In Vitro Rumen Fermentation Characteristics, Estimated Utilizable Crude Protein and Metabolizable Energy Values of Grass Silages, Concentrate Feeds and Their Mixtures
Abstract
:Simple Summary
Abstract
1. Introduction
2. Materials and Methods
2.1. Experimental Design and Description of Feed Materials
2.2. Feed Preparation, Chemical Analysis
2.2.1. Feed Preparation, Chemical Analysis and Dry Sieving for Particle Size Distribution
2.2.2. In Vitro Gas Production
2.3. Calculations and Statistical Analysis
3. Results
3.1. Feeds and Chemical Composition
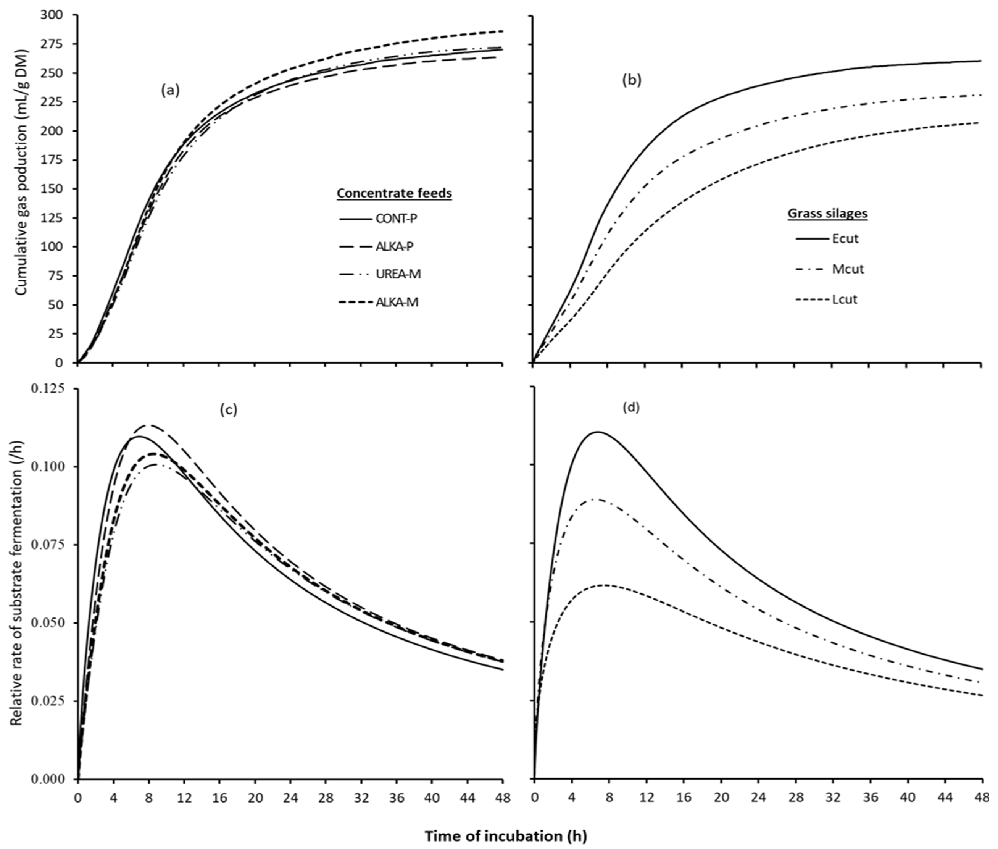
3.2. In Vitro Gas Production
3.3. In Vitro DM Digestibility
3.4. Ammonia Nitrogen and VFA Production
3.5. Estimated Utilizable Crude Protein and Energy Values
4. Discussion
4.1. Gas Production
4.2. Estimated Utilizable Crude Protein and Energy Values
5. Conclusions
Supplementary Materials
Author Contributions
Funding
Institutional Review Board Statement
Informed Consent Statement
Data Availability Statement
Acknowledgments
Conflicts of Interest
References
- Nafstad, O.; Nesse, K.A. Økt matproduksjon på norske ressurser-kan vi ikke bare dyrke mer mat da? In Kjøttets Tilstand: Status i Norsk Kjøtt- og Eggproduksjon; Alvseike, O.A., Kjos, A.-K., Nafstad, O., Odden, H., Arne, T.R., Saltnes, T., Ytterdahl, M., Eds.; Animalia: Oslo, Norway, 2017; pp. 28–33. [Google Scholar]
- Waalen, W.M. Grain and Forage Seed Crops. Available online: https://nibio.no/en/subjects/food/grain-and-forage-seed-crops (accessed on 26 June 2023).
- The Norwegian Food Safety Authority. Norway 2015. Available online: https://www.mattilsynet.no/om_mattilsynet/annual_report_the_norwegian_food_safety_authority_2015.22993 (accessed on 10 July 2023).
- Home n’ Dry pellets. Available online: https://www.homendry.com/alkagrain (accessed on 26 June 2023).
- Humer, E.; Zebeli, Q. Grains in ruminant feeding and potentials to enhance their nutritive and health value by chemical processing. Anim. Feed Sci. Technol. 2017, 226, 133–151. [Google Scholar] [CrossRef]
- Li, M.M.; White, R.R.; Guan, L.L.; Harthan, L.; Hanigan, M.D. Metatranscriptomic analyses reveal ruminal pH regulates fiber degradation and fermentation by shifting the microbial community and gene expression of carbohydrate-active enzymes. Anim. Microbiome 2021, 3, 32. [Google Scholar] [CrossRef]
- Mathison, G.W. Effects of processing on the utilization of grain by cattle. Anim. Feed Sci. Technol. 1996, 58, 113–125. [Google Scholar] [CrossRef]
- Owens, F.N.; Secrist, D.S.; Hill, W.J.; Gill, D.R. The effect of grain source and grain processing on performance of feedlot cattle: A review. J. Anim. Sci. 1997, 75, 868–879. [Google Scholar] [CrossRef]
- Bertipaglia, L.M.A.; Fondevila, M.; van Laar, H.; Castrillo, C. Effect of pelleting and pellet size of a concentrate for intensively reared beef cattle on in vitro fermentation by two different approaches. Anim. Feed Sci. Technol. 2010, 159, 88–95. [Google Scholar] [CrossRef]
- Wan, Y.; Ma, R.; Khalid, A.; Chai, L.; Qi, R.; Liu, W.; Li, J.; Li, Y.; Zhan, K. Effect of the Pellet and Mash Feed Forms on the Productive Performance, Egg Quality, Nutrient Metabolism, and Intestinal Morphology of Two Laying Hen Breeds. Animals 2021, 11, 701. [Google Scholar] [CrossRef]
- Broderick, G.A.; Craig, W.M. Effect of heat treatment on ruminal degradation and escape, and intestinal digestibility of cottonseed meal protein. J. Nutr. 1980, 110, 2381–2389. [Google Scholar] [CrossRef] [PubMed]
- Lund, P.; Weisbjerg, M.R.; Kristensen, T. The effect of heat treatment on degradability and microbial synthesis of protein in the rumen. J. Anim. Feed Sci. 2004, 13, 143–146. [Google Scholar] [CrossRef]
- Mayne, C.S. An evaluation of an inoculant of Lactobacillus plantarum as an additive for grass silage for dairy cattle. Anim. Prod. 1990, 51, 1–13. [Google Scholar] [CrossRef]
- Bakken, A.K.; Vaga, M.; Hetta, M.; Randby, Å.T.; Steinshamn, H. Protein characteristics in grass–clover silages according to wilting rate and fermentation pattern. Grass Forage Sci. 2017, 72, 626–639. [Google Scholar] [CrossRef]
- Dawson, L.E.R.; Kirkland, R.M.; Ferris, C.P.; Steen, R.W.J.; Kilpatrick, D.J.; Gordon, F.J. The effect of stage of perennial ryegrass maturity at harvesting, fermentation characteristics and concentrate supplementation, on the quality and intake of grass silage by beef cattle. Grass Forage Sci. 2002, 57, 255–267. [Google Scholar] [CrossRef]
- Jasaitis, D.K.; Wohlt, J.E.; Evans, J.L. Influence of Feed Ion Content on Buffering Capacity of Ruminant Feedstuffs In Vitro. J. Dairy Sci. 1987, 70, 1391–1403. [Google Scholar] [CrossRef]
- ISO 6496:1999; Animal Feeding Stuffs—Determination of Moisture and Other Volatile Matter Content. International Organization for Standardization: Geneva, Switzerland, 1999.
- ISO 5948:2002; Animal Feeding Stuff—Determination of Crude Ash. International Organization for Standardization: Geneva, Switzerland, 2002.
- AOAC International. Official Methods of Analysis. Association of Official Analytical Chemists (Method 2001.11); AOAC: Gaithersburg, MD, USA, 2002. [Google Scholar]
- Thiex, N.J.; Manson, H.; Anderson, S.; Persson, J.Å. Determination of crude protein in animal feed, forage, grain, and oilseeds by using block digestion with a copper catalyst and steam distillation into boric acid: Collaborative study. J. AOAC Int. 2002, 85, 309–317. [Google Scholar] [CrossRef] [PubMed]
- AACC. Method 76-13.01—Total starch assay procedure (Megaenzyne amyloglucosidase/alpha-amylase method). In Approved Methods of Analysis, 10th ed.; Cereals and Grains Associations: St. Paul, MN, USA, 2000. [Google Scholar]
- AOAC International (Association of Official Analytical Chemists). Official Method 973.18 Fiber (acid detergent) and lignin in animal feed. In Official Methods of Analysis of AOAC International, 17th ed.; Horwitz, W., Ed.; AOAC International: Gaithersburg, MD, USA, 2000; pp. 37–38. [Google Scholar]
- Randby, Å.T.; Nørgaard, P.; Weisbjerg, M.R. Effect of increasing plant maturity in timothy-dominated grass silage on the performance of growing/finishing Norwegian Red bulls. Grass Forage Sci. 2010, 65, 273–286. [Google Scholar] [CrossRef]
- Volden, H. Feed calculations in NorFor. In NorFor-The Nordic Feed Evaluation System; EAAP Publication No. 130; Volden, H., Ed.; Academic Publishers: Wageningen, The Netherlands, 2011; pp. 55–58. [Google Scholar]
- European Commission. Commission Regulation. (No 152/2009. 27 January 2009). Laying Down the Methods of Sampling and Analysis for the Official Control of Feed. Determination of Crude Oils and Fats; European Commission: Strasbourg, France, 2009. [Google Scholar]
- Randall, E.L. Improved method for fat and oil analysis by a new process of extraction. J. AOAC 1974, 57, 1165–1168. [Google Scholar] [CrossRef]
- ASAE. Method of Determining and Expressing Fineness of Feed Materials by Sieving. ASAE Standard S319.2. Agricultural Engineers Yearbook of Standards; American Society of Agricultural and Biological Engineers: St. Joseph, MI, USA, 1997. [Google Scholar]
- Kidane, A.; Overland, M.; Mydland, L.T.; Prestlokken, E. Interaction between feed use efficiency and level of dietary crude protein on enteric methane emission and apparent nitrogen use efficiency with Norwegian Red dairy cows. J. Anim. Sci. 2018, 96, 3967–3982. [Google Scholar] [CrossRef]
- Goering, H.K.; Van Soest, P.J. Forage Fiber Analysis (Apparatus, Reagents, Procedures and Some Applications); Agricultural Handbook No. 379 ARS-USDA; US Agricultural Research Service: Washington, DC, USA, 1970.
- NorFor. NorFor—The Nordic Feed Evaluation System; Volden, H., Ed.; Academic Publishers: Wageningen, The Netherlands, 2011. [Google Scholar]
- Alvarez, C.; Andersen, T.O.; Eikanger, K.S.; Hamfjord, I.W.; Niu, P.; Weiby, K.V.; Årvik, L.; Dörsch, P.; Hagen, L.H.; Pope, P.B.; et al. Methane inhibition by Asparagopsis taxiformis with rumen fluid collected from ventral and central location-a pilot study. Acta Agric. Scand. A Anim. Sci. 2022, 1–8. [Google Scholar] [CrossRef]
- Edmunds, B.; Südekum, K.H.; Spiekers, H.; Schuster, M.; Schwarz, F.J. Estimating utilisable crude protein at the duodenum, a precursor to metabolisable protein for ruminants, from forages using a modified gas test. Anim. Feed Sci. Technol. 2012, 175, 106–113. [Google Scholar] [CrossRef]
- GfE New equations for predicting metabolisable energy of grass and maize products for ruminants. Proc. Soc. Nutr. Physiol. 2008, 17, 191–197.
- Weißbach, F.; Schmidt, L.; Kuhla, S. Vereinfachtes verfahren zur berechnung der NEL aus der umsetzbaren energie. Proc. Soc. Nutr. Physiol. 1996, 5, 117. [Google Scholar]
- Groot, J.C.J.; Cone, J.W.; Williams, B.A.; Debersaques, F.M.A.; Lantinga, E.A. Multiphasic analysis of gas production kinetics for in vitro fermentation of ruminant feeds. Anim. Feed Sci. Technol. 1996, 64, 77–89. [Google Scholar] [CrossRef]
- Truelock, C.N.; Tokach, M.D.; Stark, C.R.; Paulk, C.B. Pelleting and starch characteristics of diets containing different corn varieties. Transl. Anim. Sci. 2020, 4, txaa189. [Google Scholar] [CrossRef] [PubMed]
- Holm, J.; Lundquist, I.; Björck, I.; Eliasson, A.C.; Asp, N.G. Degree of starch gelatinization, digestion rate of starch in vitro, and metabolic response in rats. Am. J. Clin. Nutr. 1988, 47, 1010–1016. [Google Scholar] [CrossRef] [PubMed]
- Spanghero, M.; Magni, G.; Boselli, E.; Piombino, M.; Mason, F.; Cozzi, G. Prediction of metabolisable energy content of commercial total mixed rations (TMR) for lactating dairy cows based on gas production measured into two TMR fractions. Anim. Feed Sci. Technol. 2017, 226, 65–70. [Google Scholar] [CrossRef]
- Gerson, T.; King, A.S.D.; Kelly, K.E.; Kelly, W.J. Influence of particle size and surface area on in vitro rates of gas production, lipolysis of triacylglycerol and hydrogenation of linoleic acid by sheep rumen digesta or Ruminococcus flavefaciens. J. Agric. Sci. 1988, 110, 31–37. [Google Scholar] [CrossRef]
- Offner, A.; Bach, A.; Sauvant, D. Quantitative review of in situ starch degradation in the rumen. Anim. Feed Sci. Technol. 2003, 106, 81–93. [Google Scholar] [CrossRef]
- Beuvink, J.M.W.; Spoelstra, S.F. Interactions between substrate, fermentation end-products, buffering systems and gas production upon fermentation of different carbohydrates by mixed rumen microorganisms in vitro. Appl. Microbiol. Biotechnol. 1992, 37, 505–509. [Google Scholar] [CrossRef]
- John, A.; Barnett, G.; Reid, R.L. Studies on the production of volatile fatty acids from grass by rumen liquor in an artificial rumen: II. The volatile fatty acid production from dried grass. J. Agric. Sci. 1957, 49, 171–179. [Google Scholar] [CrossRef]
- Liu, X.; Blouin, J.-M.; Santacruz, A.; Lan, A.; Andriamihaja, M.; Wilkanowicz, S.; Benetti, P.-H.; Tomé, D.; Sanz, Y.; Blachier, F.; et al. High-protein diet modifies colonic microbiota and luminal environment but not colonocyte metabolism in the rat model: The increased luminal bulk connection. Am. J. Physiol. Gastrointest. Liver Physiol. 2014, 307, G459–G470. [Google Scholar] [CrossRef]
- Ríos-Covián, D.; Ruas-Madiedo, P.; Margolles, A.; Gueimonde, M.; de Los Reyes-Gavilán, C.G.; Salazar, N. Intestinal Short Chain Fatty Acids and their Link with Diet and Human Health. Front. Microbiol. 2016, 7, 185. [Google Scholar] [CrossRef]
- Rasmussen, H.S.; Holtug, K.; Mortensen, P.B. Degradation of Amino Acids to Short-Chain Fatty Acids in Humans: An in Vitro Study. Scand. J. Gastroenterol. 1988, 23, 178–182. [Google Scholar] [CrossRef] [PubMed]
- Andries, J.I.; Buysse, F.X.; De Brabander, D.L.; Cottyn, B.G. Isoacids in ruminant nutrition: Their role in ruminal and intermediary metabolism and possible influences on performances—A review. Anim. Feed Sci. Technol. 1987, 18, 169–180. [Google Scholar] [CrossRef]
- Wood, C.D.; Manyuchi, B. Use of an in vitro gas production method to investigate interactions between veld hay and Napier hay or groundnut hay supplements. Anim. Feed Sci. Technol. 1997, 67, 265–278. [Google Scholar] [CrossRef]
- Kidane, A.; Hoøen, A.J.H.; Prestlokken, E.; Vhile, S.G.; Jensen, R.B.; Mydland, L.T. Interactive effects of three different compound feeds and two contrasting grass silages mixed at different proportions on in vitro gas production and fermentation kinetics. In European Grassland Federation: 2020, Proceedings of the Organizing Committee of the 28th General Meeting of the Eurpean Grassland Federation, Online, 19–21 October 2020; Virkajärvi, P., Hakala, K., Hakojärvi, M., Helin, J., Herzon, I., Jokela, V., Peltonen, S., Rinne, M., Seppänen, M., Uusi-Kämppä, J., Eds.; Natural Resources Institute Finland: Helsinki, Finland, 2020; pp. 291–293. [Google Scholar]
- Cantalapiedra-Hijar, G.; Yaáñ;ez-Ruiz, D.R.; Martín-García, A.I.; Molina-Alcaide, E. Effects of forage:concentrate ratio and forage type on apparent digestibility, ruminal fermentation, and microbial growth in goats. J. Anim. Sci. 2009, 87, 622–631. [Google Scholar] [CrossRef] [PubMed]
- Ørskov, E.R.; Fraser, C.; McDonald, I. Digestion of concentrates in sheep: 3. Effects of rumen fermentation of barley and maize diets on protein digestion. Brit. J. Nutr. 1971, 26, 477–486. [Google Scholar] [CrossRef]
- Chen, Y.-H.; Chen, C.-Y.; Wang, H.-T. The Effect of Forage Source and Concentrated Liquid Feedstuff Supplementation on Improving the Synchronization of Ruminant Dietary Energy and Nitrogen Release In Vitro. Fermentation 2022, 8, 443. [Google Scholar] [CrossRef]
- Ramin, M.; Franco, M.; Roleda, M.Y.; Aasen, I.M.; Hetta, M.; Steinshamn, H. In vitro evaluation of utilisable crude protein and methane production for a diet in which grass silage was replaced by different levels and fractions of extracted seaweed proteins. Anim. Feed Sci. Technol. 2019, 255, 114225. [Google Scholar] [CrossRef]
- Gidlund, H.; Vaga, M.; Ahvenjärvi, S.; Rinne, M.; Ramin, M.; Huhtanen, P. Predicting omasal flow of nonammonia N and milk protein yield from in vitro-determined utilizable crude protein at the duodenum. J. Dairy Sci. 2018, 101, 1164–1176. [Google Scholar] [CrossRef]
- Südekum, K.H.; Böttger, C. The Hohenheim gas test for evaluating protein to ruminants. In Proceedings of the 10th Nordic Feed Science Conference, Uppsala, Sweden, 11–12 June 2019; pp. 21–27. [Google Scholar]
- Firkins, J.L. Maximizing microbial protein synthesis in the rumen. J. Nutr. 1996, 126 (Suppl. S4), 1347s–1354s. [Google Scholar] [CrossRef]
- Hackmann, T.J.; Firkins, J.L. Maximizing efficiency of rumen microbial protein production. Front. Microbiol. 2015, 6, 465. [Google Scholar] [CrossRef]
- Keim, J.P.; Alvarado-Gilis, C.; Arias, R.A.; Gandarillas, M.; Cabanilla, J. Evaluation of sources of variation on in vitro fermentation kinetics of feedstuffs in a gas production system. Anim. Sci. J. 2017, 88, 1547–1555. [Google Scholar] [CrossRef] [PubMed]
- Allen, M.S. Relationship between fermentation acid production in the rumen and the requirement for physically effective fiber. J. Dairy Sci. 1997, 80, 1447–1462. [Google Scholar] [CrossRef] [PubMed]
- Muck, R.E.; Wilson, R.K.; O’Kiely, P. Organic acid content of permanent pasture grasses. Irish J. Agric. Res. 1991, 30, 143–152. [Google Scholar]
- Álvarez, C.; Nielsen, N.I.; Weisbjerg, M.R.; Volden, H.; Eknæs, M.; Prestløkken, E. High-digestible silages allow low concentrate supply without affecting milk production or methane emissions. J. Dairy Sci. 2022, 105, 3633–3647. [Google Scholar] [CrossRef]

| Concentrates | Grass Silages | ||||||
|---|---|---|---|---|---|---|---|
| Ingredients, g/kg | CONT-P | ALKA-P | UREA-M | ALKA-M | Ecut | Mcut | Lcut |
| Barley 1 | 383 | 667 | 637 | 667 | |||
| Crushed wheat | 90.0 | 100 | 100 | 100 | |||
| Crushed oats | 100 | - | - | - | |||
| Crushed corn | 80.0 | - | - | - | |||
| Beet pulp | 50.0 | - | - | - | |||
| Corn gluten meal | 20.0 | 55.7 | 55.7 | 55.7 | |||
| Rapeseed expeller | 40.0 | 64.3 | 79.9 | 64.3 | |||
| Soybean product 2 | 107 | - | - | - | |||
| Peas | 20.0 | - | - | - | |||
| Feed-grade urea | - | - | 12.6 | - | |||
| Molasses | 60.0 | 60.0 | 60.0 | 60.0 | |||
| Others 3 | 50.0 | 53.0 | 54.4 | 53.0 | |||
| Composition, g/kg DM | |||||||
| Crude protein | 197 | 192 | 215 | 202 | 227 | 166 | 102 |
| aNDFom | 188 | 153 | 178 | 166 | 333 | 477 | 639 |
| Ash | 62.7 | 70.7 | 68.3 | 73.4 | 76.8 | 67.8 | 58.5 |
| ADFom | 70.5 | 53.5 | 54.8 | 56.1 | 189 | 269 | 359 |
| Crude fat | 30.9 | 43.4 | 36.8 | 36.5 | 41.4 | 35.4 | 32.9 |
| Starch | 447 | 414 | 445 | 463 | na | na | na |
| WSC | na | na | na | na | 138.2 | 110.3 | 82.3 |
| RestCH0 | 74.2 | 127.8 | 57.6 | 59.0 | 182.8 | 142.8 | 85.4 |
| pH and particle size | |||||||
| pH 4 | 6.95 | 8.00 | 6.94 | 6.33 | 4.20 | 4.39 | 4.60 |
| Particle size 5, μm | 252 | 282 | 450 | 443 | |||
| Treatments | GP12 | GP24 | GP48 | A | B | C | Rgp |
|---|---|---|---|---|---|---|---|
| Concentrate feeds | |||||||
| CONT-P | 188.5 | 243.0 | 270.0 | 280.5 | 8.10 b | 1.76 | 0.066 |
| ALKA-P | 183.3 | 239.0 | 263.7 | 272.9 | 8.40 b | 1.90 | 0.070 |
| UREA-M | 178.6 | 244.0 | 271.9 | 268.2 | 9.40 a | 1.89 | 0.066 |
| ALKA-M | 189.5 | 253.2 | 285.8 | 288.6 | 9.10 a | 1.89 | 0.066 |
| SE | 4.84 | 5.75 | 9.05 | 6.22 | 0.18 | 0.07 | 0.003 |
| p-value | 0.39 | 0.39 | 0.39 | 0.16 | <0.001 | 0.52 | 0.75 |
| Grass silages | |||||||
| Ecut | 184 a | 239 a | 262 a | 275 a | 8.00 c | 1.75 a | 0.066 a |
| Mcut | 153 b | 205 b | 232 b | 250 b | 9.20 b | 1.58 b | 0.056 b |
| Lcut | 120 c | 179 c | 217 b | 237 c | 12.7 a | 1.46 c | 0.044 c |
| SE | 4.29 | 5.81 | 6.23 | 2.84 | 0.26 | 0.03 | 0.002 |
| p-value | <0.001 | <0.001 | 0.001 | <0.001 | <0.001 | <0.001 | <0.001 |
| Concentrate Feeds | Grass Silages | ||||||||||
|---|---|---|---|---|---|---|---|---|---|---|---|
| CONT-P | ALKA-P | UREA-M | ALKA-M | SE | p-Value | Ecut | Mcut | Lcut | SE | p-Value | |
| Fermentation products | |||||||||||
| NH3-N | 354 | 334 | 396 | 388 | 14.3 | 0.055 | 409 a | 335 b | 284 c | 5.51 | <0.001 |
| Acet | 63.2 a | 61.4 b | 61.1 b | 61.1 b | 0.37 | 0.014 | 61.4 b | 64.9 a | 66.2 a | 0.4 | <0.001 |
| Prop | 18.0 a | 18.2 a | 16.1 b | 16.1 b | 0.42 | 0.012 | 21.8 a | 20.6 b | 19.4 c | 0.55 | 0.006 |
| But | 14.4 c | 15.9 b | 18.5 a | 18.5 a | 0.37 | <0.001 | 11.8 | 10.5 | 10.9 | 0.33 | 0.08 |
| Isobut | 1.08 | 1.03 | 1.03 | 1.05 | 0.02 | 0.36 | 1.19 a | 1.05 b | 0.91 c | 0.04 | 0.02 |
| Val | 1.43 | 1.5 | 1.53 | 1.54 | 0.03 | 0.15 | 1.72 a | 1.33 b | 1.08 c | 0.02 | <0.001 |
| Isoval | 1.86 | 1.77 | 1.77 | 1.82 | 0.05 | 0.55 | 2.09 a | 1.68 b | 1.54 c | 0.05 | 0.002 |
| tVFA | 96.9 | 94.7 | 97.3 | 97 | 3.84 | 0.96 | 100 | 103 | 90.5 | 3.54 | 0.12 |
| Ace:Pro | 3.50 | 3.39 | 3.84 | 3.83 | 0.126 | 0.089 | 2.82 c | 3.14 b | 3.41 a | 0.054 | 0.002 |
| pH48 | 6.41 | 6.41 | 6.41 | 6.41 | 0.013 | 0.98 | 6.30 c | 6.37 b | 6.41 a | 0.009 | <0.001 |
| Dry matter digestibility and estimated feeding values | |||||||||||
| IVDMD | 85.9 a | 84.4 a | 76.3 b | 78.4 b | 1.6 | 0.002 | 77.1 a | 68.5 b | 50.0 c | 1.75 | <0.001 |
| uCP | 124.3 b | 131.5 a | 124.5 b | 117.4 c | 1.55 | 0.003 | 120.3 a | 105.5 b | 75.7 c | 2.57 | <0.001 |
| ME | 12.4 b | 12.6 ab | 12.7 a | 12.7 a | 0.09 | 0.041 | 11.6 a | 10.0 b | 8.5 c | 0.09 | <0.001 |
| NEL | 7.7 b | 7.9 a | 8.0 a | 8.0 a | 0.07 | 0.027 | 7.1 a | 6.0 b | 4.9 c | 0.06 | <0.001 |
Disclaimer/Publisher’s Note: The statements, opinions and data contained in all publications are solely those of the individual author(s) and contributor(s) and not of MDPI and/or the editor(s). MDPI and/or the editor(s) disclaim responsibility for any injury to people or property resulting from any ideas, methods, instructions or products referred to in the content. |
© 2023 by the authors. Licensee MDPI, Basel, Switzerland. This article is an open access article distributed under the terms and conditions of the Creative Commons Attribution (CC BY) license (https://creativecommons.org/licenses/by/4.0/).
Share and Cite
Muqier, X.; Eknæs, M.; Prestløkken, E.; Jensen, R.B.; Eikanger, K.S.; Karlengen, I.J.; Trøan, G.; Vhile, S.G.; Kidane, A. In Vitro Rumen Fermentation Characteristics, Estimated Utilizable Crude Protein and Metabolizable Energy Values of Grass Silages, Concentrate Feeds and Their Mixtures. Animals 2023, 13, 2695. https://doi.org/10.3390/ani13172695
Muqier X, Eknæs M, Prestløkken E, Jensen RB, Eikanger KS, Karlengen IJ, Trøan G, Vhile SG, Kidane A. In Vitro Rumen Fermentation Characteristics, Estimated Utilizable Crude Protein and Metabolizable Energy Values of Grass Silages, Concentrate Feeds and Their Mixtures. Animals. 2023; 13(17):2695. https://doi.org/10.3390/ani13172695
Chicago/Turabian StyleMuqier, X, Margrete Eknæs, Egil Prestløkken, Rasmus Bovbjerg Jensen, Katrine Sømliøy Eikanger, Inger Johanne Karlengen, Gisken Trøan, Stine Gregersen Vhile, and Alemayehu Kidane. 2023. "In Vitro Rumen Fermentation Characteristics, Estimated Utilizable Crude Protein and Metabolizable Energy Values of Grass Silages, Concentrate Feeds and Their Mixtures" Animals 13, no. 17: 2695. https://doi.org/10.3390/ani13172695
APA StyleMuqier, X., Eknæs, M., Prestløkken, E., Jensen, R. B., Eikanger, K. S., Karlengen, I. J., Trøan, G., Vhile, S. G., & Kidane, A. (2023). In Vitro Rumen Fermentation Characteristics, Estimated Utilizable Crude Protein and Metabolizable Energy Values of Grass Silages, Concentrate Feeds and Their Mixtures. Animals, 13(17), 2695. https://doi.org/10.3390/ani13172695

