Schizothorax prenanti Heat Shock Protein 27 Gene: Cloning, Expression, and Comparison with Other Heat Shock Protein Genes after Poly (I:C) Induction
Abstract
:Simple Summary
Abstract
1. Introduction
2. Materials and Methods
2.1. Animal Treatment
2.2. RNA Extraction and cDNA Synthesis
2.3. Partial cDNA Cloning of the SpHsp27
2.4. Sequence Analysis
2.5. Tissue Distribution of SpHsp27 mRNA under Normal Conditions
2.6. Detection of the Expression Patterns Induced by Poly (I:C)
2.7. Statistical Analysis
3. Results
3.1. Identification, Structural, and Phylogenetic Analysis of SpHsp27
3.2. Tissue Distribution of SpHsp27 Expression in S. Prenanti
3.3. Expression of SpHsps after Challenge with Poly (I:C)
3.3.1. Expression of SpHsp27 after Injection of Poly (I:C)
3.3.2. Expression of SpHsp60 after Challenge with Poly (I:C)
3.3.3. Expression Levels of SpHsp70 after Challenge with Poly (I:C)
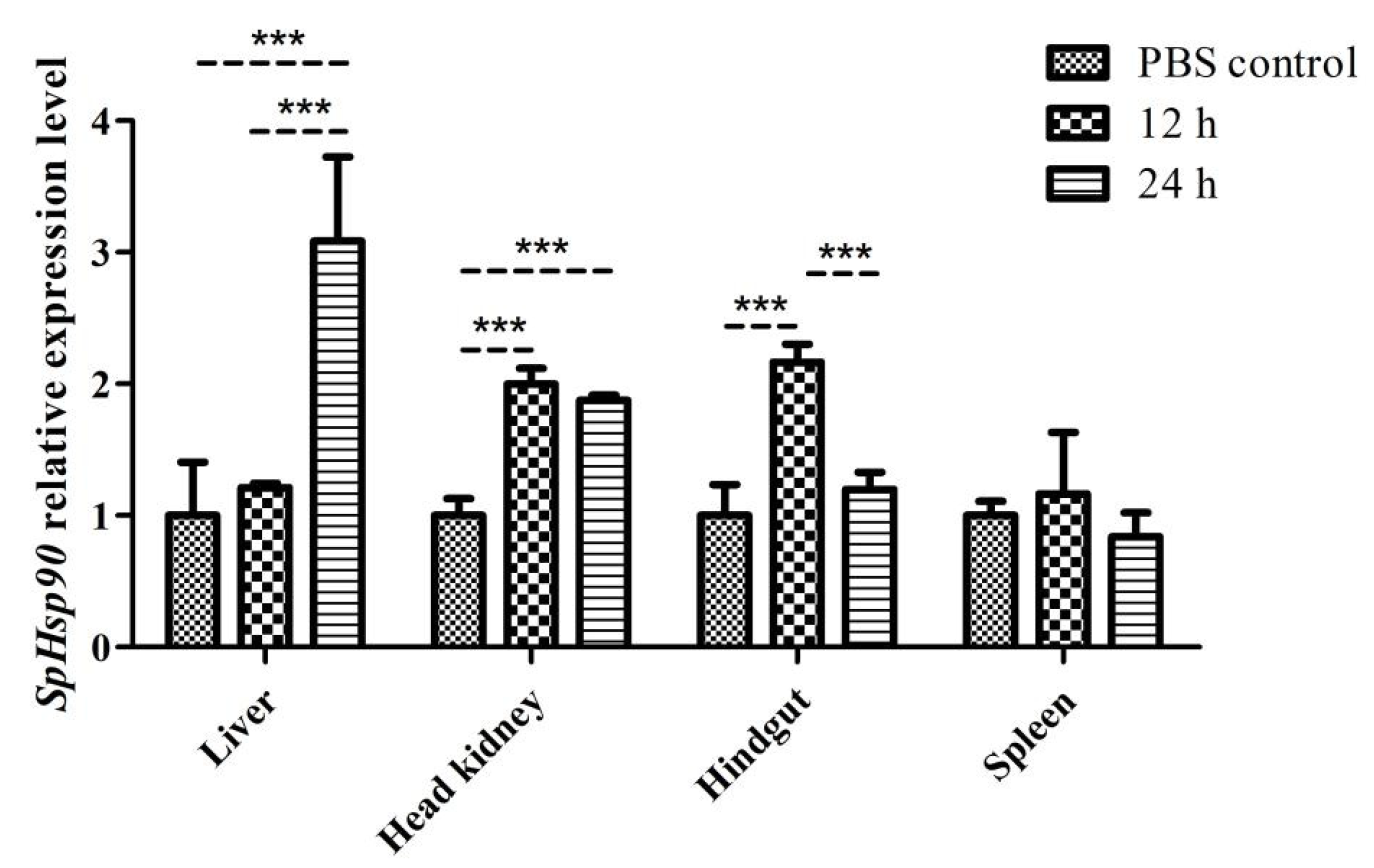
3.3.4. Expression of SpHsp90 after Challenge with Poly (I:C)
4. Discussion
5. Conclusions
Author Contributions
Funding
Institutional Review Board Statement
Informed Consent Statement
Data Availability Statement
Acknowledgments
Conflicts of Interest
References
- Roberts, R.J.; Agius, C.; Saliba, C.; Bossier, P.; Sung, Y.Y. Heat shock proteins (chaperones) in fish and shellfish and their potential role in relation to fish health: A review. J. Fish Dis. 2010, 33, 789–801. [Google Scholar] [CrossRef] [PubMed]
- Pham, T.H.; Cheng, T.C.; Wang, P.C.; Chen, S.C. Protective efficacy of four heat-shock proteins as recombinant vaccines against photobacteriosis in Asian seabass (Lates calcarifer). Fish Shellfish Immunol. 2021, 111, 179–188. [Google Scholar] [CrossRef] [PubMed]
- Sørensen, J.G.; Kristensen, T.N.; Loeschcke, V. The evolutionary and ecological role of heat shock proteins. Ecol. Lett. 2010, 6, 1025–1037. [Google Scholar] [CrossRef]
- Parcellier, A.; Gurbuxani, S.; Schmitt, E.; Solary, E.; Garrido, C. Heat shock proteins, cellular chaperones that modulate mitochondrial cell death pathways. Biochem. Biophys. Res. Commun. 2003, 304, 505–512. [Google Scholar] [CrossRef]
- Ackerman, P.A.; Forsyth, R.B.; Mazur, C.F.; Iwama, G.K. Stress hormones and the cellular stress response in salmonids. Fish Physiol. Biochem. 2000, 23, 327–336. [Google Scholar] [CrossRef]
- Dubrez, L.; Causse, S.; Borges, B.N.; Dumétier, B. Garrido Ca. Heat-shock proteins: Chaperoning DNA repair. Oncogene 2020, 39, 516–529. [Google Scholar] [CrossRef]
- Sun, Y.; MacRae, T.H. Small heat shock proteins: Molecular structure and chaperone function. Cell. Mol. Life Sci. 2005, 62, 2460–2476. [Google Scholar] [CrossRef]
- Hartl, F.U.; Hayer-Hartl, M. Molecular chaperones in the cytosol: From nascent chain to folded protein. Science 2002, 295, 1852–1858. [Google Scholar] [CrossRef] [Green Version]
- Carra, S.; Crippa, V.; Rusmini, P.; Boncoraglio, A.; Minoia, M.; Giorgetti, E.; Kampinga, H.H.; Poletti, A. Alteration of protein folding and degradation in motor neuron diseases: Implications and protective functions of small heat shock proteins. Prog. Neurobiol. 2012, 97, 83–100. [Google Scholar] [CrossRef]
- Chaudhury, S.; Keegan, B.M.; Blagg, B.S.J. The role and therapeutic potential of Hsp90, Hsp70, and smaller heat shock proteins in peripheral and central neuropathies. Med. Res. Rev. 2021, 41, 202–222. [Google Scholar] [CrossRef]
- Hightower, L.E.; Norris, C.E.; Diiorio, P.J.; Fielding, E. Heat shock responses of closely related species of tropical and desert fish. Amer. Zool. 1999, 39, 877–888. [Google Scholar] [CrossRef] [Green Version]
- Zhang, W.; Wei, Y.; Zhang, H.; Liu, J.; Zong, Z.; Liu, Z.; Zhu, S.; Hou, W.; Chen, Y.; Deng, H. Structural Alternation in Heat Shock Proteins of Activated Macrophages. Cells 2021, 10, 3507. [Google Scholar] [CrossRef] [PubMed]
- Forsyth, R.B.; Candido, E.P.M.; Babich, S.L.; Iwama, G.K. Stress protein expression in coho salmon with bacterial kidney disease. J. Aquat. Anim. Health 1997, 9, 18–25. [Google Scholar] [CrossRef]
- Cara, J.B.; Aluru, N.; Moyano, F.J.; Vijayan, M.M. Food-deprivation induces HSP70 and HSP90 protein expression in larval gilthead sea bream and rainbow trout. Comp. Biochem. Physiol. B 2005, 142, 426–431. [Google Scholar] [CrossRef]
- Ackerman, P.A.; Iwama, G.K. Physiological and Cellular Stress Responses of Juvenile Rainbow Trout to Vibriosis. J. Aquat. Anim. Health 2001, 13, 173–180. [Google Scholar] [CrossRef]
- Hermesz, E.; Abrahám, M.; Nemcsók, J. Identification of two hsp90 genes in carp. Comp. Biochem. Physiol. C 2001, 129, 397–407. [Google Scholar] [CrossRef]
- Wei, T.; Gao, Y.; Wang, R.; Xu, T. A heat shock protein 90β isoform involved in immune response to bacteria challenge and heat shock from Miichthys Miiuy. Fish Shellfish Immunol. 2013, 35, 429–437. [Google Scholar] [CrossRef]
- Xu, X.; Shen, Y.; Fu, J.; Liu, F.; Guo, S.; Yang, X.; Li, J. Molecular cloning, characterization and expression patterns of HSP60 in the grass carp (Ctenopharyngodon idella). Fish Shellfish Immunol. 2011, 31, 864–870. [Google Scholar] [CrossRef]
- Wu, C.X.; Zhao, F.Y.; Zhang, Y.; Zhu, Y.J.; Ma, M.S.; Mao, H.L.; Hu, C.Y. Overexpression of Hsp90 from grass carp (Ctenopharyngodon idella) increases thermal protection against heat stress. Fish Shellfish Immunol. 2012, 33, 42–47. [Google Scholar] [CrossRef]
- Li, J.; Zhang, H.; Zhang, X.; Yang, S.; Yan, T.; Song, Z. Molecular cloning and expression of two heat-shock protein genes (HSC70/HSP70) from Prenant’s schizothoracin (Schizothorax prenanti). Fish Physiol. Biochem. 2015, 41, 573–585. [Google Scholar] [CrossRef]
- Pu, Y.; Zhu, J.; Wang, H.; Zhang, X.; Hao, J.; Wu, Y.; Geng, Y.; Wang, K.; Li, Z.; Zhou, J.; et al. Molecular characterization and expression analysis of Hsp90 in Schizothorax prenanti. Cell Stress Chaperon. 2016, 21, 983–991. [Google Scholar] [CrossRef] [PubMed] [Green Version]
- Chaefer, T.M.; Fa Hey, J.V.; Wright, J.A.; Wira, C.R. Innate immunity in the human female reproductive tract: Antiviral response of uterine epithelial cells to the tlr3 agonist poly(I:C). J. Immunol. 2005, 174, 992–1002. [Google Scholar] [CrossRef] [PubMed] [Green Version]
- Jung, M.H.; Jung, S.J. Innate immune responses against rock bream iridovirus (rbiv) infection in rock bream (Oplegnathus fasciatus) following poly (I:C) administration. Fish Shellfish Immunol. 2017, 71, 171–176. [Google Scholar] [CrossRef] [PubMed]
- Avunje, S.; Jung, S.J. Poly (I:C) and imiquimod induced immune responses and their effects on the survival of olive flounder (Paralichthys olivaceus) from viral haemorrhagic septicaemia. Fish Shellfish Immunol. 2017, 71, 338–345. [Google Scholar] [CrossRef]
- Kono, T.; Biswas, G.; Fall, J.; Mekata, T.; Hikima, J.I.; Itami, T.; Sakai, M. Adjuvant effects of poly i:c and imiquimod on the immunization of kuruma shrimp (Marsupenaeus japonicus) with a recombinant protein, vp28 against white spot syndrome virus. Aquaculture 2015, 446, 236–241. [Google Scholar] [CrossRef] [Green Version]
- Lulijwa, R.; Alfaro, A.C.; Merien, F.; Burdass, M.; Meyer, J.; Venter, L.; Young, T. Metabolic and immune responses of Chinook salmon (Oncorhynchus tshawytscha) smolts to a short-term poly (I:C) challenge. J. Fish Biol. 2020, 97, 318–319. [Google Scholar] [CrossRef]
- Marvin, M.; O’Rourke, D.; Kurihara, T.; Juliano, C.E.; Harrison, K.L.; Hutson, L.D. Developmental expression patterns of the zebrafish small heat shock proteins. Dev. Dyn. 2008, 237, 454–463. [Google Scholar] [CrossRef]
- Norris, C.E.; Brown, M.A.; Hickey, E.; Weber, L.A.; Hightower, L.E. Low-molecular-weight heat shock proteins in a desert fish (Poeciliopsis lucida): Homologs of human Hsp27 and xenopus Hsp30. Mol. Biol. Evol. 1997, 14, 1050–1061. [Google Scholar] [CrossRef] [Green Version]
- Xie, Y.J.; Song, L.; Weng, Z.H.; Liu, S.K.; Liu, Z.J. Hsp90, Hsp60 and sHsp families of heat shock protein genes in channel catfish and their expression after bacterial infections. Fish Shellfish Immunol. 2015, 44, 642–651. [Google Scholar] [CrossRef]
- Geng, Y.; Wang, K.Y.; Huang, X.L.; Chen, D.F.; Li, C.W.; Ren, S.Y.; Liao, Y.T.; Zhou, Z.Y.; Liu, Q.F.; Du, Z.; et al. Streptococcus agalactiae, an emerging pathogen for cultured Ya-fish, Schizothorax prenanti, in China. Transbound. Emerg. Dis. 2012, 59, 369–375. [Google Scholar] [CrossRef]
- Ye, H.; Xiao, S.; Wang, X.; Wang, Z.; Zhang, Z.; Zhu, C.; Hu, B.; Lv, C.; Zheng, S.; Luo, H. Characterization of Spleen Transcriptome of Schizothorax prenanti during Aeromonas hydrophila Infection. Mar. Biotechnol. 2018, 20, 246–256. [Google Scholar] [CrossRef]
- Gómez, G.D.; Balcázar, J.L. A review on the interactions between gut microbiota and innate immunity of fish. FEMS Immunol. Med. Microbiol. 2008, 52, 145–154. [Google Scholar] [CrossRef] [PubMed]
- Alvarez-Pellitero, P. Fish immunity and parasite infections: From innate immunity to immunoprophylactic prospects. Vet. Immunol. Immunopathol. 2008, 126, 171–198. [Google Scholar] [CrossRef] [PubMed]
- Thompson, J.D.; Gibson, T.J.; Plewniak, F.; Jeanmougin, F.; Higgins, D.G. The Clustal, X windows interface: Flexible strategies for multiple sequence alignment aided by quality analysis tools. Nucleic Acids. Res. 1997, 25, 4876–4882. [Google Scholar] [CrossRef] [PubMed] [Green Version]
- Koichiro, T.; Joel, D.; Masatoshi, N.; Sudhir, K. MEGA4: Molecular Evolutionary Genetics Analysis (MEGA) software version 4.0. Mol. Biol. Evol. 2007, 24, 1596–1599. [Google Scholar] [CrossRef]
- Livak, K.J.; Schmittgen, T.D. Analysis of relative gene expression data using realtime quantitative PCR and the 2−ΔΔCT Method. Methods. 2001, 25, 402–408. [Google Scholar] [CrossRef]
- Montfort, R.V.; Slingsby, C.; Vierling, E. Structure and function of the small heat shock protein/alpha-crystallin family of molecular chaperones. Adv. Protein. Chem. 2001, 59, 105–156. [Google Scholar] [CrossRef]
- Mounier, N.; Arrigo, A.P. Actin cytoskeleton and small heat shock proteins: How do they interact? Cell Stress Chaperon. 2002, 7, 167–176. [Google Scholar] [CrossRef] [Green Version]
- Haslbeck, M.; Franzmann, T.; Weinfurtner, D.; Buchner, J. Some like it hot: The structure and function of small heat-shock proteins. Nat. Struct. Mol. Biol. 2005, 12, 842–846. [Google Scholar] [CrossRef]
- Saibil, H. Chaperone machines for protein folding, unfolding and disaggregation. Nat. Rev. Mol. Cell. Biol. 2013, 14, 630–642. [Google Scholar] [CrossRef] [Green Version]
- Ciocca, D.R.; Oesterreich, S.; Chamness, G.C.; McGuire, W.L.; Fuqua, S.A. Biological and clinical implications of heat shock protein 27,000 (Hsp27): A review. J. Natl. Cancer. Inst. 1993, 85, 1558–1570. [Google Scholar] [CrossRef]
- Li, P.H.; Cai, Y.J.; Zhu, X.L.; Yang, J.D.; Yang, S.Q.; Huang, W.; Wei, S.N.; Zhou, S.; Wei, J.G.; Qin, Q.W.; et al. Epinephelus coioides Hsp27 negatively regulates innate immune response and apoptosis induced by Singapore grouper iridovirus (SGIV) infection. Fish Shellfish Immunol. 2022, 120, 470–480. [Google Scholar] [CrossRef]
- Singh, M.K.; Sharma, B.; Tiwari, P.K. The small heat shock protein Hsp27: Present understanding and future prospects. J. Therm. Biol. 2017, 69, 149–154. [Google Scholar] [CrossRef]
- Zhang, J.; Huang, J.; Fang, C.; Li, W.; Zhao, H.; Kong, F.; Zhang, H.; Zhang, H.; Wang, Q. Molecular Cloning of Heat Shock Protein 60 (SpHSP60) from Schizothorax prenanti and the Gene Expressions of Four SpHSPs during Lipopolysaccharide (LPS) Infection. Fishes 2022, 7, 139. [Google Scholar] [CrossRef]
- Mao, L.; Bryantsev, A.L.; Chechenova, M.B.; Shelden, E.A. Cloning, characterization, and heat stress-induced redistribution of a protein homologous to human hsp27 in the zebrafish Danio rerio. Exp. Cell Res. 2005, 306, 230–241. [Google Scholar] [CrossRef]
- Ojima, N. Rainbow trout hspb1 (hsp27): Identification of two mRNA splice variants that show predominant expression in muscle tissues. Comp. Biochem. Physiol. B Biochem. Mol. Biol. 2007, 148, 277–285. [Google Scholar] [CrossRef]
- Le, Y.; Jia, P.; Jin, Y.; Liu, W.; Jia, K.; Yi, M. The antiviral role of heat shock protein 27 against red spotted grouper nervous necrosis virus infection in sea perch. Fish Shellfish Immunol. 2017, 70, 185–194. [Google Scholar] [CrossRef]
- Robinson, A.A.; Dunn, M.J.; McCormack, A.; Remedios, C.; Rose, M.L. Protective effect of phosphorylated Hsp27 in coronary arteries through actin stabilization. J. Mol. Cell. Cardiol. 2010, 49, 370–379. [Google Scholar] [CrossRef]
- Stenberg, O.K.; Holen, E.; Piemontese, L.; Liland, N.S.; Lock, E.J.; Espe, M.; Belghit, I. Effect of dietary replacement of fish meal with insect meal on in vitro bacterial and viral induced gene response in Atlantic salmon (Salmo salar) head kidney leukocytes. Fish Shellfish Immunol. 2019, 91, 223–232. [Google Scholar] [CrossRef]
- Koll, H.; Guiard, B.; Rassow, J.; Ostermann, J.; Horwich, A.L.; Neupert, W.; Hartl, F.U. Antifolding activity of Hsp60 couples protein import into the mitochondrial matrix with export to the intermembrane space. Cell 1992, 68, 1163–1175. [Google Scholar] [CrossRef] [Green Version]
- Brocchieri, L.; Karlin, S. Conservation among HSP60 sequences in relation to structure, function, and evolution. Protein Sci. 2010, 9, 476–486. [Google Scholar] [CrossRef] [PubMed] [Green Version]
- Georgopoulos, C.; Welch, W.J. Role of the major heat shock proteins as molecular chaperones. Annu. Rev. Cell Biol. 1993, 9, 601–634. [Google Scholar] [CrossRef] [PubMed]
- Itoh, H.; Kobayashi, R.; Wakui, H.; Komatsuda, A.; Ohtani, H.; Miura, A.B.; Otaka, M.; Masamune, O.; Andoh, H.; Koyama, K. Mammalian 60-kDa stress protein (chaperonin homolog). Identification, biochemical properties, and localization. J. Biol. Chem. 1995, 270, 13429–13435. [Google Scholar] [CrossRef] [Green Version]
- Huang, W.J.; Leu, J.H.; Tsau, M.T.; Chen, J.C.; Chen, L.L. Differential expression of LvHSP60 in shrimp in response to environmental stress. Fish Shellfish Immunol. 2011, 30, 576–582. [Google Scholar] [CrossRef]
- Deane, E.E.; Woo, N.Y.S. Evidence for disruption of Na+-K+-ATPase and Hsp70 during vibriosis of sea bream, Sparus (= Rhabdosargus) sarba Forsskl. J. Fish Dis. 2005, 28, 239–251. [Google Scholar] [CrossRef] [PubMed]
- Eder, K.J.; Leutenegger, C.M.; Köhler, H.R.; Werner, I. Effects of neurotoxic insecticides on heat-shock proteins and cytokine transcription in Chinook salmon (Oncorhynchus tshawytscha). Ecotoxicol. Environ. Saf. 2009, 72, 182–190. [Google Scholar] [CrossRef]
- Franzellitti, S.; Fabbri, E. Differential Hsp70 gene expression in the Mediterranean mussel exposed to various stressors. Biochem. Biophys. Res. Commun. 2005, 336, 1157–1163. [Google Scholar] [CrossRef]
- Deane, E.E.; Woo, N. Cloning and characterization of the Hsp70 multigene family from silver sea bream: Modulated gene expression between warm and cold temperature acclimation. Biochem. Biophys. Res. Commun. 2005, 330, 776–783. [Google Scholar] [CrossRef]
- Beere, C.H.M.; Wolf, B.B.; Cain, K.; Mosser, D.D.; Mahboubi, A.; Kuwana, T.; Tailor, P.; Morimoto, R.I.; Cohen, G.M.; Green, D.R. Heat shock protein 70 inhibits apoptosis by preventing recruitment of procaspase-9 to the Apaf-1 apoptosome. Nat. Cell Biol. 2000, 2, 469–475. [Google Scholar] [CrossRef]
- Xiang, J.X.; Chen, R.Y.; Xu, D.D.; Sun, Y.B.; Liu, H.H. Characterization of pathological changes and immune-related gene expression in yellow drum (Nibea albiflora) in response to Pseudomonas plecoglossicida and poly I:C challenge. Aquacult. Rep. 2020, 17, 100350. [Google Scholar] [CrossRef]









| Primer | Sequence (5′-3′) | Annealing Temperature (°C) | Size (bp) |
|---|---|---|---|
| Primers for cloning | |||
| Hsp27-F | TTCAGCCATGGCCGAGAGACGCATT | 55 | 653 |
| Hsp27-R | GTTGTAGTGCTCAGGGTTTCTTTG | ||
| Primers for qRT-PCR | |||
| Hsp27-F | CTCGGGAATGTCTGAGATAAAG | 62 | 130 |
| Hsp27-R | CTCATGTTTGCCGGTGAT | ||
| Hsp60-F | GGAGAGCACAAACAGTGACTAC | 62 | 130 |
| Hsp60-R | GACACGGTCCTTCTTCTCATTC | ||
| Hsp70-F | CTCTATGGTCCTGGTGAAGA | 60 | 106 |
| Hsp70-R | CCTCTGGGAGTCATTGAAATAG | ||
| Hsp90-F | AGGTCACGGTCATCACTAAAC | 62 | 182 |
| Hsp90-R | GACCACTTCCTTCACTCTCTTC | ||
| β-actin-F | GACCACCTTCAACTCCATCAT | 62 | 126 |
| β-actin-R | GTGATCTCCTTCTGCATCCTATC | ||
Publisher’s Note: MDPI stays neutral with regard to jurisdictional claims in published maps and institutional affiliations. |
© 2022 by the authors. Licensee MDPI, Basel, Switzerland. This article is an open access article distributed under the terms and conditions of the Creative Commons Attribution (CC BY) license (https://creativecommons.org/licenses/by/4.0/).
Share and Cite
Zhang, J.; Zhang, K.; Huang, J.; Jiang, W.; Ma, H.; Deng, J.; Zhang, H.; Li, W.; Wang, Q. Schizothorax prenanti Heat Shock Protein 27 Gene: Cloning, Expression, and Comparison with Other Heat Shock Protein Genes after Poly (I:C) Induction. Animals 2022, 12, 2034. https://doi.org/10.3390/ani12162034
Zhang J, Zhang K, Huang J, Jiang W, Ma H, Deng J, Zhang H, Li W, Wang Q. Schizothorax prenanti Heat Shock Protein 27 Gene: Cloning, Expression, and Comparison with Other Heat Shock Protein Genes after Poly (I:C) Induction. Animals. 2022; 12(16):2034. https://doi.org/10.3390/ani12162034
Chicago/Turabian StyleZhang, Jianlu, Kunyang Zhang, Jiqin Huang, Wei Jiang, Hongying Ma, Jie Deng, Hongxing Zhang, Wanchun Li, and Qijun Wang. 2022. "Schizothorax prenanti Heat Shock Protein 27 Gene: Cloning, Expression, and Comparison with Other Heat Shock Protein Genes after Poly (I:C) Induction" Animals 12, no. 16: 2034. https://doi.org/10.3390/ani12162034
APA StyleZhang, J., Zhang, K., Huang, J., Jiang, W., Ma, H., Deng, J., Zhang, H., Li, W., & Wang, Q. (2022). Schizothorax prenanti Heat Shock Protein 27 Gene: Cloning, Expression, and Comparison with Other Heat Shock Protein Genes after Poly (I:C) Induction. Animals, 12(16), 2034. https://doi.org/10.3390/ani12162034

