Effect of Lavage Solution Type on Bronchoalveolar Lavage Fluid Cytology in Clinically Healthy Horses
Abstract
Simple Summary
Abstract
1. Introduction
2. Materials and Methods
2.1. Horses
2.2. Study Design
2.3. BAL
2.4. Cell Counts and Cytological Evaluation
2.5. Statistical Analysis
3. Results
3.1. General
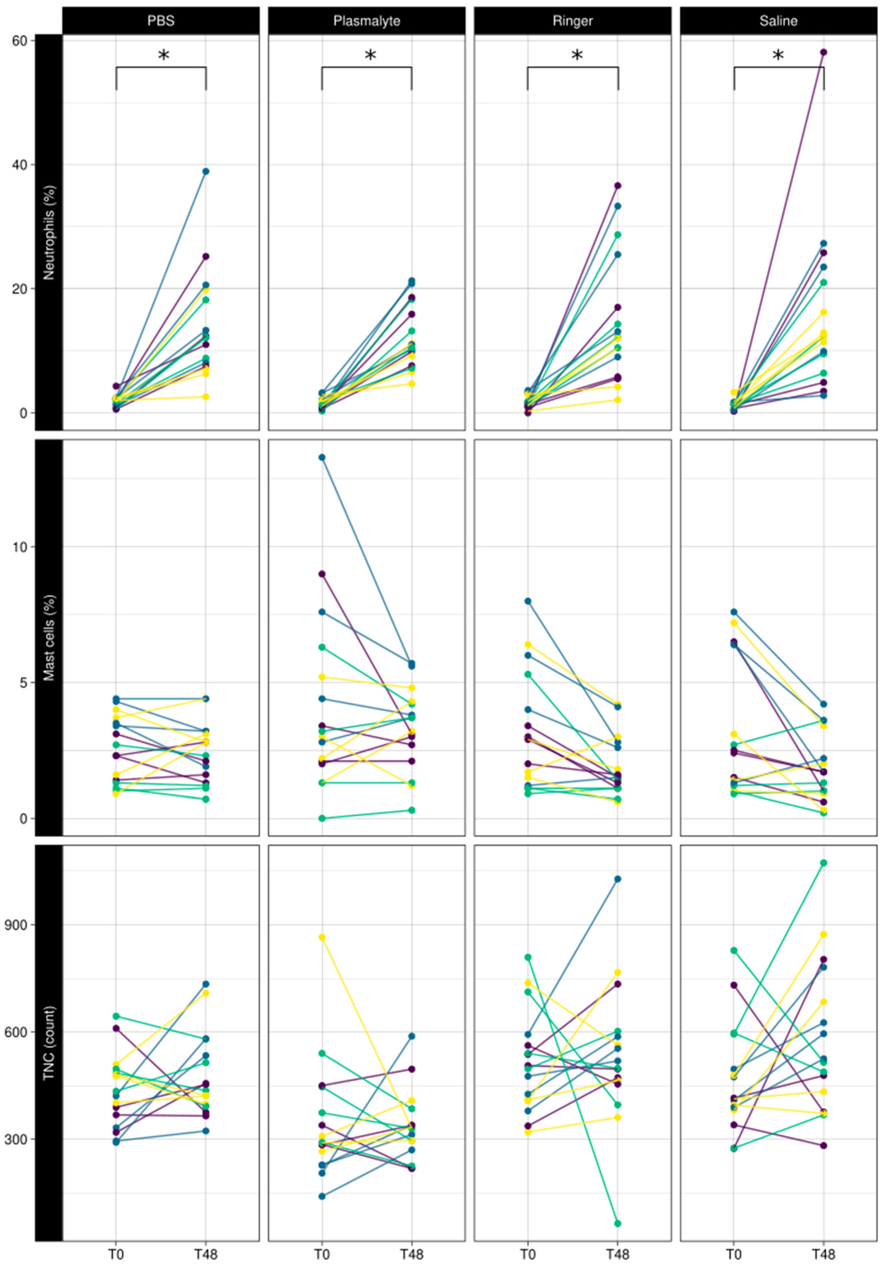
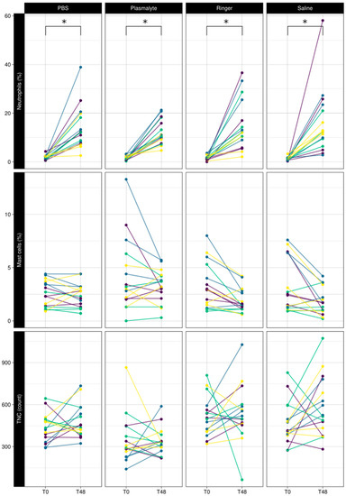
3.2. Effect of BAL Solution Type on Response to BAL Procedure
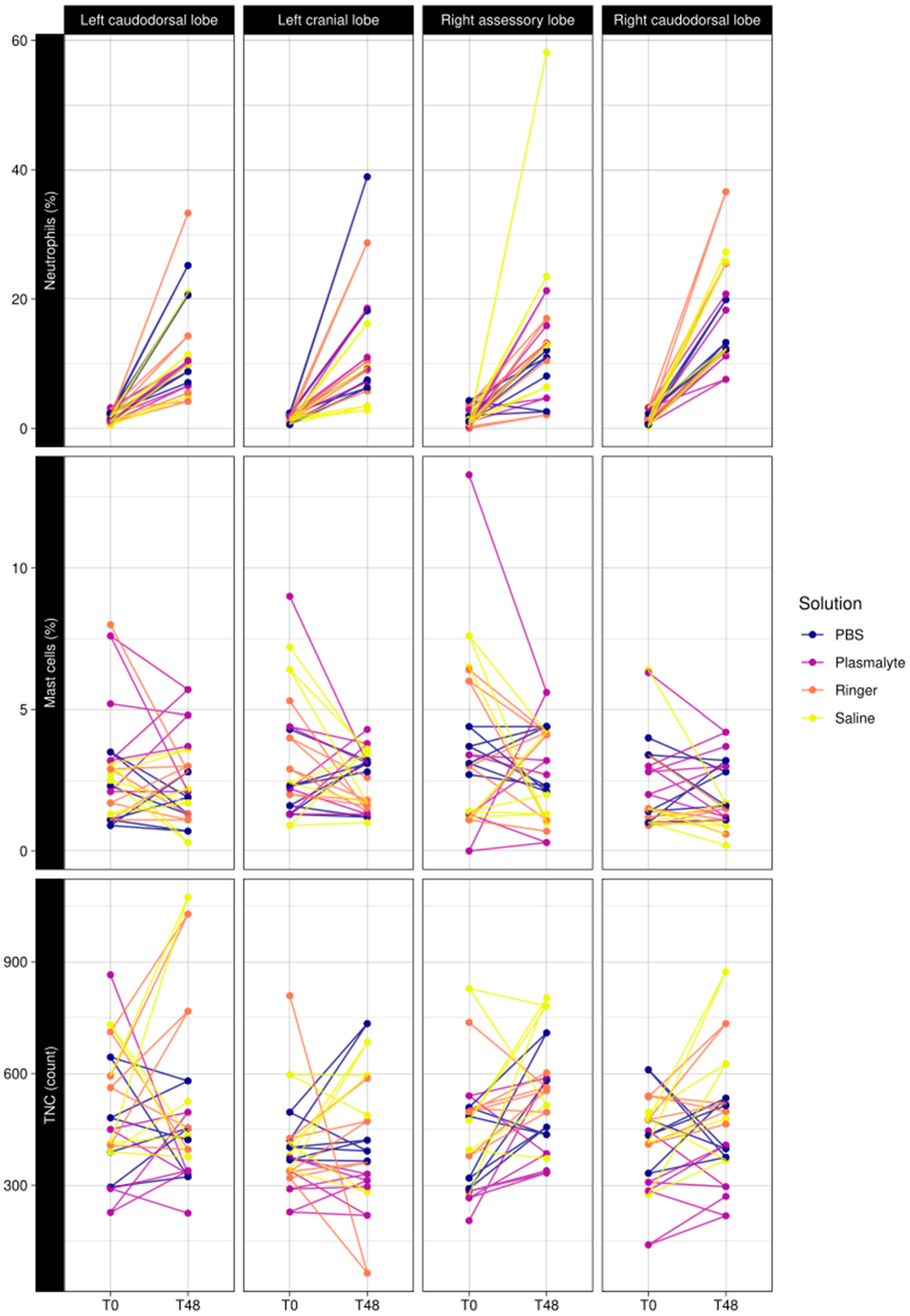
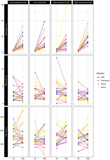
3.3. Effect of Lung Lobe (Sampling Site) on Response to BAL Procedure
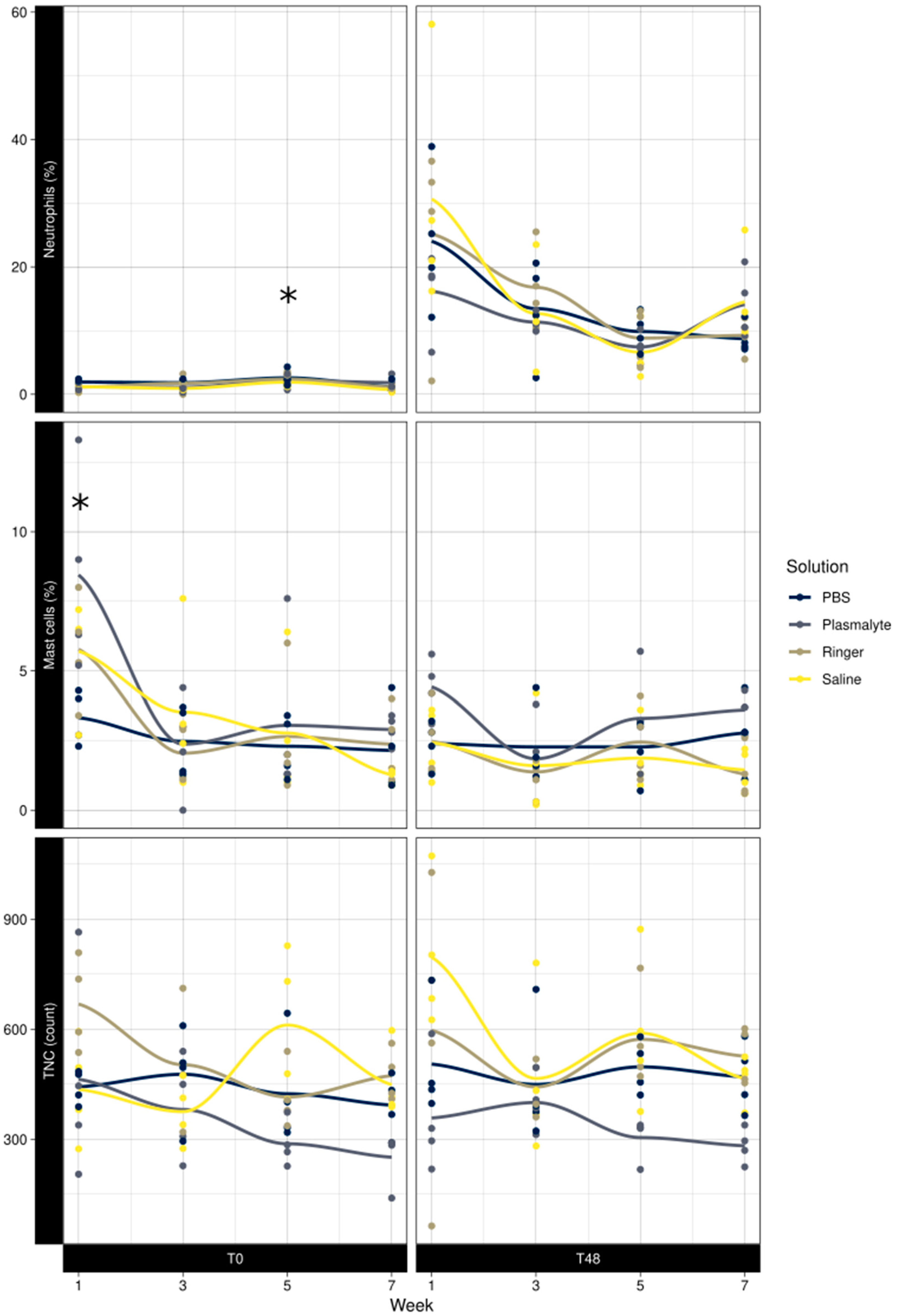
3.4. Effect of Time
4. Discussion
4.1. Influx of Inflammatory Cells
4.2. Lung Lobes
4.3. Factors in the BAL Procedure
4.3.1. Return Volume
4.3.2. Volume Used
4.3.3. Temperature of the Fluid
4.3.4. Healthy Horses Versus Asthmatic Horses
4.3.5. Multiple BAL Procedures over Time
4.3.6. Aspiration Techniques
5. Conclusions
Supplementary Materials
Author Contributions
Funding
Institutional Review Board Statement
Informed Consent Statement
Data Availability Statement
Acknowledgments
Conflicts of Interest
References
- Couëtil, L.L.; Cardwell, J.M.; Gerber, V.; Lavoie, J.; Léguillette, R.; Richard, E.A. Inflammatory Airway Disease of Horses-Revised Consensus Statement. J. Vet. Intern. Med. 2016, 30, 503–515. [Google Scholar] [CrossRef]
- Hansen, S.; Otten, N.D.; Birch, K.; Skovgaard, K.; Hopster-Iversen, C.; Fjeldborg, J. Bronchoalveolar lavage fluid cytokine, cytology and IgE allergen in horses with equine asthma. Vet. Immunol. Immunopathol. 2020, 220, 109976. [Google Scholar] [CrossRef]
- Bond, S.; Léguillette, R.; Richard, E.A.; Couetil, L.; Lavoie, J.-P.; Martin, J.G.; Pirie, R.S. Equine asthma: Integrative biologic relevance of a recently proposed nomenclature. J. Vet. Intern. Med. 2018, 32, 2088–2098. [Google Scholar] [CrossRef] [PubMed]
- Kinnison, T.; McGilvray, T.A.; Couëtil, L.L.; Smith, K.C.; Bacigalupo SAGomez-Grau, E.; Cardwell, J.M. Mild-moderate equine asthma: A scoping review of evidence supporting the consensus definition. Vet J. 2022, 286, 105865. [Google Scholar] [CrossRef] [PubMed]
- Hoffman, A.M. Bronchoalveolar Lavage: Sampling Technique and Guidelines for Cytologic Preparation and Interpretation. Vet. Clin. N. Am. Equine Pract. 2008, 24, 423–435. [Google Scholar] [CrossRef]
- Hoffman, A.M. Bronchoalveolar lavage technique and cytological diagnosis of small airway inflammatory disease. Equine Vet. Educ. 1999, 11, 330–336. [Google Scholar] [CrossRef]
- Sweeney, C.R.; Rossier, Y.; Ziemer, E.L.; Lindborg, S.R. Effect of prior lavage on bronchoalveolar lavage fluid cell population of lavaged and unlavaged lung segments in horses. Am. J. Vet. Res. 1994, 55, 1501–1504. [Google Scholar] [PubMed]
- Léguillette, R.; Lavoie, J. Effects of the bronchoalveolar lavage procedure on lung function in horses with clinical exacerbation of recurrent airway obstruction. Am. J. Vet. Res. 2006, 67, 1929–1933. [Google Scholar] [CrossRef] [PubMed]
- Couëtil, L.L.; Rosenthal, F.S.; DeNicola, D.B.; Chilcoat, C.D. Clinical signs, evaluation of bronchoalveolar lavage fluid, and assessment of pulmonary function in horses with inflammatory respiratory disease. Am. J. Vet. Res. 2001, 62, 538–546. [Google Scholar] [CrossRef] [PubMed]
- McGorum, B.C.; Dixon, P.M. Evaluation of local endobronchial antigen challenges in the investigation of equine chronic obstructive pulmonary disease. Equine Vet. J. 1993, 25, 269–272. [Google Scholar] [CrossRef]
- Hawkins, E.C.; DeNicola, D.B.; Kuehn, N.F. Bronchoalveolar Lavage in the Evaluation of Pulmonary Disease in the Dog and Cat: State of the Art. J. Vet. Intern. Med. 1990, 4, 267–274. [Google Scholar] [CrossRef] [PubMed]
- Bodem, C.R.; Lampton, L.M.; Miller, D.P.; Tarka, E.F.; Everett, E.D. Endobronchial pH. Relevance of aminoglycoside activity in gram-negative bacillary pneumonia. Am. Rev. Respir. Dis. 1983, 127, 39–41. [Google Scholar] [CrossRef]
- Kitz, R.; Ahrens, P.; Zielen, S. Immunoglobulin levels in bronchoalveolar lavage fluid of children with chronic chest disease. Pediatr. Pulmonol. 2000, 29, 443–451. [Google Scholar] [CrossRef]
- Noël-Georis, I.; Bernard, A.; Falmagne, P.; Wattiez, R. Proteomics as the tool to search for lung disease markers in bronchoalveolar lavage. Dis. Markers 2001, 17, 607263. [Google Scholar] [CrossRef] [PubMed]
- Mitchell, G.B.; Clark, M.E.; Caswell, J.L. Alterations in the bovine bronchoalveolar lavage proteome induced by dexamethasone. Vet. Immunol. Immunopathol. 2007, 118, 283–293. [Google Scholar] [CrossRef]
- van Leengoed, L.A.; Kamp, E.M. A method for bronchoalveolar lavage in live pigs. Vet. Q. 1989, 11, 65–72. [Google Scholar] [CrossRef]
- Tesarowski, D.B.; Viel, L.; McDonell, W.N. Pulmonary function measurements during repeated environmental challenge of horses with recurrent airway obstruction (heaves). Am. J. Vet. Res. 1996, 57, 1214–1219. [Google Scholar] [PubMed]
- Rush, B.R.; Raub, E.S.; Rhoads, W.S.; Flaminio, M.J.; Matson, C.J.; Hakala, J.E.; Gillespie, J.R. Pulmonary function in horses with recurrent airway obstruction after aerosol and parenteral administration of beclomethasone dipropionate and dexamethasone, respectively. Am. J. Vet. Res. 1998, 59, 1039–1043. [Google Scholar] [PubMed]
- Smith, B.L.; Aguilera-Tejero, E.; Tyler, W.S.; Jones, J.H.; Hornof, W.J.; Pascoe, J.R. Endoscopic anatomy and map of the equine bronchial tree. Equine Vet. J. 1994, 26, 283–290. [Google Scholar] [CrossRef]
- Westermann, C.M.; Laan, T.; van Nieuwstadt, R.A.; Bull, S.; Fink-Gremmels, J. Effects of antitussive agents administered before bronchoalveolar lavage in horses. Am. J. Vet. Res. 2005, 66, 1420–1424. [Google Scholar] [CrossRef]
- O’Grady, N.P.; Preas, H.L.; Pugin, J.; Fiuza, C.; Tropea, M.; Reda, D.; Banks, S.M.; Suffredini, A.F. Local inflammatory responses following bronchial endotoxin instillation in humans. Am. J. Respir. Crit. Care Med. 2001, 163, 1591–1598. [Google Scholar] [CrossRef] [PubMed]
- Hunt, E.B.; Sullivan, A.; Galvin, J.; MacSharry, J.; Murphy, D.M. Gastric Aspiration and Its Role in Airway Inflammation. Open Respir. Med. J. 2018, 12, 1–10. [Google Scholar] [CrossRef] [PubMed]
- Kirschvink, N.; Fiévez, L.; Dogné, S.; Bureau, F.; Art, T.; Lekeux, P. Comparison of inulin with urea as dilutional markers of bronchoalveolar lavage in healthy and heaves-affected horses. Vet. Res. 2001, 32, 145–154. [Google Scholar] [CrossRef] [PubMed][Green Version]
- Czyzewski, A.M.; McCaig, L.M.; Dohm, M.T.; Broering, L.A.; Yao, L.J.; Brown, N.J.; Didwania, M.K.; Lin, J.S.; Lewis, J.F.; Veldhuizen, R.; et al. Effective in vivo treatment of acute lung injury with helical, amphipathic peptoid mimics of pulmonary surfactant proteins. Sci. Rep. 2018, 8, 6795. [Google Scholar] [CrossRef] [PubMed]
- Christmann, U.; Buechner-Maxwell, V.A.; Witonsky, S.G.; Hite, R.D. Role of lung surfactant in respiratory disease: Current knowledge in large animal medicine. J. Vet. Intern. Med. 2009, 23, 227–242. [Google Scholar] [CrossRef]
- Jean, D.; Vrins, A.; Beauchamp, G.; Lavoie, J. Evaluation of variations in bronchoalveolar lavage fluid in horses with recurrent airway obstruction. Am. J. Vet. Res. 2011, 72, 838–842. [Google Scholar] [CrossRef]
- Sweeney, C.R.; Rossier, Y.; Ziemer, E.L.; Lindborg, S. Effects of lung site and fluid volume on results of bronchoalveolar lavage fluid analysis in horses. Am. J. Vet. Res. 1992, 53, 1376–1379. [Google Scholar] [PubMed]
- Depecker, M.; Richard, E.A.; Pitel, P.; Fortier, G.; Leleu, C.; Couroucé-Malblanc, A. Bronchoalveolar lavage fluid in Standardbred racehorses: Influence of unilateral/bilateral profiles and cut-off values on lower airway disease diagnosis. Vet. J. 2014, 199, 150–156. [Google Scholar] [CrossRef]
- Orard, M.; Depecker, M.; Hue, E.; Pitel, P.; Couroucé-Malblanc, A.; Richard, E.A. Influence of bronchoalveolar lavage volume on cytological profiles and subsequent diagnosis of inflammatory airway disease in horses. Vet. J. 2016, 207, 193–195. [Google Scholar] [CrossRef]
- Bowser, J.E.; Costa, L.R.R.; Rodil, A.U.; Lopp, C.T.; Johnson, M.E.; Wills, R.W.; Swiderski, C.E. Effect of a syringe aspiration technique versus a mechanical suction technique and use of n-butylscopolammonium bromide on the quantity and quality of bronchoalveolar lavage fluid samples obtained from horses with the summer pasture endophenotype of equine asthma. Am. J. Vet. Res. 2018, 79, 348–355. [Google Scholar] [CrossRef] [PubMed]
- Robinson, N.E. International Workshop on Equine Chronic Airway Disease Michigan State University 16–18 June 2000. Equine Vet. J. 2001, 33, 5–19. [Google Scholar] [CrossRef] [PubMed]




Disclaimer/Publisher’s Note: The statements, opinions and data contained in all publications are solely those of the individual author(s) and contributor(s) and not of MDPI and/or the editor(s). MDPI and/or the editor(s) disclaim responsibility for any injury to people or property resulting from any ideas, methods, instructions or products referred to in the content. |
© 2023 by the authors. Licensee MDPI, Basel, Switzerland. This article is an open access article distributed under the terms and conditions of the Creative Commons Attribution (CC BY) license (https://creativecommons.org/licenses/by/4.0/).
Share and Cite
Westermann, C.M.; de Bie, A.G.; Olave, C.; de Grauw, J.C.; Teske, E.; Couetil, L.L. Effect of Lavage Solution Type on Bronchoalveolar Lavage Fluid Cytology in Clinically Healthy Horses. Animals 2023, 13, 2637. https://doi.org/10.3390/ani13162637
Westermann CM, de Bie AG, Olave C, de Grauw JC, Teske E, Couetil LL. Effect of Lavage Solution Type on Bronchoalveolar Lavage Fluid Cytology in Clinically Healthy Horses. Animals. 2023; 13(16):2637. https://doi.org/10.3390/ani13162637
Chicago/Turabian StyleWestermann, Cornélie M., Annelieke G. de Bie, Carla Olave, Janny C. de Grauw, Erik Teske, and Laurent L. Couetil. 2023. "Effect of Lavage Solution Type on Bronchoalveolar Lavage Fluid Cytology in Clinically Healthy Horses" Animals 13, no. 16: 2637. https://doi.org/10.3390/ani13162637
APA StyleWestermann, C. M., de Bie, A. G., Olave, C., de Grauw, J. C., Teske, E., & Couetil, L. L. (2023). Effect of Lavage Solution Type on Bronchoalveolar Lavage Fluid Cytology in Clinically Healthy Horses. Animals, 13(16), 2637. https://doi.org/10.3390/ani13162637

