Classification Performance of Machine Learning Methods for Identifying Resistance, Resilience, and Susceptibility to Haemonchus contortus Infections in Sheep
Abstract
Simple Summary
Abstract
1. Introduction
2. Materials and Methods
2.1. Data Set
2.2. Sampling Technique
2.3. Classification Models
2.4. Classification Performance Metrics
2.5. Extrapolating Classification across Farms
3. Results
3.1. Prediction Models
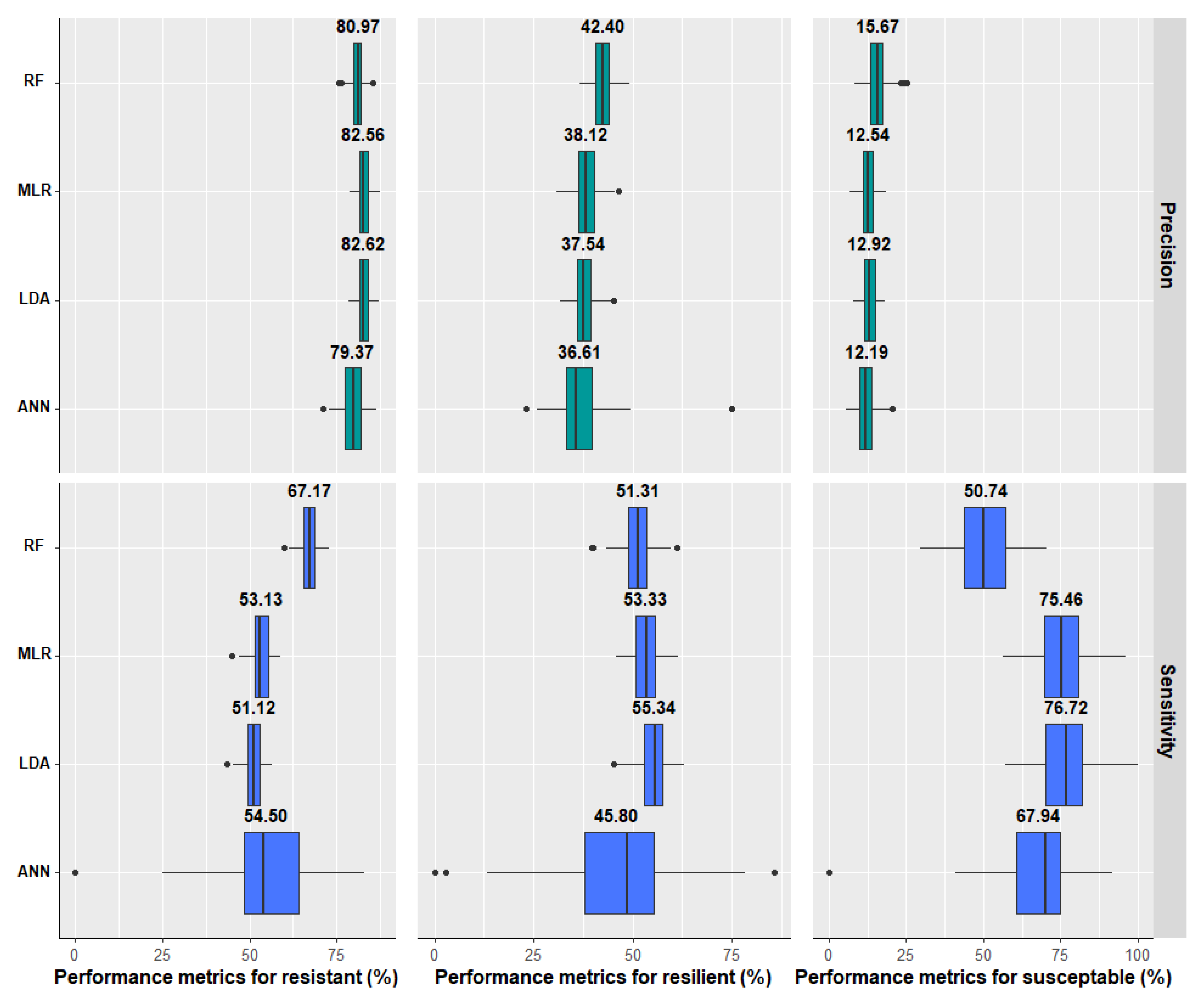
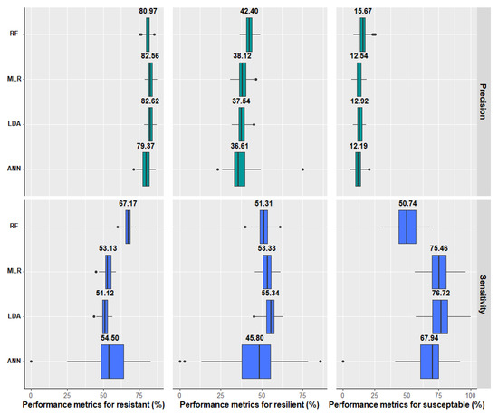
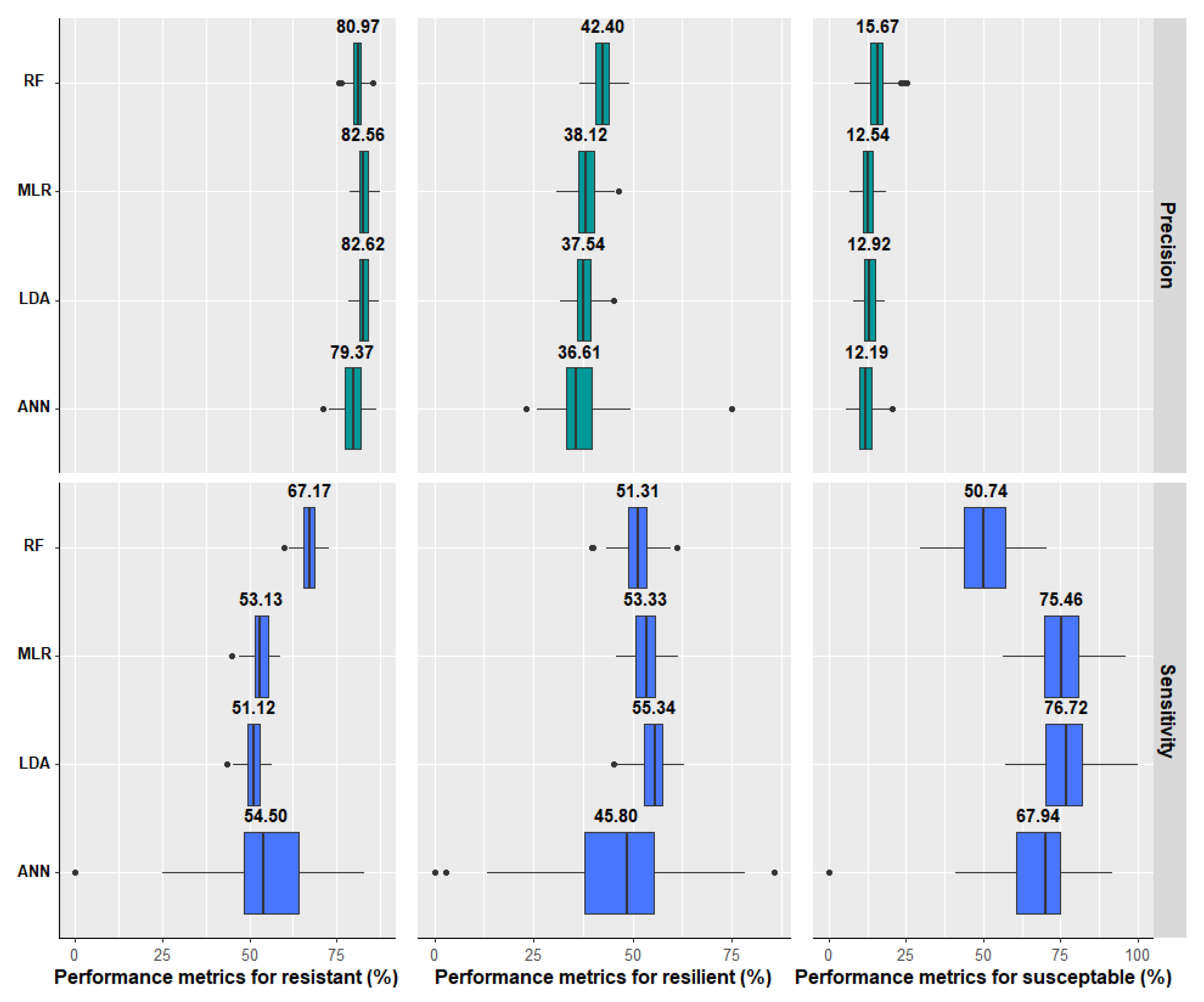
3.2. Classification Performance of Leave-One-Farm-Out Cross-Validation Technique
4. Discussion
5. Conclusions
Supplementary Materials
Author Contributions
Funding
Institutional Review Board Statement
Informed Consent Statement
Data Availability Statement
Acknowledgments
Conflicts of Interest
References
- Mavrot, F.; Hertzberg, H.; Torgerson, P. Effect of gastro-intestinal nematode infection on sheep performance: A systematic review and meta-analysis. Parasites Vectors 2015, 8, 557. [Google Scholar] [CrossRef] [PubMed]
- Méndez-Ortíz, F.A.; Sandoval-Castro, C.A.; Vargas-Magaña, J.J.; Sarmiento-Franco, L.; Torres-Acosta, J.F.J.; Ventura-Cordero, J. Impact of gastrointestinal parasitism on dry matter intake and live weight gain of lambs: A meta-analysis to estimate the metabolic cost of gastrointestinal nematodes. Vet. Parasitol. 2019, 265, 1–6. [Google Scholar] [CrossRef] [PubMed]
- Torres-Acosta, J.F.; Hoste, H.; Sandoval-Castro, C.A.; Torres-Fajardo, R.A.; Ventura-Cordero1, J.; González-Pech, P.G.; Mancilla-Montelongo, M.G.; Ojeda-Robertos, N.F.; Martínez-Ortíz-de-Montellano, C. The “Art of War” against gastrointestinal nematodes in sheep and goat herds of the tropics. Rev. Acad. Ciênc. Anim. 2019, 17, 39–46. [Google Scholar]
- Chagas, A.C.S.; Tupy, O.; Santos, I.B.; Esteves, S.N. Economic impact of gastrointestinal nematodes in Morada Nova sheep in Brazil. Braz. J. Vet. Parasitol. 2022, 31, e008722. [Google Scholar] [CrossRef]
- Adduci, I.; Sajovitz, F.; Hinney, B.; Lichtmannsperger, K.; Joachim, A.; Wittek, T.; Yan, S. Haemonchosis in Sheep and Goats, Control Strategies and Development of Vaccines against Haemonchus contortus. Animals 2022, 12, 2339. [Google Scholar] [CrossRef]
- Szewc, M.; Waal, T.; Zintl, A. Biological methods for the control of gastrointestinal nematodes. Vet. J. 2021, 268, 105602. [Google Scholar] [CrossRef]
- Charlier, J.; Rinaldi, L.; Musella, V.; Ploeger, H.W.; Chartier, C.; Rose Vineer, H.; Hinney, B.; Von Samson-Himmelstjerna, G.; Băcescu, B.; Mickiewicz, M.; et al. Initial assessment of the economic burden of major parasitic helminth infections to the ruminant livestock industry in Europe. Prev. Vet. Med. 2020, 182, 300–304. [Google Scholar] [CrossRef]
- Alba-Hurtado, F.; Muñoz-Guzmán, M.A. Immune Responses Associated with Resistance to Haemonchosis in Sheep. BioMed Res. Int. 2013, 2013, 162158. [Google Scholar] [CrossRef]
- Palomo-Couoh, J.G.; Aguilar-Caballero, A.J.; Torres-Acosta, J.F.; Magaña-Monforte, J.G. Evaluation of different models to segregate Pelibuey and Katahdin ewes into resistant or susceptible to gastrointestinal nematodes. Trop. Anim. Health Prod. 2016, 48, 1517–1524. [Google Scholar] [CrossRef]
- Amarante, A.F.; Bricarello, P.A.; Rocha, R.A.; Gennari, S.M. Resistance of Santa Ines, Suffolk and Ile de France sheep to naturally acquired gastrointestinal nematode infections. Vet. Parasitol. 2004, 120, 91–106. [Google Scholar] [CrossRef]
- Woolaston, R.R.; Baker, R.L. Prospects of breeding small ruminants for resistance to internal parasites. Int. J. Parasitol. 1996, 26, 845–855. [Google Scholar] [CrossRef] [PubMed]
- Albers, G.A.A.; Gray, G.D.; Piper, L.R.; Barker, J.S.F.; Jambre, L.F.L.; Barger, I.A. The genetics of resistance and resilience to Haemonchus contortus infection in young Merino sheep. Int. J. Parasitol. 1987, 17, 1355–1363. [Google Scholar] [CrossRef] [PubMed]
- Bishop, S.C. A consideration of resistance and tolerance for ruminant nematode infections. Front. Genet. 2012, 3, 62–68. [Google Scholar] [CrossRef] [PubMed]
- Pollot, G.E.; Karlsson, L.J.E.; Eady, S.; Greeff, J.C. Genetic parameters for indicators of host resistance to parasites from weaning to hogget age in Merino sheep. J. Anim. Sci. 2004, 82, 2852–2864. [Google Scholar] [CrossRef]
- McManus, C.; Paim, T.P.; Melo, C.B.; Brasil, B.S.A.F.; Paiva, S.R. Selection methods for resistance to and tolerance of helminths in livestock. Parasite 2014, 21, 56. [Google Scholar] [CrossRef]
- Marques, C.A.T.; Saraiva, L.A.; Torreao, J.N.C.; Silva, T.P.D.; Bezerra, L.R.; Edvan, R.L.; Marcos, J.A.; Romilda, R.N. The use of targeted selective treatments on controlling gastrointestinal nematodes in different sheep categories under grazing system. Pesq. Vet. Bras. 2018, 38, 470–476. [Google Scholar] [CrossRef]
- Goldstein, B.A.; Navar, A.M.; Carter, R.E. Moving beyond regression techniques in cardiovascular risk prediction: Applying machine learning to address analytic challenges. Eur. Heart J. 2017, 38, 1805–1814. [Google Scholar] [CrossRef]
- Mullainathan, S.; Spiess, J. Machine learning: An applied econometric approach. J. Econ. Perspect. 2017, 31, 87–106. [Google Scholar] [CrossRef]
- Andrade, V.V.; Bernardes, P.A.; Vicentini, R.R.; Oliveira, A.P.; Veroneze, R.; Ujita, A.; Negrão, J.A.; El Faro, L. Estrus prediction models for dairy gyr heifers. Animals 2021, 11, 3103. [Google Scholar] [CrossRef]
- Bollig, N.; Clarke, L.; Elsmo, E.; Craven, M. Machine learning for syndromic surveillance using veterinary necropsy reports. PLoS ONE 2020, 15, e0228105. [Google Scholar] [CrossRef]
- Moawed, S.A.; Osman, M. The Robustness of Binary Logistic Regression and Linear Discriminant Analysis for the Classification and Differentiation between Dairy Cows and Buffaloes. J. Stat. Appl. Probab. 2017, 7, 304–310. [Google Scholar] [CrossRef]
- Gordon, H.M.; Whitlock, H.V. A new technique for counting nematode eggs in sheep feces. J. Sci. Ind. Res. 1939, 12, 50–52. [Google Scholar]
- Roberts, F.H.S.; O’Sullivan, J.P. Methods for egg counts and larval cultures for Strongyles infesting the gastrointestinal tract cattle. Aust. J. Agric. Res. 1950, 1, 99–102. [Google Scholar] [CrossRef]
- Oliveira, E.J.; Savegnago, R.P.; Freitas, L.A.; Freitas, A.P.; Maia, S.R.; Simili, F.F.; EL Faro, L.; Costa, R.L.D.; Santana, M.L.J.; Paz, C.C.P. Estimates of genetic parameters and cluster analysis for worm resistance and resilience in Santa Ines meat sheep. Pesq. Agropec. Bras. 2018, 53, 1338–1345. [Google Scholar] [CrossRef]
- Schalm, O.W.; Jain, N.C.; Carrol, E.J. Veterinary Haematology, 3rd ed.; Lea and Febiger Publication: Philadelphia, PA, USA, 1975; pp. 197–199. [Google Scholar]
- Thompson, J.M.; Meyer, H.H. Body Condition Scoring of Sheep; Oregon State University, Extension Service: Corvallis, OR, USA, 1994. [Google Scholar]
- Oliveira, E.J.; Savegnago, R.P.; Freitas, A.P.; Freitas, L.A.; Paz, A.C.A.R.; El Faro, L.; Simili, F.F.; Vercesi Filho, A.E.; Costa, R.L.D.; Paz, C.C.P. Genetic parameters for body weight and morphometric traits in Santa Ines sheep using Bayesian inference. Small Rum. Res. 2021, 201, 106446. [Google Scholar] [CrossRef]
- Van Wyk, J.A.; Bath, G.F. The FAMACHA system for managing haemonchosis in sheep and goats by clinically identifying individual animals for treatment. Vet. Res. 2002, 33, 509–529. [Google Scholar] [CrossRef]
- Liaw, A.; Wiener, M. Classification and Regression by randomForest. R News 2002, 2, 18–22. [Google Scholar]
- Venables, W.N.; Ripley, B.D. Modern Applied Statistics with S, 4th ed.; Springer: New York, NY, USA, 2002; pp. 271–300. [Google Scholar] [CrossRef]
- Fan, J.; Upadhye, S.; Worster, A. Understanding receiver operating characteristic (ROC) curves. Can. J. Emerg. Med. 2006, 8, 19–20. [Google Scholar] [CrossRef]
- Hosmer, D.W.; Lemeshow, S. Applied Logistic Regression, 2nd ed.; John Wiley and Sons: New York, NY, USA, 2000; pp. 160–164. [Google Scholar] [CrossRef]
- Dorea, J.R.R.; Rosa, G.J.M.; Weld, K.; Armentano, L. Mining data from milk infrared spectroscopy to improve feed intake predictions in lactating dairy cows. Int. J. Dairy Sci. 2018, 101, 5878–5889. [Google Scholar] [CrossRef]
- Shetty, N.; Løvendahl, P.; Lund, M.; Buitenhuis, A. Prediction and validation of residual feed intake and dry matter intake in Danish lactating dairy cows using mid-infrared spectroscopy of milk. J. Dairy Sci. 2017, 100, 253–264. [Google Scholar] [CrossRef]
- Cornelius, M.P.; Jacobson, C.; Besier, R.B. Body condition score as a selection tool for targeted selective treatment-based nematode control strategies in Merino ewes. Vet. Parasitol. 2014, 206, 173–181. [Google Scholar] [CrossRef] [PubMed]
- Soto-Barrientos, N.; Chan-Pérez, J.I.; España-España, E.; Novelo-Chi, L.; Palma-Ávila, I.; Ceballos-Mendoza, A.; Sarabia-Hernández, J.A.; Santos-Ricalde, R.H.; Cámara-Sarmiento, R.; Torres-Acosta, J.F. Comparing body condition score and FAMACHA© to identify hair-sheep ewes with high faecal egg counts of gastrointestinal nematodes in farms under hot tropical conditions. Small Rumin. Res. 2018, 167, 92–99. [Google Scholar] [CrossRef]
- Lambertz, C.; Poulopoulou, I.; Wuthijaree, K.; Gauly, M. Anthelmintic resistance in gastrointestinal nematodes in sheep raised under mountain farming conditions in Northern Italy. Vet. Rec. Open 2019, 6, e000332. [Google Scholar] [CrossRef] [PubMed]
- Burke, J.M.; Miller, J.E. Sustainable approaches to parasite control in ruminant livestock. Vet. Clin. N. Am. Food Anim. Pract. 2020, 36, 89–107. [Google Scholar] [CrossRef]
- Hoglund, J.; Baltrusis, P.; Enweji, N.; Gustafsson, K. Signs of multiple anthelmintic resistance in sheep gastrointestinal nematodes in Sweden. Vet. Parasitol. Reg. Stud. Rep. 2022, 36, 100789. [Google Scholar] [CrossRef]
- Dos Santos, I.B.; Anholeto, L.A.; de Sousa, G.A.; da Silva Nucci, A.; Gainza, Y.A.; Figueiredo, A.; Dos Santos, L.A.L.; Minho, A.P.; Barioni-Junior, W.; Esteves, S.N.; et al. Investigating the benefits of targeted selective treatment according to average daily weight gain against gastrointestinal nematodes in Morada Nova lambs. Parasitol. Res. 2022, 121, 2433–2444. [Google Scholar] [CrossRef]


| Performance Metrics | Model 2 | ||||
|---|---|---|---|---|---|
| MLR | LDA | RF | ANN | ||
| AUC 1 | 0.78 (0.02) | 0.78 (0.02) | 0.77 (0.02) | 0.73 (0.04) | |
| Accuracy | Resistant | 0.63 (0.02) | 0.62 (0.02) | 0.63 (0.02) | 0.59 (0.03) |
| Resilient | 0.62 (0.02) | 0.62 (0.02) | 0.63 (0.02) | 0.58(0.03) | |
| Susceptible | 0.80 (0.04) | 0.80 (0.04) | 0.71 (0.05) | 0.76 (0.05) | |
Disclaimer/Publisher’s Note: The statements, opinions and data contained in all publications are solely those of the individual author(s) and contributor(s) and not of MDPI and/or the editor(s). MDPI and/or the editor(s) disclaim responsibility for any injury to people or property resulting from any ideas, methods, instructions or products referred to in the content. |
© 2023 by the authors. Licensee MDPI, Basel, Switzerland. This article is an open access article distributed under the terms and conditions of the Creative Commons Attribution (CC BY) license (https://creativecommons.org/licenses/by/4.0/).
Share and Cite
Freitas, L.A.; Savegnago, R.P.; Alves, A.A.C.; Costa, R.L.D.; Munari, D.P.; Stafuzza, N.B.; Rosa, G.J.M.; Paz, C.C.P. Classification Performance of Machine Learning Methods for Identifying Resistance, Resilience, and Susceptibility to Haemonchus contortus Infections in Sheep. Animals 2023, 13, 374. https://doi.org/10.3390/ani13030374
Freitas LA, Savegnago RP, Alves AAC, Costa RLD, Munari DP, Stafuzza NB, Rosa GJM, Paz CCP. Classification Performance of Machine Learning Methods for Identifying Resistance, Resilience, and Susceptibility to Haemonchus contortus Infections in Sheep. Animals. 2023; 13(3):374. https://doi.org/10.3390/ani13030374
Chicago/Turabian StyleFreitas, Luara A., Rodrigo P. Savegnago, Anderson A. C. Alves, Ricardo L. D. Costa, Danisio P. Munari, Nedenia B. Stafuzza, Guilherme J. M. Rosa, and Claudia C. P. Paz. 2023. "Classification Performance of Machine Learning Methods for Identifying Resistance, Resilience, and Susceptibility to Haemonchus contortus Infections in Sheep" Animals 13, no. 3: 374. https://doi.org/10.3390/ani13030374
APA StyleFreitas, L. A., Savegnago, R. P., Alves, A. A. C., Costa, R. L. D., Munari, D. P., Stafuzza, N. B., Rosa, G. J. M., & Paz, C. C. P. (2023). Classification Performance of Machine Learning Methods for Identifying Resistance, Resilience, and Susceptibility to Haemonchus contortus Infections in Sheep. Animals, 13(3), 374. https://doi.org/10.3390/ani13030374

