Differences in Physiological Performance and Gut Microbiota between Deep-Sea and Coastal Aquaculture of Thachinotus Ovatus: A Metagenomic Approach
Abstract
Simple Summary
Abstract
1. Introduction
2. Materials and Methods
2.1. Fish Sampling
2.2. Sample Collection
2.3. Growth Performance Analysis
- Body length and weight;
- Weight gain rate (WGR, %) = 100 * (final body weight − initial body weight)/initial body weight
- Specific growth rate (SGR, % day−1) = 100 * (Ln final weight − Ln initial weight)/number of days [22];
2.4. Analysis of Fish Physiological and Biochemical Indicators
2.5. Analysis of Water Quality
2.6. Genomics DNA Extraction
2.7. Library Construction
2.8. Metagenomic Data Analysis
2.9. Analysis of Experimental Data
2.10. Ethics Statement
3. Result
3.1. Analysis of Water Quality
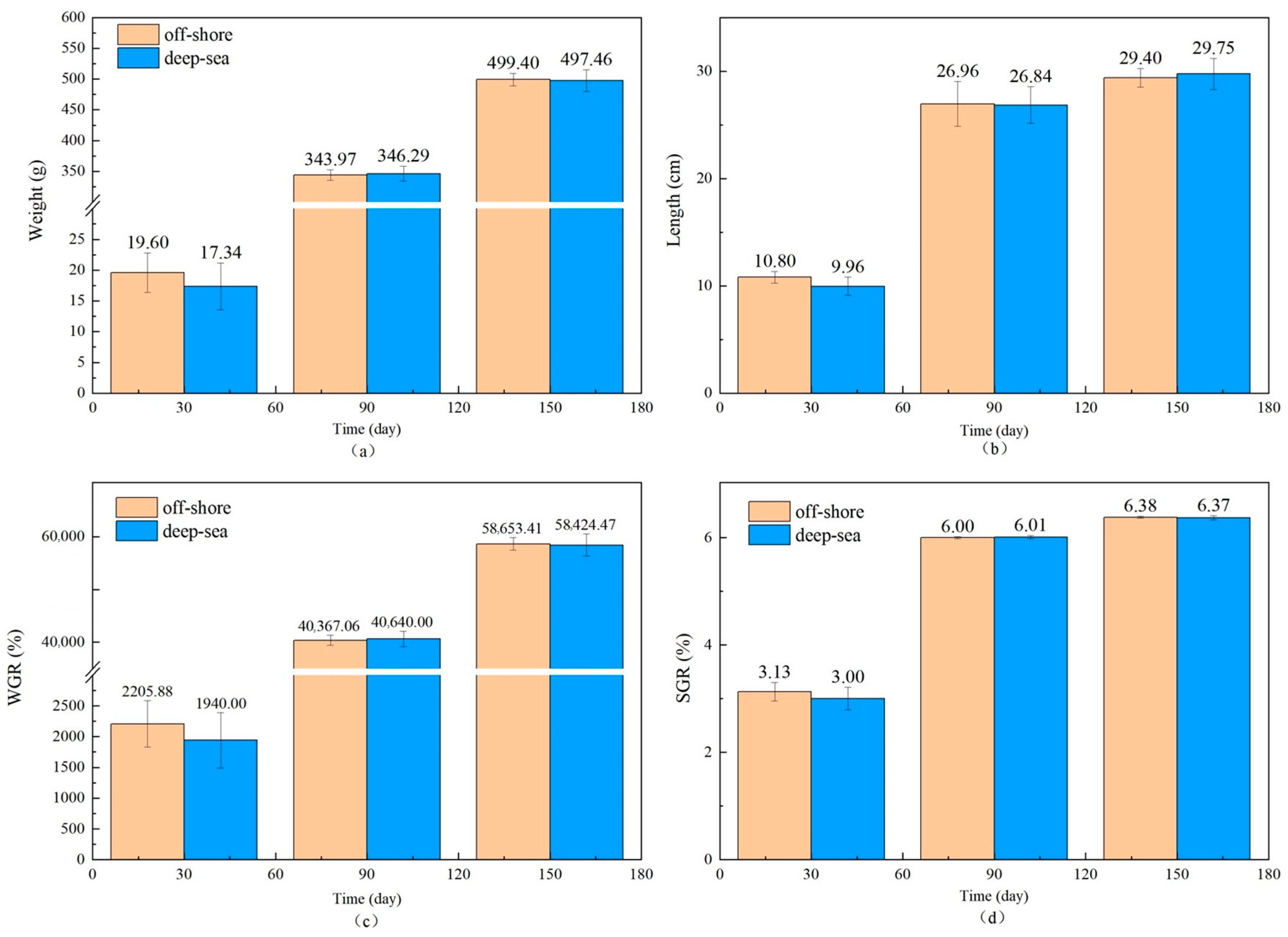
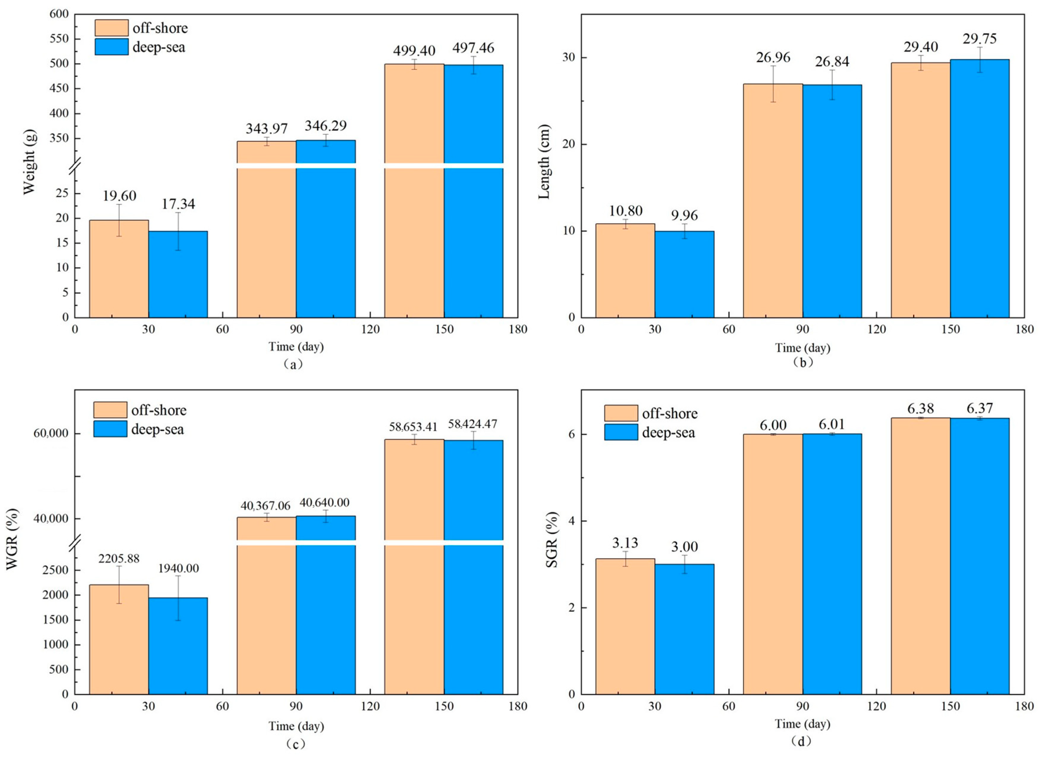
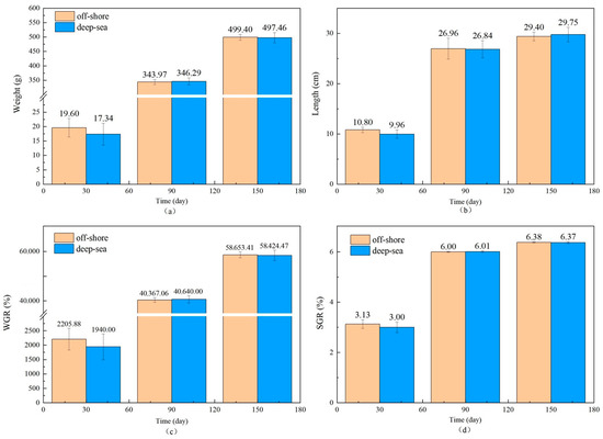
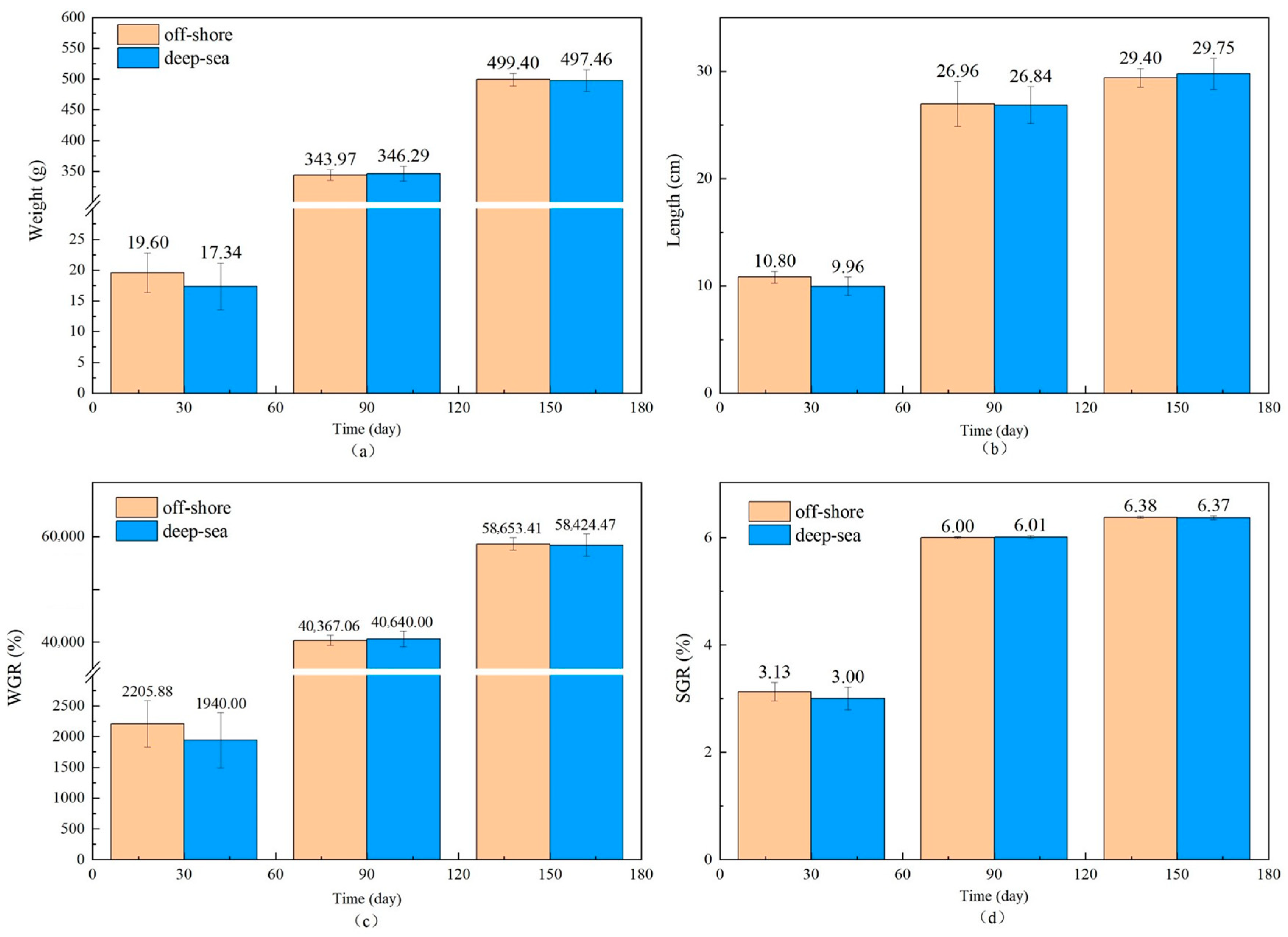
3.2. The Growth, Physiological and Biochemical Characteristics of T. ovatus
3.3. Metagenomics Analysis of Intestinal Microbes of T. ovatus
3.4. Diversity Analysis
3.5. Antibiotic Resistance Gene Analysis
4. Discussion
4.1. Association of Environmental Factors with Intestinal Flora
4.2. Effect of Different Culture Areas on Antibiotic Resistance Genes in the Intestinal Flora of Fish
5. Conclusions
Author Contributions
Funding
Institutional Review Board Statement
Informed Consent Statement
Data Availability Statement
Acknowledgments
Conflicts of Interest
References
- Madin, E.M. Genetically Engineered Salmon Pose Environmental Risks That Must Be Considered. Bioscience 2011, 61, 6. [Google Scholar] [CrossRef][Green Version]
- Kennish, M.J. Environmental Threats and Environmental Future of Estuaries. Environ. Conserv. 2002, 29, 78–107. [Google Scholar] [CrossRef]
- Lovatelli, A.; Aguilar-Manjarrez, J.; Soto, D. Expanding Mariculture Farther Coastal: Technical, Environmental, Spatial and Governance Challenges; FAO: Rome, Italy, 2013. [Google Scholar]
- Ajeeshkumar, K.; Vishnu, K.; Bineesh, K.; Mathew, S.; Sankar, T.; Asha, K. Macromineral and Heavy Metal Profiles of Selected Deep-Sea Fish from the Kochi Coast of the Arabian Sea, India. Mar. Pollut. Bull. 2021, 167, 112275. [Google Scholar] [CrossRef]
- Pogoda, B.; Buck, B.H.; Hagen, W. Growth Performance and Condition of Oysters (Crassostrea Gigas and Ostrea Edulis) Farmed in an coastal Environment (North Sea, Germany). Aquaculture 2011, 319, 484–492. [Google Scholar] [CrossRef]
- Krause, G.; Buck, B.H.; Rosenthal, H. Multifunctional Use and Environmental Regulations: Potentials in the coastal Aquaculture Development in Germany. In Proceedings of the Rights and Duties in the Coastal Zone, Multidisciplinary Scientific Conference on Sustainable Coastal Zone Management, Stockholm, Sweden, 12–14 June 2003. [Google Scholar]
- Troell, M.; Joyce, A.; Chopin, T.; Neori, A.; Buschmann, A.H.; Fang, J.G. Ecological Engineering in Aquaculture—Potential for Integrated Multi-Trophic Aq-uaculture (Imta) in Marine coastal Systems. Chin. Fish. Econ. 2011, 297, 1–9. [Google Scholar]
- Edwards, P. Aquaculture Environment Interactions: Past, Present and Likely Future Trends. Aquaculture 2015, 447, 2–14. [Google Scholar] [CrossRef]
- Muller-Karger, F.E.; Canonico, G.; Aguilar, C.B.; Bax, N.J.; Appeltans, W.; Yarincik, K.; Leopardas, V.; Sousa-Pinto, I.; Nakaoka, M.; Aikappu, A.; et al. Marine Life 2030: Building Global Knowledge of Marine Life for Local Action in the Ocean Decade. ICES J. Mar. Sci. 2023, 80, 355–357. [Google Scholar] [CrossRef]
- Biedermann, S.V.; Biedermann, D.G.; Wenzlaff, F.; Kurjak, T.; Nouri, S.; Auer, M.K.; Wiedemann, K.; Briken, P.; Haaker, J.; Lonsdorf, T.B.; et al. An Elevated Plus-Maze in Mixed Reality for Studying Human Anxiety-Related Behavior. BMC Biol. 2017, 15, 125. [Google Scholar] [CrossRef]
- Zhang, M.; Li, A.; Yao, Q.; Wu, Q.; Zhu, H. Nitrogen Removal Characteristics of a Versatile Heterotrophic Nitrifying-Aerobic Denitrifying Bacterium, Pseudomonas bauzanensis Dn13-1, Isolated from Deep-Sea Sediment. Bioresour. Technol. 2019, 305, 122626. [Google Scholar] [CrossRef]
- Ransangan, J.; Manin, B.O.; Abdullah, A.; Roli, Z.; Sharudin, E.F. Betanodavirus Infection in Golden Pompano, Trachinotus blochii, Fingerlings Cultured in Deep-Sea Cage Culture Facility in Langkawi, Malaysia. Aquaculture 2011, 315, 327–334. [Google Scholar] [CrossRef]
- Hasan, N.A.; Grim, C.J.; Lipp, E.K.; Rivera, I.N.; Chun, J.; Haley, B.J.; Taviani, E.; Choi, S.Y.; Hoq, M.; Munk, A.C.; et al. Deep-Sea Hydrothermal Vent Bacteria Related to Human Pathogenic Vibrio Species. Proc. Natl. Acad. Sci. USA 2015, 112, 2813–2819. [Google Scholar] [CrossRef] [PubMed]
- Cheesman, S.E.; JNeal, T.; Mittge, E.; Seredick, B.M.; Guillemin, K. Epithelial Cell Proliferation in the Developing Zebrafish Intestine Is Regulated by the Wnt Path-way and Microbial Signaling via Myd88. Proc. Natl. Acad. Sci. USA 2010, 108, 4570–4577. [Google Scholar] [CrossRef] [PubMed]
- Merrifield, D.L.; Bradley, G.; Harper, G.M.; Baker, R.T.M.; Munn, C.B.; Davies, S.J. Assessment of the Effects of Vegetative and Lyophilized Pediococcus acidilactici on Growth, Feed Utilization, Intestinal Colonization and Health Parameters of Rainbow Trout (Oncorhynchus mykiss Walbaum). Aquac. Nutr. 2011, 17, 73–79. [Google Scholar] [CrossRef]
- Quinlivan, V.H.; Farber, S.A. Lipid Uptake, Metabolism, and Transport in the Larval Zebrafish. Front. Endocrinol. 2010, 8, 319. [Google Scholar] [CrossRef] [PubMed]
- Carmody, R.N.; Turnbaugh, P.J. Gut Microbes Make for Fattier Fish. Cell Host Microbe 2012, 12, 259–261. [Google Scholar] [CrossRef] [PubMed]
- Zhang, Q.; Yu, H.; Tong, T.; Tong, W.; Dong, L.; Xu, M.; Wang, Z. Dietary Supplementation of Bacillus subtilis and Fructooligo-saccharide Enhance the Growth, Non-Specific Immunity of Juvenile Ovate Pompano, Trachinotus ovatus and Its Disease Resistance against Vibrio vulnificus. Fish Shell-Fish Immunol. 2014, 38, 7–14. [Google Scholar] [CrossRef]
- Dan, X.; Li, A.; Lin, X.; Teng, N.; Zhu, X. A Standardized Method to Propagate Cryptocaryon irritans on a Susceptible Host Pompano Trachinotus ovatus. Aquaculture 2006, 258, 127–133. [Google Scholar] [CrossRef]
- Zhao, W.; Xie, J.-J.; Fang, H.-H.; Liu, Y.-J.; Tian, L.-X.; Niu, J. Effects of Corn Starch Level on Growth Performance, Antioxidant Capacity, Gut Morphology and Intestinal Microflora of Juvenile Golden Pompano, Trachinotus ovatus. Aquaculture 2020, 524, 735197. [Google Scholar] [CrossRef]
- Guo, J.; Bao, Y.; Davis, R.; Abebe, A.; Wilson, A.E.; Davis, D.A. Application of Meta-Analysis Towards Understanding the Effect of Adding a Methionine Hydroxy Analogue in the Diet on Growth Performance and Feed Utilization of Fish and Shrimp. Rev. Aquac. 2020, 12, 2316–2332. [Google Scholar] [CrossRef]
- Fagnon, M.S.; Thorin, C.; Calvez, S. Meta-Analysis of Dietary Supplementation Effect of Turmeric and Curcumin on Growth Performance in Fish. Rev. Aquac. 2020, 12, 2268–2283. [Google Scholar] [CrossRef]
- Wright, J.J.; Konwar, K.M.; Hallam, S.J. Microbial Ecology of Expanding Oxygen Minimum Zones. Nat. Rev. Microbiol. 2012, 10, 381. [Google Scholar] [CrossRef]
- Solomon, K.V.; Henske, J.K.; Theodorou, M.K.; O’Malley, M.A. Robust and Effective Methodologies for Cryopreservation and DNA Extraction from Anaerobic Gut Fungi. Anaerobe 2016, 38, 39–46. [Google Scholar] [CrossRef]
- Zhu, W.; Alexandre, L.; Mark, B. Ab Initio Gene Identification in Meta-genomic Sequences. Nucleic Acids Res. 2010, 38, e132. [Google Scholar] [CrossRef] [PubMed]
- Agusti, A.; Moya-Perez, A.; Campillo, I.; la Paz, S.M.-D.; Cerrudo, V.; Perez-Villalba, A.; Sanz, Y. Bifidobacterium pseudocatenulatum Cect 7765 Amelio-rates Neuroendocrine Alterations Associated with an Exaggerated Stress Response and Anhedonia in Obese Mice. Mol. Neurobiol. 2018, 55, 5337–5352. [Google Scholar] [CrossRef] [PubMed]
- Li, D.; Liu, C.M.; Luo, R.; Sadakane, K.; Lam, T.W. Megahit: An Ultra-Fast Single-Node Solution for Large and Complex Metagenomics Assembly Via Succinct De Bruijn Graph. Bioinformatics 2015, 31, 1674–1676. [Google Scholar] [CrossRef] [PubMed]
- Tang, S.; Borodovsky, M. Ab Initio Gene Identification in Meta-Genomic Sequences; Springer: New York, NY, USA, 2014. [Google Scholar]
- Fu, L.; Niu, B.; Zhu, Z.; Wu, S.; Li, W. Cd-Hit: Accelerated for Clustering the Next-Generation Sequencing Data. Bioinformatics 2012, 28, 3150–3152. [Google Scholar] [CrossRef] [PubMed]
- Buchfink, B.; Xie, C.; Huson, D.H. Fast and Sensitive Protein Alignment Using Diamond. Nat. Methods 2015, 12, 59–60. [Google Scholar] [CrossRef] [PubMed]
- Huson, D.H.; Auch, A.F.; Qi, J.; Schuster, S.C. Megan Analysis of Meta-genomic Data. Genome Res. 2007, 17, 377–386. [Google Scholar] [CrossRef]
- Langmead, B.; Salzberg, S.L. Fast Gapped-Read Alignment with Bow-tie 2. Nat. Methods 2012, 9, 357–359. [Google Scholar] [CrossRef]
- Matsouaka, R.A.; Singhal, A.B.; Betensky, R.A. An Optimal Wil-coxon-Mann-Whitney Test of Mortality and a Continuous Outcome. Stat. Methods Med. Res. 2016, 27, 2384–2400. [Google Scholar] [CrossRef]
- Benjamini, Y.; Yekutieli, D. The Control of the False Discovery Rate in Multiple Testing under Dependency. Ann. Stat. 2001, 29, 1165–1188. [Google Scholar] [CrossRef]
- Serrano, M.; Boguñá, M.; Sagués, F. Uncovering the Hidden Geometry Behind Metabolic Networks. Mol. Biosyst. 2011, 8, 843–850. [Google Scholar] [CrossRef] [PubMed]
- Bray, J.R.; Curtis, J.T. An Ordination of the Upland Forest Communities of Southern Wisconsin. Ecol. Monogr. 1957, 27, 326–349. [Google Scholar] [CrossRef]
- Majtey, A.P.; Lamberti, P.W.; Prato, D.P. Jensen-Shannon Divergence as a Measure of Distinguishability between Mixed Quantum States. Phys. Rev. A 2005, 72, 762–776. [Google Scholar] [CrossRef]
- Roots, P.; Wang, Y.B.; Rosenthal, A.F.; Griffin, J.S.; Sabba, F.; Petrovich, M.; Yang, F.H.; Kozak, J.A.; Zhang, H.; Wells, G.F. Comammox Nitrospira Are the Dominant Ammonia Oxidizers in a Mainstream Low Dissolved Oxygen Nitrification Reactor. Water Res. 2019, 157, 396–405. [Google Scholar] [CrossRef]
- Geerdink, R.B.; Hurk, R.S.v.D.; Epema, O.J. Chemical Oxygen Demand: Historical Perspectives and Future Challenges. Anal. Chim. Acta 2017, 961, 1–11. [Google Scholar] [CrossRef]
- Fung, T.C.; Vuong, H.E.; Luna, C.D.G.; Pronovost, G.N.; Aleksandrova, A.A.; Riley, N.G.; Vavilina, A.; McGinn, J.; Rendon, T.; Forrest, L.R.; et al. Intestinal Serotonin and Fluoxetine Exposure Modulate Bacterial Colonization in the Gut. Nat. Microbiol. 2019, 4, 2064–2073. [Google Scholar] [CrossRef]
- Chowdhary, P.; Raj, A.; Bharagava, R.N. Environmental Pollution and Health Hazards from Distillery Wastewater and Treatment Approaches to Combat the Environmental Threats: A Review. Chemosphere 2018, 194, 229–246. [Google Scholar] [CrossRef]
- Schindler, D.W.; Carpenter, S.R.; Chapra, S.C.; Hecky, R.E.; Orihel, D.M. Reducing Phosphorus to Curb Lake Eutrophication Is a Success. Environ. Sci. Technol. EST 2016, 17, 8923–8929. [Google Scholar] [CrossRef]
- Huang, J.; Xu, C.-C.; Ridoutt, B.G.; Wang, X.-C.; Ren, P.-A. Nitrogen and Phosphorus Losses and Eutrophication Potential Associated with Fertilizer Application to Cropland in China. J. Clean. Prod. 2017, 159, 171–179. [Google Scholar] [CrossRef]
- Dixit, S.; Yadav, A.; Dwivedi, P.D.; Das, M. Toxic Hazards of Leather Indus-try and Technologies to Combat Threat: A Review. J. Clean. Prod. 2015, 87, 39–49. [Google Scholar] [CrossRef]
- Li, T.; Long, M.; Ji, C.; Shen, Z.; Gatesoupe, F.-J.; Zhang, X.; Zhang, Q.; Zhang, L.; Zhao, Y.; Liu, X.; et al. Alterations of the Gut Microbiome of Largemouth Bronze Gudgeon (Coreius guichenoti) Suffering from Furunculosis. Sci. Rep. 2016, 6, 30606. [Google Scholar] [CrossRef]
- Solomon Justin, J.; Tremain, D.M. Recruitment Timing and Spatial Pat-terns of Estuarine Use by Young-of-the-Year Florida Pompano, Trachinotus carolinus, in Northeastern Florida. Bull. Mar. Sci.-Miami 2009, 85, 133–148. [Google Scholar]
- Weirich, C.R.; Riley, K.L.; Riche, M.; Main, K.L.; Wills, P.S.; Illán, G.; Cerino, D.S.; Pfeiffer, T.J. The Status of Florida Pompa-no, Trachinotus carolinus, as a Commercially Ready Species for U.S. Marine Aquaculture. J. World Aquac. Soc. 2021, 52, 731–763. [Google Scholar] [CrossRef]
- Chen, X.; Wang, J.; Zhao, W. Effects of Dietary Inositol Supplementation on Growth, Digestive Performance, Antioxidant Capacity, and Body Composition of Golden Pompano. Front. Physiol. 2022, 13, 850470. [Google Scholar] [CrossRef]
- Magnadóttir, B.; Bragason, B.T.; Bricknell, I.R.; Bowden, T.; Nicholas, A.P.; Hristova, M.; Guðmundsdóttir, S.; Dodds, A.W.; Lange, S. Peptidylarginine Deiminase and Deiminated Proteins Are Detected throughout Early Halibut Ontogeny-Complement Components C3 and C4 Are Post-Translationally Deiminated in Halibut (Hippoglossus hippoglossus L.). Dev. Comp. Immunol. 2019, 92, 1–19. [Google Scholar] [CrossRef] [PubMed]
- Yukgehnaish, K.; Kumar, P.; Sivachandran, P.; Marimuthu, K.; Arshad, A.; Paray, B.A.; Arockiaraj, J. Gut Microbiota Metagenomics in Aquaculture: Factors Influencing Gut Microbiome and Its Physiological Role in Fish. Rev. Aquac. 2020, 12, 1903–1927. [Google Scholar] [CrossRef]
- Dang, P.; Li, C.; Lu, C.; Zhang, M.; Huang, T.; Wan, C.; Wang, H.; Chen, Y.; Qin, X.; Liao, Y.; et al. Effect of Fertilizer Management on the Soil Bacterial Community in Agroecosystems across the Globe. Agric. Ecosyst. Environ. 2022, 326, 107795. [Google Scholar] [CrossRef]
- Wu, C.; Shi, L.; Xue, S.; Li, W.; Jiang, X.; Rajendran, M.; Qian, Z. Effect of Sulfur-Iron Modified Biochar on the Available Cadmium and Bacterial Community Structure in Contaminated Soils. Sci. Total Environ. 2018, 647, 1158–1168. [Google Scholar] [CrossRef]
- Choi, M.-J.; Oh, Y.D.; Kim, Y.R.; Lim, H.K.; Kim, J.-M. Intestinal Microbial Diversity Is Higher in Pacific Abalone (Haliotis discus hannai) with Slower Growth Rates. Aquaculture 2021, 537, 736500. [Google Scholar] [CrossRef]
- Sun, J.; Li, H.; Jin, Y.; Yu, J.; Liu, J. Probiotic Clostridium Butyricum Amelio-rated Motor Deficits in a Mouse Model of Parkinson’s Disease Via Gut Microbio-ta-Glp-1 Pathway. Brain Behav. Immun. 2021, 91, 703–715. [Google Scholar] [CrossRef]
- Khare, S.; Latifi, H.; Rossi, S. Forest Beta-Diversity Analysis by Remote Sensing: How Scale and Sensors Affect the Rao’s Q Index. Ecol. Indic. 2019, 106, 105520. [Google Scholar] [CrossRef]
- Milani, C.; Duranti, S.; Bottacini, F.; Casey, E.; Turroni, F.; Mahony, J.; Belzer, C.; Delgado Palacio, S.; Arboleya Montes, S.; Mancabelli, L.; et al. The First Microbial Colonizers of the Human Gut: Composition, Activities, and Health Implications of the Infant Gut Microbiota. Microbiol. Mol. Biol. Rev. Mmbr. 2017, 81, e00036-17. [Google Scholar] [CrossRef] [PubMed]
- Gheorghe, C.E.; Cryan, J.F.; Clarke, G. Debugging the Gut-Brain Axis in Depression. Cell Host Microbe 2022, 30, 281–283. [Google Scholar] [CrossRef]
- López-Lara, I.M.; Geiger, O. The Nodulation Protein Nodg Shows the Enzymatic Activity of an 3-Oxoacyl-Acyl Carrier Protein Reductase. Mol. Plant Microbe Interact 2001, 14, 349–357. [Google Scholar] [CrossRef]
- Plafker, S.M.; Macara, I.G. 2002. Ribosomal Protein L12 uses a distinct nuclear import pathway mediated by importin 11. Mol. Cell. Biol. 2002, 22, 1266–1275. [Google Scholar] [CrossRef] [PubMed]
- Brumwell, A.; Fell, L.; Obress, L.; Uniacke, J. Hypoxia In-fluences Polysome Distribution of Human Ribosomal Protein S12 and Alternative Splicing of Ribosomal Protein Mrnas. RNA 2020, 26, rna.070318.119. [Google Scholar] [CrossRef] [PubMed]
- Seputieneė, V.; Motiejunas, D.; Suziedelis, K.; Tomenius, H.; Normark, S.; Melefors, O.; Suziedeliene, E. Molecular Characterization of the Acid-Inducible Asr Gene of Escherichia Coli and Its Role in Acid Stress Response. J. Bacteriol. 2003, 185, 2475–2484. [Google Scholar] [CrossRef]
- Abbas, J.E.; Salimizand, H.; Hassanzadeh, S.; Ramazanzadeh, R. Adeg Efflux Pump as the Main Tigecycline Resistance in Acinetobacter baumannii. Gene Rep. 2020, 20, 100689. [Google Scholar] [CrossRef]
- Yu, K.; Zhang, Y.; Xu, W.; Zhang, X.; Cao, J. Hy-per-Expression of the Efflux Pump Gene Adeb Was Found in Acinetobacter baumannii with Decreased Triclosan Susceptibility. J. Glob. Antimicrob. Resist. 2020, 22, 367–373. [Google Scholar] [CrossRef]
- Evariste, L.; Barret, M.; Mottier, A.; Mouchet, F.; Gauthier, L.; Pinelli, E. Gut Microbiota of Aquatic Organisms: A Key Endpoint for Ecotoxicological Studies. Environ. Pollut. 2019, 248, 989–999. [Google Scholar] [CrossRef] [PubMed]
- Sun, F.; Wang, C.; Chen, L.; Weng, G.; Zheng, Z. The Intestinal Bacterial Community of Healthy and Diseased Animals and Its Association with the Aquaculture Environment. Appl. Microbiol. Biotechnol. 2020, 104, 775–783. [Google Scholar] [CrossRef] [PubMed]
- Gómez, G.D.; Balcázar, J.L. A Review on the Interactions be-tween Gut Microbiota and Innate Immunity of Fish. FEMS Immunol. Med. Microbiol. 2008, 52, 145–154. [Google Scholar] [CrossRef] [PubMed]
- Gatesoupe, F.J. Live Yeasts in the Gut: Natural Occurrence, Dietary Introduction, and Their Effects on Fish Health and Development. Aquaculture 2007, 267, 20–30. [Google Scholar] [CrossRef]
- Li, W.; Chen, X.; Li, M.; Cai, Z.; Gong, H.; Yan, M. Microplastics as an Aquatic Pollutant Affect Gut Microbiota within Aquatic Animals. J. Hazard. Mater. 2022, 423, 127094. [Google Scholar] [CrossRef] [PubMed]
- Wang, A.R.; Ran, C.; Ringø, E.; Zhou, Z.G. Progress in Fish Gastroin-testinal Microbiota Research. Rev. Aquac. 2018, 10, 626–640. [Google Scholar] [CrossRef]
- Bates, J.M.; Akerlund, J.; Mittge, E.; Guillemin, K. Intestinal Alkaline Phosphatase Detoxifies Lipopolysaccharide and Prevents Inflammation in Zebrafish in Response to the Gut Microbiota. Cell Host Microbe 2007, 2, 371–382. [Google Scholar] [CrossRef]
- Hättenschwiler, S.; Tiunov, A.V.; Scheu, S. Annual Review of Ecology Evolution and Systematics Biodiversity and Litter Decomposition in Terrestrial Eco-systems. Annu. Rev. Ecol. Evol. Syst. 2005, 36, 191–218. [Google Scholar] [CrossRef]
- Caruffo, M.; Navarrete, N.C.; Salgado, O.A.; Faúndez, N.B.; Gajardo, M.C.; Feijóo, C.G.; Reyes-Jara, A.; García, K.; Navarrete, P. Protective Yeasts Control V. Anguillarum Pathogenicity and Modulate the Innate Immune Response of Challenged Zebrafish (Danio rerio) Larvae. Front. Cell. Infect. Microbiol. 2016, 6, 127. [Google Scholar] [CrossRef]
- Degregori, S.; Casey, J.M.; Barber, P.H. Nutrient Pollution Alters the Gut Microbiome of a Territorial Reef Fish. Mar. Pollut. Bull. 2021, 169, 112522. [Google Scholar] [CrossRef]
- Liu, F.; Huang, Y.; Zhang, L.; Li, G. Marine Environmental Pollution, Aquatic Products Trade and Marine Fishery Economy-an Empirical Analysis Based on Simul-taneous Equation Model. Ocean. Coast. Manag. 2022, 222, 106096. [Google Scholar] [CrossRef]
- Sáenz, J.S.; Marques, T.V.; Barone, R.S.C.; Cyrino, J.E.P.; Kublik, S.; Nesme, J.; Schloter, M.; Rath, S.; Vestergaard, G. Oral Administration of Antibiotics Increased the Potential Mobility of Bacterial Resistance Genes in the Gut of the Fish Piaractus mesopotamicus. Microbiome 2019, 7, 1–14. [Google Scholar] [CrossRef] [PubMed]
- Milanović, V.; Cardinali, F.; Aquilanti, L.; Maoloni, A.; Garofalo, C.; Zarantoniello, M.; Olivotto, I.; Riolo, P.; Ruschioni, S.; Isidoro, N.; et al. Quantitative Assessment of Transferable Antibiotic Resistance Genes in Zebrafish (Danio rerio) Fed Hermetia Illucens-Based Feed. Anim. Feed. Sci. Technol. 2021, 277, 114978. [Google Scholar] [CrossRef]
- Khan, R.; Kong, H.G.; Jung, Y.-H.; Choi, J.; Baek, K.-Y.; Hwang, E.C.; Lee, S.-W. Triclosan resistome from metagenome reveals diverse enoyl acyl carrier protein reductases and selective enrichment of triclosan resistance genes. Sci. Rep. 2016, 6, 32322. [Google Scholar]
- Musser, J.M. Antimicrobial Agent Resistance in Mycobacteria: Molecular Genetic Insights. Clin. Microbiol. Rev. 1995, 8, 496–514. [Google Scholar]
- Ravishankar, S.; Harrison, M.A.; Wicker, L. Protein Profile Changes in Acid Adapted Listeria Monocytogenes Exhibiting Cross-Protection against an Activated Lactoperoxidase System in Tryptic Soy Broth. J. Food Saf. 2000, 20, 27–42. [Google Scholar] [CrossRef]
- Che, Y.; Xia, Y.; Liu, L.; Li, A.D.; Yang, Y.; Zhang, T. Mobile Antibiotic Resistome in Wastewater Treatment Plants Revealed by Nanopore Metagenomic Sequencing. Microbiome 2019, 7, 1–13. [Google Scholar] [CrossRef]
- Yang, H.; Xu, M.; Wang, L.; Wang, X.; Jeppesen, E.; Zhang, W. Metagenomic Analysis to Determine the Characteristics of Antibiotic Resistance Genes in Typical Antibiotic-Contaminated Sediments. J. Environ. Sci. 2022, 128, 12–25. [Google Scholar] [CrossRef]





| Group | Time | pH | DO (mg/L) | COD (mg/L) | Inorganic Nitrogen (mg/L) | Reactive Phosphate (mg/L) |
|---|---|---|---|---|---|---|
| Coastal | June | 8.02 | 7.95 | 1.27 | 0.18 | 0.008 |
| August | 7.86 | 7.46 | 1.50 | 0.32 | 0.032 | |
| October | 7.70 | 6.41 | 1.24 | 0.44 | 0.058 | |
| Deep-sea | June | 8.19 | 6.96 | 0.50 | 0.045 | 0.003 |
| August | 8.22 | 6.60 | 0.54 | 0.006 | 0.003 | |
| October | 8.13 | 7.46 | 0.40 | 0.004 | 0.002 |
| Diversity Index | Group | |||||
|---|---|---|---|---|---|---|
| Jun Deep-Sea | Aug Deep-Sea | Oct Deep-Sea | Jun Coastal | Aug Coastal | Oct Coastal | |
| Chao1_index | 42 | 40 | 44 | 42 | 43 | 41 |
| Shannon_index | 1.22 | 1.19 | 1.13 | 1.16 | 1.2 | 1.19 |
| Simpson_index | 0.57 | 0.58 | 0.55 | 0.58 | 0.58 | 0.58 |
Disclaimer/Publisher’s Note: The statements, opinions and data contained in all publications are solely those of the individual author(s) and contributor(s) and not of MDPI and/or the editor(s). MDPI and/or the editor(s) disclaim responsibility for any injury to people or property resulting from any ideas, methods, instructions or products referred to in the content. |
© 2023 by the authors. Licensee MDPI, Basel, Switzerland. This article is an open access article distributed under the terms and conditions of the Creative Commons Attribution (CC BY) license (https://creativecommons.org/licenses/by/4.0/).
Share and Cite
Li, S.; Wang, S.; Pan, C.; Luo, Y.; Liang, S.; Long, S.; Yang, X.; Wang, B. Differences in Physiological Performance and Gut Microbiota between Deep-Sea and Coastal Aquaculture of Thachinotus Ovatus: A Metagenomic Approach. Animals 2023, 13, 3365. https://doi.org/10.3390/ani13213365
Li S, Wang S, Pan C, Luo Y, Liang S, Long S, Yang X, Wang B. Differences in Physiological Performance and Gut Microbiota between Deep-Sea and Coastal Aquaculture of Thachinotus Ovatus: A Metagenomic Approach. Animals. 2023; 13(21):3365. https://doi.org/10.3390/ani13213365
Chicago/Turabian StyleLi, Shuangfei, Shilin Wang, Cong Pan, Yanqing Luo, Shitong Liang, Siru Long, Xuewei Yang, and Boyu Wang. 2023. "Differences in Physiological Performance and Gut Microbiota between Deep-Sea and Coastal Aquaculture of Thachinotus Ovatus: A Metagenomic Approach" Animals 13, no. 21: 3365. https://doi.org/10.3390/ani13213365
APA StyleLi, S., Wang, S., Pan, C., Luo, Y., Liang, S., Long, S., Yang, X., & Wang, B. (2023). Differences in Physiological Performance and Gut Microbiota between Deep-Sea and Coastal Aquaculture of Thachinotus Ovatus: A Metagenomic Approach. Animals, 13(21), 3365. https://doi.org/10.3390/ani13213365
