Contrasting Fecal Methanogenic and Bacterial Profiles of Organic Dairy Cows Located in Northwest Washington Receiving Either a Mixed Diet of Pasture and TMR or Solely TMR
Abstract
Simple Summary
Abstract
1. Introduction
2. Materials and Methods
2.1. Study Design and Enrollment
2.2. Data Collection
2.3. Amplification and Sequencing of Bacterial 16S rRNA Gene
2.4. Statistical Analysis
2.5. Assessing Pasture Quality
2.6. Evaluating Microbiome Community Structure
2.7. Assessing the Ecological Diversity of Fecal Microbiome by Cluster
2.8. Fecal Microbiome Community Structure and its Associations with Pasture Intake, TMR Intake, and Pasture Quality
2.9. Co-Occurrence Network between Methanogens and Bacteria
3. Results
3.1. Sample Population
3.2. Feed Composition across Months
3.3. Fecal Microbiota Structure across Different Sampling Points
3.4. Cluster Analysis
3.5. The Relationship between Pasture ADF/NDF and Microbiome Community Structure
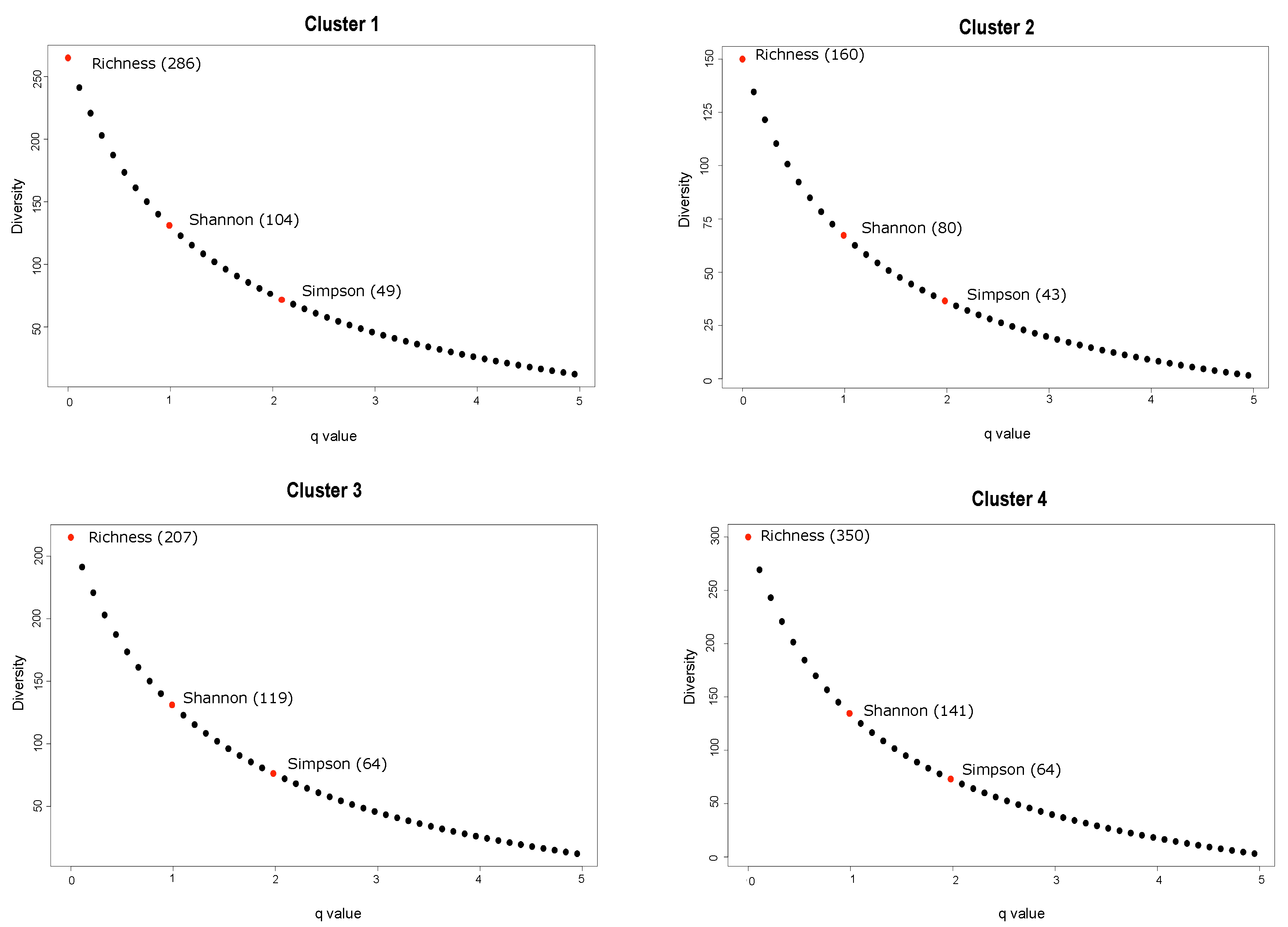
3.6. Community Diversity
3.7. Co-Occurrence Network Analysis
4. Discussion
5. Conclusions
Supplementary Materials
Author Contributions
Funding
Institutional Review Board Statement
Data Availability Statement
Acknowledgments
Conflicts of Interest
References
- Blaut, M. Metabolism of methanogens. Antonie Van Leeuwenhoek 1994, 66, 187–208. [Google Scholar] [CrossRef] [PubMed]
- Henderson, G.; Cox, F.; Ganesh, S.; Jonker, A.; Young, W.; Jansen, P.H.; Global Rumen Census Collaborators. Rumen microbial community composition varies with diet and host, but a core microbiome is found across a wide geographical range. Sci. Rep. 2015, 5, 14567. [Google Scholar] [CrossRef] [PubMed]
- Hockstad, L.; Hanel, L. Inventory of U.S. Greenhouse Gas Emissions and Sinks: 1990–2016-Agriculture; United States Environmental Protection Agency (USEPA): Washington, DC, USA, 2016. [Google Scholar]
- Rigby, D.; Cáceres, D. Organic farming and the sustainability of agricultural systems. Agric. Syst. 2001, 68, 21–40. [Google Scholar] [CrossRef]
- USDA. Organic Livestock Standards; Agricultural Marketing Service: Washington, DC, USA, 2013. [Google Scholar]
- Galgano, F.; Tolve, R.; Colangelo, M.A.; Scarpa, T.; Caruso, M.C. Conventional and organic foods: A comparison focused on animal products. Cogent Food Agric. 2016, 2, 1142818. [Google Scholar] [CrossRef]
- De Boer, I.J.M. Environmental impact assessment of conventional and organic milk production. Livest. Prod. Sci. 2003, 80, 69–77. [Google Scholar] [CrossRef]
- Brito, A.F.; Silva, L.H.P. Symposium review: Comparisons of feed and milk nitrogen efficiency and carbon emissions in organic versus conventional dairy production systems. J. Dairy Sci. 2020, 103, 5726–5739. [Google Scholar] [CrossRef]
- Haque, M.N. Dietary manipulation: A sustainable way to mitigate methane emissions from ruminants. J. Anim. Sci. Technol. 2018, 60, 15. [Google Scholar] [CrossRef]
- Andrade, B.G.N.; Bressani, F.A.; Cuadrat, R.R.C.; Tizioto, P.C.; de Oliveira, P.S.N.; Mourão, G.B.; Coutinho, L.L.; Reecy, J.M.; Koltes, J.E.; Walsh, P.; et al. The structure of microbial populations in Nelore GIT reveals inter-dependency of methanogens in feces and rumen. J. Anim. Sci. Biotechnol. 2020, 11, 6. [Google Scholar] [CrossRef] [PubMed]
- Fransen, S.; Pirelli, G.C.M.; Brewer, L.; Robbins, S. The Western Oregon and Washington Pasture Calendar: A Pacific Northwest Extension Publication PNW; USDA Natural Resources Conservation Service: Spokane, WA, USA, 2017. [Google Scholar]
- Marshall, S.A.; Campbell, C.P.; Buchanan-Smith, J.G. Seasonal changes in quality and botanical composition of a rotationally grazed grass-legume pasture in southern Ontario. Can. J. Anim. Sci. 1998, 78, 205–210. [Google Scholar] [CrossRef]
- Machado, C.F.; Morris, S.T.; Hodgson, J.; Fathalla, M. Seasonal changes of herbage quality within a New Zealand beef cattle finishing pasture. N. Z. J. Agric. Res. 2005, 48, 265–270. [Google Scholar] [CrossRef]
- Moller, S.N.; Parker, W.J.; Edwards, N.J. Within-year variation in pasture quality has implications for dairy cow nutrition. Proc. N. Z. Grassl. Assoc. 1996, 57, 173–177. [Google Scholar] [CrossRef]
- De Menezes, A.B.; Lewis, E.; O’Donovan, M.; O’Neill, B.F.; Clipson, N.; Doyle, E.M. Microbiome analysis of dairy cows fed pasture or total mixed ration diets. FEMS Microbiol. Ecol. 2011, 78, 256–265. [Google Scholar] [CrossRef] [PubMed]
- Noel, S.J.; Attwood, G.T.; Rakonjac, J.; Moon, C.D.; Waghorn, G.C.; Janssen, P.H. Seasonal changes in the digesta-adherent rumen bacterial communities of dairy cattle grazing pasture. PLoS ONE 2017, 12, e0173819. [Google Scholar] [CrossRef] [PubMed]
- Paul, K.; Nonoh, J.O.; Mikulski, L.; Brune, A. "Methanoplasmatales", Thermoplasmatales-related archaea in termite guts and other environments, are the seventh order of methanogens. Appl. Environ. Microbiol. 2012, 78, 8245–8253. [Google Scholar] [CrossRef] [PubMed]
- Tapio, I.; Snelling, T.J.; Strozzi, F.; Wallace, R.J. The ruminal microbiome associated with methane emissions from ruminant livestock. J. Anim. Sci. Biotechnol. 2017, 8, 7. [Google Scholar] [CrossRef] [PubMed]
- Wallace, R.J.; Rooke, J.A.; McKain, N.; Duthie, C.-A.; Hyslop, J.J.; Ross, D.W.; Waterhouse, A.; Watson, M.; Roehe, R. The rumen microbial metagenome associated with high methane production in cattle. BMC Genom. 2015, 16, 839. [Google Scholar] [CrossRef] [PubMed]
- Danielsson, R.; Schnürer, A.; Arthurson, V.; Bertilsson, J. Methanogenic Population and CH4 Production in Swedish Dairy Cows Fed Different Levels of Forage. Appl. Environ. Microbiol. 2012, 78, 6172. [Google Scholar] [CrossRef] [PubMed]
- Zhou, M.; Chung, Y.H.; Beauchemin, K.A.; Holtshausen, L.; Oba, M.; McAllister, T.A.; Guan, L.L. Relationship between rumen methanogens and methane production in dairy cows fed diets supplemented with a feed enzyme additive. J. Appl. Microbiol. 2011, 111, 1148–1158. [Google Scholar] [CrossRef] [PubMed]
- Ramayo-Caldas, Y.; Zingaretti, L.; Popova, M.; Estellé, J.; Bernard, A.; Pons, N.; Bellot, P.; Mach, N.; Rau, A.; Roume, H.; et al. Identification of rumen microbial biomarkers linked to methane emission in Holstein dairy cows. J. Anim. Breed. Genet. 2020, 137, 49–59. [Google Scholar] [CrossRef] [PubMed]
- Whitford, M.F.; Teather, R.M.; Forster, R.J. Phylogenetic analysis of methanogens from the bovine rumen. BMC Microbiol. 2001, 1, 5. [Google Scholar] [CrossRef]
- Jin, D.; Kang, K.; Wang, H.; Wang, Z.; Xue, B.; Wang, L.; Xu, F.; Peng, Q. Effects of dietary supplementation of active dried yeast on fecal methanogenic archaea diversity in dairy cows. Anaerobe 2017, 44, 78–86. [Google Scholar] [CrossRef] [PubMed]
- Zhou, M.; Hernandez-Sanabria, E.; Guan, L.L. Assessment of the Microbial Ecology of Ruminal Methanogens in Cattle with Different Feed Efficiencies. Appl. Environ. Microbiol. 2009, 75, 6524. [Google Scholar] [CrossRef] [PubMed]
- Guretzky, J.A.; Moore, K.J.; Brummer, E.C.; Burras, C.L. Species Diversity and Functional Composition of Pastures that Vary in Landscape Position and Grazing Management. Crop. Sci. 2005, 45, 282–289. [Google Scholar] [CrossRef]
- Callahan, B.J.; McMurdie, P.J.; Rosen, M.J.; Han, A.W.; Johnson, A.J.A.; Holmes, S.P. DADA2: High-resolution sample inference from Illumina amplicon data. Nat. Methods 2016, 13, 581–583. [Google Scholar] [CrossRef]
- Caporaso, J.G.; Kuczynski, J.; Stombaugh, J.; Bittinger, K.; Bushman, F.D.; Costello, E.K.; Fierer, N.; Pena, A.G.; Goodrich, J.K.; Gordon, J.I.; et al. QIIME allows analysis of high-throughput community sequencing data. Nat. Methods 2010, 7, 335–336. [Google Scholar] [CrossRef]
- McMurdie, P.J.; Holmes, S. phyloseq: An R Package for Reproducible Interactive Analysis and Graphics of Microbiome Census Data. PLoS ONE 2013, 8, e61217. [Google Scholar] [CrossRef]
- Anderson, M.J.; Ellingsen, K.E.; McArdle, B.H. Multivariate dispersion as a measure of beta diversity. Ecol. Lett. 2006, 9, 683–693. [Google Scholar] [CrossRef]
- Andersen, K.; Kirkegaard, R.; Karst, S.; Albertsen, M. ampvis2: An R package to analyse and visualise 16S rRNA amplicon data. bioRxiv 2018. [Google Scholar] [CrossRef]
- Jost, L. Entropy and Diversity. Oikos 2006, 113, 363–375. [Google Scholar] [CrossRef]
- Venables, W.N.; Ripley, B.D. Modern Applied Statistics with S-PLUS, 4th ed.; Springer: New York, NY, USA, 2002. [Google Scholar]
- Harrell, F.E., Jr. Hmisc: Harrell Miscellaneous, R Package Version 4.6-0; R Foundation: Vienna, Austria, 2021. [Google Scholar]
- Csardi, G.; Nepusz, T. The igraph software package for complex network research. InterJ. Complex Syst. 2006, 1695, 1–9. [Google Scholar]
- Jones, G.M.; Wade, N.S.; Baker, J.P.; Ranck, E.M. Use of Near Infrared Reflectance Spectroscopy in Forage Testing. J. Dairy Sci. 1987, 70, 1086–1091. [Google Scholar] [CrossRef]
- Parrini, S.; Acciaioli, A.; Franci, O.; Pugliese, C.; Bozzi, R. Near Infrared Spectroscopy technology for prediction of chemical composition of natural fresh pastures. J. Appl. Anim. Res. 2019, 47, 514–520. [Google Scholar] [CrossRef]
- Charlton, G.L.; Rutter, S.M.; East, M.; Sinclair, L.A. Preference of dairy cows: Indoor cubicle housing with access to a total mixed ration vs. access to pasture. Appl. Anim. Behav. Sci. 2011, 130, 1–9. [Google Scholar] [CrossRef]
- Legrand, A.L.; von Keyserlingk, M.A.; Weary, D.M. Preference and usage of pasture versus free-stall housing by lactating dairy cattle. J. Dairy Sci. 2009, 92, 3651–3658. [Google Scholar] [CrossRef] [PubMed]
- Falk, A.C.; Weary, D.M.; Winckler, C.; von Keyserlingk, M.A.G. Preference for pasture versus freestall housing by dairy cattle when stall availability indoors is reduced. J. Dairy Sci. 2012, 95, 6409–6415. [Google Scholar] [CrossRef] [PubMed]
- Charlton, G.L.; Rutter, S.M.; East, M.; Sinclair, L.A. Effects of providing total mixed rations indoors and on pasture on the behavior of lactating dairy cattle and their preference to be indoors or on pasture. J. Dairy Sci. 2011, 94, 3875–3884. [Google Scholar] [CrossRef]
- Kraut-Cohen, J.; Tripathi, V.; Chen, Y.; Gatica, J.; Volchinski, V.; Sela, S.; Weinberg, Z.; Cytryn, E. Temporal and spatial assessment of microbial communities in commercial silages from bunker silos. Appl. Microbiol. Biotechnol. 2016, 100, 6827–6835. [Google Scholar] [CrossRef]
- Ni, K.; Minh, T.T.; Tu, T.T.M.; Tsuruta, T.; Pang, H.; Nishino, N. Comparative microbiota assessment of wilted Italian ryegrass, whole crop corn, and wilted alfalfa silage using denaturing gradient gel electrophoresis and next-generation sequencing. Appl. Microbiol. Biotechnol. 2017, 101, 1385–1394. [Google Scholar] [CrossRef]
- Eikmeyer, F.G.; Köfinger, P.; Poschenel, A.; Jünemann, S.; Zakrzewski, M.; Heinl, S.; Mayrhuber, E.; Grabherr, R.; Puhler, A.; Schwab, H.; et al. Metagenome analyses reveal the influence of the inoculant Lactobacillus buchneri CD034 on the microbial community involved in grass ensiling. J. Biotechnol. 2013, 167, 334–343. [Google Scholar] [CrossRef]
- Duniere, L.; Xu, S.; Long, J.; Elekwachi, C.; Wang, Y.; Turkington, K.; Forster, R.; McAllister, T.A. Bacterial and fungal core microbiomes associated with small grain silages during ensiling and aerobic spoilage. BMC Microbiol. 2017, 17, 50. [Google Scholar] [CrossRef]
- Khafipour, E.; Li, S.; Tun, H.M.; Derakhshani, H.; Moossavi, S.; Plaizier, J.C. Effects of grain feeding on microbiota in the digestive tract of cattle. Anim. Front. 2016, 6, 13–19. [Google Scholar] [CrossRef]
- Beck, M.R.; Gregorini, P. How Dietary Diversity Enhances Hedonic and Eudaimonic Well-Being in Grazing Ruminants. Front. Vet. Sci. 2020, 7, 191. [Google Scholar] [CrossRef] [PubMed]
- Hagey, J.V.; Bhatnagar, S.; Heguy, J.M.; Karle, B.M.; Price, P.L.; Meyer, D.; Maga, E.A. Fecal Microbial Communities in a Large Representative Cohort of California Dairy Cows. Front. Microbiol. 2019, 10, 1093. [Google Scholar] [CrossRef]
- Khalil, A.; Batool, A.; Arif, S. Healthy Cattle Microbiome and Dysbiosis in Diseased Phenotypes. Ruminants 2022, 2, 134–156. [Google Scholar] [CrossRef]
- Janssen, P.H.; Kirs, M. Structure of the Archaeal Community of the Rumen. Appl. Environ. Microbiol. 2008, 74, 3619–3625. [Google Scholar] [CrossRef]
- Meale, S.J.; Popova, M.; Saro, C.; Martin, C.; Bernard, A.; Lagree, M.; Yanez-Ruiz, D.R.; Boudra, H.; Duval, S.; Morgavi, D.P. Early life dietary intervention in dairy calves results in a long-term reduction in methane emissions. Sci. Rep. 2021, 11, 3003. [Google Scholar] [CrossRef]
- Zhou, M.; Hernandez-Sanabria, E.; Guan, L.L. Characterization of Variation in Rumen Methanogenic Communities under Different Dietary and Host Feed Efficiency Conditions, as Determined by PCR-Denaturing Gradient Gel Electrophoresis Analysis. Appl. Environ. Microbiol. 2010, 76, 3776–3786. [Google Scholar] [CrossRef]
- Hammond, K.J.; Humphries, D.J.; Crompton, L.A.; Kirton, P.; Reynolds, C.K. Effects of forage source and extruded linseed supplementation on methane emissions from growing dairy cattle of differing body weights. J. Dairy Sci. 2015, 98, 8066–8077. [Google Scholar] [CrossRef]
- van Gastelen, S.; Antunes-Fernandes, E.C.; Hettinga, K.A.; Klop, G.; Alferink, S.J.J.; Hendriks, W.H.; Dijkstra, J. Enteric methane production, rumen volatile fatty acid concentrations, and milk fatty acid composition in lactating Holstein-Friesian cows fed grass silage- or corn silage-based diets. J. Dairy Sci. 2015, 98, 1915–1927. [Google Scholar] [CrossRef]
- Horz, H.P.; Conrads, G. Methanogenic Archaea and oral infections-ways to unravel the black box. J. Oral Microbiol. 2011, 3, 5940. [Google Scholar] [CrossRef]
- O’Brien, D.; Capper, J.L.; Garnsworthy, P.C.; Grainger, C.; Shalloo, L. A case study of the carbon footprint of milk from high-performing confinement and grass-based dairy farms. J. Dairy Sci. 2014, 97, 1835–1851. [Google Scholar] [CrossRef] [PubMed]
- Thoma, G.; Popp, J.; Nutter, D.; Shonnard, D.; Ulrich, R.; Matlock, M.; Kim, D.S.; Neiderman, Z.; Kemper, N.; East, C.; et al. Greenhouse gas emissions from milk production and consumption in the United States: A cradle-to-grave life cycle assessment circa 2008. Int. Dairy J. 2013, 31, S3–S14. [Google Scholar] [CrossRef]






| Milk Production (kg/day) by Lactation Stages | Milk Fat (%) | Milk Protein (%) | |||
|---|---|---|---|---|---|
| Sampling time | Early | Mid | Late | ||
| July 2020 | 27.5 | 27.7 | 26.7 | 3.9 | 2.7 |
| September 2020 | 21.5 | 27.3 | 25.6 | 4.1 | 3.0 |
| October 2020 | 22.5 | 26.5 | 27.0 | 4.1 | 3.0 |
| March 2021 | 27.6 | 29.2 | 24.7 | 4.0 | 3.2 |
| May 2021 | 24.3 | 26.4 | 26.8 | 3.9 | 3.0 |
| June 2021 | 25.6 | 27.9 | 25.5 | 4.1 | 3.1 |
| July 2021 | 24.4 | 28.4 | 25.0 | 4.0 | 3.0 |
| July 2020 | Sep 2020 | May 2021 | June 2021 | July 2021 | Std. Error | p-Value | |
|---|---|---|---|---|---|---|---|
| DM (%) | 25.89 a | 19.17 bc | 17.08 c | 26.18 a | 23.86 ab | 2.04 | 0.0002 |
| Crude Protein | 15.52 b | 22.22 c | 20.03 ac | 17.04 ab | 17.97 ab | 1.29 | 0.0002 |
| ADF 1 | 31.06 ab | 26.31 a | 29.05 ab | 30.28 ab | 26.38 a | 1.45 | 0.0067 |
| NDF 2 | 45.95 a | 39.49 a | 46.5 a | 46.6 a | 40.18 a | 3.09 | 0.0540 |
| Starch | 3.41 a | 3.22 a | 2.08 b | 2.53 ab | 3.26 a | 0.37 | 0.0056 |
| Crude Fat | 3.31 c | 4.26 ab | 4.40 ab | 4.07 b | 4.50 a | 0.13 | <0.0001 |
| TDN (%) 3 | 62.87 c | 65.41 bc | 67.30 ab | 66.66 b | 70.55 a | 1.25 | <0.0001 |
| NEL (Mcal/kg) 4 | 1.29 c | 1.45 b | 1.49 ab | 1.49 ab | 1.60 a | 0.01 | <0.0001 |
| July 2020 | Sep 2020 | Oct 2020 | March 2021 | May 2021 | June 2021 | July 2021 | |
|---|---|---|---|---|---|---|---|
| DMI * | 16.3 | 16.3 | 19 | 19.1 | 15.1 | 15.3 | 19 |
| Dry matter (%) | 47.87 | 48.01 | 42.69 | 47.98 | 54.04 | 56.15 | 57.79 |
| Crude protein | 16.28 | 16.36 | 17.13 | 15.33 | 14.18 | 14.64 | 14.98 |
| NDF | 32.74 | 32.41 | 32.82 | 37.16 | 32.72 | 35.19 | 27.15 |
| ADF | 22.19 | 23.49 | 21.77 | 25.29 | 25.25 | 26.92 | 20.06 |
| Starch | 20.18 | 20.17 | 22.94 | 18.84 | 24.32 | 21.33 | 29.94 |
| Ash | 9.82 | 8.92 | 8.85 | 8.71 | 8.93 | 9.14 | 8.42 |
| TDN (%) | 70.03 | 68.96 | 70.87 | 67.51 | 69.29 | 68.23 | 72.58 |
| NEL (Mcal/kg) | 1.54 | 1.49 | 1.56 | 1.45 | 1.58 | 1.56 | 1.65 |
| Sampling Time | |||||||
|---|---|---|---|---|---|---|---|
| Clusters | July 2020 | Sept 2020 | Oct 2020 | March 2021 | May 2021 | June 2021 | July 2021 |
| 1 | 0 | 0 | 0 | 0 | 19 | 7 | 24 |
| 2 | 0 | 0 | 29 | 1 | 0 | 0 | 0 |
| 3 | 30 | 30 | 1 | 1 | 0 | 1 | 0 |
| 4 | 0 | 0 | 0 | 28 | 11 | 22 | 5 |
| Microbiome Community (Clusters) | Access to Pasture (n) | No Access to Pasture—TMR Only (n) |
|---|---|---|
| 1 | 50 | 0 |
| 2 | 0 | 30 |
| 3 | 61 | 2 |
| 4 | 38 | 28 |
| Microbiome Community (Clusters) | High Pasture ADF (>29%) | Low Pasture ADF (≤29%) | High Pasture NDF (>45%) | Low Pasture NDF (≤45%) |
|---|---|---|---|---|
| 1 | 26 | 24 | 26 | 24 |
| 3 | 31 | 30 | 26 | 24 |
| 4 | 33 | 5 | 33 | 3 |
| Microbiome Community (Clusters) | n | Intercept | Odds Ratio | 95% Lower Limit Confidence Interval | 95% Upper Limit Confidence Interval |
|---|---|---|---|---|---|
| 1 | 50 | Reference | |||
| 3 | 61 | 0.17 | 0.05 | −0.70 | 0.80 |
| 4 | 38 | 0.24 | −1.80 | −2.90 | −0.71 |
Publisher’s Note: MDPI stays neutral with regard to jurisdictional claims in published maps and institutional affiliations. |
© 2022 by the authors. Licensee MDPI, Basel, Switzerland. This article is an open access article distributed under the terms and conditions of the Creative Commons Attribution (CC BY) license (https://creativecommons.org/licenses/by/4.0/).
Share and Cite
Slanzon, G.; Sischo, W.; McConnel, C. Contrasting Fecal Methanogenic and Bacterial Profiles of Organic Dairy Cows Located in Northwest Washington Receiving Either a Mixed Diet of Pasture and TMR or Solely TMR. Animals 2022, 12, 2771. https://doi.org/10.3390/ani12202771
Slanzon G, Sischo W, McConnel C. Contrasting Fecal Methanogenic and Bacterial Profiles of Organic Dairy Cows Located in Northwest Washington Receiving Either a Mixed Diet of Pasture and TMR or Solely TMR. Animals. 2022; 12(20):2771. https://doi.org/10.3390/ani12202771
Chicago/Turabian StyleSlanzon, Giovana, William Sischo, and Craig McConnel. 2022. "Contrasting Fecal Methanogenic and Bacterial Profiles of Organic Dairy Cows Located in Northwest Washington Receiving Either a Mixed Diet of Pasture and TMR or Solely TMR" Animals 12, no. 20: 2771. https://doi.org/10.3390/ani12202771
APA StyleSlanzon, G., Sischo, W., & McConnel, C. (2022). Contrasting Fecal Methanogenic and Bacterial Profiles of Organic Dairy Cows Located in Northwest Washington Receiving Either a Mixed Diet of Pasture and TMR or Solely TMR. Animals, 12(20), 2771. https://doi.org/10.3390/ani12202771

