In Vivo Follicular and Uterine Arterial Indices as an Indicator of Successful Hormonal Stimulation for Inactive Ovaries in Repeat-Breeder Crossbred Dairy Cows Using a Short-Term Progesterone-Based Programme
Abstract
Simple Summary
Abstract
1. Introduction
2. Materials and Methods
2.1. Ethics, Animals, Management, and Determination of Ovarian Inactivity
2.2. Hormonal Synchronisation of Repeat-Breeder Dairy Cows with Ovarian Inactivity Using the Short-Term (5 Days) P4-PGF-GnRH-Based Programme and FTAI
2.3. Determination of Resumption of Ovarian Activity in Repeat-Breeder Dairy Cows (with Inactive Ovaries) after Hormonal Synchronisation and Animal Group
2.4. Evaluation of In Vivo Follicular and Uterine Arterial Indices
2.5. Pregnancy Diagnosis
2.6. Statistical Analysis
3. Results
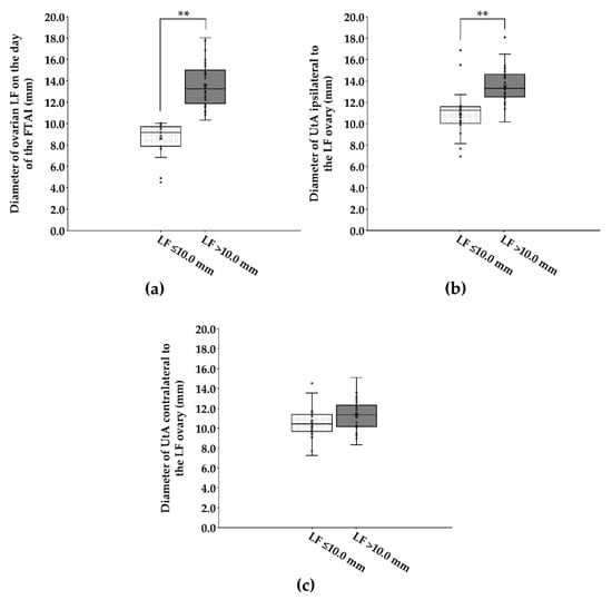
3.1. Ovarian LF and UtA
3.2. In Vivo Follicular and Uterine Arterial Indices
3.3. Association between Ovarian LF Diameter and Reproductive Vascular Indices
3.4. Pregnancy Rate (PR)
4. Discussion
5. Conclusions
Author Contributions
Funding
Institutional Review Board Statement
Informed Consent Statement
Data Availability Statement
Acknowledgments
Conflicts of Interest
References
- Taylor, V.J.; Hattan, A.J.; Bleach, E.C.L.; Beever, D.E.; Wathes, D.C. Reproductive Function in Average and High Yielding Dairy Cows. BSAP Occas. Publ. 2001, 26, 495–498. [Google Scholar] [CrossRef]
- De Vries, A. Economic Value of Pregnancy in Dairy Cattle. J. Dairy Sci. 2006, 89, 3876–3885. [Google Scholar] [CrossRef]
- Yusuf, M.; Nakao, T.; Ranasinghe, R.B.; Gautam, G.; Long, S.T.; Yoshida, C.; Koike, K.; Hayashi, A. Reproductive Performance of Repeat Breeders in Dairy Herds. Theriogenology 2010, 73, 1220–1229. [Google Scholar] [CrossRef] [PubMed]
- Lim, H.-J.; Yoon, H.-B.; Im, H.; Park, J.; Cho, Y.; Jeong, Y.-S.; Ki, K.-S.; Im, S.-K. Survey on the Incidence of Reproductive Disorders in Dairy Cattle. J. Emb. Trans. 2015, 30, 59–64. [Google Scholar] [CrossRef]
- Mogheiseh, A.; Kafi, M.; Golestani, N.; Roshan-Ghasrodashti, A.; Nazifi, S.; Mirzaei, A. Follicular Fluid Composition of Ovulatory Follicles in Repeat Breeder Holstein Dairy Cows. Asian Pac. J. Reprod. 2019, 8, 124–134. [Google Scholar] [CrossRef]
- Garcia-Ispierto, I.; López-Gatius, F. Effects of Different Five-Day Progesterone-Based Fixed-Time AI Protocols on Follicular/Luteal Dynamics and Fertility in Dairy Cows. J. Reprod. Dev. 2014, 60, 426–432. [Google Scholar] [CrossRef]
- Skovorodin, E.; Mustafin, R.; Bogoliuk, S.; Bazekin, G.; Gimranov, V. Clinical and Structural Changes in Reproductive Organs and Endocrine Glands of Sterile Cows. Vet. World 2019, 13, 774–781. [Google Scholar] [CrossRef]
- Moonmanee, T.; Navanukraw, C.; Yama, P.; Jitjumnong, J. Uterine Artery Flow Velocity Waveform, Arterial Flow Indices, Follicular Dynamics, and Sex Hormones during Preovulatory Period in Synchronized Ovulatory Cycle of Bos indicus Beef Cows. Reprod. Biol. 2018, 18, 99–108. [Google Scholar] [CrossRef]
- Darbaz, I.; Sayiner, S.; Ergene, O.; Seyrek Intas, K.; Zabitler, F.; Evci, E.C.; Aslan, S. The Effect of Comfort- and Hot-Period on the Blood Flow of Corpus Luteum (CL) in Cows Treated by an OvSynch Protocol. Animals 2021, 11, 2272. [Google Scholar] [CrossRef]
- Jitjumnong, J.; Moonmanee, T.; Sudwan, P.; Mektrirat, R.; Osathanunkul, M.; Navanukraw, C.; Panatuk, J.; Yama, P.; Pirokad, W.; U-krit, W.; et al. Associations among Thermal Biology, Preovulatory Follicle Diameter, Follicular and Luteal Vascularities, and Sex steroid Hormone Concentrations during Preovulatory and Postovulatory Periods in Tropical Beef Cows. Anim. Reprod. Sci. 2020, 213, 106281. [Google Scholar] [CrossRef]
- Silva, L.A.; Gastal, E.L.; Beg, M.A.; Ginther, O.J. Changes in Vascular Perfusion of the Endometrium in Association with Changes in Location of the Embryonic Vesicle in Mares. Biol. Reprod. 2005, 72, 755–7761. [Google Scholar] [CrossRef] [PubMed]
- Abdelnaby, E.A.; Abo El-Maaty, A.M. Dynamics of Follicular Blood Flow, Antrum Growth, and Angiogenic Mediators in Mares from Deviation to Ovulation. J. Equine Vet. Sci. 2017, 55, 51–59. [Google Scholar] [CrossRef]
- Silva, L.A.; Ginther, O.J. Local Effect of the Conceptus on Uterine Vascular Perfusion during Early Pregnancy in Heifers. Reproduction 2010, 139, 453–463. [Google Scholar] [CrossRef] [PubMed]
- Kourousekos, G.D.; Theodosiadou, E.K.; Lymberopoulos, A.G.; Belibasaki, S.; Boscos, C. Effect of Aflatoxin B1 on Blood Serum Oestradiol-17β and Progesterone Concentrations during the Luteal Phase and the Synchronized Oestrus of Goats. Anim. Reprod. 2018, 15, 75–83. [Google Scholar] [CrossRef]
- Jaureguiberry, M.; Giuliodori, M.J.; Mang, A.V.; Madoz, L.V.; Pothmann, H.; Drillich, M.; de la Sota, R.L. Short Communication: Repeat Breeder Cows with Fluid in the Uterine Lumen Had Poorer Fertility. J. Dairy Sci. 2017, 100, 3083–3085. [Google Scholar] [CrossRef]
- López-Helguera, I.; Colazo, M.G.; Garcia-Ispierto, I.; López-Gatius, F. Factors Associated with Ovarian Structures and Intrauterine Fluid in the Postpartum Period in Dairy Cows. J. Dairy Sci. 2016, 99, 3925–3933. [Google Scholar] [CrossRef]
- Xu, C.; Xia, C.; Sun, Y.; Xiao, X.; Wang, G.; Fan, Z.; Shu, S.; Zhang, H.; Xu, C.; Yang, W. Metabolic Profiles using 1 H-Nuclear Magnetic Resonance Spectroscopy in Postpartum Dairy Cows with Ovarian Inactivity. Theriogenology 2016, 86, 1475–1481. [Google Scholar] [CrossRef]
- Spencer, J.A.; Carnahan, K.; Shafii, B.; Price, W.J.; Dalton, J.; Ahmadzadeh, A. Pregnancy Outcomes Are Not Improved by Administering Gonadotropin-Releasing Hormone at Initiation of a 5-Day CIDR-Cosynch Resynchronization Protocol for Lactating Dairy Cows. J. Dairy Sci. 2018, 101, 8524–8531. [Google Scholar] [CrossRef]
- Bryan, M.A.; Bó, G.; Mapletoft, R.J.; Emslie, F.R. The Use of Equine Chorionic Gonadotropin in the Treatment of Anestrous Dairy Cows in Gonadotropin-Releasing Hormone/Progesterone Protocols of 6 or 7 Days. J. Dairy Sci. 2013, 96, 122–131. [Google Scholar] [CrossRef]
- Hinkle, D.E.; Wiersma, W.; Jurs, S.G. Applied Statistics for the Behavioral Sciences, 2nd ed.; Houghton Mifflin: Boston, MA, USA, 1988; 682p. [Google Scholar]
- Honig, H.; Ofer, L.; Kaim, M.; Jacobi, S.; Shinder, D.; Gershon, E. The Effect of Cooling Management on Blood Flow to the Dominant Follicle and Estrous Cycle Length at Heat Stress. Theriogenology 2016, 86, 626–634. [Google Scholar] [CrossRef]
- Varughese, E.E.; Brar, P.S.; Ghuman, S.S. Vascularization to Preovulatory Follicle and Corpus Luteum-a Valuable Predictor of Fertility in Dairy Cows. Theriogenology 2017, 103, 59–68. [Google Scholar] [CrossRef] [PubMed]
- de Tarso, S.G.S.; Apgar, G.A.; Gastal, M.O.; Gastal, E.L. Relationships between Follicle and Corpus Luteum Diameter, Blood Flow, and Progesterone Production in Beef Cows and Heifers: Preliminary Results. Anim. Reprod. 2016, 13, 81–92. [Google Scholar] [CrossRef]
- de Castro, N.A.; Leonardi, C.E.P.; Singh, J.; Schneider, A.; Gonçalves, P.B.; Oliveira, F.C.; D’Ávila, C.A.; Ferreira, R.; Gasperin, B.G.; Moreira, E.M.; et al. The Role of Prostaglandin F2α on Ovulation and LH Release in Cows. Braz. J. Vet. Res. Anim. Sci. 2021, 58, e175001. [Google Scholar] [CrossRef]
- Samir, H.; Kandiel, M.M.M.; El-Maaty, A.M.A.; Sediqyar, M.; Sasaki, K.; Watanabe, G. Ovarian Follicular Changes and Hemodynamics in Egyptian Buffaloes under CIDR-PGF2α and Ovsynch-CIDR Estrus Synchronization Treatments. J. Reprod. Dev. 2019, 65, 451–457. [Google Scholar] [CrossRef] [PubMed]
- Acosta, T.J.; Hayashi, K.G.; Ohtani, M.; Miyamoto, A. Local Changes in Blood Flow within the Preovulatory Follicle Wall and Early Corpus Luteum in Cows. Reproduction 2003, 125, 759–767. [Google Scholar] [CrossRef] [PubMed]
- Abdelnaby, E.A.; Abo El-Maaty, A.M.; El-Badry, D.A. Ovarian and Uterine Arteries Blood Flow Waveform Response in the First Two Cycles Following Superstimulation in Cows. Reprod. Domest. Anim. 2020, 55, 701–710. [Google Scholar] [CrossRef]
- Devesa, J.; Caicedo, D. The Role of Growth Hormone on Ovarian Functioning and Ovarian Angiogenesis. Front. Endocrinol. 2019, 10, 450. [Google Scholar] [CrossRef]
- Reynolds, L.P.; Grazul-Bilska, A.T.; Redmer, D.A. Angiogenesis in the Female Reproductive Organs: Pathological Implications. Int. J. Exp. Pathol. 2002, 83, 151–163. [Google Scholar] [CrossRef]
- Acosta, T.J.; Miyamoto, A. Vascular Control of Ovarian Function: Ovulation, Corpus Luteum Formation and Regression. Anim. Reprod. Sci. 2004, 82–83, 127–140. [Google Scholar] [CrossRef]
- Moonmanee, T.; Navanukraw, C.; Uriyapongson, S.; Kraisoon, A.; Aiumlamai, S.; Guntaprom, S.; Rittirod, T.; Borowicz, P.; Redmer, D. Relationships among Vasculature, Mitotic Activity, and Endothelial Nitric Oxide Synthase (eNOS) in Bovine Antral Follicles of the First Follicular Wave. Domest. Anim. Endocrinol. 2013, 45, 11–21. [Google Scholar] [CrossRef]
- Lopes, A.S.; Butler, S.T.; Gilbert, R.O.; Butler, W.R. Relationship of Pre-Ovulatory Follicle Size, Estradiol Concentrations and Season to Pregnancy Outcome in Dairy Cows. Anim. Reprod. Sci. 2007, 99, 34–43. [Google Scholar] [CrossRef] [PubMed]
- Fortune, J.E.; Rivera, G.M.; Evans, A.C.; Turzillo, A.M. Differentiation of Dominant Versus Subordinate Follicles in Cattle. Biol. Reprod. 2001, 65, 648–654. [Google Scholar] [CrossRef]
- Honnens, A.; Weisser, S.; Welter, H.; Einspanier, R.; Bollwein, H. Relationships between Uterine Blood Flow, Peripheral Sex Steroids, Expression of Endometrial Estrogen Receptors and Nitric Oxide Synthases During the Estrous Cycle in Mares. J. Reprod. Dev. 2011, 57, 43–48. [Google Scholar] [CrossRef]
- Rawy, M.; Mido, S.; El-Sheikh Ali, H.; Derar, D.; Megahed, G.; Kitahara, G.; Osawa, T. Effect of Exogenous Estradiol Benzoate on Uterine Blood Flow in Postpartum Dairy Cows. Anim. Reprod. Sci. 2018, 192, 136–145. [Google Scholar] [CrossRef] [PubMed]
- Siddiqui, M.A.R.; Almamun, M.; Ginther, O.J. Blood Flow in the Wall of the Preovulatory Follicle and Its Relationship to Pregnancy Establishment in Heifers. Anim. Reprod. Sci. 2009, 113, 287–292. [Google Scholar] [CrossRef] [PubMed]
- Abdelnaby, E.A.; Abo El-Maaty, A.M.; Ragab, R.S.A.; Seida, A.A. Dynamics of Uterine and Ovarian Arteries Flow Velocity Waveforms and Their Relation to Follicular and Luteal Growth and Blood Flow Vascularization During the Estrous Cycle in Friesian Cows. Theriogenology 2018, 121, 112–121. [Google Scholar] [CrossRef] [PubMed]
- Pfeifer, L.F.M.; Siqueira, L.G.B.; Arashiro, E.K.N.; de Castro, N.A.; Viana, J.H.M. Prostaglandin F2α or Estradiol Benzoate to Induce Ovulation in Timed Artificially Inseminated Dairy Cows. Pesqui. Agropecu. Bras. 2016, 51, 738–744. [Google Scholar] [CrossRef][Green Version]
- Pugliesi, G.; de Melo, G.D.; Ataide, G.A., Jr.; Pellegrino, C.; Silva, J.B.; Rocha, C.C.; Motta, I.G.; Vasconcelos, J.; Binelli, M. Use of Doppler Ultrasonography in Embryo Transfer Programs: Feasibility and Field Results. Anim. Reprod. 2018, 15, 239–246. [Google Scholar] [CrossRef] [PubMed]



Publisher’s Note: MDPI stays neutral with regard to jurisdictional claims in published maps and institutional affiliations. |
© 2022 by the authors. Licensee MDPI, Basel, Switzerland. This article is an open access article distributed under the terms and conditions of the Creative Commons Attribution (CC BY) license (https://creativecommons.org/licenses/by/4.0/).
Share and Cite
Yama, P.; Yadmak, C.; Sangkate, M.; Jitjumnong, J.; U-krit, W.; Promsao, N.; Montha, N.; Sudwan, P.; Mektrirat, R.; Panatuk, J.; et al. In Vivo Follicular and Uterine Arterial Indices as an Indicator of Successful Hormonal Stimulation for Inactive Ovaries in Repeat-Breeder Crossbred Dairy Cows Using a Short-Term Progesterone-Based Programme. Animals 2022, 12, 292. https://doi.org/10.3390/ani12030292
Yama P, Yadmak C, Sangkate M, Jitjumnong J, U-krit W, Promsao N, Montha N, Sudwan P, Mektrirat R, Panatuk J, et al. In Vivo Follicular and Uterine Arterial Indices as an Indicator of Successful Hormonal Stimulation for Inactive Ovaries in Repeat-Breeder Crossbred Dairy Cows Using a Short-Term Progesterone-Based Programme. Animals. 2022; 12(3):292. https://doi.org/10.3390/ani12030292
Chicago/Turabian StyleYama, Punnawut, Chayanon Yadmak, Molarat Sangkate, Jakree Jitjumnong, Warittha U-krit, Nalinthip Promsao, Napatsorn Montha, Paiwan Sudwan, Raktham Mektrirat, Julakorn Panatuk, and et al. 2022. "In Vivo Follicular and Uterine Arterial Indices as an Indicator of Successful Hormonal Stimulation for Inactive Ovaries in Repeat-Breeder Crossbred Dairy Cows Using a Short-Term Progesterone-Based Programme" Animals 12, no. 3: 292. https://doi.org/10.3390/ani12030292
APA StyleYama, P., Yadmak, C., Sangkate, M., Jitjumnong, J., U-krit, W., Promsao, N., Montha, N., Sudwan, P., Mektrirat, R., Panatuk, J., Inyawilert, W., Sringarm, K., Lumsangkul, C., Tapingkae, W., Doan, H. V., Tang, P.-C., & Moonmanee, T. (2022). In Vivo Follicular and Uterine Arterial Indices as an Indicator of Successful Hormonal Stimulation for Inactive Ovaries in Repeat-Breeder Crossbred Dairy Cows Using a Short-Term Progesterone-Based Programme. Animals, 12(3), 292. https://doi.org/10.3390/ani12030292

