The Total Mercury Concentration in Organs of Eurasian Magpies (Pica pica) and Common Woodpigeons (Columba palumbus) from the Warsaw Municipal Area
Abstract
Simple Summary
Abstract
1. Introduction
2. Materials and Methods
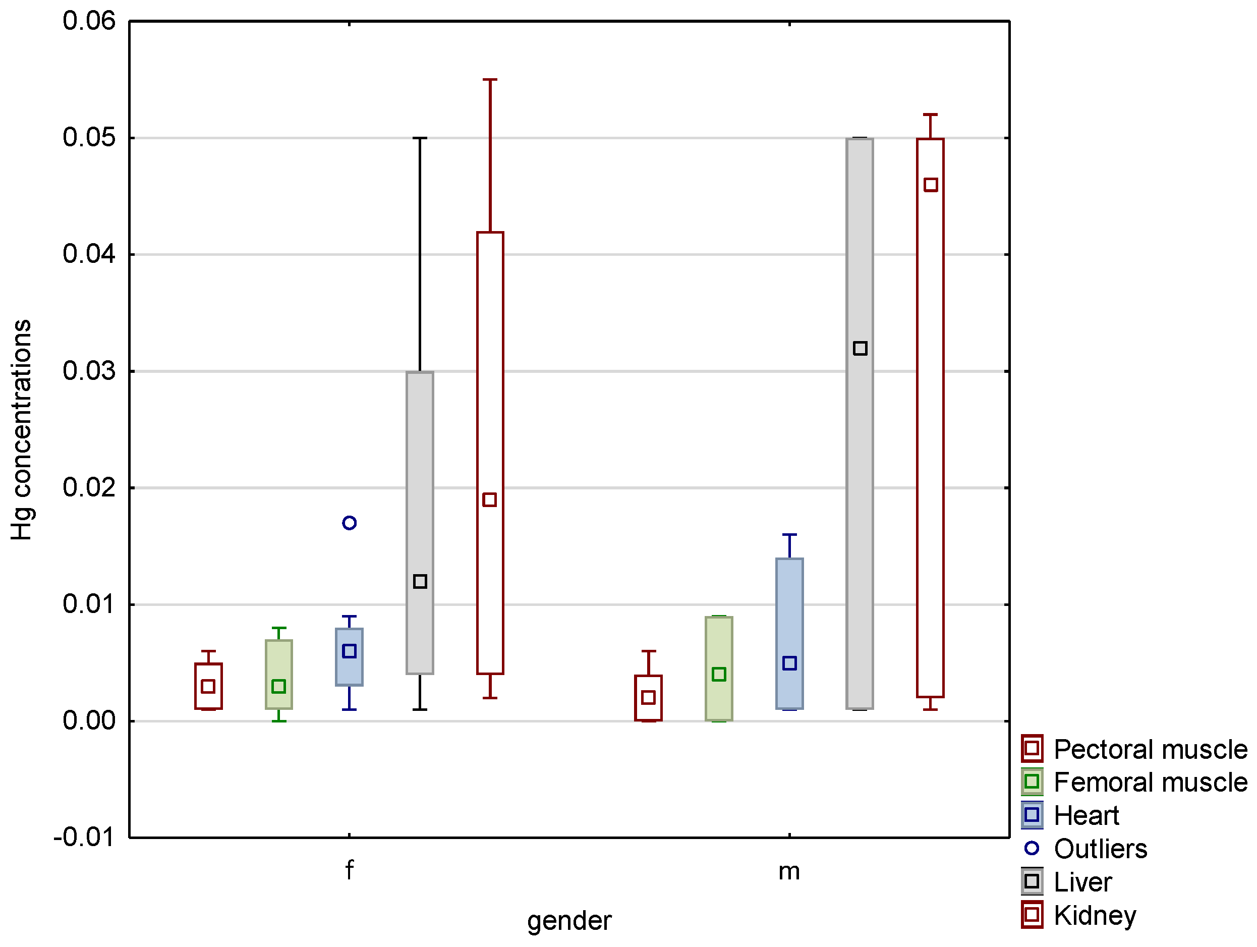
3. Results
4. Discussion
5. Conclusions
Author Contributions
Funding
Institutional Review Board Statement
Informed Consent Statement
Data Availability Statement
Conflicts of Interest
References
- Mason, R.P.; Fitzgerald, W.F.; Morel, F.M.M. The biogeochemical cycling of elemental mercury: Anthropogenic influences. Geochim. Cosmochim. Acta 1994, 58, 3191–3198. [Google Scholar] [CrossRef]
- Mason, R.P.; Sheu, G.-R. Role of the ocean in the global mercury cycle. Glob. Biogeochem. Cycles 2002, 16, 1093. [Google Scholar] [CrossRef]
- Gbor, P.K.; Wen, D.; Meng, F.; Yang, F.; Sloan, J.J. Modeling of mercury emission, transport and deposition in North America. Atmos. Environ. 2007, 41, 1135–1149. [Google Scholar] [CrossRef]
- Kuss, J.; Schneider, B. Variability of the Gaseous Elemental Mercury Sea–Air Flux of the Baltic Sea. Environ. Sci. Technol. 2007, 41, 8018–8023. [Google Scholar] [CrossRef] [PubMed]
- Mason, R.P. Mercury Emissions from Natural Processes and Their Importance in the Global Mercury Cycle. In Mercury Fate and Transport in the Global Atmosphere; Masson, R., Pirrone, N., Eds.; Springer: Boston, MA, USA, 2009; pp. 173–191. [Google Scholar] [CrossRef]
- Kalisińska, E.; Łanocha-Arendarczyk, N.; Kosik-Bogacka, D.I. Mercury, Hg. In Mammals and Birds as Bioindicators of Trace Element Contaminations in Terrestrial Environments; Kalisińska, E., Ed.; Springer: Cham, Switzerland, 2019; pp. 593–653. [Google Scholar] [CrossRef]
- Rytuba, J.J. Mercury from mineral deposits and potential environmental impact. Environ. Geol. 2003, 43, 326–338. [Google Scholar] [CrossRef]
- Selin, N.E. Global Biogeochemical Cycling of Mercury: A Review. Annu. Rev. Environ. Resour. 2009, 34, 43–63. [Google Scholar] [CrossRef]
- Gworek, B.; Dmuchowski, W.; Baczewska, A.H.; Brągoszewska, P.; Bemowska-Kałabun, O.; Wrzosek-Jakubowska, J. Air Contamination by Mercury, Emissions and Transformations—A Review. Water Air Soil Pollut. 2017, 228, 123. [Google Scholar] [CrossRef]
- Pacyna, J.M.; Munthe, J.; Wilson, S. Global emission of mercury to the atmosphere. In AMAP/UNEP, Technical Background Report to the Global Atmospheric Mercury Assessment; Arctic Monitoring and Assessment Programme, UNEP Chemical Branch: Oslo, Norway, 2008; pp. 64–72. [Google Scholar]
- Wilson, S.; Kindbom, K.; Yaramenka, K.; Steenhuisen, F.; Telmer, K. Part A: Global Emissions of Mercury to the Atmosphere; Technical Report; UNEP/AMAP: Oslo, Norway, 2012; Available online: www.unep.org/hazardoussubstances/GlobalAtmosphericMercuryAssessment (accessed on 1 August 2018).
- Wilson, S.; Munthe, J.; Sundseth, K.; Maxson, P.; Kindbom, K.; Pacyna, J.; Steenhuisen, F. Updating Historical Global Inventories of An-Thropogenic Mercury Emissions to Air; No. 3, AMAP Technical Report; AMAP: Oslo, Norway, 2010. [Google Scholar]
- Mniszek, W.; Zielonka, U. Wskaźniki emisji rtęci do powietrza atmosferycznego. Ochr. Powietrza Probl. Odpad. 1995, 29, 178–181. [Google Scholar]
- Jędruch, A.; Falkowska, L.; Saniewska, D.; Durkalec, M.; Nawrocka, A.; Kalisińska, E.; Kowalski, A.; Pacyna, J.M. Status and trends of mercury pollution of the atmosphere and terrestrial ecosystems in Poland. Ambio 2021, 50, 1698–1717. [Google Scholar] [CrossRef]
- Skibniewski, M.; Kośla, T.; Skibniewska, E.M. Manganese status in free ranging European Bisons from Białowieża primeval forest. Bull. Vet. Inst. Pulawy 2010, 54, 429–432. [Google Scholar]
- Cui, J.; Wu, B.; Halbrook, R.S.; Zang, S. Age-dependent accumulation of heavy metals in liver, kidney and lung tissues of homing pigeons in Beijing, China. Ecotoxicology 2013, 22, 1490–1497. [Google Scholar] [CrossRef] [PubMed]
- Skibniewski, M.; Skibniewska, E.M.; Kośla, T.; Olbrych, K. Relationship between Cd and Zn concentration in the kidneys, liver, and muscles of moose (Alces alces) from north-eastern Poland. Environ. Sci. Pollut. Res. 2017, 24, 598–604. [Google Scholar] [CrossRef] [PubMed]
- García-Fernández, A.J.; Espín, S.; Gómez-Ramírez, P.; Martínez-López, E.; Navas, I. Wildlife Sentinels for Human and Environmental Health Hazards in Ecotoxicological Risk Assessment. In Ecotoxicological QSARs; Roy, K., Ed.; Methods in Pharmacology and Toxicology; Humana: New York, NY, USA, 2020. [Google Scholar]
- Chmielewski, J. Mercury. Sources of release into environment, pollution indicators, threats to human health and the role of education. Przem. Chem. 2020, 8, 1227–1233. [Google Scholar]
- Scheuhammer, A.M.; Meyer, M.W.; Sandheinrich, M.B.; Murray, M.W. Effects of environmental methylmercury on the health of wild birds, mammals, and fish. Ambio 2007, 36, 12–19. [Google Scholar] [CrossRef] [PubMed]
- Ikingura, J.R.; Akagi, H. Methylmercury production and distribution in aquatic systems. Sci. Total Environ. 1999, 234, 109–118. [Google Scholar] [CrossRef] [PubMed]
- Jiskra, M.; Sonke, J.E.; Obrist, D.; Bieser, J.; Ebinghaus, R.; Myhre, C.L.; Pfaffhuber, K.A.; Wängberg, I.; Kyllönen, K.; Worthy, D.; et al. A vegetation control on seasonal variations in global atmospheric mercury concentrations. Nat. Geosci. 2018, 11, 244–250. [Google Scholar] [CrossRef]
- Henny, C.J.; Hill, E.F.; Hoffman, D.J.; Spalding, M.G.; Grove, R.A. Nineteenth Century Mercury: Hazard to Wading Birds and Cormorants of the Carson River, Nevada. Ecotoxicology 2002, 11, 213–231. [Google Scholar] [CrossRef]
- Clarkson, T.W. Mercury: Major issues in environmental health. Environ. Health Perspect. 1992, 100, 31–38. [Google Scholar] [CrossRef]
- Atwell, L.; Hobson, K.; Welch, H.E. Biomagnification and bioaccumulation of mercury in an arctic marine food web: Insights from stable nitrogen isotope analysis. Can. J. Fish. Aquat. Sci. 1998, 55, 1114–1121. [Google Scholar] [CrossRef]
- Eisler, R. Mercury Hazards to Living Organisms, 1st ed.; CRC Press: Boca Raton, FL, USA, 2006. [Google Scholar]
- Clarkson, T.W.; Magos, L. The toxicology of mercury and its chemical compounds. Crit. Rev. Toxicol. 2006, 36, 609–662. [Google Scholar] [CrossRef]
- Mason, R. Mercury emissions from natural sources and their importance in the global mercury cycle. In Interim Report of the UNEP Global Partnership on Atmospheric Mercury Transport and Fate Research; Pirrone, N., Mason, R., Eds.; Springer: Dordrecht, The Netherlands; Berlin/Heidelberg, Germany; London, UK; New York, NY, USA, 2008; Chapter 7; pp. 173–193. [Google Scholar]
- Risher, J.F.; Murray, H.E.; Prince, G.R. Organic mercury compounds: Human exposure and its relevance to public health. Toxicol. Ind. Health 2002, 18, 109–160. [Google Scholar] [CrossRef] [PubMed]
- Ackerman, J.T.; Herzog, M.P.; Evers, D.C.; Cristol, D.A.; Kenow, K.P.; Heinz, G.H.; Lavoie, R.A.; Brasso, R.L.; Mallory, M.L.; Provencher, J.F.; et al. Synthesis of Maternal Transfer of Mercury in Birds: Implications for Altered Toxicity Risk. Environ. Sci. Technol. 2020, 54, 2878–2891. [Google Scholar] [CrossRef] [PubMed]
- Kot, K.; Kosik-Bogacka, D.; Łanocha-Arendarczyk, N.; Ciosek, Ż. The influence of mercury compounds on the human body. Farm. Współczesna 2016, 9, 210–216. [Google Scholar]
- Spalding, M.G.; Frederick, P.; McGill, H.C.; Bouton, S.N.; Richey, L.J.; Schumacher, I.M.; Blackmore, C.G.M.; Harrison, J. Histologic, neurologic, and immunologic effects of methylmercury in captive great egrets. J. Wildl. Dis. 2000, 36, 423–435. [Google Scholar] [CrossRef] [PubMed]
- Furness, R.W. Birds as monitors of pollutants. In Birds as Monitors of Environmental Change; Furness, R.W., Greenwood, J.J.D., Eds.; Chapman & Hall: London, UK, 1993; pp. 86–143. [Google Scholar]
- Thompson, D.R. Mercury in birds and terrestrial mammals. In Environmental Contaminants in Wildlife Interpreting Tissue Concentrations; Beyer, W.N., Heinz, G.H., Redmon-Norwood, A.W., Eds.; CRC Press LCC: Boca Raton, FL, USA, 1996; pp. 341–356. [Google Scholar]
- Skibniewska, E.M.; Skibniewski, M. Mercury Contents in the Liver, Kidneys and Hair of Domestic Cats from the Warsaw Metropolitan Area. Appl. Sci. 2023, 13, 269. [Google Scholar] [CrossRef]
- Kitowski, I.; Kowalski, R.; Komosa, A.; Sujak, A. Total mercury concentration in the kidneys of birds from Poland. Turk. J. Zool. 2015, 39, 693–701. [Google Scholar] [CrossRef]
- Castro, I.; Aboal, J.R.; Fernández, J.A.; Carballeira, A. Use of Raptors for Biomonitoring of Heavy Metals: Gender, Age and Tissue Selection. Bull. Environ. Contam. Toxicol. 2011, 86, 347–351. [Google Scholar] [CrossRef]
- Scheuhammer, A.M. The chronic toxicity of aluminium, cadmium, mercury, and lead in birds: A review. Environ. Pollut. 1987, 46, 263–295. [Google Scholar] [CrossRef]
- Wolfe, M.F.; Schwarzbach, S.; Sulaiman, R.A. Effects of mercury on wildlife: A comprehensive review. Environ. Toxicol. Chem. 1998, 17, 146–160. [Google Scholar] [CrossRef]
- Świergosz, R. Mercury accumulation in the muscles and feathers of pheasants, Phasianus colchicus (L. 1758). Biometals 1998, 11, 139–143. [Google Scholar] [CrossRef]
- Kenntner, N.; Tataruch, F.; Krone, O. Heavy metals in soft tissue of white-tailed eagles found dead or moribund in Germany and Austria from 1993 to 2000. Environ. Toxicol. Chem. 2001, 20, 1831–1837. [Google Scholar] [CrossRef] [PubMed]
- Komosa, A.; Kitowski, I.; Kowalski, R.; Pitucha, G.; Komosa, Z.; Grochowicz, J. Total mercury concentration in kidneys of birds of prey from different part of Poland—Some interspecies and geographical differences. Ecol. Chem. Eng. 2009, 16, 19–28. [Google Scholar]
- Ruelas-Inzunza, J.; Paez-Osuna, F. Trace Metals in tissues of resident and migratory birds from a lagoon associated with an agricultural drainage basin (SE Gulf of California). Arch. Environ. Contam. Toxicol. 2004, 47, 117–125. [Google Scholar] [CrossRef] [PubMed]
- Majidi, Y.; Bahramifar, N.; Ghasempouri, S.M. Pattern of mercury accumulation in different tissues of migratory and resident birds: Western reef heron (Egretta gularis) and Siberian gull (Larus heuglini) in Hara International Wetland—Persian Gulf. Environ. Monit. Assess. 2015, 187, 4082. [Google Scholar] [CrossRef] [PubMed]
- Wilson, S.J.; Steenhuisen, F.; Pacyna, J.M.; Pacyna, E.G. Mapping the spatial distribution of global anthropogenic mercury atmospheric emission inventories. Atmos. Environ. 2006, 40, 4621–4632. [Google Scholar] [CrossRef]
- Seewagen, C.L. Threats of environmental mercury to birds: Knowledge gaps and priorities for future research. Bird Conserv. Int. 2010, 20, 112–123. [Google Scholar] [CrossRef]
- Espín, S.; Martínez-López, E.; Gómez-Ramírez, P.; María-Mojica, P.; García-Fernández, A.J. Razorbills (Alca torda) as bioin-dicators of mercury pollution in the southwestern Mediterranean. Mar. Pollut. Bull. 2012, 64, 2461–2470. [Google Scholar] [CrossRef]
- Żarski, J.F.; Skibniewski, M.; Skibniewska, E.; Żarski, T.P.; Majdecka, T. The Presence of Mercury in the Tissues of Mallards (Anas platyrhynchos L.) from Włocławek Reservoir in Poland. Biol. Trace Elem. Res. 2017, 176, 384–390. [Google Scholar] [CrossRef] [PubMed]
- Stankovic, S.; Kalaba, P.; Stankovic, A.R. Biota as toxic metal indicators. Environ. Chem. Lett. 2014, 12, 63–84. [Google Scholar] [CrossRef]
- Stankovic, S.; Stankovic, A.R. Bioindicators of toxic metals. In Green Materials for Energy, Products and Depollution; Lichtfouse, E., Schwarzbauer, J., Robert, D., Eds.; Springer: Houten, The Netherlands, 2013; pp. 151–228. [Google Scholar]
- Bustnes, J.O.; Bardsen, B.J.; Bangjord, G.; Lierhagen, S.; Yoccoz, N.G. Temporal trends (1986–2005) of essential and non-essential elements in a terrestrial raptor in northern Europe. Sci. Total Environ. 2013, 458, 101–106. [Google Scholar] [CrossRef] [PubMed]
- Sterry, P.; Cleave, A.; Clements, A.; Goodfellow, P. Birds of Britain and Europe; Norfolk House: London, UK, 2001. [Google Scholar]
- Whitney, M.C.; Cristol, D.A. Impacts of Sublethal Mercury Exposure on Birds: A Detailed Review. In Reviews of Environmental Contamination and Toxicology; De Voogt, P., Ed.; Springer: Cham, Switzerland, 2017; pp. 113–163. [Google Scholar]
- Cristol, D.A.; Brasso, R.L.; Condon, A.M.; Fovargue, R.E.; Friedman, S.L.; Hallinger, K.K.; Monroe, A.P.; White, A.E. The Movement of Aquatic Mercury Through Terrestrial Food Webs. Science 2008, 320, 335. [Google Scholar] [CrossRef] [PubMed]
- Driscoll, C.T.; Mason, R.P.; Chan, H.M.; Jacob, D.J.; Pirrone, N. Mercury as a Global Pollutant: Sources, Pathways, and Effects. Environ. Sci. Technol. 2013, 47, 4967–4983. [Google Scholar] [CrossRef] [PubMed]
- Burger, J. Metals in avian feathers: Bioindicators of environmental pollution. In Reviews in Environmental Toxicology; Hodgson, E., Ed.; Toxicology Communications, Inc.: Raleigh, NC, USA, 1993; pp. 203–311. [Google Scholar]
- Lewis, S.A.; Furness, R.W. Mercury accumulation and excretion in laboratory reared black-headed gull, (Larus ridibundus) chicks. Arch. Environ. Contam. Toxicol. 1991, 21, 316–320. [Google Scholar] [CrossRef]
- Aloupi, M.; Ferentinou, E.; Zaharaki, O.M.; Akriotis, T. Does dilute nitric acid improve the removal of exogenous heavy metals from feathers? A comparative study towards the optimization of the cleaning procedure of feather samples prior to metal analysis. Ecotoxicol. Environ. Saf. 2020, 200, 110759. [Google Scholar] [CrossRef]
- Durkalec, M.; Martínez-Haro, M.; Nawrocka, A.; Pareja-Carrera, J.; Smits, J.E.G.; Mateo, R. Factors influencing lead, mercury and other trace element exposure in birds from metal mining areas. Environ. Res. 2022, 212, 113575. [Google Scholar] [CrossRef]
- Albertos, S.; Berenguer, N.I.; Sánchez-Virosta, P.; Gόmez-Ramírez, P.; Jiménez, P.; Torres-Chaparro, M.Y.; Valverde, I.; Navas, I.; Maía-Mojica, P.; García-Fernández, A.; et al. Mercury in birds (aquatic and scavenger) from the Western Amazon. Environ. Res. 2021, 201, 111574. [Google Scholar]
- Kidd, K.; Clayden, M.; Jardine, T. Bioaccumulation and biomagnification of mercury through food webs. In Environmental Chemistry and Toxicology of Mercury; Liu, G., Cai, Y., O’Driscoll, N., Eds.; John Wiley & Sons, Inc.: Hoboken, NJ, USA, 2012; pp. 453–499. [Google Scholar]
- Abbasi, N.A.; Jaspers, V.L.B.J.; Chaudhry, M.J.I.; Ali, S.; Malik, R.N. Influence of taxa, trophic level, and location on bioac-cumulation of toxic metals in bird’s feathers: A preliminary biomonitoring study using multiple bird species from Pakistan. Chemosphere 2015, 120, 527–537. [Google Scholar] [CrossRef]
- Berglund, Å.M.M.; Koivula, M.J.; Tapio, E. Species- and age-related variation in metal exposure and accumulation of two passerine bird species. Environ. Pollut. 2011, 159, 2368–2374. [Google Scholar] [CrossRef]
- Jerzak, L. Synurbanization of the magpie in the Palearctic. In Avian Ecology and Conservation in an Urbanizing World; Marzluff, J.M., Bowman, R., Donnelly, R., Eds.; Springer: Boston, MA, USA, 2001; pp. 403–425. [Google Scholar]
- Kang, W.; Lee, D.; Park, C.-R. Nest distribution of magpies Pica pica sericea as related to habitat connectivity in an urban environment. Landsc. Urban Plan. 2012, 104, 212–219. [Google Scholar] [CrossRef]
- Bengtsson, K. Which Wood Pigeon Columba palumbus clutches generate young? Ornis Svec. 2001, 11, 99–101. [Google Scholar]
- Tomiałojć, L. The Corvid impact on various Woodpigeon populations. In Ptaki Krukowate Polski; Jerzak, L., Kavanagh, B.P., Tryjanowski, P., Eds.; Bogucki Wydawnictwo Naukowe: Poznan, Poland, 2005; pp. 215–229. [Google Scholar]
- Sakhvon, V.; Kövér, L. Distribution and habitat preferences of the urban Woodpigeon (Columba palumbus) in the north-eastern breeding range in Belarus. Landsc. Urban Plan. 2020, 201, 103846. [Google Scholar] [CrossRef]
- Holt, G.; Frøslie, A.; Norheim, G. Mercury, DDE, and PCB in the avian fauna in Norway 1965–1976. Acta Vet. Scand. (Suppl.) 1979, 70, 1–28. [Google Scholar]
- Puls, R. Mineral Levels in Animal Health: Diagnostic Data, 2nd ed.; Sherpa International: Clearbrook, UK, 1988; p. 240. [Google Scholar]
- Finley, M.T.; Stendell, R.C. Survival and reproductive success of black ducks fed methyl mercury. Environ. Pollut. 1978, 16, 51–64. [Google Scholar] [CrossRef]
- Shore, R.F.; Pereira, E.; Walker, L.A.; Thompson, D.R. Mercury in nonmarine birds and mammals. In Environmental Contaminants in Biota: Interpreting Tissue Concentrations, 2nd ed.; Beyer, W.N., Meador, J.P., Eds.; CRC Press: Boca Raton, FL, USA, 2011; pp. 609–626. [Google Scholar]
- Zillioux, E.; Porcella, D.B.; Benoit, J.M. Mercury cycling and effects in freshwater wetland ecosystems. Environ. Toxicol. Chem. 1993, 12, 2245–2264. [Google Scholar] [CrossRef]
- Eagles-Smith, C.A.; Ackerman, J.T.; Adelsbach, T.L.; Takekawa, J.Y.; Miles, A.K.; Keister, R.A. Mercury correlations among six tissues for four waterbird species breeding in San Francisco Bay, California, USA. Environ. Toxicol. Chem. 2008, 27, 2136–2153. [Google Scholar] [CrossRef]
- Scheuhammer, A.M.; Basu, N.; Burgess, N.M.; Elliott, J.E.; Campbell, G.D.; Wayland, M.; Champoux, L.; Rodrigue, J. Relationships among mercury, selenium, and neurochemical parameters in common loons (Gavia immer) and bald eagles (Haliaeetus leucocephalus). Ecotoxicology 2008, 17, 93–101. [Google Scholar] [CrossRef]
- Ackerman, J.T.; Eagles-Smith, C.A.; Herzog, M.P.; Hartman, C.A.; Peterson, S.H.; Evers, D.C.; Jackson, A.K.; Elliott, J.E.; Pol, S.S.V.; Bryan, C.E. Avian mercury exposure and toxicological risk across western North America: A synthesis. Sci. Total Environ. 2016, 568, 749–769. [Google Scholar] [CrossRef]
- Heinz, G.H.; Hoffman, D.J.; Klimstra, J.D.; Stebbins, K.R.; Kondrad, S.L.; Erwin, C.A. Species Differences in the Sensitivity of Avian Embryos to Methylmercury. Arch. Environ. Contam. Toxicol. 2009, 56, 129–138. [Google Scholar] [CrossRef]


| Organ Examined | N | Arithmetic Mean | Median | Min | Max | Q1 | Q3 | SD |
|---|---|---|---|---|---|---|---|---|
| Pectoral muscle | 18 | 0.0010 | 0.0010 | 0.000 | 0.003 | 0.000 | 0.002 | 0.001 |
| Femoral muscle | 0.0011 | 0.0010 | 0.000 | 0.004 | 0.000 | 0.002 | 0.001 | |
| Heart | 0.0020 | 0.0015 | 0.000 | 0.006 | 0.001 | 0.003 | 0.001 | |
| Liver | 0.0047 | 0.0025 | 0.000 | 0.030 | 0.001 | 0.004 | 0.007 | |
| Kidney | 0.0068 | 0.0025 | 0.000 | 0.035 | 0.002 | 0.006 | 0.009 |
| Organ Examined | N | Arithmetic Mean | Median | Min | Max | Q1 | Q3 | SD |
|---|---|---|---|---|---|---|---|---|
| Pectoral muscle | 22 | 0.0029 | 0.0025 | 0.000 | 0.006 | 0.001 | 0.005 | 0.002 |
| Femoral muscle | 0.0037 | 0.0030 | 0.000 | 0.009 | 0.001 | 0.007 | 0.003 | |
| Heart | 0.0064 | 0.0055 | 0.001 | 0.017 | 0.002 | 0.009 | 0.004 | |
| Liver | 0.0205 | 0.0150 | 0.001 | 0.050 | 0.003 | 0.032 | 0.018 | |
| Kidney | 0.0250 | 0.0220 | 0.001 | 0.055 | 0.002 | 0.046 | 0.021 |
| Organ Examined | Femoral Muscle | Heart | Liver | Kidney |
|---|---|---|---|---|
| Pectoral muscle Femoral muscle Heart Liver | 0.9789 ** | 0.8749 ** | 0.7019 ** | 0.8139 ** |
| 0.8975 ** | 0.7153 ** | 0.8193 ** | ||
| 0.6075 ** | 0.7658 ** | |||
| 0.8002 ** |
| Organ Examined | Femoral Muscle | Heart | Liver | Kidney |
|---|---|---|---|---|
| Pectoral muscle Femoral muscle Heart Liver | 0.8803 ** | 0.6724 ** | 0.6279 ** | 0.6362 ** |
| 0.6603 ** | 0.7395 ** | 0.6880 ** | ||
| 0.6449 ** | 0.6174 ** | |||
| 0.9571 ** |
Disclaimer/Publisher’s Note: The statements, opinions and data contained in all publications are solely those of the individual author(s) and contributor(s) and not of MDPI and/or the editor(s). MDPI and/or the editor(s) disclaim responsibility for any injury to people or property resulting from any ideas, methods, instructions or products referred to in the content. |
© 2023 by the authors. Licensee MDPI, Basel, Switzerland. This article is an open access article distributed under the terms and conditions of the Creative Commons Attribution (CC BY) license (https://creativecommons.org/licenses/by/4.0/).
Share and Cite
Skibniewska, E.M.; Skibniewski, M. The Total Mercury Concentration in Organs of Eurasian Magpies (Pica pica) and Common Woodpigeons (Columba palumbus) from the Warsaw Municipal Area. Animals 2023, 13, 575. https://doi.org/10.3390/ani13040575
Skibniewska EM, Skibniewski M. The Total Mercury Concentration in Organs of Eurasian Magpies (Pica pica) and Common Woodpigeons (Columba palumbus) from the Warsaw Municipal Area. Animals. 2023; 13(4):575. https://doi.org/10.3390/ani13040575
Chicago/Turabian StyleSkibniewska, Ewa M., and Michał Skibniewski. 2023. "The Total Mercury Concentration in Organs of Eurasian Magpies (Pica pica) and Common Woodpigeons (Columba palumbus) from the Warsaw Municipal Area" Animals 13, no. 4: 575. https://doi.org/10.3390/ani13040575
APA StyleSkibniewska, E. M., & Skibniewski, M. (2023). The Total Mercury Concentration in Organs of Eurasian Magpies (Pica pica) and Common Woodpigeons (Columba palumbus) from the Warsaw Municipal Area. Animals, 13(4), 575. https://doi.org/10.3390/ani13040575

