The Socioeconomic Impact of Diseases of Working Equids in Low and Middle-Income Countries: A Critical Review
Abstract
Simple Summary
Abstract
1. Introduction
2. Materials and Methods
2.1. Study Design
2.2. Search Strategy
2.3. Information Sources
2.4. Eligibility Criteria for Publications
2.5. Screening of Sources of Evidence, Data Extraction and Data Items
3. Results
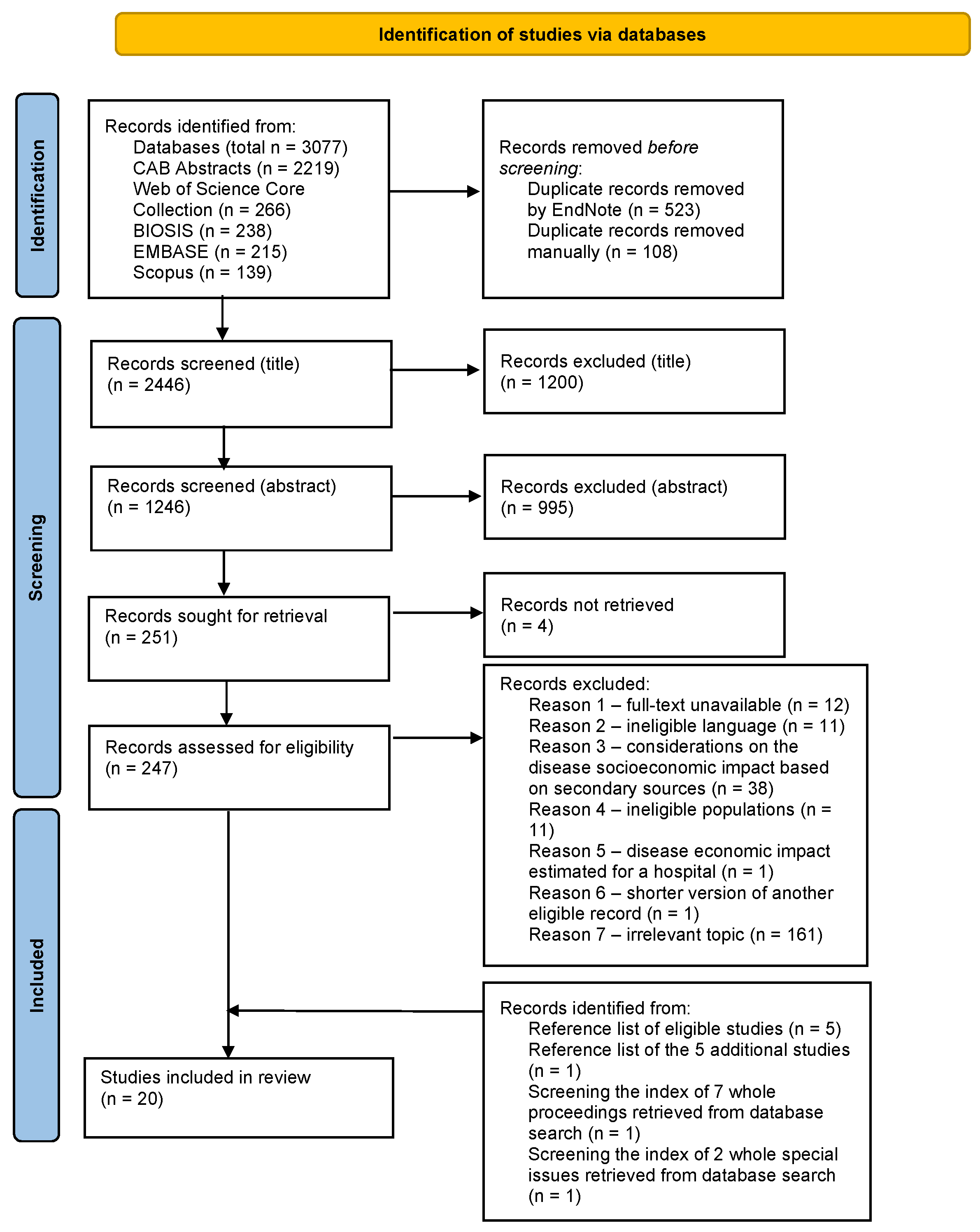
3.1. Identification of Eligible Publications
3.2. Features of the Sources of Evidence
3.3. Synthesis of Results
4. Discussion
4.1. Considerations on Species of Working Equids
4.2. Considerations on Diseases
4.2.1. Infectious Diseases
4.2.2. Non-Infectious Diseases
4.2.3. Other Diseases
4.2.4. Zoonotic Diseases
4.3. Methods
4.4. Socioeconomic Effects of Working Equid Diseases on the Livelihoods and Health of Women
4.5. Study Setting
4.6. Authors
4.7. Funding
4.8. Socioeconomic Effects of Working Equid Diseases: The ‘One Health’ Perspective
4.9. Study Limitations
5. Future Directions
5.1. Recommendations for Future Research
5.2. Recommendations for Policy and Interventions
- Improving the surveillance of working equid diseases with provision of regular reports to WOAH.
- Promoting funding allocation for prevention and control of working equid diseases, especially in conflict affected areas where charities are not operative. This could be achieved through immunisation campaigns, distribution of drugs and equipment to government clinics and extension agents, education of owners, veterinary staff and community animal health workers on working equid care, biosecurity and sustainable harness, training and enforcement of drug store workers. Provision of free veterinary services where communities are particularly vulnerable should be considered.
- Inclusion of health and welfare of working equids within curricula for community animal health workers, veterinary and agricultural degrees.
- Ensuring that women, people with disabilities, chronic illnesses, and minorities benefit from programmes targeting working equids.
6. Conclusions
Supplementary Materials
Author Contributions
Funding
Institutional Review Board Statement
Informed Consent Statement
Data Availability Statement
Acknowledgments
Conflicts of Interest
References
- Valette, D. Invisible Workers. The Economic Contributions of Working Donkeys, Horses and Mules to Livelihoods. 2015. Available online: https://www.thebrooke.org/research-evidence/invisible-workers-economic-contribution-working-equids-livelihoods (accessed on 22 May 2022).
- Pinsky, T.C.; Puja, I.K.; Aleri, J.; Hood, J.; Sasadara, M.M.; Collins, T. A pilot welfare assessment of working ponies on Gili Trawangan, Indonesia. Animals 2019, 9, 433. [Google Scholar] [CrossRef] [PubMed]
- Brooke at a Glance. 2022. Available online: https://www.thebrooke.org/about-us/brooke-glance (accessed on 4 January 2022).
- FAOSTAT. Crops and Livestock Products. 2022. Available online: https://www.fao.org/faostat/en/#data/QCL (accessed on 20 January 2022).
- Asfaw, H.; Tadesse, G. Economic Contribution of Cart Horses to the Livelihoods of Families in Gondar Town Ethiopia. Momona Ethiop. J. Sci. 2020, 12, 135–147. [Google Scholar] [CrossRef]
- Fall, A. The Role of Work Animals in Semi-Arid West Africa: Current Use and Their Potential for Future Contributions. In Working Animals in Agriculture and Transport: A Collection of Some Current Research and Development Observations; Pearson, R.A., Lhoste, P., Saastamoinen, M., Martin-Rosset, W., Eds.; Wageningen Academic Publishers: Wageningen, Germany, 2003; pp. 27–37. [Google Scholar]
- Vall, E.; Lhoste, P. Animal power in the West and Central Francophone zone of Africa in a renewed context: The issues for development and research achievements. In Working Animals in Agriculture and Transport a Collection of Some Current Research and Development Observations; Pearson, R.A., Lhoste, P., Saastamoinen, M., Martin-Rosset, W., Eds.; Wageningen Academic Publishers: Wageningen, Germany, 2003; pp. 13–25. [Google Scholar]
- Binda, K.A. Donkey’s Worth in South Africa: Domestic Laborer or Export Product; Socioeconomic Impacts of China’s Skin Trade on South African donkey Owners. Master Thesis, Charles University in Prague, Prague, Czech Republic. Academic Year 2018/2019. Available online: https://dspace.cuni.cz/bitstream/handle/20.500.11956/107511/120330213.pdf?sequence=1 (accessed on 21 June 2022).
- Zaman, S.; Kumar, A.; Compston, P. Contribution of working equids to the livelihoods of their owners in Uttar Pradesh, India. In How Do We Demonstrate the Importance of Working Equid Welfare to Human Livelihoods? Proceedings of the 7th International Colloquium on Working Equids, Royal Holloway, University of London, London, UK, 1–3 July 2014; World Horse Welfare: Snetterton, UK, 2014; pp. 19–23. [Google Scholar]
- Vasanthakumar, M.A.; Upjohn, M.M.; Watson, T.L.; Dwyer, C.M. All My Animals Are Equal, but None Can Survive without the Horse. The Contribution of Working Equids to the Livelihoods of Women across Six Communities in the Chimaltenango Region of Guatemala. Animals 2021, 11, 1509. [Google Scholar] [CrossRef] [PubMed]
- Gebreab, F.; Wold, A.G.; Kelemu, F.; Ibro, A.; Yilma, K. Donkey utilization and management in Ethiopia. In Donkeys, People and Development. A Resource Book in the Animal Traction Network for Eastern and Southern Africa (ATNESA); Starkey, P., Fielding, D., Eds.; ACP-EU Technical Centre for Agricultural and Rural Cooperation (CTA): Wageningen, Germany, 2004; pp. 46–52. [Google Scholar]
- Gichure, M.; Onono, J.; Wahome, R.; Gathura, P. Analysis of the benefits and production challenges of working donkeys in smallholder farming systems in Kenya. Vet. World 2020, 13, 2346–2352. [Google Scholar] [CrossRef]
- Abdul Rahman, A.; Reed, K. The management and welfare of working animals: Identifying problems, seeking solutions and anticipating the future. Rev. Sci. Tech. Off. 2014, 33, 197–202. [Google Scholar] [CrossRef] [PubMed]
- Shah SZ, A.; Nawaz, Z.; Nawaz, S.; Carder, G.; Ali, M.; Soomro, N.; Compston, P.C. The Role and Welfare of Cart Donkeys Used in Waste Management in Karachi, Pakistan. Animals 2019, 9, 159. [Google Scholar] [CrossRef] [PubMed]
- Angara, T.E.E.; Ismail, A.A.; Ibrahim, A.M. The role of donkeys in income generation and the impact of endoparasites on their performance. Univ. Khartoum Vet. J. Vet. Med. Anim. Prod. 2011, 2, 65–89. [Google Scholar]
- Pritchard, J. What role do equids play in human livelihoods–and how well is this currently recognised. In How Do We Demonstrate the Importance of Working Equid Welfare to Human Livelihoods? Proceedings of the 7th International Colloquium on Working Equids, Royal Holloway, University of London, London, UK, 1–3 July 2014; World Horse Welfare: Snetterton, UK, 2014; pp. 2–6. [Google Scholar]
- The Seventeen Goals. 2022. Available online: https://sdgs.un.org/goals (accessed on 13 August 2023).
- Stringer, A. Improving animal health for poverty alleviation and sustainable livelihoods. Vet. Rec. 2014, 175, 526–529. [Google Scholar] [CrossRef]
- Upjohn, M.M.; Pfeiffer, D.U.; Verheyen, K.L.P. Helping working Equidae and their owners in developing countries: Monitoring and evaluation of evidence-based interventions. Vet. J. 2014, 199, 210–216. [Google Scholar] [CrossRef]
- Whay, H.R.; Dikshit, A.K.; Hockenhull, J.; Parker, R.M.; Banerjee, A.; Hughes, S.I.; Pritchard, J.C.; Reix, C.E. Evaluation of Changes in Equine Care and Limb-Related Abnormalities in Working Horses in Jaipur, India, as Part of a Two Year Participatory Intervention Study. PLoS ONE 2015, 10, e0126160. [Google Scholar] [CrossRef]
- Caselani, K.; de Oliveira, P.R.; Ferraudo, A.S.; Lima-Ribeiro, A.M.C.; Gìrio, R.G.S. Leptospirosis seroepidemiological study in horses used for urban traction. Rev. Inst. Adolfo Lutz 2012, 71, 582–587. [Google Scholar] [CrossRef]
- Dressie, D.; Temesgen, W.; Yenew, M. Study on Welfare of Cart Pulling Mule in Bahir Dar Town, Norhtwest Ethiopia. Rep. Opinion 2017, 9, 73–86. [Google Scholar]
- Wells, D.; Krecek, R.C. Socioeconomic, health and management aspects of working donkeys in Moretele 1, North West Province, South Africa. J. S. Afr. Vet. Assoc. 2001, 72, 37–43. [Google Scholar] [CrossRef] [PubMed][Green Version]
- Perry, B. We must tie equine welfare to international development. Vet. Rec. 2017, 181, 600–601. [Google Scholar] [CrossRef] [PubMed]
- Valette, D. Invisible Helpers. Women’s Views on the Contributions of Working Donkeys, Horses and Mules to Their Lives. 2015. Available online: https://www.thebrooke.org/sites/default/files/Advocacy-and-policy/Invisible-Helpers.pdf (accessed on 20 March 2022).
- Animal Diseases. 2021. Available online: https://www.oie.int/en/what-we-do/animal-health-and-welfare/animal-diseases/?_tax_animal=terrestrials%2Cequine (accessed on 28 May 2022).
- Gibbs, E.P.J. The evolution of One Health: A decade of progress and challenges for the future. Vet. Rec. 2014, 174, 85–91. [Google Scholar] [CrossRef] [PubMed]
- Zinsstag, J.; Crump, L. Advancing integrated approaches to health through the new transdisciplinary CABI One Health resources. CABI One Health 2022. [Google Scholar] [CrossRef]
- Lönker, N.S.; Fechner, K.; Abd El Wahed, A. Horses as a Crucial Part of One Health. Vet. Sci. 2020, 7, 28. [Google Scholar] [CrossRef]
- De Klerk, J.N.; Quan, M.; Grewar, J.D. Socioeconomic impacts of working horses in urban and peri-urban areas of the Cape Flats, South Africa. J. S. Afr. Vet. Assoc. 2020, 91, 1–11. [Google Scholar] [CrossRef]
- Rodrigues, J.B.; Sullivan, R.J.E.; Judge, A.; Norris, S.L.; Burden, F.A. Quantifying poor working equid welfare in Nepalese brick kilns using a welfare assessment tool. Vet. Rec. 2020, 187, 445. [Google Scholar] [CrossRef]
- Wild, I.; Gedge, A.; Burridge, J.; Burford, J. The Impact of COVID-19 on the Working Equid Community: Responses from 1530 Individuals Accessing NGO Support in 14 Low- and Middle-Income Countries. Animals 2021, 11, 1363. [Google Scholar] [CrossRef]
- Bonsi, M.; Anderson, N.E.; Carder, G. The socioeconomic impact of health problems of working equids in low- and middle-income countries: A scoping review on the female-gender perspectives. CABI One Health 2023. [Google Scholar] [CrossRef]
- Cronin, P.; Ryan, F.; Coughlan, M. Undertaking a literature review: A step by step approach. Br. J. Nurs. 2008, 17, 38–43. [Google Scholar] [CrossRef] [PubMed]
- Bannister-Tyrrell, M.; Meiqari, L. Qualitative research in epidemiology: Theoretical and methodological perspectives. Ann. Epidemiol. 2020, 49, 27–35. [Google Scholar] [CrossRef] [PubMed]
- Grant, M.J.; Booth, A. A typology of reviews: An analysis of 14 review types and associated methodologies. Health Inf. Libr. J. 2009, 26, 91–108. [Google Scholar] [CrossRef] [PubMed]
- Haddaway, N.R.; Woodcock, P.; Macura, B.; Collins, A. Making literature reviews more reliable through application of lessons from systematic reviews. Conserv. Biol. 2015, 29, 1596–1605. [Google Scholar] [CrossRef] [PubMed]
- Page, M.J.; McKenzie, J.E.; Bossuyt, P.M.; Boutron, I.; Hoffmann, T.C.; Mulrow, C.D.; Shamseer, L.; Tetzlaff, J.M.; Akl, E.A.; Brennan, S.E.; et al. The PRISMA 2020 statement: An updated guideline for reporting systematic reviews. Brit. Med. J. 2021, 372, n71. [Google Scholar] [CrossRef] [PubMed]
- Rethlefsen, M.L.; Kirtley, S.; Waffenschmidt, S.; Ayala, A.P.; Moher, D.; Page, M.J.; Koffel, J.B.; PRISMA-S Group. PRISMA-S: An extension to the PRISMA Statement for Reporting Literature Searches in Systematic Reviews Systematic Reviews. Syst. Rev. 2021, 10, 39. [Google Scholar] [CrossRef]
- Kamdar, B.B.; Shah, P.A.; Sakamuri, S.; Kamdar, B.S.; Oh, J. A novel search builder to expedite search strategies for systematic reviews. Int. J. Technol. Assess. 2015, 31, 51–53. [Google Scholar] [CrossRef]
- Cochrane. LMIC Filters. 2020. Available online: https://epoc.cochrane.org/lmic-filters (accessed on 30 January 2022).
- New Country Classifications by Income Level: 2019–2020. 2020. Available online: https://blogs.worldbank.org/opendata/new-country-classifications-income-level-2019-2020 (accessed on 5 March 2022).
- New World Bank Country Classifications by Income Level: 2021–2022. 2021. Available online: https://blogs.worldbank.org/opendata/new-world-bank-country-classifications-income-level-2021-2022 (accessed on 5 March 2022).
- Spry, C.; Mierzwinski-Urban, M. The impact of the peer review of literature search strategies in support of rapid review reports. Res. Synth. Methods 2018, 9, 521–526. [Google Scholar] [CrossRef]
- How Does the World Bank Classify Countries? 2022. Available online: https://datahelpdesk.worldbank.org/knowledgebase/articles/906519-world-bank-country-and-lending-groups (accessed on 4 January 2022).
- Benzies, K.M.; Premji, S.; Hayden, K.A.; Serrett, K. State-of-the-Evidence Reviews: Advantages and Challenges of Including Grey Literature. Worldviews Evid. Based Nurs. 2006, 3, 55–61. [Google Scholar] [CrossRef]
- Hartling, L.; Featherstone, R.; Nuspl, M.; Shave, K.; Dryden, D.M.; Vandermeer, B. Grey literature in systematic reviews: A cross-sectional study of the contribution of non-English reports, unpublished studies and dissertations to the results of meta-analyses in child-relevant reviews. BMC Med. Res. Methodol. 2017, 17, 64. [Google Scholar] [CrossRef] [PubMed]
- Microsoft Word 2021; Microsoft Corporation: Redmond, DC, USA, 2021.
- Microsoft Excel 2021; Microsoft Corporation: Redmond, DC, USA, 2021.
- Thrusfield, M.; Christley, R. Veterinary Epidemiology, 4th ed.; Wiley Blackwell: Hoboken, NJ, USA, 2018; Available online: https://onlinelibrary-wiley-com.ezproxy.is.ed.ac.uk/doi/book/10.1002/9781118280249 (accessed on 1 May 2022).
- Scott-Samuel, A. Assessing how public policy impacts on health. Healthlines 1997, 47, 15–17. [Google Scholar]
- Alders, R.G.; Ali, S.N.; Ameri, A.A.; Bagnol, B.; Cooper, T.L.; Gozali, A.; Hidayat, M.M.; Rukambile, E.; Wong, J.T.; Catley, A. Participatory Epidemiology: Principles, Practice, Utility, and Lessons Learnt. Front. Vet. Sci. 2020, 7, 532763. [Google Scholar] [CrossRef] [PubMed]
- Dijkhuizen, A.A.; Huirne, A.W.; Jalvingh, A.W. Economic analysis of animal diseases and their control. Prev. Vet. Med. 1995, 25, 135–149. [Google Scholar] [CrossRef]
- Burm, S.; Boese, K.; Faden, L.; DeLuca, S.; Huda, N.; Hibbert, K.; Goldszmidt, M. Recognising the importance of informal communication events in improving collaborative care. BMJ Qual. Saf. 2019, 28, 289–295. [Google Scholar] [CrossRef] [PubMed]
- Admassu, B.; Shiferaw, Y. Donkeys, Horses and Mules—Their Contribution to People’s Livelihoods in Ethiopia; The Brooke: Addis Ababa, Ethiopia, 2006; Available online: https://www.thebrooke.org/sites/default/files/Ethiopia-livelihoods-2020-01.pdf (accessed on 15 April 2022).
- Ali, A.; Orion, S.; Tesfaye, T.; Zambriski, J.A. The prevalence of lameness and associated risk factors in cart mules in Bahir Dar, Ethiopia. Trop. Anim. Health Prod. 2016, 48, 1483–1489. [Google Scholar] [CrossRef] [PubMed]
- Bekele, M.; Leggese, G.; Teshome, W.; Nahom, W.; Anteneh, K.; Tewodros, T. Socioeconomic impact of epizootic lymphangitis in cart mules in Bahir Dar city, North-West Ethiopia. In How Do We Demonstrate the Importance of Working Equid Welfare to Human livelihoods? Proceedings of the 7th International Colloquium on Working Equids, Royal Holloway, University of London, London, UK, 1–3 July 2014; World Horse Welfare: Snetterton, UK, 2014; pp. 10–15. [Google Scholar]
- Duguma, B.E.; Tesfaye, T.; Kassaye, A.; Kassa, A.; Blakeway, S.J. Control and Prevention of Epizootic Lymphangitis in Mules: An Integrated Community-Based Intervention, Bahir Dar, Ethiopia. Front. Vet. Sci. 2021, 8, 648267. [Google Scholar] [CrossRef]
- Etana, D. Isolates of fungi from symptomatic carthorses in Awassa, Ethiopia. J. Vet. Med. B. Infect. Dis. Vet. Public Health 1999, 46, 443–451. [Google Scholar] [CrossRef]
- Grewar, J.D.; Weyer, C.T.; Guthrie, A.J.; Koen, P.; Davey, S.; Quan, M.; Visser, D.; Russouw, E.; Bührmann, G. The 2011 outbreak of African horse sickness in the African horse sickness controlled area in South Africa. J. S. Afr. Vet. Assoc. 2013, 84, 7. [Google Scholar] [CrossRef]
- Jagema, T.; Jarso, D. Study on Epidemiology and Socioeconomic Impact of Epizootic Lymphangitis in Carthorses in Southwestern Shoa. Open Access J. Vet. Sci. Res. 2016, 1, 000114. [Google Scholar]
- Kumar, R.; Jain, S.; Kumar, S.; Sethi, K.; Kumar, S.; Tripathi, B. Impact estimation of animal trypanosomiasis (surra) on livestock productivity in India using simulation model: Current and future perspective. Vet. Parasitol. Reg. Stud. 2017, 10, 1–12. [Google Scholar] [CrossRef]
- Curran, M.M.; Feseha, G.; Smith, D.G. The Impact of Access to Animal Health Services on Donkey Health and Livelihoods in Ethiopia. Trop. Anim. Health Prod. 2005, 37, 47–65. [Google Scholar] [CrossRef] [PubMed]
- Mitku, M.; Assefa, A.; Abrhaley, A. Prevalence, associated risk factors and socioeconomic impact of Epizootic lymphangitis (EL) in carthorses in and around Gondar town. J. Am. Sci. 2018, 14, 77–83. [Google Scholar]
- Molla, A.M.; Fentahun, T.; Jemberu, W.T. Estimating the Economic Impact and Assessing Owners’ Knowledge and Practices of Epizootic Lymphangitis in Equine Cart Animals in Central and South Gondar Zones, Amhara Region, Ethiopia. Front. Vet. Sci. 2021, 8, 673442. [Google Scholar] [CrossRef] [PubMed]
- Nigatu, A.; Abebaw, Z. Socioeconomic impact of Epizootic Lymphangitis (EL) on horse-drawn taxi business in Central Ethiopia. In Learning from Others, Proceedings of the 6th International Colloquium on Working Equids, New Delhi, India, 29 November–2 December 2010; The Brooke: London, UK, 2010; pp. 83–86. [Google Scholar]
- Nogueira, M.F.; Oliveira, J.M.; Santos, C.J.; Petzold, H.V.; Aguiar, D.M.; Juliano, R.S.; Reis, J.K.; Abreu, U.G. Equine infectious anaemia in equids of Southern Pantanal, Brazil: Seroprevalence and evaluation of the adoption of a control programme. Pesqui. Vet. Bras. 2017, 37, 227–233. [Google Scholar] [CrossRef]
- Redmond, E.F.; Jones, D.; Rushton, J. Economic assessment of African horse sickness vaccine impact. Equine Vet. J. 2021, 54, 368–378. [Google Scholar] [CrossRef] [PubMed]
- Scantlebury, C.; Zerfu, A.; Pinchbeck, G.; Reed, K.; Gebreab, F.; Aklilu, N.; Mideksa, K.; Christley, R. Participatory appraisal of the impact of epizootic lymphangitis in Ethiopia. Prev. Vet. Med. 2015, 120, 265–276. [Google Scholar] [CrossRef]
- Seidl, A.; Moraes, A.S.; Silva, R.A.M.S. A financial analysis of treatment strategies for Trypanosoma evansi in the Brazilian Pantanal. Prev. Vet. Med. 1998, 33, 219–234. [Google Scholar] [CrossRef]
- Solomon, A.; Fekadu, A.; Molla, B.; Sheferaw, D. The prevalence of foot related problems in working donkeys and its implication on the livelihood of donkey owners in Hawassa City, Southern Ethiopia. Int. J. Livest. Prod. 2019, 10, 86–93. [Google Scholar]
- Valette, D.; Upjohn, M. Voices from women: Working equids as ‘invisible helpers’. In How Do We Demonstrate the Importance of Working Equid Welfare to Human Livelihoods? Proceedings of the 7th International Colloquium on Working Equids, Royal Holloway, University of London, London, UK, 1–3 July 2014; World Horse Welfare: Snetterton, UK, 2014; pp. 16–18. [Google Scholar]
- Geiger, M.; Hockenhull, J.; Buller, H.; Tefera Engida, G.; Getachew, M.; Burden, F.A.; Whay, H.R. Understanding the Attitudes of Communities to the Social, Economic, and Cultural Importance of Working Donkeys in Rural, Peri-urban, and Urban Areas of Ethiopia. Front. Vet. Sci. 2020, 7, 60. [Google Scholar] [CrossRef]
- Kubasiewicz, L.M.; Watson, T.; Norris, S.L.; Chamberlain, N.; Nye, C.; Perumal, R.K.; Saroja, R.; Raw, Z.; Burden, F.A. One welfare: Linking poverty, equid ownership and equid welfare in the brick kilns of India. Anim. Welf. 2022, 31, 517–528. [Google Scholar] [CrossRef]
- Stringer, A.P.; Lunn, D.P.; Reid, S. Science in brief: Report on the first Havemeyer workshop on infectious diseases in working equids, Addis Ababa, Ethiopia, November 2013. Equine Vet. J. 2015, 47, 6–9. [Google Scholar] [CrossRef] [PubMed]
- Getnet, F.; Feyera, T.; Alemu, F.; Niguse, A.; Abera, T. Injuries in Donkeys and Mules: Causes, Welfare Problems and Management Practices in Amhara Region, Northern Ethiopia. App. J. Hyg. 2014, 3, 31–37. [Google Scholar]
- Getachew, M.; Alemayehu, F.; Chal, C.; Amare, B.; Kassa, D.; Burden, F.; Wernery, R.; Wernery, U. A cross-sectional sero-survey of some infectious diseases of working equids in Central Ethiopia. J. Vet. Med. Anim. Health 2014, 6, 231–238. [Google Scholar]
- Stringer, A.P.; Christley, R.M.; Bell, C.E.; Gebreab, F.; Tefera, G.; Reed, K.; Trawford, A.; Pinchbeck, G.L. Owner reported diseases of working equids in central Ethiopia. Equine Vet. J. 2017, 49, 501–506. [Google Scholar] [CrossRef] [PubMed]
- African Horse Sickness. 2021. Available online: https://www.oie.int/en/disease/african-horse-sickness/ (accessed on 24 May 2022).
- Hadush, B.; Michaelay, M.; Menghistu, H.T.; Abebe, N.; Genzebu, A.T.; Bitsue, H.K.; Afera, B.; Duguma, B.E.; Gugsa, G.; Ameni, G. Epidemiology of epizootic lymphangitis of carthorses in northern Ethiopia using conventional diagnostic methods and nested polymerase chain reaction. BMC Vet. Res. 2020, 16, 375. [Google Scholar] [CrossRef] [PubMed]
- Abdela, M.G.; Teshale, S.; Gobena, M.M.; Zewde, A.; Jaleta, H.; Gumi, B.; Ameni, G. Epidemiology of Epizootic Lymphangitis Among Carthorses in Ethiopia. Front. Vet. Sci. 2021, 8, 762937. [Google Scholar] [CrossRef] [PubMed]
- Al-Ani, F.K.; Ali, A.H.; Banna, H.B. Histoplasma Farciminosum Infection of Horses in Iraq. Vet. Arh. 1998, 68, 101–107. [Google Scholar]
- Hamid, M.E.; Yousif, H.O. Epizootic lymphangitis: A report on a new endemicity among equines in the south of Gezira state, Sudan. Sudan J. Vet. Res. 2001, 17, 77–81. [Google Scholar]
- WAHIS Dashboard. Available online: https://wahis.oie.int/#/dashboards/country-or-disease-dashboard (accessed on 24 May 2022).
- Mellor, P.S.; Hamblin, C. African horse sickness. Vet. Res. 2004, 35, 445–466. [Google Scholar] [CrossRef]
- Bitew, M.; Andargie, A.; Bekele, M.; Jenberie, S.; Ayelet, G.; Gelaye, E. Serological survey of African horse sickness in selected districts of Jimma zone, Southwestern Ethiopia. Trop. Anim. Health Prod. 2011, 43, 1543–1547. [Google Scholar] [CrossRef] [PubMed]
- Ayelet, G.; Derso, S.; Jenberie, S.; Tigre, W.; Aklilu, N.; Gelaye, E.; Asmare, K. Outbreak investigation and molecular characterization of African horse sickness virus circulating in selected areas of Ethiopia. Acta Trop. 2013, 127, 91–96. [Google Scholar] [CrossRef] [PubMed]
- Diouf, N.D.; Etter, E.; Lo, M.M.; Lo, M.; Akakpo, A.J. Outbreaks of African horse sickness in Senegal, and methods of control of the 2007 epidemic. Vet. Rec. 2012, 172, 152. [Google Scholar] [CrossRef] [PubMed]
- Aregawi, W.G.; Agga, G.E.; Abdi, R.D.; Büscher, P. Systematic review and meta-analysis on the global distribution, host range, and prevalence of Trypanosoma evansi. Parasit Vectors 2019, 12, 67. [Google Scholar] [CrossRef] [PubMed]
- Parreira, D.R.; Jansen, A.M.; Abreu, U.G.; Macedo, G.C.; Silva, A.R.; Mazur, C.; Andrade, G.B.; Herrera, H.M. Health and Epidemiological Approaches of Trypanosoma Evansi and Equine Infectious Anemia Virus in Naturally Infected Horses at Southern Pantanal. Acta Trop. 2016, 163, 98–102. [Google Scholar] [CrossRef] [PubMed]
- Pal, V.K.; Singh, A.; Singh, H.K.; Sethi, K. Prevalence, relative risk factors and hemato-biochemical changes associated with equine trypanosomosis in eastern plane zone of Uttar Pradesh. Indian J. Anim. Health 2021, 60, 49–57. [Google Scholar] [CrossRef]
- Moreno, S.A.; Concepción, J.L.; Nava, M.; Molinari, J. Importance of the horse and financial impact of equine trypanosomiasis on cattle raising in Venezuela. Trop. Anim. Health Prod. 2013, 45, 1669–1676. [Google Scholar] [CrossRef]
- Dewi, R.S.; Damajanti, R.; Wardhana, A.H.; Mulatsih, S.; Poetri, O.N.; Steeneveld, W.; Hogeveen, H. The Economic Losses of Surra Outbreak in Sumba Timur, Nusa Tenggara Timur-Indonesia. Trop. Anim. Sci. J. 2020, 43, 77–85. [Google Scholar] [CrossRef]
- Estrada-Coates, A.T.; Alva-Trujillo, M.; Muñoz-Melgarejo, S.; Ramirez-Ramirez, E.D.; Canales-Rubio, M.; López-Guerrero, A. Seroprevalence of equine infectious anemia in equines at the state of Veracruz, Mexico. Agrociencia 2018, 52, 33–38. [Google Scholar]
- Burn, C.C.; Dennison, T.L.; Whay, H.R. Relationships between behaviour and health in working horses, donkeys, and mules in developing countries. Appl. Anim. Behav. Sci. 2010, 126, 109–118. [Google Scholar] [CrossRef]
- The World Bank in Ethiopia. 2022. Available online: https://www.worldbank.org/en/country/ethiopia/overview#1 (accessed on 28 May 2022).
- Iqbal, A.; Hassan Raza, S.; Hassan-Ullah; Riza, M. Developments and research in equine husbandry and welfare: Some issues in Pakistan. In The Future for Working Equines, Proceedings of the 5th International Colloquium on Working Equines, Addis Ababa, Ethiopia, 30 October–2 November 2006; The Donkey Sanctuary: Sidmouth, UK, 2006; pp. 11–14. [Google Scholar]
- Reix, C.E.; Dikshit, A.K.; Hockenhull, J.; Parker, R.M.A.; Banerjee, A.; Burn, C.C.; Pritchard, J.C.; Whay, H.R. A Two-Year Participatory Intervention Project with Owners to Reduce Lameness and Limb Abnormalities in Working Horses in Jaipur, India. PLoS ONE 2015, 10, e0124342. [Google Scholar] [CrossRef] [PubMed]
- Salem, S.E.; Scantlebury, C.E.; Ezzat, E.; Abdelaal, A.M.; Archer, D.C. Colic in a working horse population in Egypt: Prevalence and risk factors. Equine Vet. J. 2016, 49, 201–206. [Google Scholar] [CrossRef] [PubMed]
- Kay, G.; Knottenbelt, D. Tetanus in equids: A report of 56 cases. Equine Vet. Educ. 2007, 19, 107–112. [Google Scholar] [CrossRef]
- Cousquer, G. Rope Burns and Pack Animals. 2014. Available online: https://www.pure.ed.ac.uk/ws/portalfiles/portal/54255321/Rope_burns_and_pack_animals.pdf (accessed on 20 June 2022).
- Ayele, G.; Bojia, E.; Getachew, M.; Tesfaye, M.; Manyahilishal, E.; Amare, B.; Abebe, A.; Seyoum, F.; Anzuino, J. Important factors in decision making in tetanus cases in donkeys: Experience of donkey health and welfare project, Ethiopia. In Learning from Others, Proceedings of the 6th International Colloquium on Working Equids, New Delhi, India, 29 November–2 December 2010; The Brooke: London, UK, 2010; pp. 195–199. [Google Scholar]
- Du Toit, N.; Burden, F.A.; Dixon, P.M. Clinical Dental Examinations of 357 Donkeys in the UK. Part 2: Epidemiological Studies on the Potential Relationships Between Different Dental Disorders, and Between Dental Disease and Systemic Disorders. Equine Vet. J. 2009, 41, 395–400. [Google Scholar] [CrossRef] [PubMed]
- Kunz, J.R.; Granella, M.C.S.; Mendes, R.P.; Müller, T.R.; Kau, S.; Fonteque, J.H. High Prevalence of Orodental Disorders in South Brazilian Cart Horses: Walking a Tightrope Between Animal Welfare and Socioeconomic Inevitability. J. Vet. Dent. 2020, 37, 149–158. [Google Scholar] [CrossRef]
- Tadich, T.A.; Tapia, C.; Gonzalez, D. Seroprevalence of Leptospira spp. in Working Horses Located in the Central Region of Chile. J. Equine Vet. Sci. 2016, 38, 14–18. [Google Scholar] [CrossRef]
- Bezerra, D.C.; Pinto Chaves, N.; Candanedo Guerra, P.; de Moraes Pereira, H.; Pereira Santos, H. Anti-leptospira agglutinin search in sera from donkeys (Equus asinus) and conductors of animal traction vehicles in the city of São Luis, MA, Brazil. Cienc. Anim. Bras. 2010, 11, 931–937. [Google Scholar] [CrossRef][Green Version]
- Langoni, H.; Da Silva, A.V.; Pezerico, S.B.; De Lima, V.Y. Anti-leptospire agglutinins in equine sera, from Sao Paulo, Goias and Mato Grosso du Sul, Brazil, 1996–2001. J. Venom. Anim. Toxins Incl. Trop. Dis. 2004, 10, 207–218. [Google Scholar] [CrossRef]
- Terrestrial Animal Code. Welfare of Working Equids. 2021. Available online: https://www.oie.int/en/what-we-do/standards/codes-and-manuals/terrestrial-code-online-access/?id=169&L=0&htmfile=chapitre_aw_working_equids.htm (accessed on 22 January 2022).
- Khan, I.; Shahzad, A.; Gwida, M.; CElschner, M.; Ijaz, M.; Anjum, A.A.; Neubauer, H. Prevalence of Burkholderia mallei in Equids of Remount Depot, Sargodha, Pakistan. Pak. J. Zool. 2013, 45, 1751–1756. [Google Scholar]
- Glanders. 2020. Available online: https://www.woah.org/app/uploads/2021/03/glanders.pdf (accessed on 30 May 2022).
- Muhammad, G.; Khan, M.Z.; Athar, M. Clinico-microbiological and therapeutic aspects of glanders in equines. J. Equine Sci. 1998, 9, 93–96. [Google Scholar] [CrossRef][Green Version]
- Hornstra, H.; Pearson, T.; Georgia, S.; Liguori, A.; Dale, J.; Price, E.; O’neill, M.; DeShazer, D.; Muhammad, G.; Saqib, M.; et al. Molecular epidemiology of glanders, Pakistan. Emerg. Infect. Dis. 2009, 15, 2036–2039. [Google Scholar] [CrossRef] [PubMed]
- Hullur, N.; D’ambruoso, L.; Edin, K.; Wagner, R.G.; Ngobeni, S.; Kahn, K.; Tollman, S.; Byass, P. Community Perspectives on HIV, Violence and Health Surveillance in Rural South Africa: A Participatory Pilot Study. J. Glob. Health 2016, 6, 010406. [Google Scholar] [CrossRef] [PubMed]
- Catley, A.; Alders, R.G.; Wood, J.N. Participatory epidemiology: Approaches, methods, experiences. Vet. J. 2012, 191, 151–160. [Google Scholar] [CrossRef] [PubMed]
- Okell, C.N.; Pinchbeck, G.P.; Stringer, A.P.; Tefera, G.; Christley, R.M. A Community-Based Participatory Study Investigating the Epidemiology and Effects of Rabies to Livestock Owners in Rural Ethiopia. Prev. Vet. Med. 2013, 108, 1–9. [Google Scholar] [CrossRef] [PubMed]
- Upjohn, M.M.; Attwood, G.A.; Lerotholi, T.; Pfeiffer, D.U.; Verheyen, K.L. Quantitative Versus Qualitative Approaches: A Comparison of Two Research Methods Applied to Identification of Key Health Issues for Working Horses in Lesotho. Prev. Vet. Med. 2013, 108, 313–320. [Google Scholar] [CrossRef] [PubMed]
- Fischer, K.; Schulz, K.; Chenais, E. Can We Agree on That’? Plurality, Power and Language in Participatory Research. Prev. Vet. Med. 2020, 180, 104991. [Google Scholar] [CrossRef] [PubMed]
- Greeff, M.; Phetlhu, R.; Makoae, L.N.; Dlamini, P.S.; Holzemer, W.L.; Naidoo, J.R.; Kohi, T.W.; Uys, L.R.; Chirwa, M.L. Disclosure of HIV Status: Experiences and Perceptions of Persons Living With HIV/AIDS and Nurses Involved in Their Care in Africa. Qual. Health Res. 2008, 18, 311–324. [Google Scholar] [CrossRef] [PubMed]
- Asmal, L.; Lamp, G.; Tan, E.J. Considerations for improving diversity, equity and inclusivity within research designs and teams. Psychiatry Res. 2022, 307, 114295. [Google Scholar] [CrossRef]
- Al Subeh, Z.Y.; Alzoubi, K.H. Researchers’ ethical perspective about women participation in research studies in Jordan. Heliyon. 2021, 7, e08492. [Google Scholar] [CrossRef]
- Mbonye, M.; Nalukenge, W.; Nakamanya, S.; Nalusiba, B.; King, R.; Vandepitte, J. Gender inequity in the lives of women involved in sex work in Kampala, Uganda. J. Int. AIDS Soc. 2012, 15, 17365. [Google Scholar] [CrossRef]
- Filho, W.L. Handbook of Climate Change Across the Food Supply Chain; Springer Science and Business Media LLC: Dordrecht, The Netherlands, 2022; ISBN 9783030033828. [Google Scholar] [CrossRef]
- Onuoha, F.C. Why Do Youth Join Boko Haram? 2014. Available online: https://www.files.ethz.ch/isn/180882/SR348-Why_do_Youth_Join_Boko_Haram.pdf (accessed on 2 June 2022).
- Machakanja, P. Reintegration of child soldiers: A case of Southern Sudan. In Building Peace from Within; Maphosa, S.B., DeLuca, L., Keasley, A., Eds.; Africa Institute of South Africa: Pretoria, South Africa, 2014; pp. 85–108. [Google Scholar] [CrossRef]
- Nonnenmacher, S.; Yonemura, A. Background Paper Prepared for the 2019 Global Education Monitoring Report. Migration, Displacement and Education: Building Bridges, Not Walls. Migration and Education in West Africa. 2018. Available online: https://unesdoc.unesco.org/ark:/48223/pf0000266062 (accessed on 6 June 2022).
- Mukuhlani, T.; Nyamupingidza, M. Water Scarcity in Communities, Coping Strategies and Mitigation Measures: The Case of Bulawayo. J. Sustain. Dev. 2014, 7, 144–160. [Google Scholar] [CrossRef]
- Behnke, R.; Metaferia, F. The Contribution of Livestock to the Ethiopian Economy–Part II. 2011. Available online: https://core.ac.uk/download/pdf/132642443.pdf (accessed on 23 May 2022).
- Glatzel, K.; Tankari, M.; Shah, M.; Choudhury, S. Meat, Milk and More: Policy Innovations to Shepherd Inclusive and Sustainable Livestock Systems in Africa. 2020. Available online: https://play.google.com/books/reader?id=PeDzDwAAQBAJ&pg=GBS.PA1&hl=it (accessed on 26 May 2022).
- Mayen, F. A Status Report of Veterinary Education in Ethiopia: Perceived Needs, Past History, Recent Changes, and Current and Future Concerns. J. Vet. Med. Educ. 2006, 33, 244–247. [Google Scholar] [CrossRef] [PubMed]
- Shapiro, B.I.; Gebru, G.; Desta, S.; Negassa, A.; Negussie, K.; Aboset, G.; Mechal, H. Ethiopia Livestock Master Plan: Roadmaps for Growth and Transformation; ILRI: Nairobi, Kenya, 2015; Available online: https://cgspace.cgiar.org/handle/10568/68037 (accessed on 26 May 2022).
- Brooke Where We Work. 2021. Available online: https://www.thebrooke.org/our-work/where-we-work (accessed on 26 May 2022).
- SPANA. Our Work. 2022. Available online: https://spana.org/about-us/our-work/ (accessed on 26 May 2022).
- The Donkey Sanctuary. About Us. 2022. Available online: https://www.thedonkeysanctuary.org.uk/about-us (accessed on 12 May 2022).
- Singh, B.; Prasad, S.; Verma, M.R.; Sinha, D.K. Estimation of Economic Losses due to Haemorrhagic Septicaemia in Cattle and Buffaloes in India. Agric. Econ. Res. Rev. 2014, 27, 271–279. [Google Scholar] [CrossRef]
- Govindaraj, G.; Ganesh Kumar, B.; Krishnamohan, A.; Raveendra, H.; Nanda, K.; Kokila, P. Foot and Mouth Disease (FMD) Incidence in Cattle and Buffaloes and Its Associated Farm-Level Economic Costs in Endemic India. Prev. Vet. Med. 2021, 190, 105318. [Google Scholar] [CrossRef]
- Armenteras, D. Guidelines for healthy global scientific collaborations. Nat. Ecol. Evol. 2021, 5, 1193–1194. [Google Scholar] [CrossRef] [PubMed]
- Muula, A.S. Medical journalism and authorship in low-income countries. Croat. Med. J. 2008, 49, 681–683. [Google Scholar] [CrossRef]
- Yarmoshuk, A.N.; Mloka, D.; Touré, S.F.; Sharma, V.; Wanji, S. Research into Language-Based Equity in African Health Science Research. 2021. Available online: https://cms.wellcome.org/sites/default/files/2021-06/language-based-equity-in-african-health-science-research.pdf (accessed on 21 May 2022).
- Alonso, S.; Lindahl, J.; Roesel, K.; Traore, S.G.; Yobouet, B.A.; Ndour, A.P.N.; Carron, M.; Grace, D. Where literature is scarce: Observations and lessons learnt from four systematic reviews of zoonoses in African countries. Anim. Health Res. Rev. 2016, 17, 28–38. [Google Scholar] [CrossRef]
- Swiss Academy of Sciences. KFPE Guide-11 Principles & 7 Questions-KFPE’s Guide for Transboundary Research Partnerships. 2021. Available online: https://kfpe.scnat.ch/en/11_principles_7_questions (accessed on 27 May 2022).
- Hoelle, J. Cattle Culture in the Brazilian Amazon. Soc. Appl. Anthropol. 2014, 73, 363–374. [Google Scholar] [CrossRef]
- CEPEA—Center for Advanced Studies on Applied Economics. PIB do Agronegocio Brasileiro. 2022. Available online: https://www.cepea.esalq.usp.br/br/pib-do-agronegocio-brasileiro.aspx (accessed on 26 May 2022).
- Singleton, J. Britain’s Military Use of Horses 1914–1918. Past Present 1993, 139, 178–203. [Google Scholar] [CrossRef]
- Suggett, R.H.G. Horses and the rural economy in the United Kingdom. Equine Vet. J. 1999, 28, 31–37. [Google Scholar] [CrossRef]
- Junqueira, D.G.; Dorneles, E.M.S.; Gonçalves, V.S.P.; Santana, J.A.; Almeida, V.M.d.A.; Nicolino, R.R.; Silva, M.X.; Mota, A.L.A.d.A.; Veloso, F.P.; Stynen, A.P.R.; et al. Brucellosis in working equines of cattle farms from Minas Gerais State, Brazil. Prev. Vet. Med. 2015, 121, 380–385. [Google Scholar] [CrossRef] [PubMed]
- Bartram, J.; Lewis, K.; Lenton, R.; Wright, A. Focusing on improved water and sanitation for health. Lancet 2005, 365, 810–812. [Google Scholar] [CrossRef] [PubMed]
- Lamond, J.; Bhattacharya, N.; Bloch, R. The Role of Solid Waste Management as a Response to Urban Flood Risk in Developing Countries, a Case Study Analysis. 2012. Available online: https://www.witpress.com/Secure/elibrary/papers/FRIAR12/FRIAR12016FU1.pdf (accessed on 10 December 2022).
- Suleman, Y.; Darko, E.T.; Agyemang-Duah, W. Solid Waste Disposal and Community Health Implications in Ghana: Evidence from Sawaba, Asokore Mampong Municipal Assembly. J. Civ. Environ. Eng. 2015, 5, 202. [Google Scholar] [CrossRef]
- Yu, A.; Wei, Y.; Chen, W.; Peng, N.; Peng, L. Life cycle environmental impacts and carbon emissions: A case study of electric and gasoline vehicles in China. Transp. Res. D Transp. Environ. 2018, 65, 409–420. [Google Scholar] [CrossRef]
- Spencer, J.; McRobie, E.; Dar, O.; Rahman-Shepherd, A.; Hasan, N.; Hanefeld, J.; Khan, M. Is the current surge in political and financial attention to One Health solidifying or splintering the movement? BMJ Glob. Health 2019, 4, e001102. [Google Scholar] [CrossRef]
- Kamani, T.M.; Kazwala, R.; Mfinanga, S.; Haydon, D.; Keyyu, J.; Lankester, F.; Buza, J. One Health: A concept led by Africa, with global benefits. Vet. Rec. 2015, 176, 496–497. [Google Scholar] [CrossRef]
- Cooper, C.; Booth, A.; Britten, N.; Garside, R. A comparison of results of empirical studies of supplementary search techniques and recommendations in review methodology handbooks: A methodological review. Syst. Rev. 2017, 6, 234. [Google Scholar] [CrossRef]
- Garnier, J.; Savic, S.; Boriani, E.; Bagnol, B.; Häsler, B.; Kock, R. Helping to heal nature and ourselves through human-rights-based and gender-responsive One Health. One Health Outlook 2020, 2, 22. [Google Scholar] [CrossRef]





| Socioeconomic keywords | household *, communit *, income, livelihood *, socioeconomic, econom *, poverty |
| Disease keywords | disease *, zoono * |
| Working equids keywords | work *, pack *, plough *, plow *, draft *, draught *, transport, traction *, cart * |
| animal *, equid *, equine *, livestock, donkey *, horse *, mule *, | |
| carthorse *, cart-horse * | |
| Low and middle-income countries keywords | World Bank filter [41] |
| Publication Details | Study Details | Study Setting and Authors | |||||||
|---|---|---|---|---|---|---|---|---|---|
| Author (Year) | Publication Source | Main Focus | Disease Name | Species | Method to Appraise the Socioeconomic or Economic Impact of the Disease | Country | Country Income Status | Authors’ Affiliation | Source of Funding |
| Admassu and Shiferaw (2011) [55] | Organisation report | Socioeconomic role of working equids | Multiple | Horse Donkey Mule | Participatory method; cross-sectional study | Ethiopia | Low income | The Brooke | The Brooke |
| Ali et al. (2016) [56] | Journal | Disease epidemiology | Lameness | Mule | Cross-sectional survey | Ethiopia | Low income | Cornell University; Washington State University | Unspecified |
| Angara, Ismail and Ibrahim (2011) [15] | Journal | Socioeconomic role of working equids and disease socioeconomic impact | Helminths and blood parasites | Donkey | Cross-sectional study | Sudan | Low income | Sudan University of Science and Technology; University of Bahri | Ministry of Higher Education and Scientific Research |
| Bekele et al. (2014) [57] | Proceedings | Disease socioeconomic impact | Epizootic lymphangitis | Mule | Cross-sectional study; participatory method | Ethiopia | Low income | The Donkey Sanctuary | The Donkey Sanctuary |
| Duguma et al. (2021) [58] | Journal | Description of a community-based intervention | Epizootic lymphangitis | Mule | Participatory method | Ethiopia | Low income | The Donkey Sanctuary | The Donkey Sanctuary |
| Etana (1999) [59] | Journal | Disease epidemiology | Fungal diseases | Horse | Unstructured method | Ethiopia | Low income | Awassa College of Agriculture | Unspecified |
| Gichure et al. (2020) [12] | Journal | Socioeconomic role of working equids | Multiple | Donkey | Participatory method | Kenya | Lower-middle income | Chuka University; University of Nairobi | None |
| Grewar et al. (2013) [60] | Journal | Disease outbreak description | African horse sickness | Horse | Case study | South Africa | Upper-middle income | Department of Veterinary Services of Western Cape Province | South African Equine Veterinary Association |
| Jagema and Jarso (2016) [61] | Journal | Disease epidemiology and socioeconomic impact | Epizootic lymphangitis | Horse | Cross-sectional study | Ethiopia | Low income | Addis Ababa University | Unspecified |
| Kumar et al. (2017) [62] | Journal | Disease economic impact | Equine trypanosomiasis | Horse Donkey Mule | Simulation model | India | Lower-middle income | National Research Centre on Equines | Indian Council of Agricultural Research |
| Martin Curran, Feseha and Smith (2005) [63] | Special Issue | Impact of the access to veterinary services | Multiple | Donkey | Impact assessment | Ethiopia | Low income | Private consultant; The Donkey Sanctuary; University of Aberdeen | Department of International Development, United Kingdom |
| Mitku, Assefa and Abrhaley (2018) [64] | Journal | Disease epidemiology and socioeconomic impact | Epizootic lymphangitis | Horse | Cross-sectional study | Ethiopia | Low income | University of Gondar | Unspecified |
| Molla, Fentahun and Jemberu (2021) [65] | Journal | Evaluation of owners’ knowledge and management of a disease and its socioeconomic impact | Epizootic lymphangitis | Horse Mule | Cross-sectional study | Ethiopia | Low income | Mekidela Amba University; University of Gondar | University of Gondar |
| Nigatu and Abebaw (2010) [66] | Proceedings | Disease socioeconomic impact | Epizootic lymphangitis | Horse | Cross-sectional study | Ethiopia | Low income | University of Addis Ababa | Unspecified |
| Nogueira et al. (2017) [67] | Journal | Disease epidemiology and evaluation of a disease-control intervention | Equine infectious anaemia | Horse Donkey Mule | Cross-sectional study | Brazil | Upper-middle | Empresa Brasileira de Pesquisa Agropecuária (EMBRAPA), Pantanal | Fundação de Apoio ao Desenvolvimento do Ensino, Ciência e Tecnologia do Estado de Mato Grosso do Sul and Research Center of Pantanal |
| Redmond, Jones and Rushton (2021) [68] | Journal | Disease economic impact | African horse sickness | Horse | Cost–benefit analysis model | South Africa | Upper-middle income | University of Liverpool | International Federation of Horseracing Authorities (IFHA), International Federation for Equestrian Sports (FEI), World Organisation for Animal Health (WOAH), Pirbright Institute |
| Scantlebury et al. (2015) [69] | Journal | Disease socioeconomic impact | Epizootic lymphangitis | Horse Donkey | Participatory method | Ethiopia | Low income | University of Liverpool; The Society for the Protection of Animals Abroad (SPANA) | The Horse Trust |
| Seidl, Moraes and Silva (1998) [70] | Journal | Disease economic impact | Equine trypanosomiasis | Horse | Cost–benefit analysis model | Brazil | Upper-middle | EMBRAPA, Pantanal | Unspecified |
| Solomon et al. (2019) [71] | Journal | Disease epidemiology and socioeconomic impact | Foot problems | Donkey | Cross-sectional study | Ethiopia | Low income | Hawassa University | Unspecified |
| Valette and Upjohn (2014) [72] | Proceedings | Socioeconomic role (gender-based) of working equids | Unspecified | Horse Donkey Mule | Participatory method | Ethiopia; India; Kenya; Pakistan | Low income | The Brooke | The Brooke |
| Viral Diseases | |||
|---|---|---|---|
| Disease Name | Aetiological Agent | Number of Publications | Zoonotic Potential |
| African horse sickness | Orbivirus genus | 2 | No |
| Equine infectious anaemia | Lentivirus genus | 1 | No |
| Bacterial Diseases | |||
|---|---|---|---|
| Disease Name | Aetiological Agent | Number of Publications | Zoonotic Potential |
| Anaplasmosis | Anaplasma spp. | 1 | No |
| Protozoal Diseases | |||
|---|---|---|---|
| Disease Name | Aetiological Agent | Number of Publications | Zoonotic Potential |
| Equine trypanosomiasis | Trypanosoma evansi | 2 | No |
| Piroplasmosis | Unspecified | 1 | No |
| Helminthiases | |||
|---|---|---|---|
| Disease Name | Aetiological Agent | Number of Publications | Zoonotic Potential |
| Gastrointestinal parasites | Unspecified | 1 | No |
| Microfilariasis | Onchocerca spp. | 1 | No |
| Fungal Diseases | |||
|---|---|---|---|
| Disease Name | Aetiological Agent | Number of Publications | Zoonotic Potential |
| Epizootic lymphangitis | Histoplasma capsulatum variety farciminosum | 7 | No |
| Aspergillosis | Aspergillus spp. | 1 | No |
| Histoplasmosis | Histoplasma spp. | 1 | No |
| Penicillosis | Penicillum spp. | 1 | No |
| Candidosis | Candida spp. | 1 | No |
| Cryptococcosis | Cryptococcus spp. | 1 | No |
| Geotrichosis | Geotrichum spp. | 1 | No |
| Trichophytosis | Trichophyton spp. | 1 | Yes |
| Microsporosis | Microsporum spp. | 1 | Yes |
| Infectious Diseases Within Records Covering Multiple Diseases | |||
|---|---|---|---|
| Disease Name | Aetiological Agent | Type of Aetiologicl Agent | Zoonotic Potential |
| African horse sickness | Orbivirus genus | Virus | No |
| Rabies | Lyssavirus genus | Virus | Yes |
| Anthrax | Bacillus anthracis | Bacterium | Yes |
| Ulcerative lymphangitis | Corynebacterium pseudotuberculosis | Bacterium | Yes |
| Strangles | Streptococcus equi | Bacterium | Some subspecies only |
| Tetanus | Clostridium tetani | Bacterium | No |
| Epizootic lymphangitis | Histoplasma capsulatum variety farciminosum | Fungus | No |
| Gastrointestinal parasites | Unspecified | Helminth | Unspecified |
| Mites | Unspecified | Ectoparasite | Unspecified |
| Disease | Effects on Affected Animals | Economic Impacts on Owners | Social Impacts on Owners |
|---|---|---|---|
| Epizootic lymphangitis | Animal death; reduced work productivity; reduced load capacity; reduced work time; incapacity to work during last disease stages; bad animal smell; poor animal appearance | Reduced income; animal loss; need for animal replacement; high expenses for ineffective treatment; loss of clients; unemployment; damaged livelihood; poverty | Stigmatisation; loss of motivation; mental health problems; poverty |
| African horse sickness | High mortality rates | Animal loss; loss of breeding potential; loss of previous investments in animal care | Mental health problems |
| Equine trypanosomiasis | Death; reduced animal efficiency | Reduced income; animal loss in absence of treatment; high treatment costs | Not reported |
| Equine infectious anaemia | Reduced animal efficiency | Travel bans of infected animals; loss of animal economic value | Not reported |
| Gastrointestinal helminthiasis | Reduced animal efficiency | Reduced income; high treatment costs | Not reported |
| Lameness and foot diseases | Inability to work for long periods | Reduced income; loss of animal economic value; high treatment costs | Not reported |
Disclaimer/Publisher’s Note: The statements, opinions and data contained in all publications are solely those of the individual author(s) and contributor(s) and not of MDPI and/or the editor(s). MDPI and/or the editor(s) disclaim responsibility for any injury to people or property resulting from any ideas, methods, instructions or products referred to in the content. |
© 2023 by the authors. Licensee MDPI, Basel, Switzerland. This article is an open access article distributed under the terms and conditions of the Creative Commons Attribution (CC BY) license (https://creativecommons.org/licenses/by/4.0/).
Share and Cite
Bonsi, M.; Anderson, N.E.; Carder, G. The Socioeconomic Impact of Diseases of Working Equids in Low and Middle-Income Countries: A Critical Review. Animals 2023, 13, 3865. https://doi.org/10.3390/ani13243865
Bonsi M, Anderson NE, Carder G. The Socioeconomic Impact of Diseases of Working Equids in Low and Middle-Income Countries: A Critical Review. Animals. 2023; 13(24):3865. https://doi.org/10.3390/ani13243865
Chicago/Turabian StyleBonsi, Marta, Neil E. Anderson, and Gemma Carder. 2023. "The Socioeconomic Impact of Diseases of Working Equids in Low and Middle-Income Countries: A Critical Review" Animals 13, no. 24: 3865. https://doi.org/10.3390/ani13243865
APA StyleBonsi, M., Anderson, N. E., & Carder, G. (2023). The Socioeconomic Impact of Diseases of Working Equids in Low and Middle-Income Countries: A Critical Review. Animals, 13(24), 3865. https://doi.org/10.3390/ani13243865

