Replacing Fertilizer with Dried Distillers’ Grains in Stocker Cattle Systems on Southern Great Plains Old World Bluestem, USA
Abstract
:Simple Summary
Abstract
1. Introduction
2. Materials and Methods
2.1. Research Site
2.2. Experimental Design and Treatments
2.3. Cattle and Measurements
2.4. Cattle Management
2.5. Forage Sampling Procedures
2.6. Laboratory Analysis
2.7. Economic Analysis
2.8. Nutrient Retention by Cattle
2.9. Greenhouse Gas Emissions
2.9.1. Enteric Methane
2.9.2. Manure Methane
2.9.3. Nitrous Oxide
2.9.4. Indirect Emissions
2.10. Nitrous Oxide Flux
2.11. Statistical Analysis
3. Results
4. Discussion
4.1. Effect of Treatment × Year Interaction
4.2. Effect of Treatment
4.3. Effect of Year
4.4. Nitrous Oxide Emissions
5. Conclusions
Author Contributions
Funding
Institutional Review Board Statement
Data Availability Statement
Conflicts of Interest
References
- Dewald, C.L.; Berg, W.A.; Sims, P.A.L. New Seed Technology for Old Farmland. J. Soil Water Conserv. 1985, 40, 277–279. [Google Scholar]
- Berg, W.A. Old World Bluestem Responses to Nitrogen Fertilization. J. Range Manag. 1990, 43, 265–270. [Google Scholar] [CrossRef]
- Ackerman, C.J.; Purvis, H.T.; Horn, G.W.; Paisley, S.I.; Reuter, R.R.; Bodine, T.N. Performance of Light vs Heavy Steers Grazing Plains Old World Bluestem at Three Stocking Rates. J. Anim. Sci. 2001, 79, 493–499. [Google Scholar] [CrossRef]
- Klopfenstein, T.J.; Lomas, L.; Blasi, D.; Epp, M.; Adams, D.C.; Schacht, W.H.; Morris, S.; Gustad, K.; Greenquist, M.A.; MacDonald, J.C.; et al. Summary Analysis of Grazing Yearling Response to Distillers Grains; Nebraska Beef Report; University of Nebraska: Lincoln, NE, USA, 2007; pp. 10–11. [Google Scholar]
- Wilkinson, S.R.; Langdale, G.W. Fertility Needs of the Warm-Season Grasses. In Forage Fertilization; John Wiley & Sons, Ltd.: Hoboken, NJ, USA, 1974; pp. 119–145. ISBN 978-0-89118-239-9. [Google Scholar]
- Brady, N.C.; Weil, R.R. The Nature and Properties of Soils, 13th ed.; Prentice Hall: Upper Saddle River, NJ, USA, 2002; ISBN 0-13-016763-0. [Google Scholar]
- IPCC. 2006 IPCC Guidlines for National Greenhouse Gas Inventories; Eggleston, H.S., Buendia, L., Miwa, K., Ngara, T., Tanabe, K., Eds.; National Greenhouse Gas Inventories Programme: Hayama, Japan, 2006. [Google Scholar]
- Greenquist, M.A.; Klopfenstein, T.J.; Schacht, W.H.; Erickson, G.E.; Vander Pol, K.J.; Luebbe, M.K.; Brink, K.R.; Schwarz, A.K.; Baleseng, L.B. Effects of Nitrogen Fertilization and Dried Distillers Grains Supplementation: Forage Use and Performance of Yearling Steers. J. Anim. Sci. 2009, 87, 3639–3646. [Google Scholar] [CrossRef]
- Greenquist, M.A.; Schwarz, A.K.; Klopfenstein, T.J.; Schacht, W.H.; Erickson, G.E.; Vander Pol, K.J.; Luebbe, M.K.; Brink, K.R.; Baleseng, L.B. Effects of Nitrogen Fertilization and Dried Distillers Grains Supplementation: Nitrogen Use Efficiency. J. Anim. Sci. 2011, 89, 1146–1152. [Google Scholar] [CrossRef]
- National Academies of Sciences, Engineering, and Medicine. Nutrient Requirements of Beef Cattle, 8th ed.; Animal Nutrition Series; The National Academies Press: Washington, DC, USA, 2016; ISBN 978-0-309-31702-3. [Google Scholar]
- National Research Council. Nutrient Requirements of Beef Cattle, 7th ed.; National Academy Press: Washington, DC, USA, 2000; ISBN 978-0-309-38813-9. [Google Scholar]
- Appuhamy, J.A.D.R.N.; Strathe, A.B.; Jayasundara, S.; Wagner-Riddle, C.; Dijkstra, J.; France, J.; Kebreab, E. Anti-Methanogenic Effects of Monensin in Dairy and Beef Cattle: A Meta-Analysis. J. Dairy Sci. 2013, 96, 5161–5173. [Google Scholar] [CrossRef] [PubMed]
- Honan, M.; Feng, X.; Tricarico, J.M.; Kebreab, E.; Honan, M.; Feng, X.; Tricarico, J.M.; Kebreab, E. Feed Additives as a Strategic Approach to Reduce Enteric Methane Production in Cattle: Modes of Action, Effectiveness and Safety. Anim. Prod. Sci. 2022, 62, 1303–1317. [Google Scholar] [CrossRef]
- Sauer, F.D.; Fellner, V.; Kinsman, R.; Kramer, J.K.G.; Jackson, H.A.; Lee, A.J.; Chen, S. Methane Output and Lactation Response in Holstein Cattle with Monensin or Unsaturated Fat Added to the Diet. J. Anim. Sci. 1998, 76, 906–914. [Google Scholar] [CrossRef]
- Odongo, N.E.; Bagg, R.; Vessie, G.; Dick, P.; Or-Rashid, M.M.; Hook, S.E.; Gray, J.T.; Kebreab, E.; France, J.; McBride, B.D.W. Long-Term Effects of Feeding Monensin on Methane Production in Lactating Dairy Cows. J. Dairy Sci. 2007, 90, 1781–1788. [Google Scholar] [CrossRef]
- McGinn, S.M.; Beauchemin, K.A.; Coates, T.; Colombatto, D. Methane Emissions from Beef Cattle: Effects of Monensin, Sunflower Oil, Enzymes, Yeast, and Fumaric Acid1. J. Anim. Sci. 2004, 82, 3346–3356. [Google Scholar] [CrossRef]
- Vyas, D.; Alemu, A.W.; McGinn, S.M.; Duval, S.M.; Kindermann, M.; Beauchemin, K.A. The Combined Effects of Supplementing Monensin and 3-Nitrooxypropanol on Methane Emissions, Growth Rate, and Feed Conversion Efficiency in Beef Cattle Fed High-Forage and High-Grain Diets. J. Anim. Sci. 2018, 96, 2923–2938. [Google Scholar] [CrossRef] [PubMed]
- West, T.O.; Marland, G. A Synthesis of Carbon Sequestration, Carbon Emissions, and Net Carbon Flux in Agriculture: Comparing Tillage Practices in the United States. Agric. Ecosyst. Environ. 2002, 91, 217–232. [Google Scholar] [CrossRef]
- Bothast, R.J.; Schlicher, M.A. Biotechnological Processes for Conversion of Corn into Ethanol. Appl. Microbiol. Biotechnol. 2005, 67, 19–25. [Google Scholar] [CrossRef]
- Kim, S.; Dale, B. Regional Variations in Greenhouse Gas Emissions of Biobased Products in the United States—Corn-Based Ethanol and Soybean Oil. Int. J. Life Cycle Assess. 2009, 14, 540–546. [Google Scholar] [CrossRef]
- American Soybean Association Soybean Facts and Figures. Available online: https://www.agri-pulse.com/ext/resources/AgSummit/2017-SoyStats.pdf (accessed on 15 December 2022).
- Parkin, T.B.; Venterea, R.T. Chamber-Based Trace Gas Flux Measurements. In Sampling Protocols; Follett, R.F., Ed.; USDA–ARS: Washington, DC, USA, 2010; Chapter 3; pp. 3-1–3-39. [Google Scholar]
- West, C.P.; Mallarino, A.P.; Wedin, W.F.; Marx, D.B. Spatial Variability of Soil Chemical Properties in Grazed Pastures. Soil Sci. Soc. Am. J. 1989, 53, 784–789. [Google Scholar] [CrossRef]
- Dubeux, J.C.B.; Sollenberger, L.E.; Mathews, B.D.W.; Scholberg, J.M.; Santos, H.Q. Nutrient Cycling in Warm-Climate Grasslands. Crop Sci. 2007, 47, 915–928. [Google Scholar] [CrossRef]
- Franzluebbers, A.J.; Stuedemann, J.A. Surface Soil Changes during Twelve Years of Pasture Management in the Southern Piedmont USA. Soil Sci. Soc. Am. J. 2010, 74, 2131–2141. [Google Scholar] [CrossRef]
- White-Leech, R.; Liu, K.S.; Sollenberger, L.E.; Woodard, K.R.; Interrante, S.M. Excreta Deposition on Grassland Patches. I. Forage Harvested, Nutritive Value, and Nitrogen Recovery. Crop Sci. 2013, 53, 688–695. [Google Scholar] [CrossRef]
- Dubeux, J.C.B.; Sollenberger, L.E. Chapter 4—Nutrient Cycling in Grazed Pastures. In Management Strategies for Sustainable Cattle Production in Southern Pastures; Rouquette, M., Aiken, G.E., Eds.; Academic Press: Cambridge, MA, USA, 2020; pp. 59–75. ISBN 978-0-12-814474-9. [Google Scholar]
- Peterson, P.R.; Gerrish, J.R. Grazing Systems and Spatial Distribution of Nutrients in Pastures: Livestock Management Considerations. In Nutrient Cycling in Forage Systems; Joost, R.E., Roberts, C.A., Eds.; PPI/FAR: Columbia, MO, USA, 1996; pp. 203–212. [Google Scholar]
- Rouquette, F.M.; Matocha, J.E.; Duble, R.L. Recycling and Recovery of Nitrogen, Phosphorus, and Potassium by Coastal Bermudagrass: II. Under Grazing Conditions with Two Stocking Rates1. J. Environ. Qual. 1973, 2, 129–132. [Google Scholar] [CrossRef]
- Saneoka, H.; Fujita, K.; Ogata, S. Effect of Phosphorus on Drought Tolerance in Chloris Gayana Kunth and Coix Lacryma-Jobi L. Soil Sci. Plant Nutr. 1990, 36, 267–274. [Google Scholar] [CrossRef]
- Jones, C.A.; Jacobsen, J.S.; Wraith1, J.M. Response of Malt Barley to Phosphorus Fertilization Under Drought Conditions. J. Plant Nutr. 2005, 28, 1605–1617. [Google Scholar] [CrossRef]
- Rodriguez, D.; Goudriaan, J.; Oyarzabal, M.; Pomar, M.C. Phosphorus Nutrition and Water Stress Tolerance in Wheat Plants. J. Plant Nutr. 1996, 19, 29–39. [Google Scholar] [CrossRef]
- Walton, P.D.; Martinez, R.; Bailey, A.W. A Comparison of Continuous and Rotational Grazing. J. Range Manag. 1981, 34, 19–21. [Google Scholar] [CrossRef]
- Jung, H.G.; Rice, R.W.; Koong, L.J. Comparison of Heifer Weight Gains and Forage Quality for Continuous and Short-Duration Grazing Systems. J. Range Manag. 1985, 38, 144–148. [Google Scholar] [CrossRef]
- Welchons, C.; Bondurant, R.; Hilscher, F.H.; Klopfenstein, T.J.; Watson, A.; MacDonald, J. Effect of Continuous or Rotational Grazing on Growing Steer Performance and Land Production. In Nebraska Beef Cattle Reports; University of Nebraska: Lincoln, NE, USA, 2018. [Google Scholar]
- Smith, L.W.; Goering, H.K.; Gordon, C.H. Relationships of Forage Compositions with Rates of Cell Wall Digestion and Indigestibility of Cell Walls. J. Dairy Sci. 1972, 55, 1140–1147. [Google Scholar] [CrossRef]
- Jung, H.G.; Vogel, K.P. Influence of Lignin on Digestibility of Forage Cell Wall Material. J. Anim. Sci. 1986, 62, 1703–1712. [Google Scholar] [CrossRef]
- Jung, H.G.; Allen, M.S. Characteristics of Plant Cell Walls Affecting Intake and Digestibility of Forages by Ruminants. J. Anim. Sci. 1995, 73, 2774–2790. [Google Scholar] [CrossRef]
- Colville, W.L.; Chesnin, L.; McGill, D.P. Effect of Precipitation and Long Term Nitrogen Fertilization on Nitrogen Uptake, Crude Protein Content and Yield of Bromegrass Forage. Agron. J. 1963, 55, 215–218. [Google Scholar] [CrossRef]
- Berg, W.A.; Sims, P.A.L. Nitrogen Fertilizer Use Efficiency in Steer Gain on Old World Bluestem. J. Range Manag. 1995, 48, 465–469. [Google Scholar] [CrossRef]
- Belesky, D.P.; Fedders, J.M. Comparative Growth Analysis of Cool- and Warm-Season Grasses in a Cool-Temperate Environment. Agron. J. 1995, 87, 974–980. [Google Scholar] [CrossRef]
- MacDonald, J.C.; Klopfenstein, T.J.; Erickson, G.E.; Griffin, W.A. Effects of Dried Distillers Grains and Equivalent Undegradable Intake Protein or Ether Extract on Performance and Forage Intake of Heifers Grazing Smooth Bromegrass Pastures. J. Anim. Sci. 2007, 85, 2614–2624. [Google Scholar] [CrossRef]
- Liebig, M.A.; Gross, J.R.; Kronberg, S.R.L.; Phillips, R.L. Grazing Management Contributions to Net Global Warming Potential: A Long-Term Evaluation in the Northern Great Plains. J. Environ. Qual. 2010, 39, 799–809. [Google Scholar] [CrossRef] [PubMed]
- Pinares-Patiño, C.S.; D’Hour, P.; Jouany, J.-P.; Martin, C. Effects of Stocking Rate on Methane and Carbon Dioxide Emissions from Grazing Cattle. Agric. Ecosyst. Environ. 2007, 121, 30–46. [Google Scholar] [CrossRef]
- McCollum, F.T.; Gillen, R.L.; Brummer, J.E. Cattle Diet Quality under Short Duration Grazing on Tallgrass Prairie. J. Range Manag. 1994, 47, 489–493. [Google Scholar] [CrossRef]
- McCollum, F.T.; Gillen, R.L. Grazing Management Affects Nutrient Intake by Steers Grazing Tallgrass Prairie. J. Range Manag. 1998, 51, 69–72. [Google Scholar] [CrossRef]
- Volesky, J.D.; Schacht, W.H.; Richardson, D.M. Stocking Rate and Grazing Frequency Effects on Nebraska Sandhills Meadows. J. Range Mgmt. 2004, 57, 553–560. [Google Scholar] [CrossRef]
- Judy, J.V.; Jenkins, K.H.; Klopfenstein, T.J.; Stalker, L.A.; Volesky, J.D. Effects of Stocking Rate on Forage Nutrient Composition of Nebraska Sandhills Upland Range When Grazed in Early Summer. J. Anim. Sci. 2015, 93, 4343–4349. [Google Scholar] [CrossRef] [PubMed]
- Plechaty, T.R.; Scasta, J.D.; Derner, J.D. Does Adaptive Grazing Management Influence Dietary Quality of Yearlings during the Grazing Season on Western Great Plains Rangelands? J. Anim. Sci. 2016, 94, 5. [Google Scholar] [CrossRef]
- Blaxter, K.L.; Clapperton, J.L. Prediction of the Amount of Methane Produced by Ruminants. Br. J. Nutr. 1965, 19, 511–522. [Google Scholar] [CrossRef]
- McCaughey, W.P.; Wittenberg, K.; Corrigan, D. Impact of Pasture Type on Methane Production by Lactating Beef Cows. Can. J. Anim. Sci. 1999, 79, 221–226. [Google Scholar] [CrossRef]
- Hegarty, R.S.; Goopy, J.P.; Herd, R.M.; McCorkell, B. Cattle Selected for Lower Residual Feed Intake Have Reduced Daily Methane Production. J. Anim. Sci. 2007, 85, 1479–1486. [Google Scholar] [CrossRef]
- Fitzsimons, C.; Kenny, D.A.; Deighton, M.H.; Fahey, A.G.; McGee, M. Methane Emissions, Body Composition, and Rumen Fermentation Traits of Beef Heifers Differing in Residual Feed Intake. J. Anim. Sci. 2013, 91, 5789–5800. [Google Scholar] [CrossRef] [PubMed]
- Moe, P.W.; Tyrrell, H.F. Methane Production in Dairy Cows. J. Dairy Sci. 1979, 62, 1583–1586. [Google Scholar] [CrossRef]
- Alemu, A.W.; Janzen, H.; Little, S.; Hao, X.; Thompson, D.J.; Baron, V.; Iwaasa, A.; Beauchemin, K.A.; Kröbel, R. Assessment of Grazing Management on Farm Greenhouse Gas Intensity of Beef Production Systems in the Canadian Prairies Using Life Cycle Assessment. Agric. Syst. 2017, 158, 1–13. [Google Scholar] [CrossRef]
- Wang, T.; Teague, W.R.; Park, S.C.; Bevers, S. GHG Mitigation Potential of Different Grazing Strategies in the United States Southern Great Plains. Sustainability 2015, 7, 13500–13521. [Google Scholar] [CrossRef]
- Food and Agriculture Organization FAOSTAT. Available online: https://www.fao.org/faostat/en/#home (accessed on 7 December 2021).
- Capper, J.L. Is the Grass Always Greener? Comparing the Environmental Impact of Conventional, Natural and Grass-Fed Beef Production Systems. Animals 2012, 2, 127–143. [Google Scholar] [CrossRef]
- Hayek, M.N.; Garrett, R.D. Nationwide Shift to Grass-Fed Beef Requires Larger Cattle Population. Environ. Res. Lett. 2018, 13, 084005. [Google Scholar] [CrossRef]
- Klopatek, S.C.; Marvinney, E.; Duarte, T.; Kendall, A.; Yang, X.; Oltjen, J.W. Grass-Fed vs. Grain-Fed Beef Systems: Performance, Economic, and Environmental Trade-Offs. J. Anim. Sci. 2022, 100, skab374. [Google Scholar] [CrossRef]
- Gadberry, S.; Lalman, D.; White, F.; Linneen, S.; Beck, P. Meta-Analysis of the Effects of Monensin on Growth and Bloat of Cattle on Pasture. Transl. Anim. Sci. 2022, 6, txac031. [Google Scholar] [CrossRef]
- Sheaffer, C.C.; Peterson, P.R.; Hall, M.H.; Stordahl, J.B. Drought Effects on Yield and Quality of Perennial Grasses in the North Central United States. J. Prod. Agric. 1992, 5, 556–561. [Google Scholar] [CrossRef]
- Heitschmidt, R.K.; Haferkamp, M.R.; Karl, M.G.; Hild, A.L. Drought and Grazing: I. Effects on Quantity of Forage Produced. J. Range Manag. 1999, 52, 440–446. [Google Scholar] [CrossRef]
- Thurow, T.L.; Taylor, C.A. Viewpoint: The Role of Drought in Range Management. J. Range Manag. 1999, 52, 413–419. [Google Scholar] [CrossRef]
- Heitschmidt, R.K.; Klement, K.D.; Haferkamp, M.R. Interactive Effects of Drought and Grazing on Northern Great Plains Rangelands. Rangel. Ecol. Manag. 2005, 58, 11–19. [Google Scholar] [CrossRef]
- Liu, W.; Liu, L.; Yan, R.; Gao, J.; Wu, S.; Liu, Y. A Comprehensive Meta-Analysis of the Impacts of Intensified Drought and Elevated CO2 on Forage Growth. J. Environ. Manag. 2023, 327, 116885. [Google Scholar] [CrossRef] [PubMed]
- Loeser, M.R.R.; Sisk, T.D.; Crews, T.E. Impact of Grazing Intensity during Drought in an Arizona Grassland. Conserv. Biol. 2007, 21, 87–97. [Google Scholar] [CrossRef] [PubMed]
- Grant, K.; Kreyling, J.; Dienstbach, L.F.H.; Beierkuhnlein, C.; Jentsch, A. Water Stress Due to Increased Intra-Annual Precipitation Variability Reduced Forage Yield but Raised Forage Quality of a Temperate Grassland. Agric. Ecosyst. Environ. 2014, 186, 11–22. [Google Scholar] [CrossRef]
- Carter, P.R.; Sheaffer, C.C. Alfalfa Response to Soil Water Deficits. I. Growth, Forage Quality, Yield, Water Use, and Water-Use Efficiency. Crop Sci. 1983, 23, 669–675. [Google Scholar] [CrossRef]
- Peterson, P.R.; Sheaffer, C.C.; Hall, M.H. Drought Effects on Perennial Forage Legume Yield and Quality. Agron. J. 1992, 84, 774–779. [Google Scholar] [CrossRef]
- Berg, W.A. Soil-Nitrogen Accumulation in Fertilized Pastures of the Southern Plains. J. Range Manag. 1988, 41, 22–25. [Google Scholar] [CrossRef]
- White, R.R.; Capper, J.L. An Environmental, Economic, and Social Assessment of Improving Cattle Finishing Weight or Average Daily Gain within U.S. Beef Production. J. Anim. Sci. 2013, 91, 5801–5812. [Google Scholar] [CrossRef]
- Velthof, G.L.; Oenema, O.; Postma, R.; Van Beusichem, M.L. Effects of Type and Amount of Applied Nitrogen Fertilizer on Nitrous Oxide Fluxes from Intensively Managed Grassland. Nutr. Cycl. Agroecosyst. 1996, 46, 257–267. [Google Scholar] [CrossRef]
- Hyde, B.P.; Hawkins, M.J.; Fanning, A.F.; Noonan, D.; Ryan, M.; O’ Toole, P.; Carton, O.T. Nitrous Oxide Emissions from a Fertilized and Grazed Grassland in the South East of Ireland. Nutr. Cycl. Agroecosyst. 2006, 75, 187–200. [Google Scholar] [CrossRef]
- Cardenas, L.M.; Bhogal, A.; Chadwick, D.R.; McGeough, K.; Misselbrook, T.; Rees, R.M.; Thorman, R.E.; Watson, C.J.; Williams, J.R.; Smith, K.A.; et al. Nitrogen Use Efficiency and Nitrous Oxide Emissions from Five UK Fertilised Grasslands. Sci. Total Environ. 2019, 661, 696–710. [Google Scholar] [CrossRef] [PubMed]
- Clayton, H.; Arah, J.R.M.; Smith, K.A. Measurement of Nitrous Oxide Emissions from Fertilized Grassland Using Closed Chambers. J. Geophys. Res. Atmos. 1994, 99, 16599–16607. [Google Scholar] [CrossRef]
- Velthof, G.L.; Oenema, O. Nitrous Oxide Fluxes from Grassland in the Netherlands: II. Effects of Soil Type, Nitrogen Fertilizer Application and Grazing. Eur. J. Soil Sci. 1995, 46, 541–549. [Google Scholar] [CrossRef]
- Oenema, O.; Velthof, G.L.; Yamulki, S.; Jarvis, S.C. Nitrous Oxide Emissions from Grazed Grassland. Soil Use Manag. 1997, 13, 288–295. [Google Scholar] [CrossRef]
- Núñez, P.; Demanet, R.; Matus, F. Grazing Management, Ammonia and Nitrous Oxide Emissions: A General View. J. Soil Sci. Plant Nutr. 2007, 7, 61–99. [Google Scholar]






| Item | Distiller’s Grains | Protein |
|---|---|---|
| Ingredient, % as-fed | ||
| Dried distiller’s grains plus solubles | 100.00 | - |
| Cottonseed meal | - | 80.50 |
| Soybean meal | - | 11.85 |
| Wheat middlings | - | 7.50 |
| Rumensin 80 | - | 0.15 |
| Nutrient (mean ± SD) | ||
| Dry matter, % | 89.70 ± 0.46 | 91.10 ± 0.68 |
| Crude protein, % DM | 31.38 ± 1.58 | 44.93 ± 1.83 |
| Neutral detergent fiber, % DM | 34.60 ± 3.34 | 26.40 ± 2.68 |
| Acid detergent fiber, % DM | 16.03 ± 2.04 | 14.85 ± 1.36 |
| Calcium, % DM | 0.04 ± 0.01 | 0.30 ± 0.02 |
| Phosphorus, % DM | 1.02 ± 0.08 | 1.20 ± 0.03 |
| Magnesium, % DM | 0.38 ± 0.03 | 0.67 ± 0.01 |
| Sulfur, % DM | 0.67 ± 0.15 | 0.48 ± 0.03 |
| Potassium, % DM | 1.28 ± 0.11 | 1.86 ± 0.02 |
| Sodium, % DM | 0.26 ± 0.09 | 0.17 ± 0.04 |
| Total digestible nutrients 1, % DM | 81.25 ± 1.92 | 78.75 ± 0.83 |
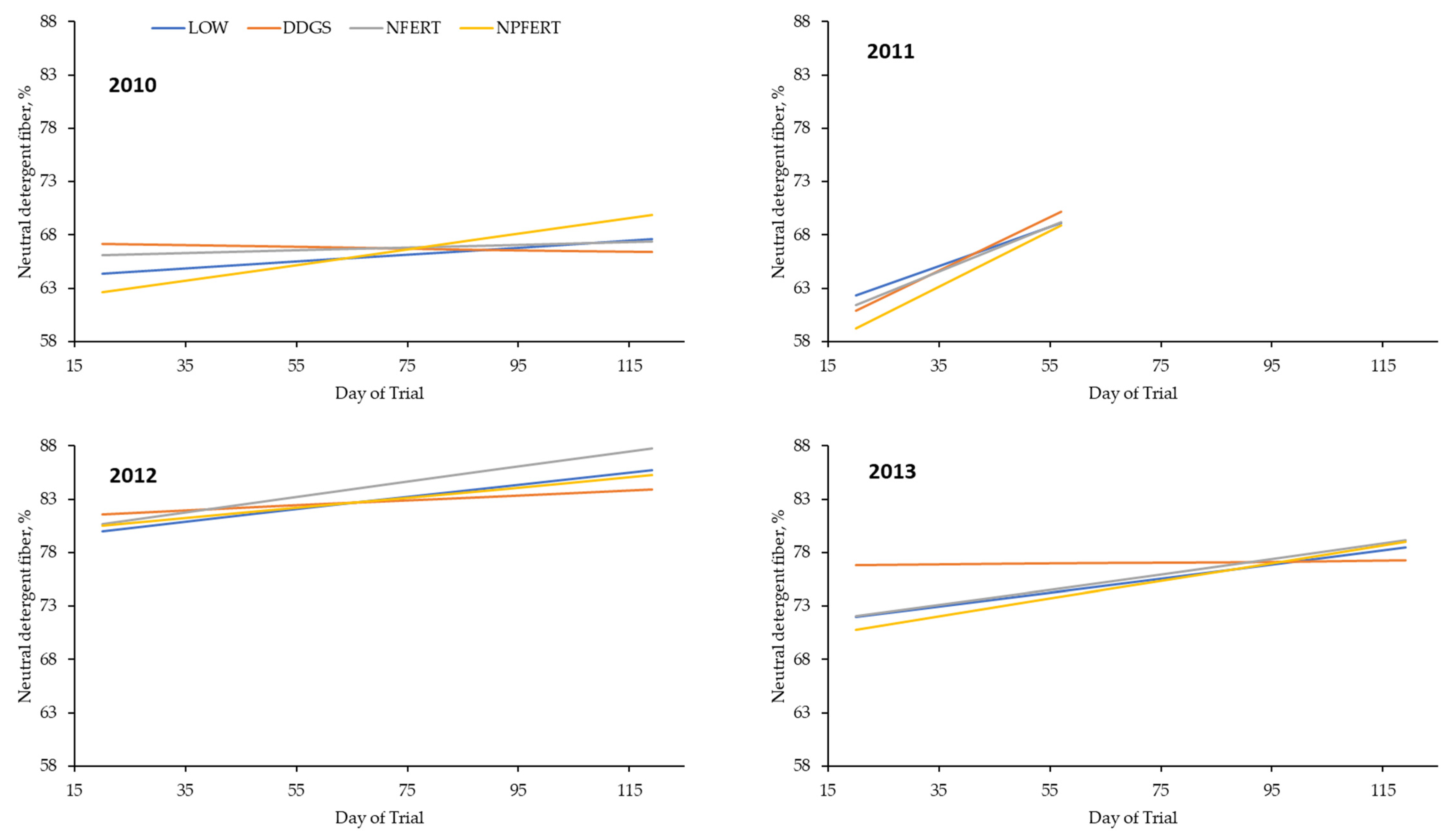
| Year | TRT 1 | Biomass (kg/ha) | CP (%) | P (%) | NDF (%) | ADF (%) | TDN (%) |
|---|---|---|---|---|---|---|---|
| 2010 | LOW 2 | 6290 ab | 9.25 zZ | 0.15 yY | 65.87 Z | 33.67 X | 62.67 Z |
| DDGS | 5562 b | 9.41 yzZ | 0.15 yzY | 66.83 Z | 34.34 X | 62.15 Z | |
| NFERT | 5192 bc | 10.23 yzZ | 0.15 yY | 66.68 Z | 33.14 X | 63.08 Z | |
| NPFERT | 5656 b | 10.36 yZ | 0.16 zY | 65.97 Z | 33.48 X | 62.82 Z | |
| 2011 | LOW | 3932 cd | 7.90 zY | 0.08 yX | 70.78 Y | 34.11 X | 62.33 Z |
| DDGS | 3316 d | 8.03 yzY | 0.09 yzX | 72.42 Y | 34.03 X | 62.39 Z | |
| NFERT | 3278 d | 9.71 yzY | 0.07 yX | 71.12 Y | 33.99 X | 62.42 Z | |
| NPFERT | 3560 d | 10.13 yY | 0.12 zX | 71.26 Y | 33.38 X | 62.89 Z | |
| 2012 | LOW | 3013 d | 11.61 zX | 0.23 yZ | 82.68 W | 44.19 Z | 54.47 X |
| DDGS | 2938 d | 12.74 yzX | 0.25 yzZ | 82.71 W | 42.83 Z | 55.53 X | |
| NFERT | 3053 d | 12.58 yzX | 0.25 yZ | 84.01 W | 43.47 Z | 55.04 X | |
| NPFERT | 3670 d | 13.30 yX | 0.24 zZ | 82.72 W | 43.52 Z | 55.00 X | |
| 2013 | LOW | 6140 ab | 15.05 zW | 0.15 yY | 75.01 X | 39.68 Y | 57.99 Y |
| DDGS | 5007 bc | 17.34 yzW | 0.17 yzY | 77.02 X | 39.91 Y | 57.81 Y | |
| NFERT | 6055 ab | 18.44 yzW | 0.14 yY | 75.38 X | 39.38 Y | 58.22 Y | |
| NPFERT | 7001a | 18.45 yW | 0.24 zY | 74.61 X | 37.97 Y | 59.32 Y | |
| SEM | 485 | 0.93 | 0.02 | 0.91 | 1.11 | 0.86 | |
| p-value | TRT | 0.01 | 0.01 | 0.03 | 0.01 | 0.08 | 0.08 |
| Year | 0.07 | 0.01 | 0.01 | 0.01 | 0.01 | 0.01 | |
| TRT*Year | 0.04 | 0.77 | 0.36 | 0.36 | 0.78 | 0.78 |
| Year | TRT 1 | Biomass (kg/ha/d) | CP (%/d) | P (%/d) | NDF (%/d) | ADF (%/d) | TDN (%/d) |
|---|---|---|---|---|---|---|---|
| 2010 | LOW 2 | 31.99 abc | –0.026 | –0.00044 | 0.032 ab | 0.034 | –0.027 |
| DDGS | 14.41 abc | –0.010 | –0.00002 | –0.008 a | 0.013 | –0.010 | |
| NFERT | 6.18 abc | –0.042 | –0.00032 | 0.013 a | 0.018 | –0.014 | |
| NPFERT | 12.13 abc | –0.057 | –0.00014 | 0.074 abc | 0.068 | –0.053 | |
| 2011 | LOW | –9.10 a | –0.161 | –0.00184 | 0.184 bcde | 0.133 | –0.104 |
| DDGS | –30.25 a | –0.164 | –0.00209 | 0.251 de | 0.169 | –0.131 | |
| NFERT | –26.82 a | –0.224 | –0.00240 | 0.211 cde | 0.182 | –0.142 | |
| NPFERT | –35.09 a | –0.250 | –0.00320 | 0.263 e | 0.199 | –0.155 | |
| 2012 | LOW | 2.32 abc | –0.032 | 0.00154 | 0.058 abc | 0.070 | –0.054 |
| DDGS | –0.89 abc | –0.007 | 0.00153 | 0.023 ab | 0.023 | –0.018 | |
| NFERT | –11.88 a | –0.039 | 0.00099 | 0.071 abc | 0.110 | –0.085 | |
| NPFERT | –7.10 ab | –0.022 | 0.00113 | 0.049 abc | 0.062 | –0.048 | |
| 2013 | LOW | 43.65c | 0.055 | –0.00049 | 0.066 abc | 0.060 | –0.046 |
| DDGS | 37.26 bc | 0.035 | –0.00041 | 0.005 a | 0.015 | –0.011 | |
| NFERT | 8.91 abc | 0.007 | –0.00044 | 0.071 abc | 0.057 | –0.045 | |
| NPFERT | –11.36 a | 0.010 | –0.00070 | 0.083 abcd | 0.056 | –0.044 | |
| SEM | 11.82 | 0.022 | 0.00038 | 0.021 | 0.022 | 0.022 | |
| p-value | Day(Year) | 0.01 | 0.01 | 0.01 | 0.01 | 0.01 | 0.01 |
| TRT*Day(Year) | 0.01 | 0.61 | 0.97 | 0.04 | 0.24 | 0.24 |
| Year | TRT 1 | IBW (kg) | FBW (kg) | ADG (kg/d) | Gain (kg/ha) | Est. Forage DMI (kg/d) | Supp. DMI (kg/hd) | Forage Yield (kg/ha) |
|---|---|---|---|---|---|---|---|---|
| 2010 | LOW 2 | 279 Z | 408 yzZ | 0.97 abc | 162 zZ | 9.50 ab | 29.2 e | 15,447 yzY |
| DDGS | 275 Z | 412 zZ | 1.03 ac | 339 yZ | 6.88 efg | 290.8 a | 12,019 zY | |
| NFERT | 272 Z | 386 yZ | 0.86 bcf | 262 xZ | 8.46 abcd | 29.2 e | 12,004 yzY | |
| NPFERT | 272 Z | 389 yZ | 0.88 bcf | 292 xZ | 8.66 abc | 29.2 e | 14,143 yY | |
| 2011 | LOW | 238 Y | 307 yzY | 1.10 ad | 84 zY | 8.75 abc | 0.0 f | 7059 yzZ |
| DDGS | 236 Y | 322 zY | 1.37 g | 222 yY | 6.55 efh | 136.8 d | 5323 zZ | |
| NFERT | 239 Y | 306 yY | 1.07 a | 166 xY | 8.61 abc | 0.0 f | 7464 yzZ | |
| NPFERT | 240 Y | 320 yY | 1.28 dg | 209 xY | 9.66 b | 0.0 f | 10,058 yZ | |
| 2012 | LOW | 264 Z | 331 yzX | 0.56 e | 84 zY | 8.19 acd | 26.4 e | - |
| DDGS | 266 Z | 355 zX | 0.75 fh | 218 yY | 5.63 eh | 235.4 b | - | |
| NFERT | 267 Z | 333 yX | 0.56 e | 158 xY | 8.12 cdg | 24.9 e | - | |
| NPFERT | 265 Z | 336 yX | 0.59 eh | 175 xY | 8.33 acd | 25.2 e | - | |
| 2013 | LOW | 224 Y | 322 yzY | 0.82 bf | 139 zX | 8.24 acd | 29.5 e | - |
| DDGS | 226 Y | 321 zY | 0.78 bf | 273 yX | 5.34 h | 203.2 c | - | |
| NFERT | 226 Y | 312 yY | 0.71 efh | 248 xX | 7.59 cdfg | 26.7 e | - | |
| NPFERT | 227 Y | 312 yY | 0.71 efh | 247 xX | 7.24 dfg | 27.3 e | - | |
| SEM | 9 | 7 | 0.03 | 17 | 0.29 | 2.6 | 1626 | |
| p-value | TRT | 0.99 | 0.01 | 0.01 | 0.01 | 0.01 | 0.01 | 0.04 |
| Year | 0.01 | 0.01 | 0.01 | 0.01 | 0.01 | 0.01 | 0.01 | |
| TRT*Year | 0.99 | 0.29 | 0.01 | 0.76 | 0.02 | 0.01 | 0.25 |
| Year | TRT 1 | Feed Cost (USD/hd) | Fertilizer Cost (USD/hd) | Variable Input Cost (USD/hd) | Revenue (USD/hd) | Returns (USD/hd) | Returns (USD/ha) |
|---|---|---|---|---|---|---|---|
| 2010 | LOW | 9.39 d | 0.00 f | 9.39 hi | 865 yzW | 293.50 yX | 370.30 ef |
| DDGS | 37.60 b | 0.00 f | 37.60 g | 870 yW | 270.20 yX | 670.90 ab | |
| NFERT | 9.39 d | 40.50 e | 49.89 ef | 842 zW | 229.90 zX | 548.80 bcd | |
| NPFERT | 9.39 d | 57.60 cd | 67.01 c | 845 yzW | 215.80 zX | 539.50 cd | |
| 2011 | LOW | 0.00 e | 0.00 f | 0.00 i | 899 yzX | 80.90 yY | 96.00 h |
| DDGS | 36.06 b | 0.00 f | 36.06 g | 938 yX | 66.30 yY | 166.70 gh | |
| NFERT | 0.00 e | 44.10 e | 44.12 fg | 898 zX | 36.00 zY | 92.40 h | |
| NPFERT | 0.00 e | 69.30 b | 69.30 bc | 934 yzX | 46.50 zY | 122.40 h | |
| 2012 | LOW | 9.91 cd | 0.00 f | 9.91 hi | 1037 yzY | 118.20 yZ | 149.20 h |
| DDGS | 61.84 a | 0.00 f | 61.84 cd | 1087 yY | 115.40 yZ | 282.90 fg | |
| NFERT | 9.36 d | 56.20 d | 65.55 cd | 1043 zY | 67.90 zZ | 167.10 gh | |
| NPFERT | 9.46 d | 81.80 a | 91.22 a | 1048 yzY | 47.90 zZ | 118.60 h | |
| 2013 | LOW | 13.91 c | 0.00 f | 13.91 h | 1116 yzZ | 321.00 yX | 443.50 de |
| DDGS | 60.85 a | 0.00 f | 60.85 cd | 1112 yZ | 270.00 yX | 761.70 a | |
| NFERT | 12.61 cd | 43.30 e | 55.93 de | 1091 zZ | 254.70 zX | 743.60 a | |
| NPFERT | 12.87 cd | 66.50 bc | 79.33 b | 1092 yzZ | 231.70 zX | 652.40 abc | |
| SEM | 0.77 | 1.78 | 1.96 | 15.7 | 15.10 | 23.80 | |
| p-value | TRT | 0.01 | 0.01 | 0.01 | 0.03 | 0.01 | 0.01 |
| Year | 0.01 | 0.01 | 0.01 | 0.01 | 0.01 | 0.01 | |
| TRT*Year | 0.01 | 0.01 | 0.01 | 0.56 | 0.65 | 0.01 |
| Urea | Dried Distiller’s Grains | ||||||
|---|---|---|---|---|---|---|---|
| –30% 1 | –20% | –10% | 0% | +10% | +20% | +30% | |
| −30% | 36.72 | 30.87 | 25.02 | 19.17 | 13.32 | 7.47 | 1.62 |
| −20% | 41.52 | 35.67 | 29.82 | 23.97 | 18.12 | 12.27 | 6.42 |
| −10% | 46.32 | 40.47 | 34.62 | 28.77 | 22.92 | 17.07 | 11.22 |
| 0% | 51.12 | 45.27 | 39.42 | 33.57 | 27.72 | 21.87 | 16.02 |
| +10% | 55.92 | 50.07 | 44.22 | 38.37 | 32.52 | 26.67 | 20.82 |
| +20% | 60.72 | 54.87 | 49.02 | 43.17 | 37.32 | 31.47 | 25.62 |
| +30% | 65.52 | 59.67 | 53.82 | 47.97 | 42.12 | 36.27 | 30.42 |
| Year | TRT 1 | N Inputs (kg/ha) | N Retained (kg/ha) | NUE (%) | P Inputs (kg/ha) | P Retained (kg/ha) | PUE (%) |
|---|---|---|---|---|---|---|---|
| 2010 | LOW 2 | 5.74 a | 3.90 zZ | 67.90 a | 3.50 ab | 1.10 zZ | 38.39 z |
| DDGS | 38.38 c | 8.10 xZ | 21.10 de | 71.38 c | 2.28 xZ | 3.22 y | |
| NFERT | 97.89 f | 6.50 yZ | 6.64 f | 7.11 ab | 1.83 yZ | 27.37 z | |
| NPFERT | 98.30 fh | 7.22 xyZ | 7.34 ef | 42.45 gh | 2.03 xyZ | 4.79 y | |
| 2011 | LOW | 3.17 b | 2.27 zY | 71.78 a | 0.00 a | 0.64 zY | - |
| DDGS | 19.77 d | 5.88 xY | 29.74 cd | 30.61 d | 1.65 xY | 5.46 y | |
| NFERT | 93.17 g | 4.52 yY | 4.85 f | 0.00 a | 1.27 yY | - | |
| NPFERT | 93.17 g | 5.56 xyY | 5.97 f | 35.00 dg | 1.56 xyY | 4.47 y | |
| 2012 | LOW | 6.02 a | 2.34 zY | 38.90 bc | 3.21 ab | 0.66 zY | 23.47 z |
| DDGS | 35.05 e | 5.89 xY | 16.81 def | 52.05 e | 1.66 xY | 3.20 y | |
| NFERT | 97.77 f | 4.38 yY | 4.48 f | 6.56 ab | 1.23 yY | 20.10 z | |
| NPFERT | 97.97 f | 4.83 xyY | 4.93 f | 41.65 gh | 1.36 xyY | 3.26 y | |
| 2013 | LOW | 7.32 a | 3.86 zZ | 52.84 b | 4.03 ab | 1.09 zZ | 29.42 z |
| DDGS | 33.27 e | 7.62 xZ | 22.76 d | 61.53 f | 2.14 xZ | 3.46 y | |
| NFERT | 99.99 h | 6.99 yZ | 6.98 ef | 8.57 b | 1.97 yZ | 23.74 z | |
| NPFERT | 100.10 h | 6.99 xyZ | 6.98 ef | 43.57 h | 1.97 xyZ | 4.46 y | |
| SEM | 0.39 | 0.51 | 2.69 | 2.07 | 0.14 | 4.63 | |
| p-value | TRT | 0.01 | 0.01 | 0.01 | 0.01 | 0.01 | 0.01 |
| Year | 0.01 | 0.01 | 0.01 | 0.01 | 0.01 | 0.23 | |
| TRT*Year | 0.01 | 0.95 | 0.01 | 0.01 | 0.95 | 0.71 |
| Year | TRT 1 | Enteric CH4 (kg) | Manure CH4 (kg) | Manure N2O (kg) | Fertilizer N2O (kg) | Direct Emissions (kg CO2eq) | Indirect Emissions (kg CO2eq) | Total Emissions (kg CO2eq) | Total Emissions (kg CO2eq/kg gain) |
|---|---|---|---|---|---|---|---|---|---|
| 2010 | LOW 2 | 563 zY | 12.2 zZ | 5.66 ab | 0.0 z | 16,069 zY | 162 z | 16,231 zY | 12.48 zZ |
| DDGS | 1215 yY | 24.4 yZ | 18.12 efg | 0.0 z | 36,385 yY | 4776 y | 41,160 yY | 12.93 zZ | |
| NFERT | 1039 yY | 22.3 yZ | 11.70 bcdf | 12.6 y | 33,780 yY | 6625 x | 40,405 yY | 17.08 yZ | |
| NPFERT | 1128 yY | 24.5 yZ | 12.70 cdf | 12.4 y | 36,292 yY | 6728 x | 43,020 yY | 16.69 yZ | |
| 2011 | LOW | 223 zX | 4.9 zY | 1.52 a | 0.0 z | 6152 zZ | 0 z | 6152 zZ | 9.49 zY |
| DDGS | 569 yX | 11.1 yY | 7.13 abcd | 0.0 z | 16,634 yZ | 2230 y | 18,955 yZ | 9.16 zY | |
| NFERT | 516 yX | 11.4 yY | 4.61 a | 12.6 y | 18,314 yZ | 6295 x | 24,609 yZ | 16.62 yY | |
| NPFERT | 584 yX | 12.7 yY | 5.39 ab | 12.4 y | 20,208 yZ | 6383 x | 26,591 yZ | 14.78 yY | |
| 2012 | LOW | 441 zZ | 11.4 zZ | 5.85 abc | 0.0 z | 13,041 zY | 142 z | 13,182 zY | 19.41 zX |
| DDGS | 936 yZ | 20.7 yZ | 18.13 efg | 0.0 z | 29,322 yY | 3830 y | 33,152 yY | 16.24 zX | |
| NFERT | 902 yZ | 23.1 yZ | 12.89 df | 12.6 y | 30,735 yY | 6585 x | 37,319 yY | 26.55 yX | |
| NPFERT | 948 yZ | 24.3 yZ | 13.98 dfg | 12.4 y | 32,164 yY | 6676 x | 38,840 yY | 26.45 yX | |
| 2013 | LOW | 511 zYZ | 12.3 zZ | 8.21 abcd | 0.0 z | 15,527 zY | 180 z | 15,707 zY | 13.96 zW |
| DDGS | 987 yYZ | 21.2 yZ | 21.50 e | 0.0 z | 31,611 yY | 3884 y | 35,495 yY | 14.00 zW | |
| NFERT | 1036 yYZ | 24.7 yZ | 21.21 e | 12.6 y | 36,601 yY | 6677 x | 43,279 yY | 20.06 yW | |
| NPFERT | 995 yYZ | 23.2 yZ | 19.89 eg | 12.4 y | 35,081 yY | 6765 x | 41,845 yY | 19.89 yW | |
| SEM | 137 | 3.1 | 2.07 | 1.4 | 4463 | 785 | 5172 | 1.08 | |
| p-value | TRT | 0.01 | 0.01 | 0.01 | 0.01 | 0.01 | 0.01 | 0.01 | 0.01 |
| Year | 0.01 | 0.01 | 0.01 | 1.00 | 0.01 | 0.18 | 0.01 | 0.01 | |
| TRT*Year | 0.78 | 0.73 | 0.02 | 1.00 | 0.75 | 0.70 | 0.76 | 0.13 |
Disclaimer/Publisher’s Note: The statements, opinions and data contained in all publications are solely those of the individual author(s) and contributor(s) and not of MDPI and/or the editor(s). MDPI and/or the editor(s) disclaim responsibility for any injury to people or property resulting from any ideas, methods, instructions or products referred to in the content. |
© 2023 by the authors. Licensee MDPI, Basel, Switzerland. This article is an open access article distributed under the terms and conditions of the Creative Commons Attribution (CC BY) license (https://creativecommons.org/licenses/by/4.0/).
Share and Cite
Wallis, B.D.; Gunter, P.A.; Horn, G.W.; Reuter, R.; Arnall, B.; Warren, J.; Lancaster, S.R.; Lancaster, P.A. Replacing Fertilizer with Dried Distillers’ Grains in Stocker Cattle Systems on Southern Great Plains Old World Bluestem, USA. Animals 2023, 13, 2904. https://doi.org/10.3390/ani13182904
Wallis BD, Gunter PA, Horn GW, Reuter R, Arnall B, Warren J, Lancaster SR, Lancaster PA. Replacing Fertilizer with Dried Distillers’ Grains in Stocker Cattle Systems on Southern Great Plains Old World Bluestem, USA. Animals. 2023; 13(18):2904. https://doi.org/10.3390/ani13182904
Chicago/Turabian StyleWallis, Brody D., Phillip A. Gunter, Gerald W. Horn, Ryan Reuter, Brian Arnall, Jason Warren, Sarah R. Lancaster, and Phillip A. Lancaster. 2023. "Replacing Fertilizer with Dried Distillers’ Grains in Stocker Cattle Systems on Southern Great Plains Old World Bluestem, USA" Animals 13, no. 18: 2904. https://doi.org/10.3390/ani13182904
APA StyleWallis, B. D., Gunter, P. A., Horn, G. W., Reuter, R., Arnall, B., Warren, J., Lancaster, S. R., & Lancaster, P. A. (2023). Replacing Fertilizer with Dried Distillers’ Grains in Stocker Cattle Systems on Southern Great Plains Old World Bluestem, USA. Animals, 13(18), 2904. https://doi.org/10.3390/ani13182904

