. Evaluating forage production and quality. In Forages: The Science of Grassland Agriculture, 5th ed.; Barnes, R.F., Nelson, C.J., Miller, D., Eds.; Iowa State University Press: Ames, IA, USA, 1995; Volume 2, pp. 97–110. [Google Scholar]
- AOAC. Official Methods of Analysis, 15th ed.; AOAC International: Arlington, TX, USA, 1990. [Google Scholar]
- Goering, H.K.; Van Soest, P.J. Forage fiber analysis. (Apparatus, reagents, procedures and some applications). In Agriculture Handbook, United States Department of Agriculture; U.S. Agricultural Research Service: Washington, DC, USA, 1970; p. 20. [Google Scholar]
- Makkar, H.P.S. Quantification of Tannins in Tree and Shrub Foliage: A Laboratory Manual; Springer: Dordrecht, The Netherlands, 2003. [Google Scholar] [CrossRef]
- Mertens, D.R. Gravimetric determination of amylase-treated neutral detergent fiber in feeds with refluxing in beakers or crucibles: Collaborative study. J. AOAC Int. 2002, 86, 1217–1240. [Google Scholar]
- Titgemeyer, E.C.; Armendariz, C.K.; Bindel, D.J.; Greenwood, R.H.; Löest, C.A. Evaluation of titanium dioxide as a digestibility marker in cattle. J. Anim. Sci. 2001, 79, 1059–1063. [Google Scholar] [CrossRef]
- Givens, D.I.; Owen, E.; Axford, R.F.E.; Omed, H.M. Forage Evaluation in Ruminant Nutrition; CABI Publishing: New York, NY, USA, 2000; p. 480. [Google Scholar]
- Norman, H.C.; Wilmot, M.G.; Thomas, D.T.; Masters, D.G.; Revell, D.K. Stable carbon isotopes accurately predict diet selection by sheep fed mixtures of C3 annual pastures and saltbush or C4 perennial grasses. Livest. Sci. 2009, 121, 162–172. [Google Scholar] [CrossRef]
- Ovani, V.S.; Abdalla, A.L.; Márquez, S.P.; Costa, W.S.; Bizzuti, B.E.; Lima, P.M.T.; Moreira, G.D.; Gerdes, L.; Louvandini, H. Use of internal markers to estimate feed intake and selection of forage in sheep fed grass and legume hay. Anim. Feed Sci. Tech. 2022, 283, 115177. [Google Scholar] [CrossRef]
- Johnson, K.A.; Huyler, M.T.; Westberg, H.H.; Lamb, B.K.; Zimmerman, P. Measurement of methane emissions from ruminant livestock using a sulfur hexafluoride tracer technique. In Energy Metabolism of Farm Animals—EAAP Publication No. 76; Aguilera, J.F., Ed.; Servicio de Publicaciones, Consejo Superior de Investigaciones Cientificas: Granada, Spain, 1994; pp. 335–338. [Google Scholar]
- Johnson, K.; Huyler, M.; Westberg, H.; Lamb, B.; Zimmerman, P. Measurement of methane emissions from ruminant livestock using a sulfur hexafluoride tracer technique. Environ. Sci. Tech. 1994, 28, 359–362. [Google Scholar] [CrossRef] [PubMed]
- Primavesi, O.; Frighetto, R.T.S.; Pedreira, M.S.; Lima, M.A.; Berchielli, T.T.; Demarchi, J.J.A.A.; Manella, M.Q.; Barbosa, P.F.; Johnson, K.A.; Westberg, H.H. Técnica do gás Traçador SF6 Para Medição de Campo do Metano Ruminal em Bovinos: Adaptações Para o Brasil—Documentos 39; Embrapa Pecuária Sudeste: São Carlos, Brazil, 2004; pp. 1–77. Available online: http://www.infoteca.cnptia.embrapa.br/infoteca/handle/doc/42497 (accessed on 24 October 2022).
- Berndt, A.; Boland, T.; Deighton, M.H.; Gere, J.I.; Grainger, C.; Hegarty, R.S.; Iwaasa, A.D.; Koolaard, J.P.; Lassey, K.R.; Luo, D.; et al. Guidelines for Use of Sulphur Hexafluoride (SF6) Tracer Technique to Measure Enteric Methane Emissions from Ruminants; Lambert, M.G., Ed.; Ministry for Primary Industries: Wellington, New Zealand, 2014; pp. 1–166. [Google Scholar] [CrossRef]
- Johnson, K.; Westberg, H.; Michal, J.; Cossalman, M. The SF6 tracer technique: Methane measurement from ruminants. In Mea-suring Methane Production from Ruminants; Makkar, H.P., Vercoe, P.E., Eds.; Springer: Dordrecht, The Netherlands, 2007; pp. 33–67. [Google Scholar] [CrossRef]
- Wang, Z.; Goonewardene, L.A. The use of MIXED models in the analysis of animal experiments with repeated measures data. Can. J. Anim. Sci. 2004, 84, 1–11. [Google Scholar] [CrossRef]
- Medeiros, S.R.; Gomes, R.C.; Bungenstab, D.J. Nutrição de Bovinos de Corte: Fundamentos e Aplicações; Embrapa: Brasília, Brazil, 2015; p. 176. Available online: https://ainfo.cnptia.embrapa.br/digital/bitstream/item/120040/1/Nutricao-Animal-livro-em-baixa.pdf (accessed on 11 November 2022).
- Dos Santos, C.A.; Monteiro, R.C.; Homem, B.G.C.; Salgado, L.S.; Casagrande, D.R.; Pereira, J.M.; Rezende, C.P.; Alves, B.J.R.; Boddey, R.M. Productivity of beef cattle grazing Brachiaria brizantha cv. Marandu with and without nitrogen fertilizer application or mixed pastures with the legume Desmodium ovalifolium. Grass. Forage Sci. 2022, 78, 147–160. [Google Scholar] [CrossRef]
- Miano, A.C.; Carvalho, G.R.; Sabadoti, V.D.; Anjos, C.B.P.; Godoy, R.; Augusto, P.E.D. Evaluating new lines of pigeon pea (Cajanus cajan L.) as a human food source. J. Food Process. Preserv. 2020, 44, 14517. [Google Scholar] [CrossRef]
- Hampel, V.S.; Poli, C.H.E.C.; Joy, M.; Tontini, J.F.; Devincenzi, T.; Pardos, J.R.B.; Macedo, R.E.F.; Nalério, E.N.; Saccol, A.G.F.; Rodrigues, E.; et al. Tropical grass and legume pastures may alter lamb meat physical and chemical characteristics. Trop. Anim. Health Pro. 2021, 53, 427. [Google Scholar] [CrossRef]
- Valadares Filho, S.C.; Lopes, S.A.; Silva, B.C.; Chizzotti, M.L.; Bissaro, L.Z. CQBAL 4.0—Brazilian Tables of Feed Composition for Ruminant. 2018. Available online: www.cqbal.com.br (accessed on 28 November 2022).
- Baumont, R.; Cohen-Salmon, D.; Prache, S.; Sauvant, D. A mechanistic model of intake and grazing behaviour in sheep integrating sward architecture and animal decisions. Anim. Feed Sci. Tech. 2004, 112, 5–28. [Google Scholar] [CrossRef]
- Lima, D.M.; Abdalla Filho, A.L.; Lima, P.M.T.; Sakita, G.Z.; Silva, T.P.D.; McManus, C.; Abdalla, A.L.; Louvandini, H. Morphological characteristics, nutritive quality, and methane production of tropical grasses in Brazil. Pesq. Agropec. Bras. 2018, 53, 323–331. [Google Scholar] [CrossRef]
- Abdalla Filho, A.L.; Lima, P.M.T.; Sakita, G.Z.; Silva, T.P.D.; Costa, W.S.; Ghini, R.; Abdalla, A.L.; Piccolo, M.C. CO2 fertilization does not affect biomass production and nutritive value of a C4 tropical grass in short timeframe. Grass Forage Sci. 2019, 74, 670–677. [Google Scholar] [CrossRef]
- Alves, F.J.S.; Miranda, J.P.H.V.; Moura, D.A.; Reis, B.R.; Soares, J.P.G.; Fernandes, F.D.; Ramos, A.K.B.; Malaquias, J.V. Produção de biomassa e valor nutricional do Cajanus cajan cv Mandarin sob manejo orgânico e convencional. In Proceedings of the XXIV Congresso Brasileiro de Zootecnia, Vitória, Brazil, 12–14 May 2014; Available online: https://ainfo.cnptia.embrapa.br/digital/bitstream/item/117381/1/s1753.pdf (accessed on 24 October 2022).
- Pereira, D.S.; Lana, R.P.; Carmo, D.L.; Costa, Y.K.S. Chemical composition and fermentative losses of mixed sugarcane and pigeon pea silage. Acta Sci. Anim. Sci. 2019, 41, e43709. [Google Scholar] [CrossRef]
- Sá, J.F.; Pedreira, M.S.; Silva, F.F.; Bonomo, P.; Figueiredo, M.P.; Menezes, D.R.; Almeida, T.B. Fracionamento de carboidratos e proteínas de gramíneas tropicais cortadas em três idades. Arq. Bras. Med. Vet. Zootec. 2010, 62, 667–676. [Google Scholar] [CrossRef]
- Vitti, D.M.S.S.; Abdalla, A.L.; Bueno, I.C.S.; Silva Filho, J.C.; Costa, C.; Bueno, M.S.; Nozella, E.F.; Longo, C.; Vieira, E.Q.; Cabral Filho, S.L.S.; et al. Do all tannins have similar nutritional effects? A comparison of three Brazilian fodder legumes. Anim. Feed Sci. Tech. 2005, 119, 345–361. [Google Scholar] [CrossRef]
- de la Mora, B.V.; Gallegos, E.C.; Barragán, H.B. Rendimiento y degradabilidad ruminal de matéria seca y energía de diez pastos tropicales cosechados a cuatro edades. Rev. Mex. Cienc. Pecu. 2016, 7, 141–158. [Google Scholar] [CrossRef]
- Bueno, I.C.S.; Brandi, R.A.; Franzolin, R.; Benetel, G.; Fagundes, G.M.; Abdalla, A.L.; Louvandini, H.; Muir, J.P. In vitro methane production and tolerance to condensed tannins in five ruminant species. Anim. Feed Sci. Tech. 2015, 205, 1–9. [Google Scholar] [CrossRef]
- Frutos, P.; Hervás, G.; Giráldez, F.J.; Mantecón, A.R. Review. Tannins and ruminant nutrition. Span. J. Agric. Res. 2004, 2, 191–202. [Google Scholar] [CrossRef]
- Mueller-Harvey, I. Unravelling the conundrum of tannins in animal nutrition and health. J. Sci. Food Agric. 2006, 86, 2010–2037. [Google Scholar] [CrossRef]
- Barry, T.N.; Duncan, S.J. The role of condensed tannins in the nutritional value of Lotus pedunculatus for sheep. Voluntary intake. Brit. J. Nutr. 1984, 51, 485–491. [Google Scholar] [CrossRef]
- Waghorn, G.C.; Shelton, I.D.; McNabb, W.C.; McCutcheon, S.N. Effects of condensed tannins in Lotus pedunculatus on its nutritive value for sheep. Nitrogenous aspects. J. Agric. Sci. 1994, 123, 109–119. [Google Scholar] [CrossRef]
- Aerts, R.J.; Barry, T.N.; McNabb, W.C. Polyphenols and agriculture: Beneficial effects of proanthocyanidins in forages. Agric. Ecosyst. Environ. 1999, 75, 1–12. [Google Scholar] [CrossRef]
- Abdalla Filho, A.L.; Dineshkumar, D.; Barreal, M.; McManus, C.; Vasconcelos, V.R.; Abdalla, A.L.; Louvandini, H. Performance, metabolic variables and enteric methane production of Santa Ines hair lambs fed Orbignya phalerata and Combretum leprosum. J. Anim. Physiol. Anim. Nutr. 2017, 101, 457–465. [Google Scholar] [CrossRef]
- Perna Junior, F.; Nogueira, R.G.S.; Carvalho, R.F.; Cassiano, E.C.O.; Rodrigues, P.H.M. Use of tannin extract as a strategy to reduce methane in Nellore and Holstein cattle and its effect on intake, digestibility, microbial efficiency and ruminal fermentation. J. Anim. Physiol. Anim. Nutr. 2023, 107, 89–102. [Google Scholar] [CrossRef] [PubMed]
- Dias, A.M.; Gomes, E.N.O.; Ítavo, L.C.V.; Aranha, J.A.M.; Ítavo, C.C.B.F.; Nogueira, É.; Silva, F.F.; Junges, L. Herbage allowance effects on the characteristics of Brachiaria brizantha cv. Marandu pastures and the production and economic viability of Nellore heifers. Semin. Cienc. Agrar. 2016, 37, 2301–2312. [Google Scholar] [CrossRef][Green Version]
- Euclides, V.P.B.; Montagner, D.B.; Barbosa, R.A.; Difante, G.S.; Medeiros, S.R. Valor Nutritivo, Estrutura Do Dossel E Desempenho Animal de Alguma Cultivares de Panicum Maximum E Brachiaria Spp. Submetidas à Diferentes Estratégias de Manejo—Documentos 292; Embrapa Gado de Corte: Campo Grande, Brazil, 2021; p. 94. ISSN 1983-974X. Available online: http://www.infoteca.cnptia.embrapa.br/infoteca/handle/doc/1135277 (accessed on 11 November 2022).
- Epifanio, P.S.; Costa, K.A.P.; Severiano, E.C.; Souza, W.F.; Teixeira, D.A.A.; Silva, J.T.; Aquino, M.M. Productive and nutritional characteristics of Brachiaria brizantha cultivars intercropped with Stylosanthes cv. Campo Grande in different forage systems. Crop Pasture Sci. 2019, 70, 718–729. [Google Scholar] [CrossRef]
- Niderkorn, V.; Baumont, R. Associative effects between forages on feed intake and digestion in ruminants. Animal 2009, 3, 951–960. [Google Scholar] [CrossRef]
- Whiteman, P.C. Tropical Pasture Science; Oxford University Press: Oxford, UK, 1980; p. 398. [Google Scholar]
- Crowder, L.V.; Chheda, H.R. Tropical Grassland Husbandry; Longman Group Limited: New York, NY, USA, 1982; p. 562. [Google Scholar]
- Meo-Filho, P.; Berndt, A.; Pezzopane, J.R.M.; Pedroso, A.F.; Bernardi, A.C.C.; Rodrigues, P.H.M.; Bueno, I.C.S.; Corte, R.R.; Oliveira, P.P.A. Can intensified pasture systems reduce enteric methane emissions from beef cattle in the Atlantic Forest biome? Agronomy 2022, 12, 2738. [Google Scholar] [CrossRef]
- Barioni, L.G.; Ferreira, A.C.; Júnior, R.G.; Júnior, G.B.M.; Ramos, A.K.B. Tabelas de Estimativa de Ingestão de Matéria Seca de Bovinos de Corte em Crescimento em Pastejo—Comunicado Técnico 142; Embrapa Cerrados: Planaltina, Brazil, 2007; pp. 1–8. ISSN 1517-1469. Available online: https://ainfo.cnptia.embrapa.br/digital/bitstream/CPAC-2010/28925/1/comtec-142.pdf (accessed on 11 November 2022).
- Almeida, D.M.; Silva, A.L.; Paulino, M.F.; Silva, T.E.; Detmann, E.; Marcondes, M.I. Performance of Bos indicus beef cattle su-pplemented with mineral or with concentrates in tropical Urochloa decumbens pastures: A meta-regression approach. Anim. Feed Sci. Tech. 2022, 283, 115178. [Google Scholar] [CrossRef]
- Tulu, A.; Diribsa, M.; Fekede, G.; Temesgen, W.; Keba, W.; Kumsa, A. Comparative evaluations of selected pigeon pea (Cajanus cajan) genotypes for biomass yield, nutrient composition, and dry matter intake under diverse locations of tropical Africa. Adv. Agric. 2021, 2021, 5516662. [Google Scholar] [CrossRef]
- Boval, M.; Dixon, R.M. The importance of grasslands for animal production and other functions: A review on management and methodological progress in the tropics. Animal 2012, 6, 748–762. [Google Scholar] [CrossRef] [PubMed]
- d’Alexis, S.; Periacarpin, F.; Jackson, F.; Boval, M. Mixed grazing systems of goats with cattle in tropical conditions: An alternative to improving animal production in the pasture. Animal 2014, 8, 1282–1289. [Google Scholar] [CrossRef]
- Oliveira, P.P.A.; Godoy, R.; Oliveira, B.A.; Pedroso, A.F.; Bonani, W.L.; Rodrigues, P.H.M.; Lelis, A.L.J. Avaliação de Diferentes Materiais Genéticos de Feijão-Guandu em Consórcio com Capim-Marandu na Recuperação de Pastagens Degradadas—Boletim de Pesquisa e Desenvolvimento 52; Embrapa Pecuária Sudeste: São Carlos, Brazil, 2022; pp. 1–24. ISSN 1980-6841. Available online: http://www.infoteca.cnptia.embrapa.br/infoteca/handle/doc/1142946 (accessed on 24 October 2022).
- Oliveira, P.P.A.; Furtado, A.J.; Bruno, J.F.; Pasquni Neto, R.; da Silva, G.V.; Lobo, A.A.; Abdalla-Filho, A.L.; Perna Junior, F.; Alves, T.C.; Medeiros, S.R.; et al. Forage intake of Nellore steers grazing a Cajanus cajan legume-grass mixed pasture. In Proceedings of the XXV International Grassland Congress, Covington, KY, USA, 14–19 May 2023. [Google Scholar]
- Machado, M.L.C.; Sales, M.F.L. Performance of intact and castrated nelore steers grazing Brachiaria humidicola (Rendle) Schweick (Poaceae) alone and intercropped with forage peanut. Ciênc. Anim. Bras. 2020, 21, 51379. [Google Scholar] [CrossRef]
- Dias-Filho, M.B. Degradação de Pastagens: Processos, Causas Estratégias de Recuperação, 4th ed.; MBDF: Belém, Brazil, 2015. [Google Scholar]
- Borghi, E.; Neto, M.M.G.; Resende, R.M.S.; Zimmer, A.H.; Almeida, R.G.; Macedo, M.C.M. Recuperação de pastagens degradadas. In Agricultura de Baixo Carbono Tecnologias e Estratégias de Implantação; Nobre, M.M., Oliveira, I.R., Eds.; Embrapa Milho e Sorgo: Sete Lagoas, Brazil, 2018; pp. 105–138. Available online: https://ainfo.cnptia.embrapa.br/digital/bitstream/item/197786/1/Livro-Agricultura-baixo-carbono.pdf (accessed on 24 October 2022).
- Dias, A.M.; dos Santos, G.T.; Ítalo, L.C.V.; Difante, G.S. Perspectivas e Desafios Para a Produção de Leite e Carne no Cerrado, 1st ed.; e-Publicar: Rio de Janeiro, Brazil, 2020; ISBN 978-65-87207-57-5. [Google Scholar] [CrossRef]
- Beauchemin, K.A.; Ungerfeld, E.M.; Abdalla, A.L.; Alvarez, C.; Arndt, C.; Becquet, P.; Benchaar, C.; Berndt, A.; Mauricio, R.M.; McAllister, T.A.; et al. Invited review: Current enteric methane mitigation options. J. Dairy Sci. 2022, 105, 9297–9326. [Google Scholar] [CrossRef]
- Patra, A.K.; Saxena, J. Exploitation of dietary tannins to improve rumen metabolism and ruminant nutrition. J. Sci. Food Agric. 2011, 91, 24–37. [Google Scholar] [CrossRef]
- Hristov, A.N.; Oh, J.; Firkins, J.L.; Dijkstra, J.; Kebreab, E.; Waghorn, G.; Makkar, H.P.S.; Adesogan, A.T.; Yang, W.; Lee, C.; et al. Special topics—Mitigation of methane and nitrous oxide emissions from animal ope-rations: I. A review of enteric methane mitigation options. J. Anim. Sci. 2013, 11, 5045–5069. [Google Scholar] [CrossRef]
- Berhanu, Y.; Olav, L.; Nurfeta, A.; Angassa, A.; Aune, J.B. Methane emissions from ruminant livestock in Ethiopia: Promising forage species to reduce CH4 emissions. Agriculture 2019, 9, 130. [Google Scholar] [CrossRef]




| Supplements | ||||
|---|---|---|---|---|
| Ingredients | Mineral 4 | Mineral-Energetic-Protein | Mineral-Energetic-Protein | |
| Adaptation 3 | Dry Season | |||
| Ground corn (%) | - | 55 | 48 | |
| NaCl (%) | 50 | 20 | 15 | |
| Mineral mixture 1 (%) | 50 | 15 | 15 | |
| Urea 2 (%) | - | 10 | 22 | |
| Estimated Chemical Composition | ||||
| CP (%) | - | 49.33 | 97.15 | |
| NPN (%) | - | 28 | 61.6 | |
| NDF (%) | - | 5.01 | 7.30 | |
| ADF (%) | - | 1.53 | 1.67 | |
| Lig (%) | - | 1.26 | 1.25 | |
| EE (%) | - | 1.66 | 1.29 | |
| Ash (%) | 90.68 | 56.6 | 22.60 | |
| Plant Species | Seasons | CP | NDF | ADF | Lig | EE | GE | CT (eq g Leucocyanidin/kg DM) | δ13C (‰) |
|---|---|---|---|---|---|---|---|---|---|
| (%) | (%) | (%) | (%) | (%) | (cal/g) | ||||
| Cajanus cajan (L.) Millsp. | Rainy | 17.8 | 42.4 | 26.8 | 12.3 | 5.7 | 4431.3 | 23.7 | −30.5 |
| Dry | 24.3 | 43.9 | 28 | 12.4 | 5.6 | 4509.8 | 87.9 | −26.1 | |
| Average | 21 | 43.2 | 27.4 | 12.4 | 5.7 | 4470.5 | 55.8 | −28.3 | |
| SEM | 1.77 | 0.82 | 0.43 | 0.38 | 0.14 | 94.27 | 15.11 | 0.68 | |
| Urochloa spp. | Rainy | 10.2 | 65.7 | 36 | 2.2 | 1.7 | 3744.8 | 0.2 | −13.2 |
| Dry | 8.6 | 67.4 | 40.6 | 5.1 | 1.8 | 3749 | 1.6 | −13.7 | |
| Average | 9.4 | 66.6 | 38.3 | 3.7 | 1.7 | 3746.9 | 0.9 | −13.4 | |
| SEM | 0.50 | 0.58 | 1.14 | 0.66 | 0.15 | 41.06 | 0.43 | 0.10 |
| Effects | Nutritive Composition | |||
|---|---|---|---|---|
| Treat. | Seasons | CP | NDF | ADF |
| (%) | (%) | (%) | ||
| DEG | 7.9 b | 71.4 a | 40.1 a | |
| REC | 9.2 b | 69.7 a | 40.5 a | |
| MIX | 11.5 a | 61.0 b | 35.4 b | |
| Rainy | 9.6 | 70.9 | 38.6 | |
| Dry | 9.5 | 63.4 | 38.8 | |
| Average | 9.5 | 67.4 | 38.7 | |
| SEM | 0.40 | 0.80 | 0.70 | |
| Statistical Probabilities (p-value) | ||||
| Treat. | 0.0016 | 0.0013 | 0.0012 | |
| Seasons | 0.7907 | 0.0004 | 0.8563 | |
| Treat. × Season | 0.2206 | 0.8416 | 0.8131 | |
| Effects | Variables | |||||||
|---|---|---|---|---|---|---|---|---|
| Treat. | Seasons | Forage DMI | Supplement DMI | Total DMI | Total DMI/BW0.75 | |||
| (kg/day) | (%ABW) | (kg/day) | (%ABW) | (kg/day) | (%ABW) | (kg/kg) | ||
| DEG | 7.12 | 2.33 | 0.07 a | 0.023 | 7.20 | 2.42 | 0.103 | |
| REC | 7.56 | 2.20 | 0.07 a | 0.025 | 7.63 | 2.27 | 0.102 | |
| MIX | 8.24 | 2.29 | 0.04 b | 0.015 | 8.28 | 2.32 | 0.102 | |
| Rainy | 9.62 | 2.59 | 0.05 | 0.011 | 9.67 | 2.64 | 0.120 | |
| Dry | 5.66 | 1.96 | 0.07 | 0.027 | 5.73 | 2.04 | 0.084 | |
| Average | 7.64 | 2.27 | 0.06 | 0.021 | 7.70 | 2.29 | 0.102 | |
| SEM | 1.650 | 0.240 | 0.005 | 0.0020 | 0.830 | 0.230 | 0.0100 | |
| Statistical Probabilities (p-value) | ||||||||
| Treat. | 0.7689 | 0.9503 | 0.0068 | 0.2158 | 0.7856 | 0.9492 | 0.9922 | |
| Seasons | 0.0118 | 0.0903 | 0.0552 | 0.0420 | 0.0132 | 0.0965 | 0.0544 | |
| Treat. × Season | 0.3145 | 0.2009 | 0.1384 | 0.9399 | 0.3245 | 0.2088 | 0.5642 | |
| Effects | Variables | |||||
|---|---|---|---|---|---|---|
| Treat. | Seasons | iBW | fBW | ADG | FCR | FE |
| (kg) | (kg) | (kg) | (kg/kg) | (kg/kg) | ||
| DEG | 220.7 | 344.1 b | 0.304 c | 37.9 | 0.038 | |
| REC | 221.3 | 367.4 b | 0.393 b | 50.5 | 0.043 | |
| MIX | 220.2 | 401.9 a | 0.478 a | 28.5 | 0.062 | |
| Rainy | * | * | 0.671 | 17.2 | 0.073 | |
| Dry | * | * | 0.113 | 60.2 | 0.022 | |
| Average | 220.7 | 371.1 | 0.392 | 38.8 | 0.048 | |
| SEM | 8.10 | 9.80 | 0.01 | 8.10 | 0.009 | |
| Statistical Probabilities (p-value) | ||||||
| Treat. | 0.9952 | 0.0165 | 0.0008 | 0.4768 | 0.4135 | |
| Seasons | * | * | <0.0001 | 0.0175 | 0.0063 | |
| Treat. × Season | * | * | 0.0546 | 0.4708 | 0.5642 | |
| Effects | Variables | |||
|---|---|---|---|---|
| Treat. | Seasons | CH4/ha | CH4/AU | CH4/GEI |
| (kg/ha) | (kg/AU) | (MJ) | ||
| DEG | 84.1 | 73.23 | 108.7 | |
| REC | 141.0 | 66.30 | 115.4 | |
| MIX | 121.1 | 63.87 | 137.0 | |
| Rainy | 122.5 | 66.83 | 147.7 | |
| Dry | 108.3 | 68.77 | 93.0 | |
| Average | 115.38 | 67.80 | 120.4 | |
| SEM | 10.810 | 3.340 | 14.60 | |
| Statistical Probabilities (p-value) | ||||
| Treat. | 0.0606 | 0.3623 | 0.5222 | |
| Seasons | 0.4169 | 0.7192 | 0.0212 | |
| Treat. × Season | 0.4854 | 0.1248 | 0.2683 | |
Disclaimer/Publisher’s Note: The statements, opinions and data contained in all publications are solely those of the individual author(s) and contributor(s) and not of MDPI and/or the editor(s). MDPI and/or the editor(s) disclaim responsibility for any injury to people or property resulting from any ideas, methods, instructions or products referred to in the content. |
© 2023 by the authors. Licensee MDPI, Basel, Switzerland. This article is an open access article distributed under the terms and conditions of the Creative Commons Attribution (CC BY) license (https://creativecommons.org/licenses/by/4.0/).
Share and Cite
Furtado, A.J.; Abdalla Filho, A.L.; Bruno, J.F.; Neto, R.P.; Lobo, A.A.G.; da Silva, G.V.; Junior, F.P.; Alves, T.C.; Berndt, A.; de Faria Pedroso, A.; et al. Pigeon Pea Intercropped with Tropical Pasture as a Mitigation Strategy for Enteric Methane Emissions of Nellore Steers. Animals 2023, 13, 1323. https://doi.org/10.3390/ani13081323
Furtado AJ, Abdalla Filho AL, Bruno JF, Neto RP, Lobo AAG, da Silva GV, Junior FP, Alves TC, Berndt A, de Faria Pedroso A, et al. Pigeon Pea Intercropped with Tropical Pasture as a Mitigation Strategy for Enteric Methane Emissions of Nellore Steers. Animals. 2023; 13(8):1323. https://doi.org/10.3390/ani13081323
Chicago/Turabian StyleFurtado, Althieres José, Adibe Luiz Abdalla Filho, Jaqueline Fernandes Bruno, Rolando Pasquini Neto, Annelise Aila Gomes Lobo, Gabriele Voltareli da Silva, Flavio Perna Junior, Teresa Cristina Alves, Alexandre Berndt, André de Faria Pedroso, and et al. 2023. "Pigeon Pea Intercropped with Tropical Pasture as a Mitigation Strategy for Enteric Methane Emissions of Nellore Steers" Animals 13, no. 8: 1323. https://doi.org/10.3390/ani13081323
APA StyleFurtado, A. J., Abdalla Filho, A. L., Bruno, J. F., Neto, R. P., Lobo, A. A. G., da Silva, G. V., Junior, F. P., Alves, T. C., Berndt, A., de Faria Pedroso, A., de Medeiros, S. R., Oliveira, P. P. A., & Rodrigues, P. H. M. (2023). Pigeon Pea Intercropped with Tropical Pasture as a Mitigation Strategy for Enteric Methane Emissions of Nellore Steers. Animals, 13(8), 1323. https://doi.org/10.3390/ani13081323

